Citation: Yang LIU, Xiao-Quan ZHU, Xin-Tao WU, Tian-Lu SHENG. Syntheses and Characterizations of Cyanido-bridged Dinuclear Ru-complexes and Their MMCT Properties in the One-electron Oxidation State[J]. Chinese Journal of Structural Chemistry, ;2021, 40(10): 1253-1264. doi: 10.14102/j.cnki.0254–5861.2011–3147 shu

Syntheses and Characterizations of Cyanido-bridged Dinuclear Ru-complexes and Their MMCT Properties in the One-electron Oxidation State

  • Corresponding author: Tian-Lu SHENG, tsheng@fjirsm.ac.cn
  • Received Date: 22 February 2021
    Accepted Date: 26 March 2021

    Fund Project: the National Science Foundation of China 21773243the National Science Foundation of China 21973095the Strategic Priority Research Program of Chinese Academy of Sciences XDB20010200

Figures(6)

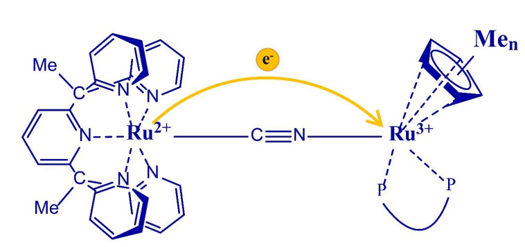
  • We have designed and synthesized a family of dinuclear cyanido-bridged complexes [PY5Me2Ru(μ-CN)Ru(dppe)CpMen][PF6]2 (PY5Me2 = 2, 6-bis (1, 1-bis (2-pyridyl)ethyl) pyridine, Cp = cyclopentadienyl, n = 0, 2[PF6]2; n = 1, 3[PF6]2; n = 5, 4[PF6]2) by using a mononuclear complex [PY5Me2Ru(μ-CN)][PF6] (1) as the precursor. All the three complexes have been fully characterized by including single-crystal X-ray diffraction analysis. The one-electron oxidation complexes 23+, 33+ and 43+ obtained in situ all show a MMCT absorption band in the visible range. The MMCT energy increases as the redox potential of the N-terminal fragments decreases, and the redox potential decreases as the number of methyl groups on the cyclopentadiene of the cyanido-nitrogen coordinated Ru metal increases, supported by the TDF/TDDFT calculations.
  • 加载中
    1. [1]

      Marcus, R. A. Chemical and electrochemical electron-transfer theory. Annu. Rev. Phys. Chem. 1964, 15, 155–196.  doi: 10.1146/annurev.pc.15.100164.001103

    2. [2]

      Hush, N. S. Homogeneous and heterogeneous optical and thermal electron transfer. Electrochim. Acta 1968, 13, 1005–1023.  doi: 10.1016/0013-4686(68)80032-5

    3. [3]

      Rafiq, S.; Scholes, G. D. From fundamental theories to quantum coherences in electron transfer. J. Am. Chem. Soc. 2019, 141, 708–722.  doi: 10.1021/jacs.8b09059

    4. [4]

      Aubrey, M. L.; Wiers, B. M.; Andrews, S. C.; Sakurai, T.; Reyes-Lillo, S. E.; Hamed, S. M.; Yu, C. J.; Darago, L. E.; Mason, J. A.; Baeg, J. O.; Grandjean, F.; Long, G. J.; Seki, S.; Neaton, J. B.; Yang, P.; Long, J. R. Electron delocalization and charge mobility as a function of reduction in a metal-organic framework. Nat. Mater. 2018, 17, 625–632.  doi: 10.1038/s41563-018-0098-1

    5. [5]

      Levanon, H.; Norris, J. R. The photoexcited triplet state and photosynthesis. Chem. Rev. 1978, 78, 185–198.  doi: 10.1021/cr60313a001

    6. [6]

      Kochi, J. K. Electron-transfer mechanisms for organometallic intermediates in catalytic reactions. Acc. Chem. Res. 2002, 7, 351–360.

