Citation: Yan-Jie HU, Yan-Hong YIN, Ming ZHANG, Zi-Ping WU, Zhong-Rong SHEN. In-situ Growth of Carbon Nanosheets Intercalated with TiO2 for Improving Electrochemical Performance and Stability ofLithium-ion Batteries[J]. Chinese Journal of Structural Chemistry, ;2021, 40(11): 1513-1524. doi: 10.14102/j.cnki.0254-5861.2011-3189 shu

In-situ Growth of Carbon Nanosheets Intercalated with TiO2 for Improving Electrochemical Performance and Stability ofLithium-ion Batteries

  • Corresponding author: Yan-Hong YIN, yinyanhong@jxust.edu.cn Zi-Ping WU, wuziping724@jxust.edu.cn Zhong-Rong SHEN, z-shen@fjirsm.ac.cn
  • Received Date: 22 March 2021
    Accepted Date: 6 May 2021

    Fund Project: the National Natural Science Foundation of China 22062008the China Scholarship Council 201908360233the Jiangxi Provincial Department of Science and Technology GJJ190436the Jiangxi Provincial Department of Science and Technology 2019KY56

Figures(6)

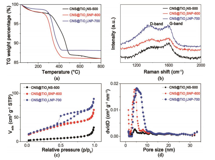
  • In situ growth of carbon nanomaterials on active substance is a very favorable strategy for the preparation of electrode in lithium-ion batteries with excellent electrochemical performance and high stability. Small-sized TiO2 nanoparticles intercalated into carbon nanosheets (CNS@TiO2SNP-600) were successfully synthesized via in-situ polymerization-carbonization method, utilizing layered H2Ti4O9 (HTO) as template and benzidine as carbon source. The morphology and size of TiO2 are greatly influenced by carbonization temperature. The coin cell with the CNS@TiO2SNP-600 electrode demonstrates a discharge specific capacity of 430.4 mAh⋅g-1 at a current density of 0.1 A⋅g-1, and the capacity retention rate is 88.1% after 100 cycles; and it also displays a high discharge specific capacity of 101.8 mAh⋅g-1 at a high current density of 12.8 A⋅g-1. The excellent electrochemical performances can be ascribed to the capacitance effect originated from the intercalated structure of in-situ grown CNS and TiO2 nanoparticles. We believe this type of materials can be widely used in the lithium-ion batteries and other related green chemical fields.
  • 加载中
    1. [1]

      Zhao, Y.; Wang, L. P.; Sougrati, M. T.; Feng, Z. X.; Leconte, Y.; Fisher, A.; Srinivasan, M.; Xu, Z. C. A review on design strategies for carbon based metal oxides and sulfides nanocomposites for high performance Li and Na ion battery anodes. Adv. Energy Mater. 2017, 7, 1601424−70.  doi: 10.1002/aenm.201601424

    2. [2]

      Subramanian, V.; Karki, A.; Gnanasekar, K. I.; Eddy, F. P.; Rambabu, B. Nanocrystalline TiO2 (anatase) for Li-ion batteries. J. Power Sources 2006, 159, 186−192.  doi: 10.1016/j.jpowsour.2006.04.027

    3. [3]

      An, G. H.; Ahn, H. J. Carbon nanofiber/cobalt oxide nanopyramid core-shell nanowires for high-performance lithium-ion batteries. J. Power Sources 2014, 272, 828−836.  doi: 10.1016/j.jpowsour.2014.09.032

    4. [4]

      Cho, J. S.; Hong, Y. J.; Kang, Y. C. Design and synthesis of bubble-nanorod-structured Fe2O3-carbon nanofibers as advanced anode material for Li-ion batteries. ACS Nano 2015, 9, 4026−4035.  doi: 10.1021/acsnano.5b00088

    5. [5]

      Yan, C. S.; Chen, G.; Zhou, X.; Sun, J. X.; Lv, C. Template-based engineering of carbon-doped Co3O4 hollow nanofibers as anode materials for lithium-ion batteries. Adv. Funct. Mater. 2016, 26, 1428−1436.  doi: 10.1002/adfm.201504695

