Citation: Hai-Yan JU, Ming YANG, Gang ZHANG, De-Zheng LIU, Yong-Sheng YANG, Yan-Bo ZHANG. Construction of Chiral One-dimensional Chains via Mononuclear Chiral Precursors and Circular Dichroism Properties[J]. Chinese Journal of Structural Chemistry, ;2021, 40(6): 767-774. doi: 10.14102/j.cnki.0254–5861.2011–3008 shu

Construction of Chiral One-dimensional Chains via Mononuclear Chiral Precursors and Circular Dichroism Properties

  • Corresponding author: De-Zheng LIU, liudezheng@hbuas.edu.cn Yong-Sheng YANG, ysyang@wtu.edu.cn Yan-Bo ZHANG, yanboz@163.com
  • Received Date: 26 October 2020
    Accepted Date: 15 December 2020

    Fund Project: Wuhan Textile University 017/195014Wuhan Textile University 017/192223Wuhan Textile University 017/205051Hubei Superior and Distinctive Discipline Group of "Mechatronics and Automobiles" XKQ2019009Natural Science Foundation of Hubei Province 2016CFB334

Figures(5)

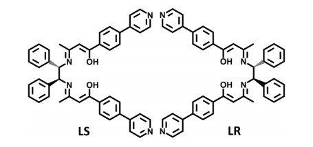
  • One-dimensional (1D) chiral chain complexes [CuLSCu(Pydc)] (2S) and [CuLRCu(Pydc)] (2R) (LS = (E)-3-(((1S, 2S)-2-(((E)-3-oxo-3-(4-pyridin-4-yl)phenyl)propylidene)amono)-1, 2-diphenyl)imino)-1-(4-(pyridi-4-yl)phenyl)butan-1-one) and LR = (E)-3-(((1R, 2R)-2-(((E)-3-oxo-3-(4-pyridin-4-yl)phenyl)propylidene)amono)-1, 2-diphenyl)imino)-1-(4-(pyridi-4-yl)phenyl)butan-1-one and Pydc = 2, 6-pyridinedicarboxylic acid) have been synthesized vis mononuclear chiral enantiomer precursors CuLS (1S) and CuLR (1R). Their different chiral configurations of 1S, 1R, 2S and 2R were determined by single-crystal X-ray diffraction analyses and further characterized by elemental analyses, infrared spectra (IR), powder X-ray diffraction (PXRD), thermal gravimetric analyses (TGA) and circular dichroism spectra (CD).
  • 加载中
    1. [1]

      Kang, Y. S.; Lu, Y.; Chen, K.; Zhao, Y.; Wang, P.; Sun, W. Y. Metal-organic frameworks with catalytic centers: from synthesis to catalytic application. Coord. Chem. Rev. 2019, 378, 262−280.  doi: 10.1016/j.ccr.2018.02.009

    2. [2]

      Shen, J.; Okamoto, Y. Efficient separation of enantiomers using stereoregular chiral polymers. Chem. Rev. 2016, 116, 1094−1138.  doi: 10.1021/acs.chemrev.5b00317

    3. [3]

      Li, J.; Sculley, J.; Zhou, H. Metal-organic frameworks for separations. Chem. Rev. 2012, 112, 869−932.  doi: 10.1021/cr200190s

    4. [4]

      Kesanli, B.; Lin, W. B. Chiral porous coordination networks: rational design and applications in enantioselective processes. Coord. Chem. Rev. 2003, 246, 305−326.  doi: 10.1016/j.cct.2003.08.004

    5. [5]

      Telfer, S. G.; Kuroda, R. 1, 1΄-Binaphthyl-2, 2΄-diol and 2, 2΄-diamino-1, 1΄-binaphthyl: versatile frameworks for chiral ligands in coordination and metallosupramolecular chemistry. Coord. Chem. Rev. 2003, 242, 33−46.  doi: 10.1016/S0010-8545(03)00026-2

    6. [6]

      Jiao, J. J.; Li, Z. J.; Zhang, H. F. K.; Liu, B. Z.; Cui, Y. Synthesis, structure and characterization of a 3D chiral carboxylate and phosphonate metal-organic framework based on 1, 1΄-biphenol ligand. Chin. J. Struct. Chem. 2018, 9, 1509−1515.

