Citation: MA Rui, LI Shuangshuang, WANG Xiaowei, FU Zhilei, PAN Ge, FU Bo, SHI Tongfei, HUANG Yineng, TANG Huaqing, LI Sijia, XU Donghua, ZHOU Hengwei. Relationship Between Particle Size and Distribution of Commercial Polyacrylic Superabsorbent Resin and Its Gelation Concentration[J]. Chinese Journal of Applied Chemistry, ;2019, 36(7): 807-814. doi: 10.11944/j.issn.1000-0518.2019.07.180411 shu

Relationship Between Particle Size and Distribution of Commercial Polyacrylic Superabsorbent Resin and Its Gelation Concentration

  • Corresponding author: XU Donghua, dhxu@ciac.ac.cn ZHOU Hengwei, zhw33221@163.com
  • Received Date: 26 December 2018
    Revised Date: 4 March 2019
    Accepted Date: 9 April 2019

    Fund Project: the Graduate Research and Innovation Project of Yili Normal University YLSF2017033the Planned Project of Technical Research Planned Project of Ministry of Public Security 2017JSYJC04Supported by the National Natural Science Foundation of China(No.21274152), the Graduate Research and Innovation Project of Yili Normal University(No.YLSF2017033), the Planned Project of Technical Research Planned Project of Ministry of Public Security(No.2017JSYJC04)the National Natural Science Foundation of China 21274152

Figures(6)

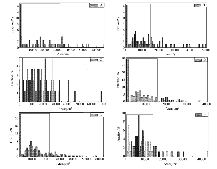
  • The effects of particle size and distribution of six commercial polyacrylic superabsorbent resins(SAP) on the critical concentration of gel formation were studied. The compositions of the samples were analyzed by infrared spectroscopy and X-ray photoelectron spectroscopy. The size and distribution of particles of dry samples were counted by using polarized light microscopy and ImageJ software, and were estimated by measuring the expansion ratio of the sample after water absorption. The critical gelation concentration of these superabsorbent resins was determined by rheological method and inverted experiment. The results show that the effect of the particle sizes of the six commercial polyacrylic superabsorbent resins on gel formation is not consistent with the corresponding theoretical prediction, which is caused by the uneven width of the particle size distribution. In the uniform range dominated by particle size distribution, the critical gelation concentration of the sample decreases with the increase of particle size.
  • 加载中
    1. [1]

      ZHANG Shengzu, DU Yong, YUAN Ting. Synthesis and Properties of Super Absorbents Poly(acrylic salt-acrylamide) by Inverse Suspension Polymerization[J]. J Wuhan Text Univ, 2011,24(3):31-34. doi: 10.3969/j.issn.1009-5160.2011.03.008

    2. [2]

      KANG Hongmei, XIE Jianjun, LIU Yang. Study on Polymerization and Absorbency of Acrylic-Based Polymer[D]. Hunan: Xiangtan University, 2002.(in Chinese 

    3. [3]

      ZHANG Xiaolei, TIAN Qian, LI Lei. Preparation of Super Absorbent Polymer via Static Aqueous Solution Polymerization[J]. Guangdong Chem Ind, 2016,16(43):88-90.  

    4. [4]

      ZHANG Chuanjuan, LIN Jianmin, WU Jihuai, et al. Preparation and Property of Poly(Sodium Acrylate-Acrylamide)/Agar-Modified Bentonite Superabsorbent Composite[D]. Fujian: Huaqiao University, 2007(in Chinese).

    5. [5]

      WANG Fei. Study on Modification and Properties of Polyacrylic Superabsorbent Resin[D]. Guangzhou: South China University of Technology, 2016(in Chinese).

    6. [6]

      CHU Jianyun, LIU Xiaodong, LIU Ruobing. Synthesis and Properties of Polyacrylic Superabsorbent with Semi-IPN Structure[J]. J Sichuan Univ, 2004,36(2):62-68. doi: 10.3969/j.issn.1009-3087.2004.02.015

    7. [7]

      CHEN Ligui. Preparation of Polyacrylic Acid(Sodium) High Water-Absorbing Resinby Solution Method and Its Influencing Factors Analysis[J]. J Anhui Agric Sci, 2008,36(12):4813-4814. doi: 10.3969/j.issn.0517-6611.2008.12.005

    8. [8]

      WANG Dongdong. Synthesis and Modification Research of Polyacrylic Acid Sodium Absorbent Materials[D]. Jiangxi: Nanchang University, 2014(in Chinese).

