Citation: Ling-Bin ZHU, Fei LI, Ming-Ling SUN, Ye-Yan QIN, Yuan-Gen YAO. Three New Isostructural Metal-organic Coordination Polymers from Triangular Pyridinedicarboxylate Ligand: Syntheses, Structures and Properties[J]. Chinese Journal of Structural Chemistry, ;2021, 40(8): 1031-1038. doi: 10.14102/j.cnki.0254–5861.2011–3078 shu

Three New Isostructural Metal-organic Coordination Polymers from Triangular Pyridinedicarboxylate Ligand: Syntheses, Structures and Properties

  • Corresponding author: Yuan-Gen YAO, yyg@fjirsm.ac.cn
  • Received Date: 25 December 2020
    Accepted Date: 5 February 2021

    Fund Project: the National Natural Science Foundation of China 21703247the Science Foundation of Fujian Province 2018J05029the Science Foundation of Fujian Province 2019J05156the Science Foundation of Fujian Province 2019H0053

Figures(6)

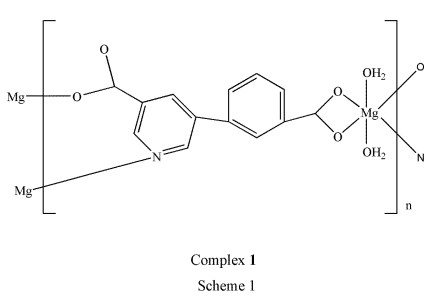
  • Three new isostructural coordination polymers, namely, [Mg(cpna)(H2O)2]n (1), [Mn(cpna)(H2O)2]n (2) and [Co(cpna)(H2O)2]n (3) (H2cpna = 5-(3-carboxylphenyl)nicotic acid) are reported. They were synthesized by hydrothermal reactions of transition metal or alkaline earth metal chloride with 5-(3-carboxylphenyl)nicotic acid, respectively. Complexes 1~3 exhibit 2D layers with a 3, 3-connected topology with Schläfli symbol {4.82}. Such layers including hexagonal rings and a quadrangular ring are further extended into an ordered 3D framework by hydrogen bonds between the cpna2- ligands and water molecules. The rare complex 1 has excellent luminescence and can be used as luminescent materials, while 2 and 3 possess prominent magnetism with potential applications in magnetic materials.
  • 加载中
    1. [1]

      Hu, Z.; Deibert, B. J.; Li, J. Luminescent metal-organic frameworks for chemical sensing and explosive detection. Chem. Soc. Rev. 2014, 43, 5815–5840.  doi: 10.1039/C4CS00010B

    2. [2]

      Dhakshinamoorthy, A.; Garcia, H. Metal-organic frameworks as solid catalysts for the synthesis of nitrogen-containing heterocycles. Chem. Soc. Rev. 2014, 43, 5750–5765.  doi: 10.1039/C3CS60442J

    3. [3]

      He, Y.; Zhou, W.; Qian, G.; Chen, B. Methane storage in metal-organic frameworks. Chem. Soc. Rev. 2014, 43, 5657–5678.  doi: 10.1039/C4CS00032C

    4. [4]

      Li, B.; Wen, H. M.; Zhou, W.; Chen, B. Porous metal-organic frameworks for gas storage and separation: what, how, and why? J. Phys. Chem. Lett. 2014, 5, 3468–3479.  doi: 10.1021/jz501586e

    5. [5]

      Almasi, M.; Zelenak, V.; Gyepes, R.; Zauska, L.; Bourrelly, S. A series of four novel alkaline earth metal-organic frameworks constructed of Ca(Ⅱ), Sr(Ⅱ), Ba(Ⅱ) ions and tetrahedral MTB linker: structural diversity, stability study and low/high-pressure gas adsorption properties. RSC ADV. 2020, 10, 32323–32334.  doi: 10.1039/D0RA05145D

    6. [6]

      He, Y. P.; Tan, Y. X.; Zhang, J. Gas sorption, second-order nonlinear optics, and luminescence properties of a series of lanthanide-organic frameworks based on nanosized tris((4-carboxyl)phenylduryl)amine ligand. Inorg. Chem. 2013, 52, 12758–12762.  doi: 10.1021/ic4020256

    7. [7]

      Coronado, E.; Espallargas, G. M. Dynamic magnetic MOFs. Chem. Soc. Rev. 2013, 42, 1525–1539.  doi: 10.1039/C2CS35278H

    8. [8]

      Gu, J. Z.; Cai, Y.; Wen, M.; Shi, Z. F.; Kirillov, A. M. A new series of Cd(Ⅱ) metal-organic architectures driven by soft ether-bridged tricarboxylate spacers: synthesis, structural and topological versatility, and photocatalytic properties. Dalton Trans. 2018, 47, 14327–14339.  doi: 10.1039/C8DT02467G