    7. [7]

      Lin, Z. J.; Slawin, A. M. Z.; Morris, R. E. Chiral induction in the ionothermal synthesis of a 3-D coordination polymer. J. Am. Chem. Soc. 2007, 129, 4880−4881.  doi: 10.1021/ja070671y

    8. [8]

      Bisht, K. K.; Suresh, E. Spontaneous resolution to absolute chiral induction: pseudo-Kagomé type homochiral Zn(Ⅱ)/Co(Ⅱ) coordination polymers with achiral precursors. J. Am. Chem. Soc. 2013, 135, 15690−15693.  doi: 10.1021/ja4075369

    9. [9]

      Zhang, J.; Hao, J.; Wei, Y. G.; Xiao, F. P.; Yin, P. C.; Wang, L. S. Nanoscale chiral rod-like molecular triads assembled from achiral polyoxometalates. J. Am. Chem. Soc. 2010, 132, 14−15.  doi: 10.1021/ja907535g

    10. [10]

      Maity, A.; Gangopadhyay, M.; Basu, A.; Aute, S.; Babu, S. S.; Das, A. Counteranion driven homochiral assembly of a cationic C3-symmetric gelator through ion-pair assisted hydrogen bond. J. Am. Chem. Soc. 2016, 138, 11113−11116.  doi: 10.1021/jacs.6b06312

    11. [11]

      Liu, Q. Y.; Xiong, W. L.; Liu, C. M.; Wang, Y. L.; Wei, J. J.; Xiahou, Z. J.; Xiong, L. H. Chiral induction in the ionothermal synthesis of a 3D chiral heterometallic metal-organic framework constructed from achiral 1, 4-naphthalenedicarboxylate. Inorg. Chem. 2013, 52, 6773−6775.  doi: 10.1021/ic400853r

    12. [12]

      Gao, E. Q.; Yue, Y. F.; Bai, S. Q.; He, Z.; Yan, C. H. From achiral ligands to chiral coordination polymers: spontaneous resolution, weak ferromagnetism, and topological ferrimagnetism. J. Am. Chem. Soc. 2004, 126, 1419−1429.  doi: 10.1021/ja039104a

    13. [13]

      Xue, Z. Z.; Zhang, H.; Sheng, T. L.; Wen, Y. H.; Wang, Y.; Hu, S. M.; Li, H. R.; Zhuo, C.; Wu, X. T. Two chiral coordination polymers constructed from (1R, 2R)-1, 2-diaminocyclohexane derivative: syntheses, structures and properties. Inorg. Chem. Commun. 2015, 55, 99−102.  doi: 10.1016/j.inoche.2015.03.024

    14. [14]

      Zhang, K.; Jin, C.; Sun, Y. C.; Chang, F. F.; Huang, W. Base-induced self-assembly for one-dimensional coordination polymers via chiral pendant-armed Schiff base mononuclear Pb(Ⅱ) macrocycles. Inorg. Chem. 2014, 53, 7803−7805.  doi: 10.1021/ic5008846

    15. [15]

      Yadav, M.; Bhunia, A.; Jana, S. K.; Roesky, P. W. Manganese and lanthanide-based 1D chiral coordination polymers as an enantioselective catalyst for sulfoxidation. Inorg. Chem. 2016, 55, 2701−2708.  doi: 10.1021/acs.inorgchem.5b02234

    16. [16]

      Lewis, K. G.; Ghosh, S. K.; Bhuvanesh, N.; Gladysz, J. A. Cobalt(Ⅲ) Werner complexes with 1, 2-diphenylethylenediamine ligands: readily available, inexpensive, and modular chiral hydrogen bond donor catalysts for enantioselective organic synthesis. ACS Cent. Sci. 2015, 1, 50−56.  doi: 10.1021/acscentsci.5b00035

    17. [17]

      Davis, K. J.; Richardson, C.; Beck, J. L.; Knowles, B. M.; Guédin, A.; Mergny, J. L.; Willisd, A. C.; Ralph, S. F. Synthesis and characterization of nickel Schiff base complexes containing the meso-1, 2-diphenylethylenediamine moiety: selective interactions with a tetramolecular DNA quadruplex. Dalton Trans. 2015, 44, 3136−3150.  doi: 10.1039/C4DT02926G

    18. [18]

      Yao, M. X.; Zheng, Q.; Cai, X. M.; Li, Y. Z.; Song, Y.; Zuo, J. L. Chiral cyanide-bridged Cr-Mn heterobimetallic chains based on [(Tp)Cr(CN)3]: synthesis, structures, and magnetic properties. Inorg. Chem. 2012, 51, 2140−2149.  doi: 10.1021/ic201982d

    19. [19]