    6. [6]

      Wang, H. W.; Jia, G. C.; Guo, Y. Y.; Zhang, Y. Q.; Geng, H. B.; Xu, J.; Mai, W. J.; Yan, Q. Y.; Fan, H. J. Atomic layer deposition of amorphous TiO2 on carbon nanotube networks and their superior Li and Na ion storage properties. Adv. Mater. Interfaces 2016, 3, 1600375−9.  doi: 10.1002/admi.201600375

    7. [7]

      Wang, X. Y.; Fan, L.; Gong, D. C.; Zhu, J.; Zhang, Q. F.; Lu, B. G. Core-shell Ge@Graphene@ TiO2 nanofibers as a high-capacity and cycle-stable anode for lithium and sodium ion battery. Adv. Funct. Mater. 2016, 26, 1104−1111.  doi: 10.1002/adfm.201504589

    8. [8]

      Etacheri, V.; Yourey, J. E.; Bartlett, B. M. Chemically bonded TiO2-bronze nanosheet/reduced graphene oxide hybrid for high-power lithium ion batteries. ACS Nano 2014, 8, 1491−1499.  doi: 10.1021/nn405534r

    9. [9]

      Hu, T.; Sun, X.; Sun, H. T.; Yu, M. P.; Lu, F. Y.; Liu, C. S.; Lian, J. Flexible free-standing graphene-TiO2 hybrid paper for use as lithium ion battery anode materials. Carbon 2013, 51, 322−326.  doi: 10.1016/j.carbon.2012.08.059

    10. [10]

      Kim, H. K.; Mhamane, D.; Kim, M. S.; Roh, H. K.; Aravindan, V.; Madhavi, S.; Roh, K. C.; Kim, K. B. TiO2-reduced graphene oxide nanocomposites by microwave-assisted forced hydrolysis as excellent insertion anode for Li-ion battery and capacitor. J. Power Sources 2016, 327, 171−177.  doi: 10.1016/j.jpowsour.2016.07.053

    11. [11]

      Li, W.; Wang, F.; Liu, Y. P.; Wang, J. X.; Yang, J. P.; Zhang, L. J.; Elzatahry, A. A.; Al-Dahyan, D.; Xia, Y. Y.; Zhao, D. Y. General strategy to synthesize uniform mesoporous TiO2/graphene/mesoporous TiO2 sandwich-like nanosheets for highly reversible lithium storage. Nano Lett. 2015, 15, 2186−2193.  doi: 10.1021/acs.nanolett.5b00291

    12. [12]

      Mo, R. W.; Lei, Z. Y.; Sun, K. N.; Rooney, D. Facile synthesis of anatase TiO2 quantum-dot/graphene-nanosheet composites with enhanced electrochemical performance for lithium-ion batteries. Adv. Mater. 2014, 26, 2084−2088.  doi: 10.1002/adma.201304338

    13. [13]

      Qiu, B. C.; Xing, M. Y.; Zhang, J. L. Mesoporous TiO2 nanocrystals grown in situ on graphene aerogels for high photocatalysis and lithium-ion batteries. J. Am. Chem. Soc. 2014, 136, 5852−5855.  doi: 10.1021/ja500873u

    14. [14]

      Ren, G. F.; Hoque, M. N. F.; Liu, J. W.; Warzywoda, J.; Fan, Z. Y. Perpendicular edge oriented graphene foam supporting orthogonal TiO2 (B) nanosheets as freestanding electrode for lithium ion battery. J. Am. Chem. Soc. 2016, 21, 162−171.

