Citation: HOU Chengmin, LI Na, DONG Haitao, KOU Yanping. Preparation and Performance of Hybrid Superhydrophobic Materials from Fluorinated Epoxy Resin and Silica Nanoparticles[J]. Chinese Journal of Applied Chemistry, ;2019, 36(7): 798-806. doi: 10.11944/j.issn.1000-0518.2019.07.180389 shu

Preparation and Performance of Hybrid Superhydrophobic Materials from Fluorinated Epoxy Resin and Silica Nanoparticles

  • Corresponding author: HOU Chengmin, 1042067175@qq.com
  • Received Date: 5 December 2018
    Revised Date: 5 March 2019
    Accepted Date: 18 April 2019

    Fund Project: Supported by the National Natural Science Foundation of China(No.51803167), the Natural Science Foundation of Shaanxi Province(No.2016JQ2029), the Project for Young Lifted Scientists of Colleges and Universities of Shanxi Province of China(No.20160116), the Scientific Research Program Founded by Shaanxi Provincial Educational Department(No.18JK0586), the Research Project of Construction Science and Technology of Xi′an(No.SJW2015-24)the Research Project of Construction Science and Technology of Xi′an SJW2015-24the Natural Science Foundation of Shaanxi Province 2016JQ2029the Project for Young Lifted Scientists of Colleges and Universities of Shanxi Province of China 20160116the National Natural Science Foundation of China 51803167the Scientific Research Program Founded by Shaanxi Provincial Educational Department 18JK0586

Figures(8)

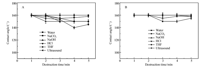
  • At present, there are many preparation methods for superhydrophobic materials, but most of them have the disadvantages of complicated preparation processes. In this paper, the traditional free radical polymerization method was used to prepare super-hydrophobic materials with excellent performance by simple operation using organic and inorganic materials commonly used in the market as raw materials. The method for preparing superhydrophobic materials in this study can be widely applied to hydrophobic modification of various substrate materials. The crosslinkable precursor polymer P(GMA-r-St) was synthesized by conventional radical polymerization using glycidyl methacrylate(GMA) and styrene(St) as monomers. Further, it was graft-modified with trifluoroacetic acid(TFA) to prepare a fluorine-containing epoxy polymer P(GMA-r-St)-g-TFA. Nano-silica(SiO2) was modified by γ-aminopropyltriethoxysilane(KH-550) and characterized by Fourier transform infrared spectroscopy(FTIR) and thermogravimetry(TG). A superhydrophobic modified material prepared by mixing amino-modified nano-silica with a fluorine-containing epoxy polymer, and the surface of the cotton fabric is soaked to rapidly construct a super-hydrophobic structure. By changing the content of modified nanoparticles, the hydrophobic properties and solvent resistance of the constructed cotton fabrics were investigated. The results show that the cotton fabric with immersion modification has a water contact angle of 160° and a solvent resistance time of 130 min, which has good solvent resistance.
  • 加载中
    1. [1]

      Wang J M, Wang K, Zheng Y M. Relationship Between Surface Nanostructure and Wettability of Lotus Leaves[J]. J Chem, 2010,31(8):1596-1599.

    2. [2]

      Barthlott W, Neinhuis C. Purity of the Sacred Lotus, or Escape from Contamination in Biological Surfaces[J]. Planta, 1997,202(1):1-8. doi: 10.1007/s004250050096

    3. [3]

      Neinhuis C, Barthlott W. Characterization and Distribution of Water-Repellent, Self-cleaning Plant Surfaces[J]. Ann Bota, 1997,79(6):667-677. doi: 10.1006/anbo.1997.0400

    4. [4]

      JIANG Lei, FENG Lin. Bionic Intelligent Nano-interface Materials[M]. Beijing:Chemistry Ind Press, 2005(in Chinese).

    5. [5]

      GAO Shuohong, LIU Min, PANG Xiaojun. Preparation and Properties of Superhydrophobic Composite Coatings[J]. Chinese J Mater Res, 2018,32(7):502-512.  

    6. [6]

      ZENG Xinjuan, WANG Li, PI Pihui. Development and Research of Special Wettability Oil-Water Separation Materials[J]. Chem Prog, 2018,30(1):73-86.  

