Citation: Wei-Qin XU, Shan HE, Chun-Cheng LIN, Xiao-Jun LIU, Liao-Chuang JIANG, Ji-Jun JIANG. MOF-derived Cu2O/Cu NPs on N-doped Porous Carbon as a Multifunctional Sensor for Mercury(II) and Glucose with Wide Detection Range[J]. Chinese Journal of Structural Chemistry, ;2020, 39(8): 1522-1530. doi: 10.14102/j.cnki.0254–5861.2011–2644 shu

MOF-derived Cu2O/Cu NPs on N-doped Porous Carbon as a Multifunctional Sensor for Mercury(II) and Glucose with Wide Detection Range

  • Corresponding author: Wei-Qin XU, jiangliaochuan@gdei.edu.cn Liao-Chuang JIANG, xuweiqin@gdei.edu.com
  • Received Date: 22 October 2019
    Accepted Date: 31 December 2019

    Fund Project: the Funding of Guangdong Province 2017KTSCX135the Funding of Guangdong Province 2017A030310632the Funding of Guangdong Province 2015A030313841the Training Programs of Innovation for Undergraduates pdjh2019b0358the Training Programs of Innovation for Undergraduates 201914278004

Figures(6)

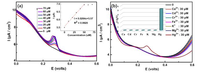
  • Cu2O/Cu nanoparticles (NPs) in the nanoporous carbon matrix (designated as Cu2O/Cu@NPC) has been synthesized by in-situ calcination of a cupper-based metal-organic framework (Cu-MOF), and its morphology and composition were characterized by PXRD, SEM and Raman. Furthermore, elemental mapping and XPS analysis not only show Cu NPs is generated along with nitrogen (N)-doped carbon, but also indicate Cu2O NPs locates in the external layer of Cu@NPC. In addition, the adsorption of dye studies implies that Cu2O/Cu@NPC exhibits obvious interaction with Rhodamine B (Rh B) due to the feature of porous and N-doped structure. Cu2O/Cu@NPC has highly electrocatalytic performance for glucose and mercury(II) with wide detection range and good stability, which can be used as a novel multifunctional sensor for glucose and mercury(II).
  • 加载中
    1. [1]

      (a) Zhong, S.; Kitta, M.; Xu, Q. Hierarchically porous carbons derived from metal-organic framework/chitosan composites for high-performance supercapacitors. Chem. Asian J. 2019, 14, 3583–3589; (b) Marpaung, F.; Kim, M.; Khan, J. H.; Konstantinov, K.; Yamauchi, Y.; Hossain, M. S. A.; Na, J.; Kim, J. Metal-organic framework (MOF)-derived nanoporous carbon materials. Chem. Asian J. 2019, 14, 1331–1343; (c) Cai, Z. X.; Wang, Z. L.; Kim, J.; Yamauchi, Y. Hollow functional materials derived from metal-organic frameworks: synthetic strategies, conversion mechanisms, and electrochemical applications. Adv. Mater. 2019, 31, 1804903.

    2. [2]

      Liu, B.; Shioyama, H.; Akita, T.; Xu, Q. Metal-organic framework as a template for porous carbon synthesis. J. Am. Chem. Soc. 2008, 130, 5390–5391.  doi: 10.1021/ja7106146

    3. [3]

      (a) Niu, H. Y.; Liu, S. L.; Cai, Y. Q.; Wu, F. C.; Zhao, X. L. MOF derived porous carbon supported Cu/Cu2O composite as high performance non-noble catalyst. Micropor. Mesopor. Mat. 2016, 219, 48–53; (b) Wang, J.; Huang, Z. Q.; Liu, W.; Chang, C. R.; Tang, H. L.; Li, Z. J.; Chen, W. X.; Jia, C. J.; Yao, T.; Wei, S. Q.; Wu, Y.; Li, Y. D. Design of N-coordinated dual-metal sites: a stable and active Pt-free catalyst for acidic oxygen reduction reaction. J. Am. Chem. Soc. 2017, 139, 17281–17284; (c) Zhang, P.; Sun, F.; Xiang, Z. H.; Shen, Z. G.; Yun, J.; Cao, D. P. ZIF-derived in situ nitrogen-doped porous carbons as efficient metal-free electrocatalysts for oxygen reduction reaction. Energ. Environ. Sci. 2014, 7, 442–450; (d) Yang, Y.; Sun, X. D.; Han, G. Q.; Liu, X.; Zhang, X. Y.; Sun, Y. F.; Zhang, M.; Cao, Z.; Sun, Y. J. Enhanced electrocatalytic hydrogen oxidation on Ni/NiO/C derived from a Ni-based MOF. Angew. Chem. Int. Ed. 2019, 131, 10754–10759.