    15. [15]

      Ren, Y.; Liu, Z.; Pourpoint, F.; Armstrong, A. R.; Grey, C. P.; Bruce, P. G. Nanoparticulate TiO2 (B): an anode for lithium-ion batteries. Angew. Chem. Int. Ed. 2012, 124, 2206−2209.  doi: 10.1002/ange.201108300

    16. [16]

      Wang, D. H.; Choi, D.; Li, J.; Yang, Z. G.; Nie, Z. M.; Kou, R.; Hu, D. H.; Wang, C. M.; Saraf, L. V.; Zhang, J. G. Self-assembled TiO2-graphene hybrid nanostructures for enhanced Li-ion insertion. ACS Nano 2009, 3, 907−914.  doi: 10.1021/nn900150y

    17. [17]

      Fu, W. W.; Li, Y. T.; Chen, M. S.; Hu, Y. J.; Liu, B. H.; Zhang, K.; Zhan, C. Y.; Zhang, M.; Shen, Z. R. An orderly arrangement of layered carbon nanosheet/TiO2 nanosheet stack with superior artificially interfacial lithium pseudocapacity. J. Power Sources 2020, 468, 228363−7.  doi: 10.1016/j.jpowsour.2020.228363

    18. [18]

      Hu, Y. J.; Li, Y. T.; Cheng, J. F.; Chen, M. S.; Fu, W. W.; Liu, B. H.; Zhang, M.; Shen, Z. R. Intercalation of carbon nanosheet into layered TiO2 grain for highly interfacial lithium storage. ACS Appl. Mater. Inter. 2020, 12, 21709−21719.  doi: 10.1021/acsami.0c03775

    19. [19]

      Li, Y. T.; Chen, M. S.; Cheng, J. F.; Fu, W. W.; Hu, Y. J.; Liu, B. H.; Zhang, M.; Shen, Z. R. Two-dimensional layered ultrathin carbon/TiO2 nanosheet composites for superior pseudocapacitive lithium storage. Langmuir 2020, 36, 2255−2263.  doi: 10.1021/acs.langmuir.9b03889

    20. [20]

      Brezesinski, T.; Wang, J.; Polleux, J.; Dunn, B.; Tolbert, S. H. Templated nanocrystal-based porous TiO2 films for next-generation electrochemical capacitors. J. Am. Chem. Soc. 2009, 131, 1802−1809.  doi: 10.1021/ja8057309

    21. [21]

      Mirhashemihaghighi, S.; León, B.; Pére Vicente, C.; Tirado, J. L.; Stoyanova, R.; Yoncheva, M.; Zhecheva, E.; Sáez Puche, R.; Arroyo, E. M.; Romero de Paz, J. Lithium storage mechanisms and effect of partial cobalt substitution in manganese carbonate electrodes. Inorg. Chem. 2012, 51, 5554−5560.  doi: 10.1021/ic3004382

    22. [22]

      Sasaki, T.; Kooli, F.; Iida, M.; Michiue, Y.; Takenouchi, S.; Yajima, Y.; Izumi, F.; Chakoumakos, B. C.; Watanabe, M. A mixed alkali metal titanate with the lepidocrocite-like layered structure. Preparation, crystal structure, protonic form, and acid-base intercalation properties. Chem. Mater. 1998, 10, 4123−4128.  doi: 10.1021/cm980535f

    23. [23]

      Ding, W.; Wei, Z. D.; Chen, S. G.; Qi, X. Q.; Yang, T.; Hu, J. S.; Wang, D.; Wan, L. J.; Alvi, S. F.; Li, L. Space-confinement-induced synthesis of pyridinic- and pyrrolic-nitrogen-doped graphene for the catalysis of oxygen reduction. Angew. Chem. Int. Ed. 2013, 125, 11971−11975.  doi: 10.1002/ange.201303924

    24. [24]

      Akalin, E.; Akyüz, S. Structure and vibrational spectra of benzidine. J. Mol. Struct. 2003, 651, 571−577.

    25. [25]

      Akyüz, S.; Bulat, T.; Özel, A. E.; Basar, G. FT-IR and laser Raman spectroscopic investigation of transition metal halide complexes of benzidine. Vib. Spectrosc 1997, 14, 151−154.  doi: 10.1016/S0924-2031(96)00070-7

    26. [26]

      Wang, J.; Polleux, J.; Lim, J.; Dunn, B. Pseudocapacitive contributions to electrochemical energy storage in TiO2 (anatase) nanoparticles. J. Phys. Chem. C 2007, 111, 14925−14931.  doi: 10.1021/jp074464w

    27. [27]