    7. [7]

      LIU Bin, FU Yeqing, RUAN Weiqing. Preparation of Superhydrophobic Surface by Soft Template and UV Curing Technology[J]. J Polym Sci, 2008(2):155-160. doi: 10.3321/j.issn:1000-3304.2008.02.010

    8. [8]

      Lee W, Jin M K, Woncheol Yoo A. Nanostructuring of a Polymeric Substrate with Well-Defined Nanometer-Scale Topography and Tailored Surface Wettability[J]. Langmuir, 2004,20(18):7665-7669. doi: 10.1021/la049411+

    9. [9]

      Deng X, Mammen L, Butt H J. Candle Soot as a Template for a Transparent Robust Superamphiphobic Coating[J]. Science, 2012,335(6064):67-70. doi: 10.1126/science.1207115

    10. [10]

      Xie Q, Xu J, Feng L. Facile Creation of a Super-amphiphobic Coating Surface with Bionic Microstructure[J]. Adv Mater, 2010,16(4):302-305.  

    11. [11]

      Gao S, Dong X, Huang J. Rational Construction of Highly Transparent Superhydrophobic Coatings Based on a Non-particle, Fluorine-Free and Water-Rich System for Versatile Oil-Water Separation[J]. Chem Eng J, 2017S1385894717317126.  

    12. [12]

      Wang Y F, Li B X, Xu C Y. Fabrication of Superhydrophobic Surface of Hierarchical ZnO Thin Films by Using Stearic Acid[J]. Superlatti Microstruct, 2012,51(1):128-134. doi: 10.1016/j.spmi.2011.11.006

    13. [13]

      Hsieh C T, Yang S Y, Lin J Y. Electrochemical Deposition and Superhydrophobic Behavior of ZnO Nanorod Arrays[J]. Thin Solid Films, 2010,518(17):4884-4889. doi: 10.1016/j.tsf.2010.03.081

    14. [14]

      Hou Q, Li X Y, He G. Study on Non-line-of-sight Multiple Scattering Model[J]. Opt Tech, 2011,37(6):699-703.  

    15. [15]

      Ganesh V A, Dinachali S S, Nair A S. Robust Superamphiphobic Film from Electrospun TiO2Nanostructures[J]. ACS Appl Mater Interfaces, 2013,5(5):1527-1532. doi: 10.1021/am302790d

    16. [16]

      Shi Y, Wang Y, Feng X. Fabrication of Superhydrophobicity on Cotton Fabric by Sol-Gel[J]. Appl Surf Sci, 2012,258(20):8134-8138. doi: 10.1016/j.apsusc.2012.05.008

    17. [17]

      Xu L, Zhuang W, Xu B. Fabrication of Superhydrophobic Cotton Fabrics by Silica Hydrosol and Hydrophobization[J]. Appl Surf Sci, 2011,257(13):5491-5498. doi: 10.1016/j.apsusc.2010.12.116

    18. [18]

      Mahadik S A, Kavale M S, Mukherjee S K. Transparent Superhydrophobic Silica Coatings on Glass by Sol-Gel Method[J]. Appl Surf Sci, 2010,257(2):333-339. doi: 10.1016/j.apsusc.2010.06.062

    19. [19]

      Ner D, Mccarthy T J. Ultrahydrophobic Surfaces.Effects of Topography Length Scales on Wettability[J]. Langmuir, 2000,16(20):7777-7782. doi: 10.1021/la000598o

    20. [20]

      Fresnais J, Chapel J P, Poncin-Epaillard F. Synthesis of Transparent Superhydrophobic Polyethylene Surfaces[J]. Surf Coat Technol, 2006,200(18):5296-5305.  

    21. [21]

      Zhai L, Cebeci F C, Cohen R E. Stable Superhydrophobic Coatings from Polyelectrolyte Multilayers[J]. Nano Lett, 2004,4(7):1349-1353. doi: 10.1021/nl049463j

    22. [22]

      Rabnawaz M, Liu G J. Preparation and Application of a Dual Light-Responsive Triblock Terpolymer[J]. Macromolecules, 2012,45(13):5586-5595. doi: 10.1021/ma3006476

    23. [23]

      Wu X J, Wang H X, Liu M. Affect Analysis of Receiving Aperture on Bit-Error Rate Performance in Free Space Optical Communication Systems under Different Visibilities[J]. Acta Opt Sin, 2013,33(10)1006003. doi: 10.3788/AOS

    24. [24]

      Xiong D, Liu G, Duncan E J S. Diblock-Copolymer-Coated Water- and Oil-Repellent Cotton Fabrics[J]. Langmuir, 2012,28(17):6911-6918. doi: 10.1021/la300634v

    25. [25]

      Shahidi S, Ahmadi M, Rashidi A. Effect of Plasma Treatment on Self-cleaning of Textile Fabric Using Titanium Dioxide[J]. Micro Nano Lett, 2015,10(8):408-413. doi: 10.1049/mnl.2015.0053

    26. [26]

      Xu B, Ding J, Feng L. Self-cleaning Cotton Fabrics via Combination of Photocatalytic TiO2 and Superhydrophobic SiO2[J]. Surf Coat Technol, 2015,26(2):70-76.  

