Citation: SUN Fengmei, HAN Qiong, ZHAO Panxiang, WANG Jia, RUI Jiayi, XU Jiming. Synthesis and 1, 1-Diphenyl-2-Picrylhydrazyl Radical Quenching Activity of Salicylaldehyde Schiff Bases Containing Morpholine Fragments[J]. Chinese Journal of Applied Chemistry, ;2019, 36(5): 524-531. doi: 10.11944/j.issn.1000-0518.2019.05.180296 shu

Synthesis and 1, 1-Diphenyl-2-Picrylhydrazyl Radical Quenching Activity of Salicylaldehyde Schiff Bases Containing Morpholine Fragments

  • Corresponding author: SUN Fengmei, sfmmm1219@126.com
  • Received Date: 7 September 2018
    Revised Date: 26 November 2018
    Accepted Date: 17 December 2018

    Fund Project: Supported by the Jiangsu Province College Students′ Practice and Innovation Training Program(No.201810323007Z)the Jiangsu Province College Students′ Practice and Innovation Training Program 201810323007Z

Figures(2)

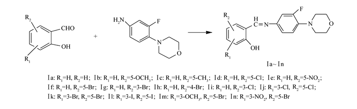
  • Fourteen kinds of salicylaldehyde Schiff bases containing morpholinyl fragments are synthesized by the condensation reaction of 3-fluoro-4-morpholiniline and substituted salicylate and confirmed by nuclear magnetic resonance spectroscopy(NMR), Fourier transform infrared spectrometer(FTIR), liquid chromatography-mass spectrometer(LC-MS) and element analysis. The 1, 1-diphenyl-2-picrylhydrazyl(DPPH) radical quenching activities of these Schiff bases are also studied. The results show that all compounds show certain quenching activity of DPPH radicals at concentrations of 0.02 to 0.10 g/L. Among them, the compounds Ⅰd and Ⅰf show excellent properties. The activity of compound Ⅰd is between 30% and 55%, and the activity of compound Ⅰf is more than 50%. With the increase of the concentration of compounds Ⅰd, Ⅰh, Ⅰj and Ⅰn, the DPPH radical quenching activities increase.
  • 加载中
    1. [1]

      ZHONG Keli, WANG Yutong, YU Qixuan. Progress in Fluorescence Probes Based on 4-(N, N-Diethylamino) Salicylaldehyde Schiff Base[J]. Chem Bull, 2018,81(1):37-44.  

    2. [2]

      Panneerselvam P, Nair R R, Vijayalakshmi G. Synthesis of Schiff Bases of 4-(4-Aminophenyl)-morpholine as Potential Antimicrobial Agents[J]. Eur J Med Chem, 2005,40(2):225-229.  

    3. [3]

      Kumari S, Chauhan G S. New Cellulose-Lysine Schiff-Base-Based Sensor-Adsorbent for Mercury Ions[J]. Appl Mater Interfaces, 2014,6(8):5908-5917.  

    4. [4]

      Li C, Liu J C, Li Y R. Synthesis and Antimicrobial Evaluation of 5-Aryl-1, 2, 4-triazole-3-thione Derivatives Containing a Rhodanine Moiety[J]. Bioorg Med Chem Lett, 2015,25(15):3052-3056.

    5. [5]

      LU Tianqi, WANG Po, RONG Zikun. Synthesis and Optical Property of Schiff Base Containing Triphenylamine Group[J]. Chinese J Synth Chem, 2017,25(12):1004-1007.  

    6. [6]

      YUAN Zeli, WU Qing, YANG Xingbian. Synthesis and Antibacterial Activity of Novel Schiff Base Macrocyclic Compounds Cotaining Triazole[J]. Chinese J Org Chem, 2011,31(10):1698-1702.  

    7. [7]

      HE Qiangfang, WU Yinghong, CAI Zhijian. Synthesis of Fluorescent Cross-Linked Stabilized Polymeric Micelles Based on Salicylidene Schiff Base/Zn2+ Complexes and Sensor for Cu2+ Detection[J]. Chinese J Appl Chem, 2016,33(6):701-709.  