      Yang, Z. G.; Choi, D.; Kerisit, S.; Rosso, K. M.; Wang, D. H.; Zhang, J.; Graff, G.; Liu, J. Nanostructures and lithium electrochemical reactivity of lithium titanites and titanium oxides: a review. J. Power Sources 2009, 192, 588−598.  doi: 10.1016/j.jpowsour.2009.02.038

    28. [28]

      Wu, Q. L.; Xu, J. G.; Yang, X. F.; Lu, F. Q.; He, S. M.; Yang, J. L.; Fan, H. J.; Wu, M. M. Ultrathin anatase TiO2 nanosheets embedded with TiO2-B nanodomains for lithium-ion storage: capacity enhancement by phase boundaries. Adv. Energy Mater. 2015, 5, 1401756−9.  doi: 10.1002/aenm.201401756

    29. [29]

      Liu, G. Y.; Zhao, Y. Y.; Tang, Y. F.; Liu, X. D.; Liu, M.; Wu, P. J. In situ sol-gel synthesis of Ti2Nb10O29/C nanoparticles with enhanced pseudocapacitive contribution for a high-rate lithium-ion battery. Rare Metals 2020, 39, 1063−1071.  doi: 10.1007/s12598-020-01462-w

    30. [30]

      Luo, R.; Ma, Y. T.; Qu, W. J.; Qian, J.; Li, L.; Wu, F.; Chen, R. J. High pseudocapacitance boosts ultrafast, high-capacity sodium storage of 3D graphene foam encapsulated TiO2 architecture. ACS Appl. Mater. Inter. 2020, 12, 23939−23950.  doi: 10.1021/acsami.0c04481

    31. [31]

      Wang, Y. X.; Yang, J. P.; Chou, S. L.; Liu, H. K.; Zhang, W. X.; Zhao, D. Y.; Dou, S. X. Uniform yolk-shell iron sulfide-carbon nanospheres for superior sodium-iron sulfide batteries. Nat. Commun. 2015, 6, 1−9.

    32. [32]

      Augustyn, V.; Come, J.; Lowe, M. A.; Kim, J. W.; Taberna, P. L.; Tolbert, S. H.; Abruña, H. D.; Simon, P.; Dunn, B. High-rate electrochemical energy storage through Li+ intercalation pseudocapacitance. Nat Mater. 2013, 12, 518−522.  doi: 10.1038/nmat3601

    33. [33]

      Augustyn, V.; Simon, P.; Dunn, B. Pseudocapacitive oxide materials for high-rate electrochemical energy storage. Energy Environ. Sci. 2014, 7, 1597−1614.  doi: 10.1039/c3ee44164d

    34. [34]

      Li, D. D.; Zhang, L.; Chen, H. B.; Wang, J.; Ding, L. X.; Wang, S. Q.; Ashman, P. J.; Wang, H. H. Graphene-based nitrogen-doped carbon sandwich nanosheets: a new capacitive process controlled anode material for high-performance sodium-ion batteries. J. Mater. Chem. A 2016, 4, 8630−8635.  doi: 10.1039/C6TA02139E

    35. [35]

      Li, S.; Qiu, J. X.; Lai, C.; Ling, M.; Zhao, H. J.; Zhang, S. Q. Surface capacitive contributions: towards high rate anode materials for sodium ion batteries. Nano Energy 2015, 12, 224−230.  doi: 10.1016/j.nanoen.2014.12.032

    36. [36]

      Zhang, M.; Hu, Y. J.; Cheng, J. F.; Fu, W. W.; Shen, Z. R. Synthesis of highly-ordered two-dimensional hierarchically porous carbon nanosheet stacks as advanced electrode materials for lithium-ion storage. ACS Appl. Energy Mater. 2020, 4, 226−232.