    9. [9]

      WANG Manyi. Preparation of Polyacrylic Acid Superabsorbent Polymers and Electrospun Fibers[D]. Shanghai: Dnghua University, 2014(in Chinese). 

    10. [10]

      ZHANG Ming, LIU Yuelong, LIU Gousheng. Study on Synthesis and Mechanism of Poly(AA-co-AM)/Sericite Superabsorbent Composites[J]. New Chem Mater, 2014,12(12):123-129.  

    11. [11]

      WU Zhengang. Synthesis and Property of Super Absorbent Polymer[D]. Xi'an: The Fourth Military Medical University, 2018(in Chinese).

    12. [12]

      HE Ning. Study on Separation and Gel Properties of Natural Low Molecular Weight Gel[D]. Harbin: Harbin Institute of Technology, 2018(in Chinese).

    13. [13]

      Kim J M, Fang J, Eberle A P R. Gel Transition in Adhesive Hard-Sphere Colloidal Dispersions:The Role of Gravitational Effects[J]. Phys Rev Lett, 2013,110(20):208-302.

    14. [14]

      Nishinari K. Some Thoughts on the Definition of a Gel[J]. Prog Colloid Polym Sci, 2009,136:87-94.

    15. [15]

      Daisuke A, Xu D H, Liu W G. Protein Polymer Hydrogels by in situ, Rapid and Reversible Self-Gelation[J]. Biomaterials, 2012,33:5451-5458. doi: 10.1016/j.biomaterials.2012.03.083

    16. [16]

      DING Yi, FANG Youchun. Comperhensive Utilization of Anhui Industrial By-product Gypsum[J]. Mater Rev, 2013,27(12):147-152.  

    17. [17]

      ZHANG Huanhuan, WANG Jie, HUANG Gang. Structure and Properties of the Polyurethane Damping Materials Used in Automobiles[J]. Acta Polym Sin, 2016,10:1447-1454.  

  • 加载中
    1. [1]

      Haoxiang Zhang Zhihan Zhao Yongchen Jin Zhiqiang Niu Jinlei Tian . Synthesis of an Efficient Absorbent Gel: A Recommended Comprehensive Chemistry Experiment. University Chemistry, 2024, 39(11): 251-258. doi: 10.12461/PKU.DXHX202401084

    2. [2]

      Lijuan Liu Xionglei Wang . Preparation of Hydrogels from Waste Thermosetting Unsaturated Polyester Resin by Controllable Catalytic Degradation: A Comprehensive Chemical Experiment. University Chemistry, 2024, 39(11): 313-318. doi: 10.12461/PKU.DXHX202403060

    3. [3]

      Yuena Yang Xufang Hu Yushan Liu Yaya Kuang Jian Ling Qiue Cao Chuanhua Zhou . The Realm of Smart Hydrogels. University Chemistry, 2024, 39(5): 172-183. doi: 10.3866/PKU.DXHX202310125

    4. [4]

      Haiyu Nie Chenhui Zhang Fengpei Du . Ideological and Political Design for the Preparation, Characterization and Particle Size Control Experiment of Nanoemulsion. University Chemistry, 2024, 39(2): 41-46. doi: 10.3866/PKU.DXHX202306055

    5. [5]

      Cunling Ye Xitong Zhao Hongfang Wang Zhike Wang . A Formula for the Calculation of Complex Concentrations Arising from Side Reactions and Its Applications. University Chemistry, 2024, 39(4): 382-386. doi: 10.3866/PKU.DXHX202310043

    6. [6]

      Ruilin Han Xiaoqi Yan . Comparison of Multiple Function Methods for Fitting Surface Tension and Concentration Curves. University Chemistry, 2024, 39(7): 381-385. doi: 10.3866/PKU.DXHX202311023

    7. [7]

      Zhihuan XUQing KANGYuzhen LONGQian YUANCidong LIUXin LIGenghuai TANGYuqing LIAO . Effect of graphene oxide concentration on the electrochemical properties of reduced graphene oxide/ZnS. Chinese Journal of Inorganic Chemistry, 2024, 40(7): 1329-1336. doi: 10.11862/CJIC.20230447

    8. [8]

      Yan LIUJiaxin GUOSong YANGShixian XUYanyan YANGZhongliang YUXiaogang HAO . Exclusionary recovery of phosphate anions with low concentration from wastewater using a CoNi-layered double hydroxide/graphene electronically controlled separation film. Chinese Journal of Inorganic Chemistry, 2024, 40(9): 1775-1783. doi: 10.11862/CJIC.20240043

    9. [9]