    9. [9]

      Liang, Y. C.; Cao, R.; Su, W. P.; Hong, M. C.; Zhang, W. J. Syntheses, structures, and magnetic properties of two gadolinium(Ⅲ)-copper(Ⅱ) coordination polymers by a hydrothermal reaction. Angew. Chem. Int. Ed. 2000, 39, 3304–3307.  doi: 10.1002/1521-3773(20000915)39:18<3304::AID-ANIE3304>3.0.CO;2-H

    10. [10]

      Lahoud, M. G.; Muniz, E. C.; Arroyos, G.; Favaro, M. A.; Davolos, M. R.; D'Vries, R. F.; Ellena, J.; Freitas, R. S.; Arrighi, E.; Frem, RCG. Rare earth coordination dinuclear compounds constructed from 3, 5-dicarboxypyrazolate and succinate intermetallic bridges. New J. Chem. 2016, 40, 5338–5346.  doi: 10.1039/C6NJ00140H

    11. [11]

      Hou, J. J.; Zhang, R.; Qin, Y. L.; Zhang, X. M. From (3, 6)-connected kgd, chiral anh to (3, 8)-connected tfz-d nets in low nuclear metal cluster-based networks with triangular pyridinedicarboxylate ligand. Cryst. Growth Des. 2013, 13, 1618–1625.  doi: 10.1021/cg301827p

    12. [12]

      Wang, H. M.; Yang, Y. Y.; Zeng, C. H.; Chu, T. S.; Zhu, Y. M.; Ng, S. W. A highly luminescent terbium-organic framework for reversible detection of mercury ions in aqueous solution. Photochem. Photobial. Sci. 2013, 12, 1700–1706.  doi: 10.1039/c3pp50105a

    13. [13]

      Han, Y.; Xu, H.; Liu, Y.; Li, H.; Hou, H.; Fan, Y.; Batten, S. R. Temperature-dependent capture of water molecules by saddle-shaped hexanuclear carboxylate cycloclusters in a (3, 18)-connected metal-organic framework. Chem. Eur. J. 2012, 18, 13954–13958.  doi: 10.1002/chem.201201559

    14. [14]

      Liu, B.; Li, Y.; Hou, L.; Yang, G.; Wang, Y. Y.; Shi, Q. Z. Dynamic Zn-based metal-organic framework: stepwise adsorption, hysteretic desorption and selective carbon dioxide uptake. J. Mater. Chem. A 2013, 1, 6535–6538.  doi: 10.1039/c3ta10918f

    15. [15]

      Chen, J.; Zhang, Q.; Liu, Z. F.; Wang, S. H.; Xiao, Y.; Li, R.; Xu, J. G.; Zhao, Y. P.; Zheng, F. K.; Guo, G. C. Color tunable and near white-light emission of two solvent-induced 2D lead(Ⅱ) coordination networks based on a rigid ligand 1-tetrazole-4-imidazole-benzene. Dalton Transactions. 2015, 44, 10089–10096.  doi: 10.1039/C5DT00929D

    16. [16]

      Sheldrick, G. M. Crystal structure refinement with SHELXL. Acta Cryst. C 2015, 71, 3–8.  doi: 10.1107/S2053229614024218

    17. [17]

      Spek, A. L. PLATON SQUEEZE: a tool for the calculation of the disordered solvent contribution to the calculated structure factors. Acta Cryst. C 2015, 71, 9–18.  doi: 10.1107/S2053229614024929

    18. [18]

      Biswas, A.; Kim, M. B.; Kim, S. Y.; Yoon, T. U.; Kim, S. I.; Bae, Y. S. A novel 3-D microporous magnesium-based metal-organic framework with open metal sites. RSC Adv. 2016, 6, 81485–81490.  doi: 10.1039/C6RA12946C

    19. [19]

      Allendorf, M. D.; Bauer, C. A.; Bhakta, R. K.; Houk, R. J. T. Luminescent metal-organic frameworks. Chem. Soc. Rev. 2009, 38, 1330–1352.  doi: 10.1039/b802352m

    20. [20]

      Cui, Y.; Yue, Y.; Qian, G.; Chen, B. Luminescent functional metal-organic frameworks. Chem. Rev. 2012, 112, 1126–1162.  doi: 10.1021/cr200101d

    21. [21]

      Heine, J.; Mueller-Buschbaum, K. Engineering metal-based luminescence in coordination polymers and metal-organic frameworks. Chem. Soc. Rev. 2013, 42, 9232–9242.  doi: 10.1039/c3cs60232j

    22. [22]

      Fu, G.; He, Y.; Li, W.; Miao, T.; Lue, X.; He, H.; Liu, L.; Wong, W, Y. Efficient white polymer light-emitting diodes (WPLEDs) based on covalent-grafting of Zn-2(MP)(3)(OAc) into PVK. Chem Sci. 2020, 11, 2640–2646.  doi: 10.1039/C9SC05288G

