Citation: Ning WANG, Meng-Shu ZHOU, Ting LI, Hong-Ru FU, Fei-Fei LI. Synthesis and Detection of Pesticides of Luminescent Metal-organic Framework Based on Carboxyl-decorating Tetraphenylethylene[J]. Chinese Journal of Structural Chemistry, ;2020, 39(8): 1496-1502. doi: 10.14102/j.cnki.0254–5861.2011–2623 shu

Synthesis and Detection of Pesticides of Luminescent Metal-organic Framework Based on Carboxyl-decorating Tetraphenylethylene

  • Corresponding author: Hong-Ru FU, hongrufu2015@163.com Fei-Fei LI, lifeifei@hpu.edu.cn
  • Received Date: 25 September 2019
    Accepted Date: 20 April 2020

    Fund Project: Supporting Plan for Scientific and Technological Innovative Talents in Universities of Henan Province 20HASTIT006

Figures(7)

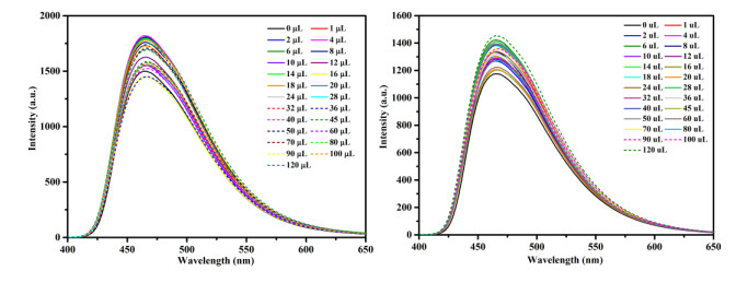
  • A water-stable porous anionic metal-organic framework (MOF), [(CH3)2NH2][In(TCPP)4/3]n· (2DMF)n(3H2O)n (1, TCPP = 1, 1, 2, 2-tetra(4-carboxylbiphenyl)ethylene), was synthesized. Here, compound 1 showed extremely high sensitivity and selectivity to current general-purpose pesticide 2, 6-dichloro-4-nitroaniline (DCN) in aqueous solution. The fluorescence intensity of compound 1 could be decreased as much as 80% by 6 μL DCN, and it was almost completely quenched only with 20 μL DCN. The results indicate that compound 1 can act as a fluorescent probe for DCN.
  • 加载中
    1. [1]

      Rungtaweevoranit, B.; Diercks, C. S.; Kalmutzki, M. J.; Yaghi, O. M. Spiers memorial lecture: progress and prospects of reticular chemistry. Faraday Discuss. 2017, 201, 9−45.  doi: 10.1039/C7FD00160F

    2. [2]

      Cui, Y. J.; Li, B.; He, H. J.; Zhou, W.; Chen, B. L.; Qian, G. D. Metal-organic frameworks as platforms for the controlled nanostructuring of single-molecule magnets. Acc. Chem. Res. 2016, 49, 483−493.  doi: 10.1021/acs.accounts.5b00530

    3. [3]

      Gu, Z.; Zhan, C.; Zhang, J.; Bu, X. Chiral chemistry of metal-camphorate frameworks. Chem. Soc. Rev. 2016, 45, 3122−3144.  doi: 10.1039/C6CS00051G

    4. [4]

      Wang, Y. F.; He, C. J. Syntheses, crystal structures and characterization of two coordination polymers based on mixed ligands. Chin. J. Struct. Chem. 2018, 37, 481−489.

    5. [5]

      Feng, X.; Chen, J. L.; Wang, L. Y.; Xie, S. Y.; Yang, S.; Huo, S. Z.; Ng, S. W. A series of homonuclear lanthanide complexes incorporating isonicotinic based carboxylate tectonic and oxalate coligand: structures, luminescent and magnetic properties. CrystEngComm. 2014, 16, 1334−1343.  doi: 10.1039/C3CE41674G

    6. [6]

      Zhou, H. C.; Long, J. L.; Yaghi, O. M. Introduction to metal-organic frameworks. Chem. Rev. 2012, 112, 673−674.  doi: 10.1021/cr300014x

    7. [7]

      Qin, J. H.; Wang, H. R.; Pan, Q.; Zang, S. Q.; Hou, H.; Fan, Y. Influence of ionic liquids on the syntheses and structures of Mn(II) coordination polymers based on multidentate N-heterocyclic aromatic ligands and bridging carboxylate ligands. Dalton Trans. 2015, 44, 17639−17651.  doi: 10.1039/C5DT03026A

    8. [8]