      Haotong MaMingyu HengYang XuWei BiYingchun MiaoShuning Xiao . Synergistic carbon doping and Cu loading on boron nitride via microwave synthesis for enhanced atmospheric CO2 photoreduction. Acta Physico-Chimica Sinica, 2025, 41(11): 100132-0. doi: 10.1016/j.actphy.2025.100132

    10. [10]

      Dong-Bing Cheng Junxin Duan Haiyu Gao . Experimental Teaching Design on Chitosan Extraction and Preparation of Antibacterial Gel. University Chemistry, 2024, 39(2): 330-339. doi: 10.3866/PKU.DXHX202308053

    11. [11]

      Tengjiao Wang Tian Cheng Rongjun Liu Zeyi Wang Yuxuan Qiao An Wang Peng Li . Conductive Hydrogel-based Flexible Electronic System: Innovative Experimental Design in Flexible Electronics. University Chemistry, 2024, 39(4): 286-295. doi: 10.3866/PKU.DXHX202309094

    12. [12]

      Qiang Zhou Pingping Zhu Wei Shao Wanqun Hu Xuan Lei Haiyang Yang . Innovative Experimental Teaching Design for 3D Printing High-Strength Hydrogel Experiments. University Chemistry, 2024, 39(6): 264-270. doi: 10.3866/PKU.DXHX202310064

    13. [13]

      Qingyang Cui Feng Yu Zirun Wang Bangkun Jin Wanqun Hu Wan Li . From Jelly to Soft Matter: Preparation and Properties-Exploring of Different Kinds of Hydrogels. University Chemistry, 2024, 39(9): 338-348. doi: 10.3866/PKU.DXHX202309046

    14. [14]

      Zhongrui Wang Yuwen Meng Xu Wang . 双层水凝胶的制备及其pH响应变形实验. University Chemistry, 2025, 40(8): 255-264. doi: 10.12461/PKU.DXHX202410038

    15. [15]

      Xiaoning TANGJunnan LIUXingfu YANGJie LEIQiuyang LUOShu XIAAn XUE . Effect of sodium alginate-sodium carboxymethylcellulose gel layer on the stability of Zn anodes. Chinese Journal of Inorganic Chemistry, 2024, 40(8): 1452-1460. doi: 10.11862/CJIC.20240191

    16. [16]

      Jingyu Cai Xiaoyu Miao Yulai Zhao Longqiang Xiao . Exploratory Teaching Experiment Design of FeOOH-RGO Aerogel for Photocatalytic Benzene to Phenol. University Chemistry, 2024, 39(4): 169-177. doi: 10.3866/PKU.DXHX202311028

    17. [17]

      Lin Song Dourong Wang Biao Zhang . Innovative Experimental Design and Research on Preparing Flexible Perovskite Fluorescent Gels Using 3D Printing. University Chemistry, 2024, 39(7): 337-344. doi: 10.3866/PKU.DXHX202310107

    18. [18]

      Zhaoxuan ZHULixin WANGXiaoning TANGLong LIYan SHIJiaojing SHAO . Application of poly(vinyl alcohol) conductive hydrogel electrolytes in zinc ion batteries. Chinese Journal of Inorganic Chemistry, 2025, 41(5): 893-902. doi: 10.11862/CJIC.20240368

    19. [19]

      Xichen YAOShuxian WANGYun WANGCheng WANGChuang ZHANG . Oxygen reduction performance of self?supported Fe/N/C three-dimensional aerogel catalyst layers. Chinese Journal of Inorganic Chemistry, 2025, 41(7): 1387-1396. doi: 10.11862/CJIC.20240384

    20. [20]

      Ke QiuFengmei WangMochou LiaoKerun ZhuJiawei ChenWei ZhangYongyao XiaXiaoli DongFei Wang . A Fumed SiO2-based Composite Hydrogel Polymer Electrolyte for Near-Neutral Zinc-Air Batteries. Acta Physico-Chimica Sinica, 2024, 40(3): 2304036-0. doi: 10.3866/PKU.WHXB202304036

Metrics
  • PDF Downloads(3)
  • Abstract views(1182)
  • HTML views(217)

通讯作者: 陈斌, bchen63@163.com
  • 1. 

    沈阳化工大学材料科学与工程学院 沈阳 110142

  1. 本站搜索
  2. 百度学术搜索
  3. 万方数据库搜索
  4. CNKI搜索
Address:Zhongguancun North First Street 2,100190 Beijing, PR China Tel: +86-010-82449177-888
Powered By info@rhhz.net

/

DownLoad:  Full-Size Img  PowerPoint
Return