      Margeat, O.; Lacroix, P. G.; Costes, J. P.; Donnadieu, B.; Lepetit, C.; Nakatani, K. Synthesis, structures, and physical properties of copper(Ⅱ)-gadolinium(Ⅲ) complexes combining ferromagnetic coupling and quadratic nonlinear optical properties. Inorg. Chem. 2004, 43, 4743−4750.  doi: 10.1021/ic049801j

    20. [20]

      Bania, K. K.; Karunakar, G. V.; Goutham, K.; Deka, R. C. Enantioselective henry reaction catalyzed by "ship in a bottle" complexes. Inorg. Chem. 2013, 52, 8017−8029.  doi: 10.1021/ic400599c

    21. [21]

      Chang, C. W.; Yang, C. T.; Hwang, C. D.; Uang, B. J. 1, 2-Diphenylethylenediamine linked chiral Ti(Ⅳ) complex−a new entry to the highly enantioselective silylcyanation of aliphatic and aromatic aldehydes. Chem. Comm. 2002, 54−55.

    22. [22]

      Li, X.; Chen, W.; Hems, W.; King, F.; Xiao, J. Asymmetric hydrogenation of ketones with polymer-supported chiral 1, 2-diphenylethylenediamine. Org. Lett. 2003, 5, 4559−4561.  doi: 10.1021/ol0355837

    23. [23]

      Sterk, D.; Stephan, M. S.; Mohar, B. Transfer hydrogenation of activated ketones using novel chiral Ru(Ⅱ)-N-arenesulfonyl-1, 2-diphenylethylenediamine complexes. Tetrahedron Lett. 2004, 45, 535−537.  doi: 10.1016/j.tetlet.2003.10.201

    24. [24]

      Chen, G. J.; Wang, J. S.; Jin, F. Z.; Liu, M. Y.; Zhao, C. W.; Li, Y. A.; Dong, Y. B. Pd@Cu(Ⅱ)-MOF-catalyzed aerobic oxidation of benzylic alcohols in air with high conversion and selectivity. Inorg. Chem. 2016, 55, 3058−3064.  doi: 10.1021/acs.inorgchem.5b02973

    25. [25]

      Sui, Y.; Li, D. P.; Li, C. H.; Zhou, X. H.; Wu, T.; You, X. Z. Ionic ferroelectrics based on nickel Schiff base complexes. Inorg. Chem. 2010, 49, 1286−1288.  doi: 10.1021/ic902136f

    26. [26]

      Wang, J. S.; Jin, F. Z.; Ma, H. C.; Li, X. B.; Liu, M. Y.; Kan, J. L.; Chen, G. J.; Dong, Y. B. Au@Cu(Ⅱ)-MOF: highly efficient bifunctional heterogeneous catalyst for successive oxidation-condensation reactions. Inorg. Chem. 2016, 55, 6685−6691.  doi: 10.1021/acs.inorgchem.6b00925

    27. [27]

      Sheldrick, G. M. SHELXS 97, Program for the Solution of Crystal Structures. University of Götingen, Germany 1997.

    28. [28]

      Sheldrick, G. M. SHELXL 97, Program for the Refinement of Crystal Structures. University of Götingen, Germany 1997.

    29. [29]

      Addison, A. W.; Rao, T. N.; Reedijk, J.; Rijn, J.; Verschoor, G. C. Synthesis, structure, and spectroscopic properties of copper(Ⅱ) compounds containing nitrogen-sulphur donor ligands; the crystal and molecular structure of aqua[1, 7-bis(N-methylbenzimidazol-2΄-yl)-2, 6-dithiaheptane]copper(Ⅱ) perchlorate. J. Chem. Soc., Dalton Trans. 1984, 7, 1349−1356.

    30. [30]

      Liao, W. Q.; Zhou, Q. Q.; Zhang, Y.; Jin, L. Synthesis, structures and dielectric properties of two five-coordinate copper(Ⅱ) complexes based on N-chloromethyl-1, 4-diazabicyclo[2.2.2]octane. Inorg. Chem. Commun. 2013, 33, 161−164.  doi: 10.1016/j.inoche.2013.04.031

    31. [31]

      Downing, R. S.; Urbach, F. L. The circular dichroism of square-planar, tetradentate Schiff base chelates of copper(Ⅱ). J. Am. Chem. Soc. 1969, 91, 5977−5983.  doi: 10.1021/ja01050a009

    32. [32]

      Zhang, Y. L.; Gao, F.; Ruan, W. J.; Zhu, Z. A.; Chen, Y. T. Synthesis characterization and CD spectra studies of chiral calixsalen complexes. Chin. J. Chem. 2001, 19, 1296−1301.