    4. [4]

      (a) Huang, L. J.; He, M.; Chen, B. B.; Cheng, Q.; Hu, B. Highly efficient magnetic nitrogen-doped porous carbon prepared by one-step carbonization strategy for Hg2+ removal from water. ACS Appl. Mater. Inter. 2017, 9, 2550–2559; (b) Sun, J. K.; Xu, Q. Functional materials derived from open framework templates/precursors: synthesis and applications. Energ. Environ. Sci. 2014, 7, 2071–2100.

    5. [5]

      (a) Salunkhe, R. R.; Kaneti, Y. V.; Kim, J.; Kim, J. H.; Yamauchi, Y. Nanoarchitectures for metal-organic framework-derived nanoporous carbons toward supercapacitor applications. Acc. Chem. Res. 2016, 49, 2796–2806; (b) Pachfule, P.; Shinde, D.; Majumder, M.; Xu, Q. Fabrication of carbon nanorods and graphene nanoribbons from a metal-organic framework. Nat. Chem. 2016, 8, 718–724.

    6. [6]

      (a) Cui, L.; Wu, J.; Ju, H. X. Synthesis of bismuth-nanoparticle-enriched nanoporous carbon on graphene for efficient electrochemical analysis of heavy-metal ions. Chem. Eur. J. 2015, 21, 11525–11530; (b) Song, Y. H.; Wei, C. T.; He, J.; Li, X.; Lu, X. P.; Wang, L. Porous Co nanobeads/rGO nanocomposites derived from rGO/Co-metal organic frameworks for glucose sensing. Sensor. Actuat. B: Chem. 2015, 220, 1056–1063; (c) Vilian, A. T. E.; Dinesh, B.; Rethinasabapathy, M.; Hwang, S. K.; Jin, C. S.; Huh, Y. S.; Han, Y. K. Hexagonal Co3O4 anchored reduced graphene oxide sheets for high-performance supercapacitors and non-enzymatic glucose sensing. J. Mater. Chem. A 2018, 6, 14367–14379.

    7. [7]

      (a) Young, C.; Salunkhe, R. R.; Tang, J.; Hu, C. C.; Shahabuddin, M.; Yanmaz, E.; Hossain, M. S. A.; Kim, J. H.; Yamauchi, Y. Zeolitic imidazolate framework (ZIF-8) derived nanoporous carbon: the effect of carbonization temperature on the supercapacitor performance in an aqueous electrolyte. PCCP 2016, 18, 29308–29315; (b) Chaikittisilp, W.; Hu, M.; Wang, H. J.; Huang, H. S.; Fujita, T.; Wu, K. C. W.; Chen, L. C.; Yamauchi, Y.; Ariga, K. Nanoporous carbons through direct carbonization of a zeolitic imidazolate framework for supercapacitor electrodes. Chem. Commun. 2012, 48, 7259–7261.

    8. [8]

      (a) Yu, X. Y.; Yu, L.; Wu, H. B.; Lou, X. W. Formation of nickel sulfide nanoframes from metal-organic frameworks with enhanced pseudocapacitive and electrocatalytic properties. Angew. Chem. Int. Ed. 2015, 54, 5331–5335; (b) Zhong, H. X.; Wang, J.; Zhang, Y. W.; Xu, W. L.; Xing, W.; Xu, D.; Zhang, Y. F.; Zhang, X. B. ZIF-8 derived graphene-based nitrogen-doped porous carbon sheets as highly efficient and durable oxygen reduction electrocatalysts. Angew. Chem. Int. Ed. 2014, 53, 14235–14239.