    7. [7]

      Nitzan, A.; Ratner, M. A. Electron transport in molecular wire junctions. Science 2003, 300, 1384–9.  doi: 10.1126/science.1081572

    8. [8]

      Wenger, O. S. Photoswitchable mixed valence. Chem. Soc. Rev. 2012, 41, 3772–9.  doi: 10.1039/c2cs15339d

    9. [9]

      Heckmann, A.; Lambert, C. Organic mixed-valence compounds: a playground for electrons and holes. Angew Chem. Int. Ed. Engl. 2012, 51, 326–92.  doi: 10.1002/anie.201100944

    10. [10]

      Kang, M. T.; Meng, M.; Tan, Y. N.; Cheng, T.; Liu, C. Y. Tuning the electronic coupling and electron transfer in Mo2 donor-acceptor systems by variation of the bridge conformation. Chemistry 2016, 22, 3115–26.  doi: 10.1002/chem.201504033

    11. [11]

      Zhu, G. Y.; Meng, M.; Tan, Y. N.; Xiao, X.; Liu, C. Y. Electronic coupling between two covalently bonded dimolybdenum units bridged by a naphthalene group. Inorg. Chem. 2016, 55, 6315–22.  doi: 10.1021/acs.inorgchem.6b01021

    12. [12]

      Cheng, T.; Xiao, X.; Zhang, L.; Liu, C. Y.; Wang, L. L.; Meng, M.; Zhao, F.; Wang, H.; Ji, L. N. Photoinduced delta electron transfer in phenylene bridged Mo2 dimers. Phys. Chem. Chem. Phys. 2017, 19, 1740–1745.  doi: 10.1039/C6CP07582G

    13. [13]

      Zhu, G. Y.; Qin, Y.; Meng, M.; Mallick, S.; Gao, H.; Chen, X.; Cheng, T.; Tan, Y. N.; Xiao, X.; Han, M. J.; Sun, M. F.; Liu, C. Y. Crossover between the adiabatic and nonadiabatic electron transfer limits in the landau-zener model. Nat. Commun. 2021, 12, 456.  doi: 10.1038/s41467-020-20557-7

    14. [14]

      Lancaster, K.; Odom, S. A.; Jones, S. C.; Thayumanavan, S.; Marder, S. R.; Bredas, J. L.; Coropceanu, V.; Barlow, S. Intramolecular electron-transfer rates in mixed-valence triarylamines: measurement by variable-temperature ESR spectroscopy and comparison with optical data. J. Am. Chem. Soc. 2009, 131, 171–23.

    15. [15]

      Slenkamp, K. M.; Lynch, M. S.; Van Kuiken, B. E.; Brookes, J. F.; Bannan, C. C.; Daifuku, S. L.; Khalil, M. Investigating vibrational anharmonic couplings in cyanide-bridged transition metal mixed valence complexes using two-dimensional infrared spectroscopy. J. Chem. Phys. 2014, 140, 084505.  doi: 10.1063/1.4866294

    16. [16]

      Oviedo, P. S.; Pieslinger, G. E.; Cadranel, A.; Baraldo, L. M. Exploring the localized to delocalized transition in non-symmetric bimetallic ruthenium polypyridines. Dalton Trans. 2017, 46, 15757–15768.  doi: 10.1039/C7DT02422C

    17. [17]

      Tang, J. H.; Shao, J. Y.; He, Y. Q.; Wu, S. H.; Yao, J.; Zhong, Y. W. Transition from a metal-localized mixed-valence compound to a fully delocalized and bridge-biased electrophore in a ruthenium-amine-ruthenium tricenter system. Chemistry 2016, 22, 10341–5.  doi: 10.1002/chem.201601806

    18. [18]

      Zhong, Y. W.; Gong, Z. L.; Shao, J. Y.; Yao, J. Electronic coupling in cyclometalated ruthenium complexes. Coord. Chem. Rev. 2016, 312, 22–40.  doi: 10.1016/j.ccr.2016.01.002

    19. [19]

      Shao, J. Y.; Gong, Z. L.; Zhong, Y. W. Bridged cyclometalated diruthenium complexes for fundamental electron transfer studies and multi-stage redox switching. Dalton Trans. 2018, 47, 23–29.  doi: 10.1039/C7DT04168C

    20. [20]

      Creutz, C.; Taube, H. Direct approach to measuring the franck-condon barrier to electron transfer between metal ions. J. Am. Chem. Soc. 1969, 91, 3988–3989.  doi: 10.1021/ja01042a072

    21. [21]

      Field, L. D.; Turnbull, A. J.; Turner, P. Acetylide-bridged organometallic oligomers via the photochemical metathesis of methyl-iron(II) complexes. J. Am. Chem. Soc. 2002, 124, 3692–702.  doi: 10.1021/ja011105k

    22. [22]

      Venkatesan, K.; Blacque, O.; Berke, H. Organometallic manganese complexes as scaffolds for potential molecular wires. Dalton Trans. 2007, 1091–100.