    33. [33]

      Szłyk, E.; Barwiołek, M.; Kruszynski, R.; Bartczak, T. J. Synthesis and spectroscopic studies of the optically active copper(Ⅱ), cobalt(Ⅱ) and nickel(Ⅱ) complexes with Schiff bases N, N΄-(1R, 2R)(-)-1, 2-cyclohexylenebis(3-methoxybenzylidene-iminato), N, N΄-(1R, 2R)(-)-1, 2-cyclohexylenebis(5-methoxybenzylideneiminato) and X-ray diffraction structure of the [Cu(Ⅱ)(1R, 2R)(-)chxnbis(5-methylbenzylideneiminato)2]. Inorg. Chim. Acta 2005, 358, 3642–3652.  doi: 10.1016/j.ica.2005.06.032

  • 加载中
    1. [1]

      Cui-Ting YangDan-Dan WangShuai ChenJian-Mei YangJun-Nan HeJun-Hui ZhangXiao-Qing LiuJin ZhangLei ZhangYan Zhao . A chiral supramolecular nanocatcher prepared by d-biotin-pillar[5]arene for the selective capture and targeted delivery of oxaliplatin enantiomers. Chinese Chemical Letters, 2025, 36(9): 110820-. doi: 10.1016/j.cclet.2025.110820

    2. [2]

      Xiao-Yan RanTian-Jian XiongYu-Ping YangZong-Hong LuoCheng LiuYu-Lan ZhuJun-Hui ZhangBang-Jin WangSheng-Ming XieLi-Ming Yuan . Chiral porous liquid D-his-ZIF-8-[Bpy][NTf2] for capillary gas chromatographic separation. Chinese Chemical Letters, 2026, 37(5): 111864-. doi: 10.1016/j.cclet.2025.111864

    3. [3]

      Jiayu Huang Kuan Chang Qi Liu Yameng Xie Zhijia Song Zhiping Zheng Qin Kuang . Fe-N-C nanostick derived from 1D Fe-ZIFs for Electrocatalytic oxygen reduction. Chinese Journal of Structural Chemistry, 2023, 42(10): 100097-100097. doi: 10.1016/j.cjsc.2023.100097

    4. [4]

      Huan Hu Ying Zhang Shi-Shuang Huang Zhi-Gang Li Yungui Liu Rui Feng Wei Li . Temperature- and pressure-responsive photoluminescence in a 1D hybrid lead halide. Chinese Journal of Structural Chemistry, 2024, 43(10): 100395-100395. doi: 10.1016/j.cjsc.2024.100395

    5. [5]

      Hongren RONGGexiang GAOZhiwei LIUKe ZHOULixin SUHao HUANGWenlong LIUQi LIU . High-performance supercapacitor based on 1D cobalt-based coordination polymer. Chinese Journal of Inorganic Chemistry, 2025, 41(6): 1183-1195. doi: 10.11862/CJIC.20250034

    6. [6]

      Mingrun LiBin HanLei GongYucheng JinMingyue WangXu DingDongdong QiJianzhuang Jiang . 1D COFs with phthalocyanine functional building blocks and imide linkage for superior electrocatalytic nitrate reduction. Chinese Chemical Letters, 2026, 37(2): 110590-. doi: 10.1016/j.cclet.2024.110590

    7. [7]

      Zhiwen Li Jingjing Zhang Gao Li . Dynamic assembly of chiral golden knots. Chinese Journal of Structural Chemistry, 2024, 43(7): 100300-100300. doi: 10.1016/j.cjsc.2024.100300

    8. [8]

      Bo LuoMingfang MaAiyou HaoPengyao Xing . Arene-perfluoroarene force driven chiral transfer, chiral amplification and chiral inversion. Chinese Chemical Letters, 2026, 37(1): 111736-. doi: 10.1016/j.cclet.2025.111736

    9. [9]

      Yu Tian Yijun Lin Siyu Deng Yinghe Tan Xuanyi Bie Zhaoyang Chen Pangkuan Chen . Metal-Coordinate Complexes (M = 3d, 4f) with Enhanced Circularly Polarized Luminescence in Planar Chiral Pillar[5]arenes. Chinese Journal of Structural Chemistry, 2025, 44(8): 100626-100626. doi: 10.1016/j.cjsc.2025.100626

    10. [10]