    9. [9]

      (a) Chen, M. M.; Chen, L.; Li, H. X.; Brammer, L.; Lang, J. P. Highly selective detection of Hg2+ and MeHgI by di-pyridin-2-yl-[4-(2-pyridin-4-yl-vinyl)-phenyl]-amine and its zinc coordination polymer. Inorg. Chem. Front. 2016, 3, 1297–1305; (b) Gong, W. J.; Yao, R.; Li, H. X.; Ren, Z. G.; Zhang, J. G.; Lang, J. P. Luminescent cadmium(II) coordination polymers of 1, 2, 4, 5-tetrakis(4-pyridylvinyl)benzene used as efficient multi-responsive sensors for toxic metal ions in water. Dalton T. 2017, 46, 16861–16871; (c) Li, W. X.; Li, H. X.; Li, H. Y.; Chen, M. M.; Shi, Y. X.; Lang, J. P. 1, 4-Bis(2-(pyridin-4-yl)vinyl)naphthalene and its zinc(II) coordination polymers: synthesis, structural characterization, and selective luminescent sensing of mercury(II) ion. Cryst. Growth Des. 2017, 17, 3948–3959; (d) Gong, W. J.; Ren, Z. G.; Li, H. X.; Zhang, J. G.; Lang, J. P. Cadmium(II) coordination polymers of 4-pyr-poly-2-ene and carboxylates: construction, Sstructure, and photochemical double [2 + 2] cycloaddition and luminescent sensing of nitroaromatics and mercury(II) Ions. Cryst. Growth Des. 2017, 17, 870–881.

    10. [10]

      (a) Sadhukhan, M.; Barman, S. Bottom-up fabrication of two-dimensional carbon nitride and highly sensitive electrochemical sensors for mercuric ions. J. Mater. Chem. A 2013, 1, 2752–2756; (b) Afkhami, A.; Bagheri, H.; Khoshsafar, H.; Saber-Tehrani, M.; Tabatabaee, M.; Shirzadmehr, A. Simultaneous trace-levels determination of Hg(II) and Pb(II) ions in various samples using a modified carbon paste electrode based on multi-walled carbon nanotubes and a new synthesized Schiff base. Anal. Chim. Acta 2012, 746, 98–106; (c) Zhang, P. H.; Dong, S. Y.; Gu, G. Z.; Huang, T. L. Simultaneous determination of Cd2+, Pb2+, Cu2+ and Hg2+ at a carbon paste electrode modified with ionic liquid-functionalized ordered mesoporous silica. Bull. Korean Chem. Soc. 2010, 31, 2949–2954.

    11. [11]

      Bagheri, H.; Afkhami, A.; Khoshsafar, H.; Rezaei, M.; Shirzadmehr, A. Simultaneous electrochemical determination of heavy metals using a triphenylphosphine/MWCNTs composite carbon ionic liquid electrode. Sensor. Actuat. B: Chem. 2013, 186, 451–460.  doi: 10.1016/j.snb.2013.06.051

    12. [12]

      Xing, H. K.; Xu, J. K.; Zhu, X. F.; Duan, X.; Lu, L. M.; Wang, W. M.; Zhang, Y. S.; Yang, T. T. Highly sensitive simultaneous determination of cadmium(II), lead(II), copper(II), and mercury(II) ions on N-doped graphene modified electrode. J. Electroanal. Chem. 2016, 760, 52–58.  doi: 10.1016/j.jelechem.2015.11.043

    13. [13]

      (a) Yang, J. P.; Lin, Q. W.; Yin, W.; Jiang, T.; Zhao, D. H.; Jiang, L. C. A novel nonenzymatic glucose sensor based on functionalized PDDA-graphene/CuO nanocomposites. Sensor. Actuat. B: Chem. 2017, 253, 1087–1095; (b) Wang, L.; Xie, Y. Z.; Wei, C. T.; Lu, X. P.; Li, X.; Song, Y. H. Hierarchical NiO superstructures/foam Ni electrode derived from Ni metal-organic framework flakes on foam Ni for glucose sensing. Electrochim. Acta 2015, 174, 846–852; (c) Meng, W.; Wen, Y. Y.; Dai, L.; He, Z. X.; Wang, L. A novel electrochemical sensor for glucose detection based on Ag@ZIF-67 nanocomposite. Sensor. Actuat. B: Chem. 2018, 260, 852–860.

    14. [14]

      Zhang, X.; Luo, J. S.; Tang, P. Y.; Morante, J. R.; Arbiol, J.; Xu, C. L.; Li, Q. F.; Fransaer, J. Ultrasensitive binder-free glucose sensors based on the pyrolysis of in situ grown Cu MOF. Sensor. Actuat. B: Chem. 2018, 254, 272–281.  doi: 10.1016/j.snb.2017.07.024

    15. [15]

      Shi, L. B.; Zhu, X.; Liu, T. T.; Zhao, H. L.; Lan, M. B. Encapsulating Cu nanoparticles into metal-organic frameworks for nonenzymatic glucose sensing. Sensor. Actuat. B: Chem. 2016, 227, 583–590.  doi: 10.1016/j.snb.2015.12.092