    27. [27]

      ZHENG Junhong, ZHANG Dan, KANG Huaiping. Superhydrophobic Finishing of Cotton Fabric and Characterization of Its Properties[J]. New Chem Mater, 2018,46(4):205-208.  

    28. [28]

      WANG Shuo, ZHANG Wei, BAI Guiqin. Hydrophobic Heat-Insulation Finishing of Cotton Fabric Based on Nanometer ATO[J]. Print Dye, 2017,43(17):11-14, 30.  

    29. [29]

      FENG Zhixiu, RUAN Yongqin, ZHANG Zhitao. The Development of Superhydrophobic Material Preparation Technology and Its Engineering Application Prospects[J]. High Traff Technol, 2017,13(8):106-108.  

    30. [30]

      HE Song. Research Progress in Frost Resistance of Superhydrophobic Surface[J]. Guangzhou Architect, 2017,45(2):17-22. doi: 10.3969/j.issn.1671-2439.2017.02.004

    31. [31]

      YU Chunhao, GONG Jing, HAO Pengfei. Research Progress in Anti-icing and Frosting Performance of Superhydrophobic Surface[J]. Mater Rev, 2014,28(13):65-68.  

    32. [32]

      FENG Jie, LU Jinqiang, QIN Zhaoqian. Research Progress in Anti-icing Performance of Superhydrophobic Surfaces[J]. Chinese J Mater Res, 2012,26(4):337-343.  

    33. [33]

      GAO Zhengnan, JIANG Xiaobo, GUO Kai. Hydrolysis of KH550 and Its Surface Modification of SiO2[J]. J Beijing Univ Chem Technol(Nat Sci Edit), 2012,39(2):7-12. doi: 10.3969/j.issn.1671-4628.2012.02.002

    34. [34]

      DONG Wenjie, KAN Ze. Preparation of Poly(Amino Acid) Modified Nano-silica and Its Application in Nylon Modification[J]. Polym Mater Sci Eng, 2018,34(10):110-115.  

  • 加载中
    1. [1]

      Zijian Zhao Yanxin Shi Shicheng Li Wenhong Ruan Fang Zhu Jijun Jiang . A New Exploration of the Preparation of Polyacrylic Acid by Free Radical Polymerization Based on the Concept of Green Chemistry. University Chemistry, 2024, 39(5): 315-324. doi: 10.3866/PKU.DXHX202311094

    2. [2]

      Xiyuan Su Zhenlin Hu Ye Fan Xianyuan Liu Xianyong Lu . Change as You Want: Multi-Responsive Superhydrophobic Intelligent Actuation Material. University Chemistry, 2024, 39(5): 228-237. doi: 10.3866/PKU.DXHX202311059

    3. [3]

      Zhaoxuan ZHULixin WANGXiaoning TANGLong LIYan SHIJiaojing SHAO . Application of poly(vinyl alcohol) conductive hydrogel electrolytes in zinc ion batteries. Chinese Journal of Inorganic Chemistry, 2025, 41(5): 893-902. doi: 10.11862/CJIC.20240368

    4. [4]

      Qingyu Yang Yuanhai Yu Yanliu Wu Ting Yang Le Zhong Wenhong Ruan Jie Li . Digital Intelligence-Empowered Exploration of Copolymerized Polyacrylonitrile Synthesis and Application Experiments for Carbon Fiber Precursors. University Chemistry, 2026, 41(1): 41-56. doi: 10.12461/PKU.DXHX202506010

    5. [5]

      CCS Chemistry | 超分子活化底物自由基促进高效选择性光催化氧化

      . CCS Chemistry, 2025, 7(10.31635/ccschem.025.202405229): -.

    6. [6]

      Lei Shi . Nucleophilicity and Electrophilicity of Radicals. University Chemistry, 2024, 39(11): 131-135. doi: 10.3866/PKU.DXHX202402018

    7. [7]

      Min LIUHuapeng RUANZhongtao FENGXue DONGHaiyan CUIXinping WANG . Neutral boron-containing radical dimers. Chinese Journal of Inorganic Chemistry, 2025, 41(1): 123-130. doi: 10.11862/CJIC.20240362

    8. [8]

      Ruifeng CHENChao XUJianting JIANGTianshe YANG . Gold nanorod/zinc oxide/mesoporous silica nanoplatform: A triple-modal platform for synergistic anticancer therapy. Chinese Journal of Inorganic Chemistry, 2025, 41(11): 2272-2282. doi: 10.11862/CJIC.20250117