    8. [8]

      Jin F, Pan C Y, Lu T Q. Syntheses, Crystal Structures, DFT Calculation and Optical Properties of a Schiff Base and Its Dinuclear Mercury(Ⅱ) Complex[J]. Chinese J Struct Chem, 2017,36(2):250-257.  

    9. [9]

      CAO Yi, LU Yun. Syntheses and Properties of Three Schiff Bases Containing Salicylaldehyde Units[J]. Chem Bull, 2017,80(6):539-543.  

    10. [10]

      Shen Z H, Shi Y X, Yang M Y. Synthesis, Crystal Structure, DFT Studies and Biological Activity of a Novel Schiff Base Containing Triazolo[4, 3-a]pyridine Moiety[J]. Chinese J Struct Chem, 2016,35(3):457-464.

    11. [11]

      PAN Dingwu, DU Huan, LV Xinyang. Synthesis and Antibacterial Activities of Novel Quinazoline-2, 4-dione Derivatives Containing the 1, 2, 4-Triazole Schiff-Base Unit[J]. Chinese J Org Chem, 2016,36(4):818-825.  

    12. [12]

      LI Yingjun, ZHANG Nan, JIN Kun. Novel Carbazole-Thiosemicarbazide Based Schiff-Base Probes for Cu2+[J]. Chinese J Org Chem, 2017,37(10):2640-2646.  

    13. [13]

      Gao B J, Zhang D D, Li Y B. Synthesis and Photoluminescence Properties of Novel Schiff Base Type Polymer-Rare Earth Complexes Containing Furfural-Based Bidentate Schiff Base Ligands[J]. Opt Mater, 2018,77:77-86.

    14. [14]

      LIU Junhu, LIU Yong, JIAN Junyou. Synthesis and Fungicidal Activities of Novel Quinazoline Derivatives Containing 1, 2, 4-Triazole Schiff-Base Unit[J]. Chinese J Org Chem, 2013,33:370-374.  

    15. [15]

      XIE Qingfan, LU Huiqiang, YOU Xingying. Synthesis, Characterization and Antioxidant Effect of Complexes from 2-Aminomethyl Pyridine 5-Bromosalicylaldehyde Schiff base[J]. Chem Res, 2015,26(1):35-38.  

    16. [16]

      PAN Sufang, YANG Guoyu, XU Cuilian. Antioxidant Function of Chitooligosaccharides Salicylaldehyde Schiff Base Series[J]. J Henan Agric Univ, 2012,46(6):687-690. doi: 10.3969/j.issn.1000-2340.2012.06.018

    17. [17]

      Mamdouh S M, Alaa E A, Gehan S E. Structural and Thermal Studies on Some Morpholine Complexes[J]. J Mol Struct, 2019,1175:648-662. doi: 10.1016/j.molstruc.2018.08.023

    18. [18]

      Sobhana B B, Abdul B A, Liu J. Discovery of 3-Morpholino-imidazole[1, 5-a]pyrazine BTK Inhibitors for Rheumatoid Arthritis[J]. Bioorg Med Chem Lett, 2017,27(16):3939-3943. doi: 10.1016/j.bmcl.2017.03.040

    19. [19]

      Li H M, Xu R, David C. Design, Synthesis, and Structure Activity Relationship Studies of N-Arylsulfonyl Morpholines as γ-Secretase Inhibitors[J]. Bioorg Med Chem Lett, 2010,20(22):6606-6609.

    20. [20]

      Wu Y J, Jason G, Andrea M C. Discovery of Morpholine-Based Aryl Sulfonamides as Nav1.7 Inhibitors[J]. Bioorg Med Chem Lett, 2018,28(5):958-962. doi: 10.1016/j.bmcl.2018.01.035

    21. [21]

      Chan W H, Bruce M B, Joseph S W. Development of a Scalable Synthetic Route Towards a 2, 2, 6-Trisubstituted Chiral Morpholine via Stereoselective Hydroalkoxylation[J]. Tetra Lett, 2018,29(19):1808-1812.

