A Least Square Estimation Based Quartz Crystal Microbalance Resonant Frequency Detection Method
- Corresponding author: DONG Xiandui, dxd@ciac.ac.cn
Citation:
LIU Zhenbang, MA Yingming, WANG Wei, HAN Dongxue, BAO Yu, DONG Xiandui. A Least Square Estimation Based Quartz Crystal Microbalance Resonant Frequency Detection Method[J]. Chinese Journal of Applied Chemistry,
;2019, 36(1): 114-119.
doi:
10.11944/j.issn.1000-0518.2019.01.180321
Sauerbrey G. Verwendung Von Schwingquarzen Zur Wagung Dunner Schichten und Zur Mikrowagung[J]. Z Phys A Hadrons Nuclei, 1959,155(2):206-222.
Kanazawa K K, Gordon J G. Frequency of a Quartz Microbalance in Contact with Liquid[J]. Anal Chem, 1985,57(8):1770-1771. doi: 10.1021/ac00285a062
Rodahl M. Simultaneous Frequency and Dissipation Factor QCM Measurements of Biomolecular Adsorption and Cell Adhesion[J]. Faraday Discuss, 1997,107:229-246. doi: 10.1039/a703137h
Rodahl M, Kasemo B. Frequency and Dissipation-Factor Responses to Localized Liquid Deposits on a QCM Electrode[J]. Sens Actuators B, 1996,37(1):111-116.
Rodahl M, Kasemo B. A Simple Setup to Simultaneously Measure the Resonant Frequency and the Absolute Dissipation Factor of a Quartz Crystal Microbalance[J]. Rev Sci Instrum, 1996,67(9):3238-3241. doi: 10.1063/1.1147494
Rodahl M, Höök F, Kasemo B. QCM Operation in Liquids:An Explanation of Measured Variations in Frequency and Q Factor with Liquid Conductivity[J]. Anal Chem, 1996,68(13):2219-2227. doi: 10.1021/ac951203m
Frost R, J nsson G E, Chakarov D. Graphene Oxide and Lipid Membranes:Interactions and Nanocomposite Structures[J]. Nano Lett, 2012,12(7):3356-3362. doi: 10.1021/nl203107k
Jin J, Jiang W, Yin J. Plasma Proteins Adsorption Mechanism on Polyethylene-Grafted Poly(ethylene glycol) Surface by Quartz Crystal Microbalance with Dissipation[J]. Langmuir, 2013,29(22):6624-6633. doi: 10.1021/la4017239
Alassi A, Benammar M, Brett D. Quartz Crystal Microbalance Electronic Interfacing Systems:A Review[J]. Sensors, 2017,17(12):2799-2840. doi: 10.3390/s17122799
LIU Zhenbang, MA Yingming, HAN Dongxue. Development of a Novel Broadband Adaptive Electrochemical Quartz Crystal Microbalance with Dissipation Monitoring[J]. Chinese J Anal Chem, 2018,46(8):1171-1174.
Manuel K, Lukas T, Jasmina S. Broadband 120 MHz Impedance Quartz Crystal Microbalance(QCM) with Calibrated Resistance and Quantitative Dissipation for Biosensing Measurements at Higher Harmonic Frequencies[J]. Biosensors, 2016,6(2):23-26. doi: 10.3390/bios6020023
Láng G G, Ujvári M, Horányi G. New EQCM, Voltammetric and Radiotracer Evidences Proving the Role of Cu+ Ions in the Behavior of the Cu2+-Cu System[J]. J Electroanal Chem, 2002,522(2):179-188. doi: 10.1016/S0022-0728(02)00721-0
Jiageng Li , Putrama . 数值积分耦合非线性最小二乘法一步确定反应动力学参数. University Chemistry, 2025, 40(6): 364-370. doi: 10.12461/PKU.DXHX202407098
Yufan ZHAO , Jinglin YOU , Shixiang WANG , Guopeng LIU , Xiang XIA , Yingfang XIE , Meiqin SHENG , Feiyan XU , Kai TANG , Liming LU . Raman spectroscopic quantitative study of the melt microstructure in binary Li2O-GeO2 functional crystals. Chinese Journal of Inorganic Chemistry, 2025, 41(8): 1533-1544. doi: 10.11862/CJIC.20250063
Mengfei He , Chao Chen , Yue Tang , Si Meng , Zunfa Wang , Liyu Wang , Jiabao Xing , Xinyu Zhang , Jiahui Huang , Jiangbo Lu , Hongmei Jing , Xiangyu Liu , Hua Xu . Epitaxial Growth of Nonlayered 2D MnTe Nanosheets with Thickness-Tunable Conduction for p-Type Field Effect Transistor and Superior Contact Electrode. Acta Physico-Chimica Sinica, 2025, 41(2): 100016-0. doi: 10.3866/PKU.WHXB202310029
Liuyun Chen , Wenju Wang , Tairong Lu , Xuan Luo , Xinling Xie , Kelin Huang , Shanli Qin , Tongming Su , Zuzeng Qin , Hongbing Ji . Soft template-induced deep pore structure of Cu/Al2O3 for promoting plasma-catalyzed CO2 hydrogenation to DME. Acta Physico-Chimica Sinica, 2025, 41(6): 100054-0. doi: 10.1016/j.actphy.2025.100054