    23. [23]

      Olivier, C.; Kim, B.; Touchard, D.; Rigaut, S. Redox-active molecular wires incorporating ruthenium(II) σ-arylacetylide complexes for molecular electronics. Organometallics 2008, 27, 509–518.  doi: 10.1021/om700779x

    24. [24]

      Benameur, A.; Brignou, P.; Di Piazza, E.; Hervault, Y. M.; Norel, L.; Rigaut, S. Redox-active ruthenium(II) σ-arylacetylide wires for molecular electronics incorporating insulating chains. New J. Chem. 2011, 35.

    25. [25]

      Luo, L.; Benameur, A.; Brignou, P.; Choi, S. H.; Rigaut, S.; Frisbie, C. D. Length and temperature dependent conduction of ruthenium-containing redox-active molecular wires. J. Phys. Chem. C 2011, 115, 19955–19961.  doi: 10.1021/jp207336v

    26. [26]

      Egler-Lucas, C.; Blacque, O.; Venkatesan, K.; Lopez-Hernandez, A.; Berke, H. Dinuclear and mononuclear chromium acetylide complexes. Eur. J. Inorg. Chem. 2012, 2012, 1536–1545.  doi: 10.1002/ejic.201100929

    27. [27]

      Lissel, F.; Fox, T.; Blacque, O.; Polit, W.; Winter, R. F.; Venkatesan, K.; Berke, H. Stepwise construction of an iron-substituted rigid-rod molecular wire: targeting a tetraferra-tetracosa-decayne. J. Am. Chem. Soc. 2013, 135, 4051–60.  doi: 10.1021/ja400078c

    28. [28]

      Lissel, F.; Blacque, O.; Venkatesan, K.; Berke, H. Structural and electronic variations of sp/sp2 carbon-based bridges in di- and trinuclear redox-active iron complexes bearing Fe(diphosphine)2x (x = i, ncs) moieties. Organometallics 2015, 34, 408–418.  doi: 10.1021/om500602m

    29. [29]

      Lissel, F.; Schwarz, F.; Blacque, O.; Riel, H.; Lörtscher, E.; Venkatesan, K.; Berke, H. Organometallic single-molecule electronics: tuning electron transport through x(diphosphine)2FeC4Fe(diphosphine)2x building blocks by varying the Fe-X-Au anchoring scheme from coordinative to covalent. J. Am. Chem. Soc. 2014, 136, 14560–14569.  doi: 10.1021/ja507672g

    30. [30]

      Zheng, Q.; Hampel, F.; Gladysz, J. A. Longitudinally extended molecular wires based upon PtC⋮CC⋮CC⋮CC⋮C repeat units: iterative syntheses of functionalized linear PtC8Pt, PtC8PtC8Pt, and PtC8PtC8PtC8Pt assemblies. Organometallics 2004, 23, 589–5899.  doi: 10.1021/om0342659

    31. [31]

      Semenov, S. N.; Blacque, O.; Fox, T.; Venkatesan, K.; Berke, H. Electronic communication in dinuclear C(4)-bridged tungsten complexes. J. Am. Chem. Soc. 2010, 132, 3115–27.  doi: 10.1021/ja909764x

    32. [32]

      Nihei, M.; Ui, M.; Yokota, M.; Han, L.; Maeda, A.; Kishida, H.; Okamoto, H.; Oshio, H. Two-step spin conversion in a cyanide-bridged ferrous square. Angew Chem. Int. Ed. Engl. 2005, 44, 6484–7.  doi: 10.1002/anie.200502216

    33. [33]

      Nihei, M.; Sekine, Y.; Suganami, N.; Nakazawa, K.; Nakao, A.; Nakao, H.; Murakami, Y.; Oshio, H. Controlled intramolecular electron transfers in cyanide-bridged molecular squares by chemical modifications and external stimuli. J. Am. Chem. Soc. 2011, 133, 3592–600.  doi: 10.1021/ja109721w

    34. [34]

      Hoshino, N.; Iijima, F.; Newton, G. N.; Yoshida, N.; Shiga, T.; Nojiri, H.; Nakao, A.; Kumai, R.; Murakami, Y.; Oshio, H. Three-way switching in a cyanide-bridged [CoFe] chain. Nat. Chem. 2012, 4, 921–6.  doi: 10.1038/nchem.1455