      Fu, H. R.; Wang, N.; Qin, J. H.; Han, M. L.; Ma, L. F.; Wang, F. Spatial confinement of a cationic MOF: a SC-SC approach for high capacity Cr(VI)-oxyanion capture in aqueous solution. Chem. Commun. 2018, 54, 11645−11648.  doi: 10.1039/C8CC05990J

    9. [9]

      Hu, Z.; Huang, G.; Lustig, W. P.; Wang, F.; Wang, H.; Teat, S. J.; Banerjee, D.; Zhang, D.; Li, J. Achieving exceptionally high luminescence quantum efficiency by immobilizing an AIE molecular chromophore into a metal-organic framework. Chem. Commun. 2015, 51, 3045−3048.  doi: 10.1039/C4CC07642G

    10. [10]

      Fu, H. R.; Zhu, L.; Wang, K. L.; Wang, H. F.; Han, M. L. Construction of a pillared-layer framework based on charge balance: CO2 adsorption and luminescence. Chin. J. Struct. Chem. 2018, 37, 461−466.

    11. [11]

      Zhou, L. J.; Deng, W. H.; Wang, Y. L.; Xu, G.; Yin, S. G.; Liu, Q. Y. Lanthanide-potassium-biphenyl-3, 3΄-disulfonyl-4, 4΄-dicarboxylate frameworks: gas sorption, proton conductivity, and luminescent sensing of metal ions. Inorg. Chem. 2016, 55, 6271–6277.  doi: 10.1021/acs.inorgchem.6b00928

    12. [12]

      Cui, Y.; Yue, Y.; Qian, G.; Chen, B. Luminescent functional metal-organic frameworks. Chem. Rev. 2012, 112, 1126−1162.  doi: 10.1021/cr200101d

    13. [13]

      Fu, H. R.; Yan, L. B.; Xie, T. 4-Pyrazolecarboxylic acid-based MOF-5 analogs framework with high adsorption and separation of light hydrocarbons. Chin. J. Struct. Chem. 2018, 37, 796−802.

    14. [14]

      Fu, H. R.; Zhao, Y.; Zhou, Z.; Yang, X. G.; Ma, L. F. Neutral ligand TIPA-based two 2D metal-organic frameworks: ultrahigh selectivity of C2H2/CH4 and efficient sensing and sorption of Cr(VI). Dalton Trans. 2018, 47, 3725−3732.  doi: 10.1039/C8DT00206A

    15. [15]

      Perry, J. J.; Bauer, C. A.; Allendorf, M. D. Luminescent metal-organic frameworks. Chem. Soc. Rev. 2009, 38, 1330−1352.  doi: 10.1039/b802352m

    16. [16]

      Wang, H.; Qin, J.; Huang, C.; Han, Y.; Xu, W.; Hou, H. Mono/bimetallic water-stable lanthanide coordination polymers as luminescent probes for detecting cations, anions and organic solvent molecules. Dalton Trans. 2016, 45, 12710−12716.  doi: 10.1039/C6DT02321E

    17. [17]

      Zhao, Y.; Wang, Y. J.; Wang, N.; Zheng, P.; Fu, H. R.; Han, M. L.; Ma, L. F.; Wang, L. Y. Tetraphenylethylene-decorated metal-organic frameworks as energy-transfer platform for the detection of nitro-antibiotics and white-light emission. Inorg. Chem. 2019, 58, 12700−12706.  doi: 10.1021/acs.inorgchem.9b01588

    18. [18]

      Luo, J.; Xie, Z.; Lam, J. W. Y.; Cheng, L.; Chen, H.; Qiu, C.; Kwok, H. S.; Zhan, X.; Liu, Y.; Zhu, D.; Tang, B. Z. Aggregation-induced emission of 1-methyl-1, 2, 3, 4, 5-pentaphenylsilole. Chem. Commun. 2001, 18, 1740–1741.

    19. [19]

      Wang, J.; Mei, J.; Yuan, W. Z.; Lu, P.; Qin, A. J.; Sun, J. Z.; Ma, Y. G.; Tang, B. Z. Hyperbranched polytriazoles with high molecular compressibility: aggregation-induced emission and superamplified explosive detection. J. Mater. Chem. 2011, 21, 4056−4059.  doi: 10.1039/c0jm04100a

    20. [20]

      Samanta, S. K.; Scherf, U. Cationic main-chain polyelectrolytes with pyridinium-based p-phenylenevinylene units and their aggregation-induced gelation. Macromol. Chem. Phys. 2016, 218, 1600374−1600382.

    21. [21]

      Hu, Z.; Deibert, B. J.; Li, J. Luminescent metal-organic frameworks for chemical sensing and explosive detection. Cheminform. 2014, 43, 5815−5840.