    16. [16]

      Sivasankar, K.; Rani, K. K.; Wang, S. F.; Devasenathipathy, R.; Lin, C. H. Copper nanoparticle and nitrogen doped graphite oxide based biosensor for the sensitive determination of Glucose. Nanomaterials 2018, 8, 429.  doi: 10.3390/nano8060429

    17. [17]

      Xu, W. Q.; He, S.; Lin, C. C.; Qiu, Y. X.; Liu, X. J.; Jiang, T.; Liu, W. T.; Zhang, X. L.; Jiang, J. J. A copper based metal-organic framework: synthesis, modification and VOCs adsorption. Inorg. Chem. Commun. 2018, 92, 1–4.  doi: 10.1016/j.inoche.2018.03.024

    18. [18]

      (a) Zhang, L. J.; Su, Z. X.; Jiang, F. L.; Yang, L. L.; Qian, J. J.; Zhou, Y. F.; Li, W. M.; Hong, M. C. Highly graphitized nitrogen-doped porous carbon nanopolyhedra derived from ZIF-8 nanocrystals as efficient electrocatalysts for oxygen reduction reactions. Nanoscale 2014, 6, 6590–6602; (b) Wang, Z.; Yan, T. T.; Fang, J. H.; Shi, L. Y.; Zhang, D. S. Nitrogen-doped porous carbon derived from a bimetallic metal-organic framework as highly efficient electrodes for flow-through deionization capacitors. J. Mater. Chem. A 2016, 4, 10858–10868; (c) Wu, G.; More, K. L.; Johnston, C. M.; Zelenay, P. High-performance electrocatalysts for oxygen reduction derived from polyaniline, iron, and cobalt. Science 2011, 332, 443–447.

    19. [19]

      (a) Barber, M.; Connor, J. A.; Guest, M. F.; Hillier, I. H.; Schwarz, M.; Stacey, M. Bonding in some donor-acceptor complexes involving boron trifluoride. Study by means of ESCA and molecular orbital calculations. J. Chem. Soc., Faraday Trans. 2 1973, 69, 551–558; (b) Hedman, J.; Hedén, P. F.; Nordberg, R.; Nordling, C.; Lindberg, B. J. Electron spectroscopy for the determination of molecular structure. Spectrochim. Acta, Pt. A: Mol. Spectrosc. 1970, 26, 761–768; (c) Kumar, S. N.; Gaillard, F.; Bouyssoux, G.; Sartre, A. High-resolution XPS studies of electrochemically synthesized conducting polyaniline films. Synth. Met. 1990, 36, 111–127; (d) Waltman, R. J.; Pacansky, J.; Bates, C. W. X-ray photoelectron spectroscopic studies on organic photoconductors: evaluation of atomic charges on chlorodiane blue and p-(diethylamino)benzaldehyde diphenylhydrazone. Chem. Mater. 1993, 5, 1799–1804.

    20. [20]

      (a) Dai, Q. P.; Zhang, J. F.; Ma, M. The formation of composites from imidazolate polymer with epoxy resins. Appl. Surf. Sci. 1993, 72, 67–72; (b) Chen, L.; Xu, Z. W.; Li, J.; Zhou, B. M.; Shan, M. J.; Li, Y. L.; Liu, L. S.; Li, B. D.; Niu, J. R. Modifying graphite oxide nanostructures in various media by high-energy irradiation. RSC Adv. 2014, 4, 1025–1031.

    21. [21]

      (a) Strohmeier, B. R.; Levden, D. E.; Field, R. S.; Hercules, D. M. Surface spectroscopic characterization of CuAl2O3 catalysts. J. Catal. 1985, 94, 514–530; (b) Ertl, G.; Hierl, R.; Knözinger, H.; Thiele, N.; Urbach, H. P. XPS study of copper aluminate catalysts. Appl. Surf. Sci. 1980, 5, 49–64.