    35. [35]

      Jiao, C. Q.; Meng, Y. S.; Yu, Y.; Jiang, W. J.; Wen, W.; Oshio, H.; Luo, Y.; Duan, C. Y.; Liu, T. Effect of intermolecular interactions on metal-to-metal charge transfer: a combined experimental and theoretical investigation. Angew Chem. Int. Ed. Engl. 2019, 58, 17009–17015.  doi: 10.1002/anie.201909495

    36. [36]

      Albores, P.; Slep, L. D.; Weyhermuller, T.; Baraldo, L. M. Fine tuning of the electronic coupling between metal centers in cyano-bridged mixed-valent trinuclear complexes. Inorg. Chem. 2004, 43, 6762–73.  doi: 10.1021/ic0493649

    37. [37]

      Albores, P.; Slep, L. D.; Eberlin, L. S.; Corilo, Y. E.; Eberlin, M. N.; Benitez, G.; Vela, M. E.; Salvarezza, R. C.; Baraldo, L. M. From monomers to geometry-constrained molecules: one step further toward cyanide bridged wires. Inorg. Chem. 2009, 48, 11226–35.  doi: 10.1021/ic901710x

    38. [38]

      Cadranel, A.; Albores, P.; Yamazaki, S.; Kleiman, V. D.; Baraldo, L. M. Efficient energy transfer via the cyanide bridge in dinuclear complexes containing Ru(II) polypyridine moieties. Dalton Trans. 2012, 41, 5343–50.  doi: 10.1039/c2dt11869f

    39. [39]

      Pieslinger, G. E.; Albores, P.; Slep, L. D.; Coe, B. J.; Timpson, C. J.; Baraldo, L. M. Communication between remote moieties in linear Ru-Ru-Ru trimetallic cyanide-bridged complexes. Inorg. Chem. 2013, 52, 2906–17.  doi: 10.1021/ic302173g

    40. [40]

      Pieslinger, G. E.; Albores, P.; Slep, L. D.; Baraldo, L. M. Class III delocalization in a cyanide-bridged trimetallic mixed-valence complex. Angew Chem. Int. Ed. Engl. 2014, 53, 1293–6.  doi: 10.1002/anie.201307025

    41. [41]

      Pieslinger, G. E.; Aramburu-Troselj, B. M.; Cadranel, A.; Baraldo, L. M. Influence of the electronic configuration in the properties of d6-d5 mixed-valence complexes. Inorg. Chem. 2014, 53, 8221–9.  doi: 10.1021/ic5002539

    42. [42]

      Cadranel, A.; Oviedo, P. S.; Pieslinger, G. E.; Yamazaki, S.; Kleiman, V. D.; Baraldo, L. M.; Guldi, D. M. Trapping intermediate mlct states in low-symmetry {Ru(bpy)} complexes. Chem. Sci. 2017, 8, 7434–7442.  doi: 10.1039/C7SC02670F

    43. [43]

      Cadranel, A.; Oviedo, P. S.; Albores, P.; Baraldo, L. M.; Guldi, D. M.; Hodak, J. H. Electronic energy transduction from {Ru(py)4} chromophores to Cr(III) luminophores. Inorg. Chem. 2018, 57, 3042–3053.  doi: 10.1021/acs.inorgchem.7b02799

    44. [44]

      Aramburu-Troselj, B. M.; Oviedo, P. S.; Pieslinger, G. E.; Hodak, J. H.; Baraldo, L. M.; Guldi, D. M.; Cadranel, A. A hole delocalization strategy: photoinduced mixed-valence mlct states featuring extended lifetimes. Inorg. Chem. 2019, 58, 10898–10904.  doi: 10.1021/acs.inorgchem.9b01254

    45. [45]

      Aramburu-Troselj, B. M.; Oviedo, P. S.; Ramirez-Wierzbicki, I.; Baraldo, L. M.; Cadranel, A. Inversion of donor-acceptor roles in photoinduced intervalence charge transfers. Chem. Commun. (Camb) 2019, 55, 7659–7662.  doi: 10.1039/C9CC03483H

    46. [46]

      Oviedo, P. S.; Pieslinger, G. E.; Baraldo, L. M.; Cadranel, A.; Guldi, D. M. Coexistence of mlct excited states of different symmetry upon photoexcitation of a single molecular species. J. Phys. Chem. C 2019, 123, 3285–3291.