    9. [9]

      Tianhao GESirong LUZhiyin XIAOWei ZHONG . Synthesis of porphyrin-based ionic polymeric materials for catalytic application in CO2 conversion. Chinese Journal of Inorganic Chemistry, 2026, 42(4): 722-736. doi: 10.11862/CJIC.20250312

    10. [10]

      Xiaoning TANGShu XIAJie LEIXingfu YANGQiuyang LUOJunnan LIUAn XUE . Fluorine-doped MnO2 with oxygen vacancy for stabilizing Zn-ion batteries. Chinese Journal of Inorganic Chemistry, 2024, 40(9): 1671-1678. doi: 10.11862/CJIC.20240149

    11. [11]

      Yinjie XuSuiqin LiLihao LiuJiahui HeKai LiMengxin WangShuying ZhaoChun LiZhengbin ZhangXing ZhongJianguo Wang . Enhanced Electrocatalytic Oxidation of Sterols using the Synergistic Effect of NiFe-MOF and Aminoxyl Radicals. Acta Physico-Chimica Sinica, 2024, 40(3): 2305012-0. doi: 10.3866/PKU.WHXB202305012

    12. [12]

      Zhiquan ZhangBaker RhimiZheyang LiuMin ZhouGuowei DengWei WeiLiang MaoHuaming LiZhifeng Jiang . Insights into the Development of Copper-Based Photocatalysts for CO2 Conversion. Acta Physico-Chimica Sinica, 2024, 40(12): 2406029-0. doi: 10.3866/PKU.WHXB202406029

    13. [13]

      Baitong Wei Jinxin Guo Xigong Liu Rongxiu Zhu Lei Liu . Theoretical Study on the Structure, Stability of Hydrocarbon Free Radicals and Selectivity of Alkane Chlorination Reaction. University Chemistry, 2025, 40(3): 402-407. doi: 10.12461/PKU.DXHX202406003

    14. [14]

      Yuxin LIAOXianheng SHENLi CHENYujia TIANZhihong LUOXiaoli CHENJiaojing SHAO . Amino-modified F-containing silica slag for the construction of multi-functional interlayer and the inhibitory effect on the polysulfide shuttle effect in lithium-sulfur batteries. Chinese Journal of Inorganic Chemistry, 2026, 42(2): 375-386. doi: 10.11862/CJIC.20250213

    15. [15]

      Jiajia Li Xiangyu Zhang Zhihan Yuan Zhengyang Qian Jian Zhu . 3D Printing Based on Photo-Induced Reversible Addition-Fragmentation Chain Transfer Polymerization. University Chemistry, 2024, 39(5): 11-19. doi: 10.3866/PKU.DXHX202309073

    16. [16]

      Xiaolong Li Shiqi Zhong Xiangfeng Wei Zhiqiang Liu Pan Zhan Jiehua Liu . Carbon Dioxide: From the Past to the Future. University Chemistry, 2026, 41(2): 242-247. doi: 10.12461/PKU.DXHX202503013

    17. [17]

      Tongyan Yu Pan Xu . Visible-Light Photocatalyzed Radical Rearrangement Reaction. University Chemistry, 2025, 40(7): 169-176. doi: 10.12461/PKU.DXHX202409070

    18. [18]

      Cunming Yu Dongliang Tian Jing Chen Qinglin Yang Kesong Liu Lei Jiang . Chemistry “101 Program” Synthetic Chemistry Experiment Course Construction: Synthesis and Properties of Bioinspired Superhydrophobic Functional Materials. University Chemistry, 2024, 39(10): 101-106. doi: 10.12461/PKU.DXHX202408008

    19. [19]

      Yucai Zhang Jun Jiang . Electrochemical Carbon Dioxide Reduction to Ethylene. University Chemistry, 2026, 41(2): 190-196. doi: 10.12461/PKU.DXHX202503006

    20. [20]

      Jin Tong Shuyan Yu . Crystal Engineering for Supramolecular Chirality. University Chemistry, 2024, 39(3): 86-93. doi: 10.3866/PKU.DXHX202308113

Metrics
  • PDF Downloads(3)
  • Abstract views(859)
  • HTML views(144)

通讯作者: 陈斌, bchen63@163.com
  • 1. 

    沈阳化工大学材料科学与工程学院 沈阳 110142

  1. 本站搜索
  2. 百度学术搜索
  3. 万方数据库搜索
  4. CNKI搜索
Address:Zhongguancun North First Street 2,100190 Beijing, PR China Tel: +86-010-82449177-888
Powered By info@rhhz.net

/

DownLoad:  Full-Size Img  PowerPoint
Return