    22. [22]

      Wang, M. H.; Hu, M. Y.; Hu, B.; Guo, C. P.; Song, Y. P.; Jia, Q. J.; He, L. H.; Zhang, Z. H.; Fang, S. M. Bimetallic cerium and ferric oxides nanoparticles embedded within mesoporous carbon matrix: electrochemical immunosensor for sensitive detection of carbohydrate antigen 19-9. Biosensors Bioelectron. 2019, 135, 22–29.  doi: 10.1016/j.bios.2019.04.018

    23. [23]

      (a) Hu, F. L.; Shi, Y. X.; Chen, H. H.; Lang, J. P. A Zn(II) coordination polymer and its photocycloaddition product: syntheses, structures, selective luminescence sensing of iron(III) ions and selective absorption of dyes. Dalton T. 2015, 44, 18795–18803; (b) Lü, C. N.; Chen, M. M.; Zhang, W. H.; Li, D. X.; Dai, M.; Lang, J. P. Construction of Zn(II) and Cd(II) metal-organic frameworks of diimidazole and dicarboxylate mixed ligands for the catalytic photodegradation of rhodamine B in water. CrystEngComm. 2015, 17, 1935–1943.

    24. [24]

      Chen, J. F.; Tang, J.; Zhou, J.; Zhang, L.; Chen, G. N.; Tang, D. P. Target-induced formation of gold amalgamation on DNA-based sensing platform for electrochemical monitoring of mercury ion coupling with cycling signal amplification strategy. Anal. Chim. Acta 2014, 810, 10–16.  doi: 10.1016/j.aca.2013.12.010

  • 加载中
    1. [1]

      Wei GUOZhuoyi GUOXiaoxin LIWei ZHANGJuanzhi YANTingting GUO . Electrochemical sensor based on a Co(Ⅱ)-based metal-organic framework for the detection of Cd2+ and Pb2+. Chinese Journal of Inorganic Chemistry, 2025, 41(9): 1889-1902. doi: 10.11862/CJIC.20250097

    2. [2]

      Jimin HOUMengyang LIChunhua GONGShaozhuang ZHANGCaihong ZHANHao XUJingli XIE . Synthesis, structures, and properties of metal-organic frameworks based on bipyridyl ligands and isophthalic acid. Chinese Journal of Inorganic Chemistry, 2025, 41(3): 549-560. doi: 10.11862/CJIC.20240348

    3. [3]

      Jiaxuan YANGChenfa DENGJingyang LIUChenzexi XUHongxin CHENYahui ZHUYing LIShuhua WANGRongping ZHOUChao CHEN . Advances in selective hydrogenation of α, β-unsaturated aldehydes/ketones catalyzed by metal-organic frameworks and their derivatives: A review. Chinese Journal of Inorganic Chemistry, 2025, 41(10): 1973-2010. doi: 10.11862/CJIC.20250175

    4. [4]

      Ruolin CHENGYue WANGFei YANGHuagen LIANGShijian LU . Application of metal-organic frameworks (MOFs) in photocatalytic CO2 cycloaddition reaction: A mini review. Chinese Journal of Inorganic Chemistry, 2025, 41(12): 2429-2440. doi: 10.11862/CJIC.20250242

    5. [5]

      Xudong ZhaoYuxuan WangXinxin GaoXinli GaoMeihua WangHongliang HuangBaosheng Liu . Anchoring thiol-rich traps in 1D channel wall of metal-organic framework for efficient removal of mercury ions. Chinese Chemical Letters, 2025, 36(2): 109901-. doi: 10.1016/j.cclet.2024.109901

    6. [6]

      Xinyu WuJianfeng LuZihao ZhuSuijun LiuHerui Wen . Recent advances of metal-organic frameworks and MOF-derived materials based on p-block metal for the electrochemical reduction of carbon dioxide. Chinese Chemical Letters, 2025, 36(7): 110151-. doi: 10.1016/j.cclet.2024.110151

    7. [7]

      Bin SUNHeyan JIANG . Glucose-modified bis-Schiff bases: Synthesis and bio-activities in Alzheimer′s disease therapy. Chinese Journal of Inorganic Chemistry, 2025, 41(7): 1338-1350. doi: 10.11862/CJIC.20240428

    8. [8]

      Kezuo DiJie WeiLijun DingZhiying ShaoJunling ShaXilong ZhouHuadong HengXujing FengKun Wang . A wearable sensor device based on screen-printed chip with biofuel cell-driven electrochromic display for noninvasive monitoring of glucose concentration. Chinese Chemical Letters, 2025, 36(2): 109911-. doi: 10.1016/j.cclet.2024.109911

    9. [9]

      Ying ChenLi LiJunyao ZhangTongrui SunXuan ZhangShiqi ZhangJia HuangYidong Zou . Tailored ionically conductive graphene oxide-encased metal ions for ultrasensitive cadaverine sensor. Chinese Chemical Letters, 2024, 35(8): 109102-. doi: 10.1016/j.cclet.2023.109102