    47. [47]

      Dominguez, S. E.; Pieslinger, G. E.; Sanchez-Merlinsky, L.; Baraldo, L. M. Does geometry matter? Effect of the ligand position in bimetallic ruthenium polypyridine siblings. Dalton Trans. 2020, 49, 4125–4135.  doi: 10.1039/D0DT00040J

    48. [48]

      Sheng, T.; Vahrenkamp, H. Long range metal-metal interactions along Fe−NC−Ru−CN−Fe chains. Eur. J. Inorg. Chem. 2004, 2004, 1198–1203.

    49. [49]

      Ma, X.; Lin, C. S.; Zhu, X. Q.; Hu, S. M.; Sheng, T. L.; Wu, X. T. An unusually delocalized mixed-valence state of a cyanidometal-bridged compound induced by thermal electron transfer. Angew Chem. Int. Ed. Engl. 2017, 56, 1605–1609.  doi: 10.1002/anie.201610855

    50. [50]

      Yang, Y. Y.; Zhu, X. Q.; Hu, S. M.; Su, S. D.; Zhang, L. T.; Wen, Y. H.; Wu, X. T.; Sheng, T. L. Different degrees of electron delocalization in mixed valence Ru-Ru-Ru compounds by cyanido-/isocyanido-bridge isomerism. Angew Chem. Int. Ed. Engl. 2018, 57, 14046–14050.  doi: 10.1002/anie.201806157

    51. [51]

      Li, S. H.; Liu, Y.; Yang, Y. Y.; Zhang, Y. X.; Xu, Q. D.; Hu, S. M.; Wu, X. T.; Sheng, T. L. Syntheses, crystal structures and mmct properties of cyanide-bridged binuclear Ru-Fe complexes. Polyhedron 2019, 173.

    52. [52]

      Su, S. D.; Zhu, X. Q.; Wen, Y. H.; Zhang, L. T.; Yang, Y. Y.; Lin, C. S.; Wu, X. T.; Sheng, T. L. A diruthenium-based mixed spin complex Ru2 (5+) (s = 1/2)-CN-Ru2 (5+) (s = 3/2). Angew Chem. Int. Ed. Engl. 2019, 58, 15344–15348.  doi: 10.1002/anie.201909097

    53. [53]

      Zhang, L. T.; Zhu, X. Q.; Hu, S. M.; Zhang, Y. X.; Su, S. D.; Yang, Y. Y.; Wu, X. T.; Sheng, T. L. Influence of ligand substitution at the donor and acceptor center on mmct in a cyanide-bridged mixed-valence system. Dalton Trans. 2019, 48, 7809–7816.  doi: 10.1039/C9DT01303B

    54. [54]

      Yang, Y. Y.; Zhu, X. Q.; Launay, J. P.; Hong, C. B.; Su, S. D.; Wen, Y. H.; Wu, X. T.; Sheng, T. L. Electron transfer process in mixed valence compounds with low-lying energy bridge in different oxidation states. Angew Chem. Int. Ed. Engl. 2020, 60, 4804–4814.

    55. [55]

      Hatanaka, T.; Ohki, Y.; Kamachi, T.; Nakayama, T.; Yoshizawa, K.; Katada, M.; Tatsumi, K. Naphthalene and anthracene complexes sandwiched by two {(Cp*)Fe(I)} fragments: strong electronic coupling between the Fe(I) centers. Chem. Asian J. 2012, 7, 1231–42.  doi: 10.1002/asia.201101037

    56. [56]

      Schnöckelborg, E. M.; Hartl, F.; Langer, T.; Pöttgen, R.; Wolf, R. Redox-active, dinuclear sandwich compounds [Cp*Fe(μ-l)FeCp*] (l = naphthalene and anthracene). European Journal of Inorg. Chem. 2012, 2012, 1632–1638.  doi: 10.1002/ejic.201200001

    57. [57]

      Malberg, J.; Lupton, E.; Schnöckelborg, E. M.; de Bruin, B.; Sutter, J.; Meyer, K.; Hartl, F.; Wolf, R. Synthesis and electronic structure of dissymmetrical, naphthalene-bridged sandwich complexes [Cp′Fe(μ-c10h8)mcp*]x (x = 0, +1; m = Fe, Ru; Cp′ = η5-c5h2-1, 2, 4-tbu3; Cp* = η5-C5Me5). Organometallics 2013, 32, 6040–6052.  doi: 10.1021/om4005862