Jiarui Wu , Gengxin Wu , Yan Wang , Yingwei Yang . Crystal Engineering Based on Leaning Towerarenes. University Chemistry, 2024, 39(3): 58-62. doi: 10.3866/PKU.DXHX202304014
Gaofeng Zeng , Shuyu Liu , Manle Jiang , Yu Wang , Ping Xu , Lei Wang . Micro/Nanorobots for Pollution Detection and Toxic Removal. University Chemistry, 2024, 39(9): 229-234. doi: 10.12461/PKU.DXHX202311055
Jin Tong , Shuyan Yu . Crystal Engineering for Supramolecular Chirality. University Chemistry, 2024, 39(3): 86-93. doi: 10.3866/PKU.DXHX202308113
Xiuqiong Zeng , Jiqing Cai , Chen Chen , Yanping Ren , Wan Li , Yongxian Fan , Faqiong Zhao , Wenwei Zhang , Mei Shi , Min Hu , Kai Hu , Xiuyun Wang , Weihong Li , Yong Fan , Xiaohang Qiu , Juanjuan Song , Dongcheng Liu , Jianrong Zhang , Shuyong Zhang . Suggestions on Dissolution, Crystallization and Crystal Cultivation. University Chemistry, 2026, 41(3): 191-199. doi: 10.12461/PKU.DXHX202507045
Min Gu , Huiwen Xiong , Liling Liu , Jilie Kong , Xueen Fang . Rapid Quantitative Detection of Procalcitonin by Microfluidics: An Instrumental Analytical Chemistry Experiment. University Chemistry, 2024, 39(4): 87-93. doi: 10.3866/PKU.DXHX202310120
Zijian Jiang , Yuang Liu , Yijian Zong , Yong Fan , Wanchun Zhu , Yupeng Guo . Preparation of Nano Zinc Oxide by Microemulsion Method and Study on Its Photocatalytic Activity. University Chemistry, 2024, 39(5): 266-273. doi: 10.3866/PKU.DXHX202311101
Xiaojun Liu , Lang Qin , Yanlei Yu . Dynamic Manipulation of Photonic Bandgaps in Cholesteric Liquid Crystal Microdroplets for Applications. Acta Physico-Chimica Sinica, 2024, 40(5): 2305018-0. doi: 10.3866/PKU.WHXB202305018
Xiaoyi Sun , Duohang Bi , Hankun Qiao , Yijing Liu , Jintao Zhu . Painless Injection: Microneedles Revolutionizing Beauty and Health Brought. University Chemistry, 2025, 40(10): 166-174. doi: 10.12461/PKU.DXHX202411006
Siwei Hou , Yaxin Niu , Guanglu Zhang , Yanmei Yang , Xu Wang , Zhenzhen Chen . Application of Solid-Phase Microextraction and Mass Spectrometry in Environmental Detection. University Chemistry, 2026, 41(3): 297-306. doi: 10.12461/PKU.DXHX202504078
Haitang WANG , Yanni LING , Xiaqing MA , Yuxin CHEN , Rui ZHANG , Keyi WANG , Ying ZHANG , Wenmin WANG . Construction, crystal structures, and biological activities of two LnⅢ3 complexes. Chinese Journal of Inorganic Chemistry, 2024, 40(8): 1474-1482. doi: 10.11862/CJIC.20240188
Yan Liu , Yuexiang Zhu , Luhua Lai . Introduction to Blended and Small-Class Teaching in Structural Chemistry: Exploring the Structure and Properties of Crystals. University Chemistry, 2024, 39(3): 1-4. doi: 10.3866/PKU.DXHX202306084
Hongwei Ma , Fang Zhang , Hui Ai , Niu Zhang , Shaochun Peng , Hui Li . Integrated Crystallographic Teaching with X-ray,TEM and STM. University Chemistry, 2024, 39(3): 5-17. doi: 10.3866/PKU.DXHX202308107
Dongju Zhang . Exploring the Descriptions and Connotations of Basic Concepts of Teaching Crystal Structures. University Chemistry, 2024, 39(3): 18-22. doi: 10.3866/PKU.DXHX202304003
Weina Wang , Fengyi Liu , Wenliang Wang . “Extracting Commonality, Delving into Typicals, Deriving Individuality”: Constructing a Knowledge Graph of Crystal Structures. University Chemistry, 2024, 39(3): 36-42. doi: 10.3866/PKU.DXHX202308029
Wenyan Dan , Weijie Li , Xiaogang Wang . The Technical Analysis of Visual Software ShelXle for Refinement of Small Molecular Crystal Structure. University Chemistry, 2024, 39(3): 63-69. doi: 10.3866/PKU.DXHX202302060
Junqiao Zhuo , Xinchen Huang , Qi Wang . Symbol Representation of the Packing-Filling Model of the Crystal Structure and Its Application. University Chemistry, 2024, 39(3): 70-77. doi: 10.3866/PKU.DXHX202311100
A.Float type; B.Double type for the offset of resonant frequency
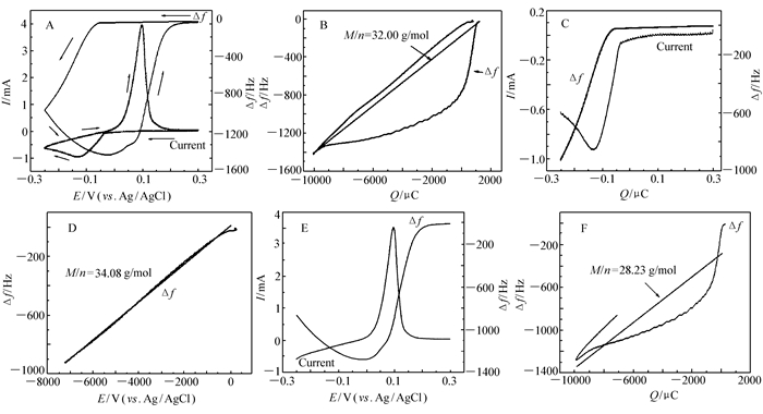
I/Δf-E curves(A, C, E) and M/n values(B, D, F) for deposition-dissolution process(A, B), deposition process(C, D), dissolution process(E, F)