    22. [22]

      Sun F M, Tian M K, Yang L. Synthesis and Crystal Structure of Trans-4-[(5-(2, 4-Dichlorophenoxy)-3-methyl-1- phenyl-1H-pyrazol-4-yl)methyleneamino]-1, 5-dimethyl-2-phenyl-1, 2-dihydropyrazol-3-ones[J]. Chinese J Struct Chem, 2008,27(7):789-792.

  • 加载中
    1. [1]

      Xiaotong LUPan ZHANGZijie ZHAOLei HUANGHongwei ZUOLili LIANG . Antitumor and antibacterial activities of pyridyl Schiff base indium and dysprosium complexes. Chinese Journal of Inorganic Chemistry, 2025, 41(8): 1523-1532. doi: 10.11862/CJIC.20250073

    2. [2]

      Jinlong YANWeina WUYuan WANG . A simple Schiff base probe for the fluorescent turn-on detection of hypochlorite and its biological imaging application. Chinese Journal of Inorganic Chemistry, 2024, 40(9): 1653-1660. doi: 10.11862/CJIC.20240154

    3. [3]

      Yuanyu YANGJianhua XUEYujia BAILulu CUIDongdong YANGQi MA . Design, synthesis, and detection of Al3+ of two zinc complexes based on Schiff base ligands. Chinese Journal of Inorganic Chemistry, 2025, 41(6): 1207-1216. doi: 10.11862/CJIC.20250005

    4. [4]

      Xin MAYa SUNNa SUNQian KANGJiajia ZHANGRuitao ZHUXiaoli GAO . A Tb2 complex based on polydentate Schiff base: Crystal structure, fluorescence properties, and biological activity. Chinese Journal of Inorganic Chemistry, 2024, 40(7): 1347-1356. doi: 10.11862/CJIC.20230357

    5. [5]

      Liyang ZHANGDongdong YANGNing LIYuanyu YANGQi MA . Crystal structures, luminescent properties and Hirshfeld surface analyses of three cadmium(Ⅱ) complexes based on 2-(3-(pyridin-2-yl)-1H-pyrazol-1-yl)benzoate. Chinese Journal of Inorganic Chemistry, 2024, 40(10): 1943-1952. doi: 10.11862/CJIC.20240079

    6. [6]

      Jing WUPuzhen HUIHuilin ZHENGPingchuan YUANChunfei WANGHui WANGXiaoxia GU . Synthesis, crystal structures, and antitumor activities of transition metal complexes incorporating a naphthol-aldehyde Schiff base ligand. Chinese Journal of Inorganic Chemistry, 2024, 40(12): 2422-2428. doi: 10.11862/CJIC.20240278

    7. [7]

      Danqing Wu Jiajun Liu Tianyu Li Dazhen Xu Zhiwei Miao . Research Progress on the Simultaneous Construction of C—O and C—X Bonds via 1,2-Difunctionalization of Olefins through Radical Pathways. University Chemistry, 2024, 39(11): 146-157. doi: 10.12461/PKU.DXHX202403087

    8. [8]

      Maitri BhattacharjeeRekha Boruah SmritiR. N. Dutta PurkayasthaWaldemar ManiukiewiczShubhamoy ChowdhuryDebasish MaitiTamanna Akhtar . Synthesis, structural characterization, bio-activity, and density functional theory calculation on Cu(Ⅱ) complexes with hydrazone-based Schiff base ligands. Chinese Journal of Inorganic Chemistry, 2024, 40(7): 1409-1422. doi: 10.11862/CJIC.20240007

    9. [9]

      Yanyang Li Zongpei Zhang Kai Li Shuangquan Zang . Ideological and Political Design for the Comprehensive Experiment of the Synthesis and Aggregation-Induced Emission (AIE) Performance Study of Salicylaldehyde Schiff-Base. University Chemistry, 2024, 39(2): 105-109. doi: 10.3866/PKU.DXHX202307020

    10. [10]