    58. [58]

      Herrmann, D.; Rodl, C.; de Bruin, B.; Hartl, F.; Wolf, R. Synthesis, electronic structure and redox properties of the diruthenium sandwich complexes [Cp*Ru(mu-C10H8)RuCp*](x) (x = 0, 1+; Cp* = C5Me5; C10H8 = naphthalene). Dalton Trans. 2018, 47, 11058–11069.  doi: 10.1039/C8DT02003E

    59. [59]

      Ibanez, S.; Poyatos, M.; Peris, E. Mono and dimetallic pyrene-imidazolylidene complexes of iridium(III) for the deuteration of organic substrates and the C-C coupling of alcohols. Dalton Trans. 2016, 45, 14154–9.  doi: 10.1039/C6DT02942F

    60. [60]

      Carter, A.; Mason, A.; Baker, M. A.; Bettler, D. G.; Changas, A.; McMillen, C. D.; Tapu, D. Janus-type bis(malonhc) and its zwitterionic gold and silver metal complexes. Organometallics 2017, 36, 1867–1872.  doi: 10.1021/acs.organomet.7b00206

    61. [61]

      Sheldrick, G. M. Crystal structure refinement with shelxl. Acta Crystallogr. C Struct. Chem. 2015, 71, 3–8.  doi: 10.1107/S2053229614024218

    62. [62]

      Dolomanov, O. V.; Bourhis, L. J.; Gildea, R. J.; Howard, J. A. K.; Puschmann, H. Olex2: a complete structure solution, refinement and analysis program. J. Appl. Crystallogr. 2009, 42, 339–341.  doi: 10.1107/S0021889808042726

    63. [63]

      Spek, A. L. Structure validation in chemical crystallography. Acta Crystallogr. D Biol. Crystallogr. 2009, 65, 148–55.  doi: 10.1107/S090744490804362X

    64. [64]

      Bechlars, B.; D'Alessandro, D. M.; Jenkins, D. M.; Iavarone, A. T.; Glover, S. D.; Kubiak, C. P.; Long, J. R. High-spin ground states via electron delocalization in mixed-valence imidazolate-bridged divanadium complexes. Nat. Chem. 2010, 2, 362–8.  doi: 10.1038/nchem.585

    65. [65]

      Gluyas, J. B. G.; Brown, N. J.; Farmer, J. D.; Low, P. J. Optimised syntheses of the half-sandwich complexes FeCl(dppe)Cp*, FeCl(dppe)Cp, RuCl(dppe)Cp*, and RuCl(dppe)Cp. Aust. J. Chem. 2017, 70, 113–119.  doi: 10.1071/CH16322

    66. [66]

      Bruce, M. I.; Ellis, B. G.; Low, P. J.; Skelton, B. W.; White, A. H. Syntheses, structures, and spectro-electrochemistry of {Cp*(PP)Ru}C⋮CC⋮C{Ru(PP)Cp*} (pp = dppm, dppe) and their mono- and dications. Organometallics 2003, 22, 3184–3198.  doi: 10.1021/om030015g

    67. [67]

      Perkins, G. J.; Bruce, M. I.; Skelton, B. W.; White, A. H. A new precursor for organo-osmium complexes. Inorg. Chim. Acta 2006, 359, 2644–2649.  doi: 10.1016/j.ica.2005.09.070

    68. [68]

      Ohzu, S.; Ishizuka, T.; Kotani, H.; Kojima, T. Reactivity of a Ru(III)-hydroxo complex in substrate oxidation in water. Chem. Commun. (Camb) 2014, 50, 15018–21.  doi: 10.1039/C4CC07488B

    69. [69]

      Becke, A. D. Density-functional thermochemistry. III. The role of exact exchange. J. Chem. Phys. 1993, 98, 5648–5652.  doi: 10.1063/1.464913

    70. [70]

      Hay, P. J.; Wadt, W. R. Ab initio effective core potentials for molecular calculations. Potentials for k to Au including the outermost core orbitals. J. Chem. Phys. 1985, 82, 299–310.  doi: 10.1063/1.448975

  • 加载中
    1. [1]