    37. [37]

      Chen, Y. N.; Fu, K.; Zhu, S. Z.; Luo, W.; Wang, Y. B.; Li, Y. J.; Hitz, E.; Yao, Y. G.; Dai, J. Q.; Wan, J. Y.; Danner, V. A.; Li, T.; Hu, L. B. Reduced graphene oxide films with ultrahigh conductivity as Li-ion battery current collectors. Nano Lett. 2016, 16, 3616−3623.  doi: 10.1021/acs.nanolett.6b00743

    38. [38]

      Ventosa, E.; Madej, E.; Zampardi, G.; Mei, B.; Weide, P.; Antoni, H.; Mantia, F. L.; Muhler, M.; Schuhmann, W. Solid electrolyte interphase (SEI) at TiO2 electrodes in Li-ion batteries: defining apparent and effective SEI based on evidence from X-ray photoemission spectroscopy and scanning electrochemical microscopy. ACS Appl. Mater. Inter. 2017, 9, 3123−3130.  doi: 10.1021/acsami.6b13306

    39. [39]

      Ren, H.; Yu, R. B.; Qi, J.; Zhang, L. J.; Jin, Q.; Wang, D. Hollow multishelled heterostructured anatase/TiO2 (B) with superior rate capability and cycling performance. Adv. Mater. 2019, 31, 1805754−7.  doi: 10.1002/adma.201805754

    40. [40]

      Hao, B.; Yan, Y.; Wang, X. B.; Chen, G. Synthesis of anatase TiO2 nanosheets with enhanced pseudocapacitive contribution for fast lithium storage. ACS Appl. Mater. Inter. 2013, 5, 6285−6291.  doi: 10.1021/am4013215

    41. [41]

      Lou, S. F.; Zhao, Y.; Wang, J. J.; Yin, G. P.; Du, C. Y.; Sun, X. L. Ti-based oxide anode materials for advanced electrochemical energy storage: lithium/sodium ion batteries and hybrid pseudocapacitors. Small 2019, 15, 1904740−44.  doi: 10.1002/smll.201904740

    42. [42]

      Muller, G. A.; Cook, J. B.; Kim, H. S.; Tolbert, S. H.; Dunn, B. High performance pseudocapacitor based on 2D layered metal chalcogenide nanocrystals. Nano Lett. 2015, 15, 1911−1917.  doi: 10.1021/nl504764m

    43. [43]

      Que, L. F.; Yu, F. D.; Wang, Z. B.; Gu, D. M. Pseudocapacitance of TiO2-x/CNT anodes for high-performance quasi-solid-state Li-ion and Na-ion capacitors. Small 2018, 14, 1704508−9.  doi: 10.1002/smll.201704508

    44. [44]

      Wei, H.; Rodriguez, E. F.; Hollenkamp, A. F.; Bhatt, A. I.; Chen, D. H.; Caruso, R. A. High reversible pseudocapacity in mesoporous yolk-shell anatase TiO2/TiO2 (B) microspheres used as anodes for Li-ion batteries. Adv. Funct. Mater. 2017, 27, 1703270−9.  doi: 10.1002/adfm.201703270

    45. [45]

      Xing, Y. L.; Wang, S. B.; Fang, B. Z.; Song, G.; Wilkinson, D. P.; Zhang, S. C. N-doped hollow urchin-like anatase TiO2@C composite as a novel anode for Li-ion batteries. J. Power Sources 2018, 385, 10−17.  doi: 10.1016/j.jpowsour.2018.02.077

    46. [46]

      Augustyn, V.; Come, J.; Lowe, M. A.; Kim, J. W.; Taberna, P.; Tolbert, S. H.; Abruña, H. D.; Simon, P.; Dunn, B. High-rate electrochemical energy storage through Li+ intercalation pseudocapacitance. Nat. Mater. 2013, 12, 518−522.  doi: 10.1038/nmat3601

    47. [47]

      Jiang, J. M.; Zhang, Y. D.; An, Y. F.; Wu, L. Y.; Zhu, Q.; Dou, H.; Zhang, X. G. Engineering ultrathin MoS2 nanosheets anchored on N-Doped carbon microspheres with pseudocapacitive properties for high-performance lithium-ion capacitors. Small. Methods 2019, 7, 1900081−10.