      Bin SUNHeyan JIANG . Glucose-modified bis-Schiff bases: Synthesis and bio-activities in Alzheimer′s disease therapy. Chinese Journal of Inorganic Chemistry, 2025, 41(7): 1338-1350. doi: 10.11862/CJIC.20240428

    11. [11]

      Min LIUHuapeng RUANZhongtao FENGXue DONGHaiyan CUIXinping WANG . Neutral boron-containing radical dimers. Chinese Journal of Inorganic Chemistry, 2025, 41(1): 123-130. doi: 10.11862/CJIC.20240362

    12. [12]

      Yuanyuan Ping Wangqing Kong . 光催化碳氢键官能团化合成1-苯基-1,2-乙二醇. University Chemistry, 2025, 40(6): 238-247. doi: 10.12461/PKU.DXHX202408092

    13. [13]

      Xiyuan Zhang Rui Dong Yang Yang Jiapeng Ding Zhiwei Miao . Palladium-Catalyzed Tandem Cyclization of 4-Vinylbenzoxazinone and Indene-2-carbaldehyde: A Comprehensive Organic Chemistry Experiment. University Chemistry, 2025, 40(9): 361-367. doi: 10.12461/PKU.DXHX202410062

    14. [14]

      Shuhui Li Rongxiuyuan Huang Yingming Pan . Electrochemical Synthesis of 2,5-Diphenyl-1,3,4-Oxadiazole: A Recommended Comprehensive Organic Chemistry Experiment. University Chemistry, 2025, 40(5): 357-365. doi: 10.12461/PKU.DXHX202407028

    15. [15]

      Lei Shi . Nucleophilicity and Electrophilicity of Radicals. University Chemistry, 2024, 39(11): 131-135. doi: 10.3866/PKU.DXHX202402018

    16. [16]

      Tianlong Zhang Rongling Zhang Hongsheng Tang Yan Li Hua Li . Online Monitoring and Mechanistic Analysis of 3,5-diamino-1,2,4-triazole (DAT) Synthesis via Raman Spectroscopy: A Recommendation for a Comprehensive Instrumental Analysis Experiment. University Chemistry, 2024, 39(6): 303-311. doi: 10.3866/PKU.DXHX202312006

    17. [17]

      Zhaoyang WANGChun YANGYaoyao SongNa HANXiaomeng LIUQinglun WANG . Lanthanide(Ⅲ) complexes derived from 4′-(2-pyridyl)-2, 2′∶6′, 2″-terpyridine: Crystal structures, fluorescent and magnetic properties. Chinese Journal of Inorganic Chemistry, 2024, 40(8): 1442-1451. doi: 10.11862/CJIC.20240114

    18. [18]

      Xiaoyong ZHAIYao KOUPingru SUYu TANG . Lanthanide metal-organic framework with msw topology: Synthesis and the application in 2, 4, 6-trinitrophenol detection. Chinese Journal of Inorganic Chemistry, 2025, 41(10): 2087-2094. doi: 10.11862/CJIC.20250182

    19. [19]

      Jiajia Li Xiangyu Zhang Zhihan Yuan Zhengyang Qian Jian Zhu . 3D Printing Based on Photo-Induced Reversible Addition-Fragmentation Chain Transfer Polymerization. University Chemistry, 2024, 39(5): 11-19. doi: 10.3866/PKU.DXHX202309073

    20. [20]

      Tongyan Yu Pan Xu . Visible-Light Photocatalyzed Radical Rearrangement Reaction. University Chemistry, 2025, 40(7): 169-176. doi: 10.12461/PKU.DXHX202409070

Metrics
  • PDF Downloads(1)
  • Abstract views(895)
  • HTML views(68)

通讯作者: 陈斌, bchen63@163.com
  • 1. 

    沈阳化工大学材料科学与工程学院 沈阳 110142

  1. 本站搜索
  2. 百度学术搜索
  3. 万方数据库搜索
  4. CNKI搜索
Address:Zhongguancun North First Street 2,100190 Beijing, PR China Tel: +86-010-82449177-888
Powered By info@rhhz.net

/

DownLoad:  Full-Size Img  PowerPoint
Return