    10. [10]

      Yijian ZhaoJvzhe LiYunyi ShiJie HuMeiyi LiuYao ShenXinglin HouQiuyue WangQi WangZhiyi Yao . A label-free and ratiometric fluorescent sensor based on porphyrin-metal-organic frameworks for sensitive detection of ochratoxin A in cereal. Chinese Chemical Letters, 2025, 36(4): 110132-. doi: 10.1016/j.cclet.2024.110132

    11. [11]

      Xiangshuai LiJian ZhaoLi LuoZhuohao JiaoYing ShiShengli HouBin Zhao . Visual and portable detection of metronidazole realized by metal-organic framework flexible sensor and smartphone scanning. Chinese Chemical Letters, 2024, 35(10): 109407-. doi: 10.1016/j.cclet.2023.109407

    12. [12]

      Lu XUChengyu ZHANGWenjuan JIHaiying YANGYunlong FU . Zinc metal-organic framework with high-density free carboxyl oxygen functionalized pore walls for targeted electrochemical sensing of paracetamol. Chinese Journal of Inorganic Chemistry, 2024, 40(5): 907-918. doi: 10.11862/CJIC.20230431

    13. [13]

      Jing SUBingrong LIYiyan BAIWenjuan JIHaiying YANGZhefeng Fan . Highly sensitive electrochemical dopamine sensor based on a highly stable In-based metal-organic framework with amino-enriched pores. Chinese Journal of Inorganic Chemistry, 2024, 40(7): 1337-1346. doi: 10.11862/CJIC.20230414

    14. [14]

      Hao BAIWeizhi JIJinyan CHENHongji LIMingji LI . Preparation of Cu2O/Cu-vertical graphene microelectrode and detection of uric acid/electroencephalogram. Chinese Journal of Inorganic Chemistry, 2024, 40(7): 1309-1319. doi: 10.11862/CJIC.20240001

    15. [15]

      Ze LiuXiaochen ZhangJinlong LuoYingjian Yu . Application of metal-organic frameworks to the anode interface in metal batteries. Chinese Chemical Letters, 2024, 35(11): 109500-. doi: 10.1016/j.cclet.2024.109500

    16. [16]

      Peiran ZHAOYuqian LIUCheng HEChunying DUAN . A functionalized Eu3+ metal-organic framework for selective fluorescent detection of pyrene. Chinese Journal of Inorganic Chemistry, 2024, 40(4): 713-724. doi: 10.11862/CJIC.20230355

    17. [17]

      Youlin SIShuquan SUNJunsong YANGZijun BIEYan CHENLi LUO . Synthesis and adsorption properties of Zn(Ⅱ) metal-organic framework based on 3, 3', 5, 5'-tetraimidazolyl biphenyl ligands. Chinese Journal of Inorganic Chemistry, 2024, 40(9): 1755-1762. doi: 10.11862/CJIC.20240061

    18. [18]

      Fugui XIDu LIZhourui YANHui WANGJunyu XIANGZhiyun DONG . Functionalized zirconium metal-organic frameworks for the removal of tetracycline from water. Chinese Journal of Inorganic Chemistry, 2025, 41(4): 683-694. doi: 10.11862/CJIC.20240291

    19. [19]

      Xiaoyan Peng Xuanhao Wu Fan Yang Yefei Tian Mingming Zhang Hongye Yuan . Gas sensors based on metal-organic frameworks: challenges and opportunities. Chinese Journal of Structural Chemistry, 2024, 43(3): 100251-100251. doi: 10.1016/j.cjsc.2024.100251

    20. [20]

      Kang Wang Qinglin Zhou Weijin Li . Conductive metal-organic frameworks for electromagnetic wave absorption. Chinese Journal of Structural Chemistry, 2024, 43(10): 100325-100325. doi: 10.1016/j.cjsc.2024.100325

Metrics
  • PDF Downloads(3)
  • Abstract views(933)
  • HTML views(18)

通讯作者: 陈斌, bchen63@163.com
  • 1. 

    沈阳化工大学材料科学与工程学院 沈阳 110142

  1. 本站搜索
  2. 百度学术搜索
  3. 万方数据库搜索
  4. CNKI搜索
Address:Zhongguancun North First Street 2,100190 Beijing, PR China Tel: +86-010-82449177-888
Powered By info@rhhz.net

/

DownLoad:  Full-Size Img  PowerPoint
Return