    23. [23]

      Son, H. J.; Han, W. S.; Chun, J. Y.; Kang, B. K.; Kwon, S. N.; Ko, J.; Han, S. J.; Lee, C.; Kim, S. J.; Kang, S. O. Generation of blue light-emitting zinc complexes by band-gap control of the oxazolyl phenolate ligand system: syntheses, characterizations, and organic light emitting device applications of 4-coordinated bis(2-oxazolylphenolate) zinc(Ⅱ) complexes. Inorg. Chem. 2008, 47, 5666–5676.  doi: 10.1021/ic702491j

    24. [24]

      Lu, J.; Wu, H. F.; Wang, W. F.; Xu, J. G.; Zheng, F. K.; Guo, G. C. Calcium-based efficient cathode-ray scintillating metal-organic frameworks constructed from pi-conjugated luminescent motifs. Chem. Commun. 2019, 55, 13816–13819.  doi: 10.1039/C9CC06760D

    25. [25]

      Yan, Y.; Chen, J.; Zhang, N. N.; Wang, M. S.; Sun, C.; Xing, X. S.; Li, R.; Xu, J. G.; Zheng, F. K.; Guo, G. C. Grinding size-dependent mechanoresponsive luminescent Cd(Ⅱ) coordination polymer. Dalton Trans. 2016, 45, 18074–18078.  doi: 10.1039/C6DT03794A

  • 加载中
    1. [1]

      Yanfen PENGXinyue WANGTianbao LIUXiaoshuo WUYujing WEI . Syntheses and luminescence of four Cd(Ⅱ)/Zn(Ⅱ) complexes constructed by 1,3‐bis(4H‐1,2,4‐triazole)benzene. Chinese Journal of Inorganic Chemistry, 2025, 41(7): 1416-1426. doi: 10.11862/CJIC.20250018

    2. [2]

      Wanting CHENChufei MIAOYan LIUBobi ZHENGXiaoyu ZHENGHan XUJumei TIAN . Syntheses, characterization, and luminescence properties of Yb(Ⅲ)-based one-dimensional chain coordination polymer. Chinese Journal of Inorganic Chemistry, 2025, 41(8): 1672-1680. doi: 10.11862/CJIC.20250013

    3. [3]

      Huaihao CHENLingwen ZHANGYukun CHENJianjun ZHANG . A water-stable metal-organic framework probe for Al3+/Ga3+/In3+ detection. Chinese Journal of Inorganic Chemistry, 2025, 41(12): 2601-2608. doi: 10.11862/CJIC.20250184

    4. [4]

      Yueyue WEIXuehua SUNHongmei CHAIWanqiao BAIYixia RENLoujun GAOGangqiang ZHANGJun ZHANG . Two Ln-Co (Ln=Eu, Sm) metal-organic frameworks: Structures, magnetism, and fluorescent sensing sulfasalazine and glutaraldehyde. Chinese Journal of Inorganic Chemistry, 2024, 40(12): 2475-2485. doi: 10.11862/CJIC.20240193

    5. [5]

      Ting WANGPeipei ZHANGShuqin LIURuihong WANGJianjun ZHANG . A Bi-CP-based solid-state thin-film sensor: Preparation and luminescence sensing for bioamine vapors. Chinese Journal of Inorganic Chemistry, 2024, 40(8): 1615-1621. doi: 10.11862/CJIC.20240134

    6. [6]

      Ning LISiyu DUXueyi WANGHui YANGTao ZHOUZhimin GUANPeng FEIHongfang MAShang JIANG . Preparation and efficient catalysis for olefins epoxidation of a polyoxovanadate-based hybrid. Chinese Journal of Inorganic Chemistry, 2024, 40(4): 799-808. doi: 10.11862/CJIC.20230372

    7. [7]

      Xiaxia LIUXiaofang MALuxia GUOXianda HANSisi FENG . Structure and magnetic properties of Mn(Ⅱ) coordination polymers regulated by N-auxiliary ligands. Chinese Journal of Inorganic Chemistry, 2025, 41(3): 587-596. doi: 10.11862/CJIC.20240269

    8. [8]

      Xian-Mei ZhaoLi-Wei TangYi LiuYu MaTian YangHao RongLin-Jie WeiJun-Hua LuoZhi-Hua Sun . Enhancing interlayer hydrogen bonds of 2D Ruddlesden-Popper perovskite toward stable polarization-sensitive photodetection. Chinese Chemical Letters, 2025, 36(7): 110092-. doi: 10.1016/j.cclet.2024.110092

    9. [9]

      Liyong DingZhenhua PanQian Wang . 2D photocatalysts for hydrogen peroxide synthesis. Chinese Chemical Letters, 2024, 35(12): 110125-. doi: 10.1016/j.cclet.2024.110125