      Shanshan ChengLingjing YuSiqi LiuHongyi GaoChangan WangZeyang SongSupakorn BoonyuenMuye NiuGe Wang . Regulating electron transfer between valence-variable Fe and Cu sites in bimetallic MOFs to enhance ROS generation for day-night antibacterial efficacy. Chinese Chemical Letters, 2026, 37(6): 111553-. doi: 10.1016/j.cclet.2025.111553

    2. [2]

      Chunxiu YuZelin WuHongle ShiLingyun GuKexin ChenChuan-Shu HeYang LiuHeng ZhangPeng ZhouZhaokun XiongBo Lai . Insights into the electron transfer mechanisms of peroxydisulfate activation by modified metal-free acetylene black for degradation of sulfisoxazole. Chinese Chemical Letters, 2024, 35(8): 109334-. doi: 10.1016/j.cclet.2023.109334

    3. [3]

      Yuan TengZichun ZhouJinghua ChenSiying HuangHongyan ChenDaibin Kuang . Dual atom-bridge effect promoting interfacial charge transfer in 2D/2D Cs3Bi2Br9/BiOBr epitaxial heterojunction for efficient photocatalysis. Chinese Chemical Letters, 2025, 36(2): 110430-. doi: 10.1016/j.cclet.2024.110430

    4. [4]

      Yan-Rui Zhao Jin Zhang Shi-Kun Yan Guang-Zhi Zhou Ya-Hui Wang Qi-Yue Xin Ji-Xiang Hu . Solvent-coordination directed control of electron transfer dynamics in photoactive complexes. Chinese Journal of Structural Chemistry, 2025, 44(12): 100753-100753. doi: 10.1016/j.cjsc.2025.100753

    5. [5]

      Manlin LuSheng LiaoJiayu LiZidong YuNingjiu ZhaoZuoti XieShunli ChenLi DangMing-De Li . Face-to-face π-π interactions and electron communication boosting efficient reverse intersystem crossing in through-space charge transfer molecules. Chinese Chemical Letters, 2025, 36(6): 110066-. doi: 10.1016/j.cclet.2024.110066

    6. [6]

      Zhen-Wei ZhangDa-Shuai ZhangWei WangXiao-Ting LiuHui HuYong-Zheng ZhangLonglong GengBin LiYuchen DengRongmin WeiXiuling ZhangYuexing ZhangZe Chang . Construction of through-space charge transfer donor-acceptor coordination polymers through the combination of planar electron-deficient/rich ligands. Chinese Chemical Letters, 2026, 37(3): 110710-. doi: 10.1016/j.cclet.2024.110710

    7. [7]

      Huizhong WuRuiheng LiangGe SongZhongzheng HuXuyang ZhangMinghua Zhou . Enhanced interfacial charge transfer on Bi metal@defective Bi2Sn2O7 quantum dots towards improved full-spectrum photocatalysis: A combined experimental and theoretical investigation. Chinese Chemical Letters, 2024, 35(6): 109131-. doi: 10.1016/j.cclet.2023.109131

    8. [8]

      Yueting MaZhiyan FengYuxin DongZhiyong YanHou WangYan Wu . Harnessing the interfacial sulfur-edge and metal-edge sites in ZnIn2S4/MnS heterojunctions boosts charge transfer for photocatalytic hydrogen production. Chinese Chemical Letters, 2025, 36(6): 110922-. doi: 10.1016/j.cclet.2025.110922

    9. [9]

      Haiyan Yin Abdusalam Ablez Zhuangzhuang Wang Weian Li Yanqi Wang Qianqian Hu Xiaoying Huang . Novel open-framework chalcogenide photocatalysts: Cobalt cocatalyst valence state modulating critical charge transfer pathways towards high-efficiency hydrogen evolution. Chinese Journal of Structural Chemistry, 2025, 44(4): 100560-100560. doi: 10.1016/j.cjsc.2025.100560

    10. [10]

      Yiqian JiangZihan YangXiuru BiNan YaoPeiqing ZhaoXu Meng . Mediated electron transfer process in α-MnO2 catalyzed Fenton-like reaction for oxytetracycline degradation. Chinese Chemical Letters, 2024, 35(8): 109331-. doi: 10.1016/j.cclet.2023.109331

    11. [11]

      Huifang MaTao XuSaifei YuanShujuan LiJiayao WangYuping ZhangHao RenShulai Lei . Interlayer interactions and electron transfer effects on sodium adsorption on 2D heterostructures surfaces. Chinese Chemical Letters, 2025, 36(8): 110219-. doi: 10.1016/j.cclet.2024.110219