    22. [22]

      Wu, X. X.; Fu, H. R.; Han, M. L.; Zhou, Z.; Ma, L. F. Tetraphenylethylene immobilized metal-organic frameworks: highly sensitive fluorescent sensor for the detection of Cr2O72– and nitroaromatic explosives. Cryst. Growth Des. 2017, 17, 6041−6048.  doi: 10.1021/acs.cgd.7b01155

    23. [23]

      Dolomanov, O. V.; Bourhis, L. J.; Gildea, R. J.; Howard, J. A. K.; Puschmann, H. OLEX2: a complete structure solution, refinement and analysis program. J. Appl. Crystallogr. 2009, 42, 339–341.  doi: 10.1107/S0021889808042726

    24. [24]

      Spek. A. L. PLATON SQUEEZE: a tool for the calculation of the disordered solvent contribution to the calculated structure factors. Acta Crystallogr. Sect. C: Struct. Chem. 2015, 71, 9−18.  doi: 10.1107/S2053229614024929

  • 加载中
    1. [1]

      Huaihao CHENLingwen ZHANGYukun CHENJianjun ZHANG . A water-stable metal-organic framework probe for Al3+/Ga3+/In3+ detection. Chinese Journal of Inorganic Chemistry, 2025, 41(12): 2601-2608. doi: 10.11862/CJIC.20250184

    2. [2]

      Jie ZHANGXin LIUZhixin LIYuting PEIYuqi YANGHuimin LIZhiqiang LIU . Assembling a luminescence silencing system based on post-synthetic modification strategy: A highly sensitive and selective turn-on metal-organic framework probe for ascorbic acid detection. Chinese Journal of Inorganic Chemistry, 2024, 40(4): 823-833. doi: 10.11862/CJIC.20230310

    3. [3]

      Huan ZHANGJijiang WANGGuang FANLong TANGErlin YUEChao BAIXiao WANGYuqi ZHANG . A highly stable cadmium(Ⅱ) metal-organic framework for detecting tetracycline and p-nitrophenol. Chinese Journal of Inorganic Chemistry, 2024, 40(3): 646-654. doi: 10.11862/CJIC.20230291

    4. [4]

      Hongzhe GUOSen WANGLu YANGFucheng LIUJiongpeng ZHAOZhaoquan YAO . Highly selective acetylene capture by a pacs-type metal-organic framework constructed using metal-formate complexes as pore partition units. Chinese Journal of Inorganic Chemistry, 2025, 41(10): 2157-2164. doi: 10.11862/CJIC.20250179

    5. [5]

      Haoying ZHAILanzong WENWenjie LIAOQin LIWenjun ZHOUKun CAO . Metal-organic framework-derived sulfur-doped iron-cobalt tannate nanorods for efficient oxygen evolution reaction performance. Chinese Journal of Inorganic Chemistry, 2025, 41(5): 1037-1048. doi: 10.11862/CJIC.20240320

    6. [6]

      Xinnan XIEBoyu ZHANGJianxun YANGYi ZHONGYounis OsamaJianxiao YANGXinchun YANG . Ultrafine platinum clusters achieved by metal-organic framework derived cobalt nanoparticle/porous carbon: Remarkable catalytic performance in dehydrogenation of ammonia borane. Chinese Journal of Inorganic Chemistry, 2025, 41(10): 2095-2102. doi: 10.11862/CJIC.20250025

    7. [7]

      Ruiyan CHENYanping HEJian ZHANG . Synthesis and third-order nonlinear optical property of Ti4L6 cage-based metal-organic framework. Chinese Journal of Inorganic Chemistry, 2025, 41(10): 2149-2156. doi: 10.11862/CJIC.20250177

    8. [8]

      Shanqing YANGLulu WANGQiang ZHANGJiajia LIYilong LITongliang HU . A propane-selective metal-organic framework for inverse selective adsorption propane/propylene separation. Chinese Journal of Inorganic Chemistry, 2025, 41(10): 2138-2148. doi: 10.11862/CJIC.20250154

    9. [9]

      Bangdi GEXiaowei SONGZhiqiang LIANG . A bifunctional three-dimensional Eu-MOF fluorescent probe for highly sensitive detection of 2, 4, 6-trinitrophenol and tetracycline. Chinese Journal of Inorganic Chemistry, 2025, 41(10): 2165-2174. doi: 10.11862/CJIC.20250190

    10. [10]