    10. [10]

      Hengying XiangNanping DengLu GaoWen YuBowen ChengWeimin Kang . 3D core-shell nanofibers framework and functional ceramic nanoparticles synergistically reinforced composite polymer electrolytes for high-performance all-solid-state lithium metal battery. Chinese Chemical Letters, 2024, 35(8): 109182-. doi: 10.1016/j.cclet.2023.109182

    11. [11]

      Yu Tian Yijun Lin Siyu Deng Yinghe Tan Xuanyi Bie Zhaoyang Chen Pangkuan Chen . Metal-Coordinate Complexes (M = 3d, 4f) with Enhanced Circularly Polarized Luminescence in Planar Chiral Pillar[5]arenes. Chinese Journal of Structural Chemistry, 2025, 44(8): 100626-100626. doi: 10.1016/j.cjsc.2025.100626

    12. [12]

      Qi ZhangBin HanYucheng JinMingrun LiEnhui ZhangJianzhuang Jiang . 2D and 3D phthalocyanine covalent organic frameworks for electrocatalytic carbon dioxide reduction. Chinese Chemical Letters, 2025, 36(9): 110330-. doi: 10.1016/j.cclet.2024.110330

    13. [13]

      Tong WANGXuefang ZHUQi GAOHongbo ZHANGChao RENLixia GE . Luminescence and thermal stability of Tb3+-Eu3+ doped glass-ceramics containing Na8.12Y1.293Si6O18 crystal phase. Chinese Journal of Inorganic Chemistry, 2025, 41(11): 2237-2250. doi: 10.11862/CJIC.20250137

    14. [14]

      Gongxi LiJun JinJunxuan TuHaoguo YueYing WangXiaohui JiaWeiyuan YinZhenglin HanYuxuan DengChunfeng ShiYonggang Zhen . Intrinsically stretchable polymer semiconductors synergistically constructed by hydrogen bonds and metal coordination. Chinese Chemical Letters, 2025, 36(12): 111716-. doi: 10.1016/j.cclet.2025.111716

    15. [15]

      Jiaqi YangXuqiang HaoJiejie JingYuqiang HaoZhiliang Jin . 3D/2D ReSe2/ZnCdS S-scheme photocatalyst with efficient interfacial charge separation for optimized hydrogen production. Acta Physico-Chimica Sinica, 2025, 41(10): 100131-0. doi: 10.1016/j.actphy.2025.100131

    16. [16]

      Zongyi HuangCheng GuoQuanxing ZhengHongliang LuPengfei MaZhengzhong FangPengfei SunXiaodong YiZhou Chen . Efficient photocatalytic biomass-alcohol conversion with simultaneous hydrogen evolution over ultrathin 2D NiS/Ni-CdS photocatalyst. Chinese Chemical Letters, 2024, 35(7): 109580-. doi: 10.1016/j.cclet.2024.109580

    17. [17]

      Yuexi Guo Zhaoyang Li Jingwei Dai . Charlie and the 3D Printing Chocolate Factory. University Chemistry, 2024, 39(9): 235-242. doi: 10.3866/PKU.DXHX202309067

    18. [18]

      Jingwen WangPeizhang ZhaoMengmeng LiJun LiYunfeng Lin . Remedying infectious bone defects via 3D printing technology. Chinese Chemical Letters, 2025, 36(9): 110686-. doi: 10.1016/j.cclet.2024.110686

    19. [19]

      Jiawei HuKai XiaAo YangZhihao ZhangWen XiaoChao LiuQinfang Zhang . Interfacial Engineering of Ultrathin 2D/2D NiPS3/C3N5 Heterojunctions for Boosting Photocatalytic H2 Evolution. Acta Physico-Chimica Sinica, 2024, 40(5): 2305043-0. doi: 10.3866/PKU.WHXB202305043

    20. [20]

      Yuan TengZichun ZhouJinghua ChenSiying HuangHongyan ChenDaibin Kuang . Dual atom-bridge effect promoting interfacial charge transfer in 2D/2D Cs3Bi2Br9/BiOBr epitaxial heterojunction for efficient photocatalysis. Chinese Chemical Letters, 2025, 36(2): 110430-. doi: 10.1016/j.cclet.2024.110430

Metrics
  • PDF Downloads(1)
  • Abstract views(1533)
  • HTML views(68)

通讯作者: 陈斌, bchen63@163.com
  • 1. 

    沈阳化工大学材料科学与工程学院 沈阳 110142

  1. 本站搜索
  2. 百度学术搜索
  3. 万方数据库搜索
  4. CNKI搜索
Address:Zhongguancun North First Street 2,100190 Beijing, PR China Tel: +86-010-82449177-888
Powered By info@rhhz.net

/

DownLoad:  Full-Size Img  PowerPoint
Return