  • 加载中
    1. [1]

      Jiatong LiLinlin ZhangPeng HuangChengjun Ge . Carbon bridge effects regulate TiO2–acrylate fluoroboron coatings for efficient marine antifouling. Chinese Chemical Letters, 2025, 36(2): 109970-. doi: 10.1016/j.cclet.2024.109970

    2. [2]

      Maosen XuPengfei ZhuQinghong CaiMeichun BuChenghua ZhangHong WuYouzhou HeMin FuSiqi LiXingyan LiuIn-situ fabrication of TiO2/NH2−MIL-125(Ti) via MOF-driven strategy to promote efficient interfacial effects for enhancing photocatalytic NO removal activity. Chinese Chemical Letters, 2024, 35(10): 109524-. doi: 10.1016/j.cclet.2024.109524

    3. [3]

      Xiaoyao YINWenhao ZHUPuyao SHIZongsheng LIYichao WANGNengmin ZHUYang WANGWeihai SUN . Fabrication of all-inorganic CsPbBr3 perovskite solar cells with SnCl2 interface modification. Chinese Journal of Inorganic Chemistry, 2025, 41(3): 469-479. doi: 10.11862/CJIC.20240309

    4. [4]

      Zongsheng LIYichao WANGYujie WANGWenhao ZHUXiaoyao YINWudan YANGSongzhi ZHENGWeihai SUN . Preparation of CsPbBr3 perovskite solar cells via bottom interface modification with methylammonium chloride. Chinese Journal of Inorganic Chemistry, 2025, 41(9): 1805-1816. doi: 10.11862/CJIC.20250066

    5. [5]

      Hongye Bai Lihao Yu Jinfu Xu Xuliang Pang Yajie Bai Jianguo Cui Weiqiang Fan . Controllable Decoration of Ni-MOF on TiO2: Understanding the Role of Coordination State on Photoelectrochemical Performance. Chinese Journal of Structural Chemistry, 2023, 42(10): 100096-100096. doi: 10.1016/j.cjsc.2023.100096

    6. [6]

      Zhiqiang WangYajie GaoTianjun WangWei ChenZefeng RenXueming YangChuanyao Zhou . Photocatalyzed oxidation of water on oxygen pretreated rutile TiO2(110). Chinese Chemical Letters, 2025, 36(4): 110602-. doi: 10.1016/j.cclet.2024.110602

    7. [7]

      Cailiang YueNan SunYixing QiuLinlin ZhuZhiling DuFuqiang Liu . A direct Z-scheme 0D α-Fe2O3/TiO2 heterojunction for enhanced photo-Fenton activity with low H2O2 consumption. Chinese Chemical Letters, 2024, 35(12): 109698-. doi: 10.1016/j.cclet.2024.109698

    8. [8]

      Xinyue HanYunhan YangJiayin LuYuxiang LinDongxue ZhangLing LinLiang Qiao . Efficient serum lipids profiling by TiO2-dopamin-assisted MALDI-TOF MS for breast cancer detection. Chinese Chemical Letters, 2025, 36(5): 110183-. doi: 10.1016/j.cclet.2024.110183

    9. [9]

      Shuxian HeFei ShenJiahong ZouPeng ChengWenyang FuYan ZouLing ChenXiaoshu LvGuangming Jiang . Insight into electrocatalytic nitrate reduction to ammonia on titanium oxide: Synergistic effects of crystalline phase and surface oxygen defects. Chinese Chemical Letters, 2026, 37(3): 111397-. doi: 10.1016/j.cclet.2025.111397

    10. [10]

      Bing LIUHuang ZHANGHongliang HANChangwen HUYinglei ZHANG . Visible light degradation of methylene blue from water by triangle Au@TiO2 mesoporous catalyst. Chinese Journal of Inorganic Chemistry, 2024, 40(5): 941-952. doi: 10.11862/CJIC.20230398

    11. [11]

      Xinlin ZhangCheng TangHaitao LiJie SunAijun DuMinghong WuHaijiao Zhang . Robust assembly of TiO2 quantum dots onto Ti3C2Tx for excellent lithium storage capability. Chinese Chemical Letters, 2025, 36(6): 110088-. doi: 10.1016/j.cclet.2024.110088