      Yukun CHENKexin FENGBolun ZHANGWentao SONGJianjun ZHANG . Syntheses, crystal structures, and diametrically opposed mechanically-stimulated luminescence response of two Mg(Ⅱ) metal-organic frameworks. Chinese Journal of Inorganic Chemistry, 2025, 41(6): 1227-1234. doi: 10.11862/CJIC.20240448

    11. [11]

      Weichen WANGChunhua GONGJunyong ZHANGYanfeng BIHao XUJingli XIE . Construction of two metal-organic frameworks by rigid bis(triazole) and carboxylate mixed-ligands and their catalytic properties for CO2 cycloaddition reaction. Chinese Journal of Inorganic Chemistry, 2024, 40(7): 1377-1386. doi: 10.11862/CJIC.20230415

    12. [12]

      Tian TIANMeng ZHOUJiale WEIYize LIUYifan MOYuhan YEWenzhi JIABin HE . Ru-doped Co3O4/reduced graphene oxide: Preparation and electrocatalytic oxygen evolution property. Chinese Journal of Inorganic Chemistry, 2025, 41(2): 385-394. doi: 10.11862/CJIC.20240298

    13. [13]

      Min ZHUYuxin WANGXiao LIYaxu XUJunwen ZHUZihao WANGYu ZHUXiaochen HUANGDan XUMonsur Showkot Hossain Abul . Construction of AgVO3/ZIF-8 composites for enhanced degradation of tetracycline. Chinese Journal of Inorganic Chemistry, 2025, 41(5): 994-1006. doi: 10.11862/CJIC.20240392

    14. [14]

      Ri PENGYingxiang BAIYuxin XIEDunru ZHUcis/trans-Octahedral configuration induced topologically different MOFs: Syntheses, structures, and Hirshfeld surface analyses. Chinese Journal of Inorganic Chemistry, 2025, 41(8): 1650-1660. doi: 10.11862/CJIC.20250143

    15. [15]

      Meirong HANXiaoyang WEISisi FENGYuting BAI . A zinc-based metal-organic framework for fluorescence detection of trace Cu2+. Chinese Journal of Inorganic Chemistry, 2024, 40(8): 1603-1614. doi: 10.11862/CJIC.20240150

    16. [16]

      Xiangshuai LiJian ZhaoLi LuoZhuohao JiaoYing ShiShengli HouBin Zhao . Visual and portable detection of metronidazole realized by metal-organic framework flexible sensor and smartphone scanning. Chinese Chemical Letters, 2024, 35(10): 109407-. doi: 10.1016/j.cclet.2023.109407

    17. [17]

      Wei GUOZhuoyi GUOXiaoxin LIWei ZHANGJuanzhi YANTingting GUO . Electrochemical sensor based on a Co(Ⅱ)-based metal-organic framework for the detection of Cd2+ and Pb2+. Chinese Journal of Inorganic Chemistry, 2025, 41(9): 1889-1902. doi: 10.11862/CJIC.20250097

    18. [18]

      Li LiLin-Lin ZhangYansha GaoLu-Ying DuanWuying YangXigen HuangYanping HongJiaxin HongLin YuanLimin Lu . Target self-calibration ratiometric fluorescent sensor based on facile-synthesized europium metal-organic framework for multi-color visual detection of levofloxacin. Chinese Chemical Letters, 2025, 36(7): 110436-. doi: 10.1016/j.cclet.2024.110436

    19. [19]

      Zhiqiang LiuQiang GaoWei ShenMeifeng XuYunxin LiWeilin HouHai-Wei ShiYaozuo YuanErwin AdamsHian Kee LeeSheng Tang . Removal and fluorescence detection of antibiotics from wastewater by layered double oxides/metal-organic frameworks with different topological configurations. Chinese Chemical Letters, 2024, 35(8): 109338-. doi: 10.1016/j.cclet.2023.109338

    20. [20]

      Xinhui FangXinrui WangBin Ding . Applications of luminescent metal-organic frameworks as pioneering biosensors for biological and chemical detection. Chinese Chemical Letters, 2025, 36(8): 110453-. doi: 10.1016/j.cclet.2024.110453

Metrics
  • PDF Downloads(2)
  • Abstract views(987)
  • HTML views(29)

通讯作者: 陈斌, bchen63@163.com
  • 1. 

    沈阳化工大学材料科学与工程学院 沈阳 110142

  1. 本站搜索
  2. 百度学术搜索
  3. 万方数据库搜索
  4. CNKI搜索
Address:Zhongguancun North First Street 2,100190 Beijing, PR China Tel: +86-010-82449177-888
Powered By info@rhhz.net

/

DownLoad:  Full-Size Img  PowerPoint
Return