    12. [12]

      Wan-Yin GaoXiao-Qiang CaoLi-Fei HouHao-Yun LuZhao-Jing ZhuWen-Jia KongYang ZhangYi-Zhen ZhangYa-Nan ShangXing Xu . Electron transfer chemistry triggered by silicon-doped carbon catalysts derived from natural minerals for the degradation of organic pollutants. Chinese Chemical Letters, 2026, 37(1): 111095-. doi: 10.1016/j.cclet.2025.111095

    13. [13]

      Jun ShiXueting ZhouBing-Qing YangBiaobiao JiangWei WuHai Ren . Single-electron transfer enables enantioselective synthesis of spirooxindoles via dual copper and phosphoric acid catalysis. Chinese Chemical Letters, 2026, 37(4): 111250-. doi: 10.1016/j.cclet.2025.111250

    14. [14]

      Yi LiuZhe-Hao WangGuan-Hua XueLin ChenLi-Hua YuanYi-Wen LiDa-Gang YuJian-Heng Ye . Photocatalytic dicarboxylation of strained C–C bonds with CO2 via consecutive visible-light-induced electron transfer. Chinese Chemical Letters, 2024, 35(6): 109138-. doi: 10.1016/j.cclet.2023.109138

    15. [15]

      Yun-Xin HuangLin-Qian YuKe-Yu ChenHao WangShou-Yan ZhaoBao-Cheng HuangRen-Cun Jin . Biochar with self-doped N to activate peroxymonosulfate for bisphenol-A degradation via electron transfer mechanism: The active edge graphitic N site. Chinese Chemical Letters, 2024, 35(9): 109437-. doi: 10.1016/j.cclet.2023.109437

    16. [16]

      Quanyou GuoYue YangTingting HuHongqi ChuLijun LiaoXuepeng WangZhenzi LiLiping GuoWei Zhou . Regulating local electron transfer environment of covalent triazine frameworks through F, N co-modification towards optimized oxygen reduction reaction. Chinese Chemical Letters, 2025, 36(1): 110235-. doi: 10.1016/j.cclet.2024.110235

    17. [17]

      Yan FanJiao TanCuijuan ZouXuliang HuXing FengXin-Long Ni . Unprecedented stepwise electron transfer and photocatalysis in supramolecular assembly derived hybrid single-layer two-dimensional nanosheets in water. Chinese Chemical Letters, 2025, 36(4): 110101-. doi: 10.1016/j.cclet.2024.110101

    18. [18]

      Siyang XueChen ChengJieqiong KangKaixuan ZhengAdela Jing LiRenli Yin . Oxygen vacancies-rich BiOBr bridged direct electron transfer with peroxymonosulfate for integrating superoxide radical and singlet oxygen on selective pollutants degradation. Chinese Chemical Letters, 2025, 36(10): 110776-. doi: 10.1016/j.cclet.2024.110776

    19. [19]

      Wenrui JiaChenghuan QiaoDongfang ZhaoJuanshan DuYaohua WuYongqi LiangQinglian WuXiaochi FengHuazhe WangWanqian Guo . Insight into nitrogen-doped biochar prepared from Chinese medicine compound residue for peracetic acid activation in sulfamethoxazole degradation: Electron transfer mechanism. Chinese Chemical Letters, 2025, 36(11): 110886-. doi: 10.1016/j.cclet.2025.110886

    20. [20]

      Lu ZhangBaohua WangWei YangLunan JuZihan FuLei ZhaoYunqi JiangHongyan WangXiansheng WangCong Lyu . CoOOH@COFs S−scheme heterojunction for efficient triclosan degradation in photocatalytic-peroxymonosulfate activation system: Enhanced interfacial electron transfer mechanism. Chinese Chemical Letters, 2026, 37(1): 111142-. doi: 10.1016/j.cclet.2025.111142

Metrics
  • PDF Downloads(1)
  • Abstract views(1452)
  • HTML views(76)

通讯作者: 陈斌, bchen63@163.com
  • 1. 

    沈阳化工大学材料科学与工程学院 沈阳 110142

  1. 本站搜索
  2. 百度学术搜索
  3. 万方数据库搜索
  4. CNKI搜索
Address:Zhongguancun North First Street 2,100190 Beijing, PR China Tel: +86-010-82449177-888
Powered By info@rhhz.net

/

DownLoad:  Full-Size Img  PowerPoint
Return