    12. [12]

      Binyang QinMengqi WangShimei WuYining LiChilin LiuYufei ZhangHaosen Fan . Carbon dots confined nanosheets assembled NiCo2S4@CDs cross-stacked architecture for enhanced sodium ion storage. Chinese Chemical Letters, 2024, 35(7): 108921-. doi: 10.1016/j.cclet.2023.108921

    13. [13]

      Wenhao FengChunli LiuZheng LiuHuan PangIn-situ growth of N-doped graphene-like carbon/MOF nanocomposites for high-performance supercapacitor. Chinese Chemical Letters, 2024, 35(12): 109552-. doi: 10.1016/j.cclet.2024.109552

    14. [14]

      Ruru MAYingjie SONGYahui LIErmin ZHOUDeqiang LIXiaojuan HUANGJun LI . Synergistic nitrogen doping and carbon support in TiO2 for enhanced photocatalytic degradation of methylene blue and oxytetracycline. Chinese Journal of Inorganic Chemistry, 2026, 42(3): 641-656. doi: 10.11862/CJIC.20250221

    15. [15]

      Xing Xiao Yunling Jia Wanyu Hong Yuqing He Yanjun Wang Lizhi Zhao Huiqin An Zhen Yin . Sulfur-defective ZnIn2S4 nanosheets decorated by TiO2 nanosheets with exposed {001} facets to accelerate charge transfer for efficient photocatalytic hydrogen evolution. Chinese Journal of Structural Chemistry, 2024, 43(12): 100474-100474. doi: 10.1016/j.cjsc.2024.100474

    16. [16]

      Xingang KongYabei SuCuijuan XingWeijie ChengJianfeng HuangLifeng ZhangHaibo OuyangQi Feng . Facile synthesis of porous TiO2/SnO2 nanocomposite as lithium ion battery anode with enhanced cycling stability via nanoconfinement effect. Chinese Chemical Letters, 2024, 35(11): 109428-. doi: 10.1016/j.cclet.2023.109428

    17. [17]

      Wenjing XiongYulin XuFangzhou ZhaoBaokai XiaHongqiang WangWei LiuSheng ChenYongzhi Zhang . Graphene architecture interpenetrated with mesoporous carbon nanosheets promotes fast and stable potassium storage. Chinese Chemical Letters, 2025, 36(4): 109738-. doi: 10.1016/j.cclet.2024.109738

    18. [18]

      Bicheng JiXicheng LiShuai GaoPengyuan LiuJiajie BaoLv QianChangzheng WangQiang WangChong-Chen WangIn-situ Z-scheme hetero-phase homojunction significantly enhances the carrier separation efficiency of TiO2 nanotube arrays: Key role of crystal phase engineering. Chinese Chemical Letters, 2026, 37(2): 111424-. doi: 10.1016/j.cclet.2025.111424

    19. [19]

      Zeyu XUTongzhou LUHaibo SHAOJianming WANG . Preparation and electrochemical lithium storage performance of porous silicon microsphere composite with metal modification and carbon coating. Chinese Journal of Inorganic Chemistry, 2024, 40(10): 1995-2008. doi: 10.11862/CJIC.20240164

    20. [20]

      Jie XIEHongnan XUJianfeng LIAORuoyu CHENLin SUNZhong JIN . Nitrogen-doped 3D graphene-carbon nanotube network for efficient lithium storage. Chinese Journal of Inorganic Chemistry, 2024, 40(10): 1840-1849. doi: 10.11862/CJIC.20240216

Metrics
  • PDF Downloads(1)
  • Abstract views(1230)
  • HTML views(46)

通讯作者: 陈斌, bchen63@163.com
  • 1. 

    沈阳化工大学材料科学与工程学院 沈阳 110142

  1. 本站搜索
  2. 百度学术搜索
  3. 万方数据库搜索
  4. CNKI搜索
Address:Zhongguancun North First Street 2,100190 Beijing, PR China Tel: +86-010-82449177-888
Powered By info@rhhz.net

/

DownLoad:  Full-Size Img  PowerPoint
Return