      Xudong ZhaoYuxuan WangXinxin GaoXinli GaoMeihua WangHongliang HuangBaosheng Liu . Anchoring thiol-rich traps in 1D channel wall of metal-organic framework for efficient removal of mercury ions. Chinese Chemical Letters, 2025, 36(2): 109901-. doi: 10.1016/j.cclet.2024.109901

    11. [11]

      Gen ZhangYing GuLin LiFuli MaDan YueXiaoguang ZhouChungui Tian . Anion-modulated HER and OER activity of 1D Co-Mo based interstitial compound heterojunctions for the effective overall water splitting. Chinese Chemical Letters, 2025, 36(7): 110110-. doi: 10.1016/j.cclet.2024.110110

    12. [12]

      Fuxing YangMengjie GongYifei ZhangBangchi WeiNan HuangJun Jiang . Organocatalytic enantioselective construction of axially chiral phosphorodithiolated styrenes. Chinese Chemical Letters, 2026, 37(1): 111219-. doi: 10.1016/j.cclet.2025.111219

    13. [13]

      Ze CaoChenqi GeYating WuHua TangYueyan KuangYuyang WuHao Li . Self-assembled chiral cages for anion recognition. Chinese Chemical Letters, 2026, 37(3): 111554-. doi: 10.1016/j.cclet.2025.111554

    14. [14]

      Haitao LiuYoulin DengDan LingLingzhu ChenZhichao Jin . Asymmetric catalysis for the synthesis of planar chiral ferrocene derivatives. Chinese Chemical Letters, 2026, 37(3): 111793-. doi: 10.1016/j.cclet.2025.111793

    15. [15]

      Junjun HuangRan ChenYajian HuangHang ZhangAnran ZhengQing XiaoDan WuRuxia DuanZhi ZhouFei HeWei Yi . Discovery of an enantiopure N-[2-hydroxy-3-phenyl piperazine propyl]-aromatic carboxamide derivative as highly selective α1D/1A-adrenoceptor antagonist and homology modelling. Chinese Chemical Letters, 2024, 35(11): 109594-. doi: 10.1016/j.cclet.2024.109594

    16. [16]

      Lili WangXujie HanBaichuan XiongYa YanCheng ZhangYuning QuYiran ZhangLinlin ZhengZirui GaoShuheng TianWenjing DaiBowen ChengHang ZhangZhen Yin . 1D self-supporting NiFe2O4/NiMoO4 heterostructure as bifunctional electrocatalyst via interface engineering for highly efficient seawater splitting. Chinese Chemical Letters, 2025, 36(12): 111437-. doi: 10.1016/j.cclet.2025.111437

    17. [17]

      Long JinJian HanDongmei FangMin WangJian Liao . Pd-catalyzed asymmetric carbonyl alkynylation: Synthesis of axial chiral ynones. Chinese Chemical Letters, 2024, 35(6): 109212-. doi: 10.1016/j.cclet.2023.109212

    18. [18]

      Chuan-Zhi NiRuo-Ming LiFang-Qi ZhangQu-Ao-Wei LiYuan-Yuan ZhuJie ZengShuang-Xi Gu . A chiral fluorescent probe for molecular recognition of basic amino acids in solutions and cells. Chinese Chemical Letters, 2024, 35(10): 109862-. doi: 10.1016/j.cclet.2024.109862

    19. [19]

      Wenying CuiZhetong JinWentao FuChengshuo Shen . Flag-hinge-like highly luminescent chiral nanographenes with twist geometry. Chinese Chemical Letters, 2024, 35(11): 109667-. doi: 10.1016/j.cclet.2024.109667

    20. [20]

      Genlin SunYachun LuoZhihong YanHongdeng QiuWeiyang Tang . Chiral metal-organic frameworks-based materials for chromatographic enantioseparation. Chinese Chemical Letters, 2024, 35(12): 109787-. doi: 10.1016/j.cclet.2024.109787

Metrics
  • PDF Downloads(2)
  • Abstract views(1236)
  • HTML views(16)

通讯作者: 陈斌, bchen63@163.com
  • 1. 

    沈阳化工大学材料科学与工程学院 沈阳 110142

  1. 本站搜索
  2. 百度学术搜索
  3. 万方数据库搜索
  4. CNKI搜索
Address:Zhongguancun North First Street 2,100190 Beijing, PR China Tel: +86-010-82449177-888
Powered By info@rhhz.net

/

DownLoad:  Full-Size Img  PowerPoint
Return