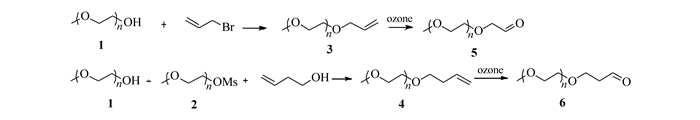
Synthesis of Polyethylene Glycol Aldehyde Derivatives by Ozonation
- Corresponding author: GENG Chao, cgeng@ciac.ac.cn XU Jingwei, jwxu@ciac.ac.cn
Citation:
LÜ Wenqiang, GENG Chao, XU Jingwei. Synthesis of Polyethylene Glycol Aldehyde Derivatives by Ozonation[J]. Chinese Journal of Applied Chemistry,
;2019, 36(1): 120-122.
doi:
10.11944/j.issn.1000-0518.2019.01.180212
Kim S Y, Ha J C, Lee Y M. Poly(propylene oxide)-Poly(ethyleneoxide)/Poly(ε-caprolactone)(PCL) Amphiphilic Blockcopolymeric Nanospheres Ⅱ.Thermo-responsive Drug Release Behaviors[J]. J Control Release, 2000,65(3):345-358. doi: 10.1016/S0168-3659(99)00207-2
Veronese F M. Peptide and Protein Pegylation:A Review of Problems and Solutions[J]. Biomaterials, 2001,22(5):405-417. doi: 10.1016/S0142-9612(00)00193-9
Choe Y, Conover C D, Wu D C. Anticancer Drug Delivery Systems:Multi-loaded N4-acyl Poly(ethylene glycol) Prodrugs of Ara-C.Ⅱ.Efficacy in Ascites and Solid Tumors[J]. J Control Release, 2002,79(1):55-70.
Pendri A, Conover C D, Greenwald R B. Antitumor Activity of Paclitaxel-2'-Glycinate Conjugated to Poly(ethylene glycol):A Water-Soluble Prodrug[J]. Anti-Cancer Drug Des, 1998,13:387-395.
Harris J M, Struck E C, Case M G. Synthesis and Characterization of Poly(ethylene glycol) Derivatives[J]. J Polym Sci Polym Chem, 1984,22(2):341-352. doi: 10.1002/pol.1984.170220207
Tyagi V, Gupta A K. Efficient and Convenient Method for Workup of Ozonolysis Reaction Using Sodium Hydrosulfite[J]. Synthetic Commun, 2012,42(6):843-848. doi: 10.1080/00397911.2010.531876
Wang R, Falck J R. Studies Towards Asymmetric Synthesis of 4(S)-11-Dihydroxydocosahexaenoic Acid(diHDHA) Featuring Cross-Coupling of Chiral Stannane Under Mild Conditions[J]. Org Biomol Chem, 2015,13(6):1624-1628. doi: 10.1039/C4OB02324B
Xinhao Yan , Guoliang Hu , Ruixi Chen , Hongyu Liu , Qizhi Yao , Jiao Li , Lingling Li . Polyethylene Glycol-Ammonium Sulfate-Nitroso R Salt System for the Separation of Cobalt (II). University Chemistry, 2024, 39(6): 287-294. doi: 10.3866/PKU.DXHX202310073
Yingtong Shi , Guotong Xu , Guizeng Liang , Di Lan , Siyuan Zhang , Yanru Wang , Daohao Li , Guanglei Wu . PEG-VN改性PP隔膜用于高稳定性高效率锂硫电池. Acta Physico-Chimica Sinica, 2025, 41(7): 100082-0. doi: 10.1016/j.actphy.2025.100082
Yinjie Xu , Suiqin Li , Lihao Liu , Jiahui He , Kai Li , Mengxin Wang , Shuying Zhao , Chun Li , Zhengbin Zhang , Xing Zhong , Jianguo Wang . Enhanced Electrocatalytic Oxidation of Sterols using the Synergistic Effect of NiFe-MOF and Aminoxyl Radicals. Acta Physico-Chimica Sinica, 2024, 40(3): 2305012-0. doi: 10.3866/PKU.WHXB202305012
Yuanyuan Ping , Wangqing Kong . 光催化碳氢键官能团化合成1-苯基-1,2-乙二醇. University Chemistry, 2025, 40(6): 238-247. doi: 10.12461/PKU.DXHX202408092
Jiahong WANG , Zekun XU , Tianjiao LU , Jinming HUANG . Performance of N, Mn doped semi-coke activated carbon catalyzed ozone oxidation for the degradation of tetracycline hydrochloride in water. Chinese Journal of Inorganic Chemistry, 2025, 41(12): 2549-2560. doi: 10.11862/CJIC.20250120
Zhiquan Zhang , Baker Rhimi , Zheyang Liu , Min Zhou , Guowei Deng , Wei Wei , Liang Mao , Huaming Li , Zhifeng Jiang . Insights into the Development of Copper-Based Photocatalysts for CO2 Conversion. Acta Physico-Chimica Sinica, 2024, 40(12): 2406029-0. doi: 10.3866/PKU.WHXB202406029
Tianhao GE , Sirong LU , Zhiyin XIAO , Wei ZHONG . Synthesis of porphyrin-based ionic polymeric materials for catalytic application in CO2 conversion. Chinese Journal of Inorganic Chemistry, 2026, 42(4): 722-736. doi: 10.11862/CJIC.20250312
Shiyi Chen , Jialong Fu , Jianping Qiu , Guoju Chang , Shiyou Hao . Waste medical mask-derived carbon quantum dots enhance the photocatalytic degradation of polyethylene terephthalate (PET) over BiOBr/g-C3N4 S-scheme heterojunction. Acta Physico-Chimica Sinica, 2026, 42(1): 100135-0. doi: 10.1016/j.actphy.2025.100135
Min LIU , Huapeng RUAN , Zhongtao FENG , Xue DONG , Haiyan CUI , Xinping WANG . Neutral boron-containing radical dimers. Chinese Journal of Inorganic Chemistry, 2025, 41(1): 123-130. doi: 10.11862/CJIC.20240362
Zhaoxuan ZHU , Lixin WANG , Xiaoning TANG , Long LI , Yan SHI , Jiaojing SHAO . Application of poly(vinyl alcohol) conductive hydrogel electrolytes in zinc ion batteries. Chinese Journal of Inorganic Chemistry, 2025, 41(5): 893-902. doi: 10.11862/CJIC.20240368
Xiaolong Li , Shiqi Zhong , Xiangfeng Wei , Zhiqiang Liu , Pan Zhan , Jiehua Liu . Carbon Dioxide: From the Past to the Future. University Chemistry, 2026, 41(2): 242-247. doi: 10.12461/PKU.DXHX202503013
.
CCS Chemistry | 超分子活化底物为自由基促进高效选择性光催化氧化
. CCS Chemistry, 2025, 7(10.31635/ccschem.025.202405229): -.Huasen Lu , Shixu Song , Qisen Jia , Guangbo Liu , Luhua Jiang . Advances in Cu2O-based Photocathodes for Photoelectrochemical Water Splitting. Acta Physico-Chimica Sinica, 2024, 40(2): 2304035-0. doi: 10.3866/PKU.WHXB202304035
Zhanggui DUAN , Yi PEI , Shanshan ZHENG , Zhaoyang WANG , Yongguang WANG , Junjie WANG , Yang HU , Chunxin LÜ , Wei ZHONG . Preparation of UiO-66-NH2 supported copper catalyst and its catalytic activity on alcohol oxidation. Chinese Journal of Inorganic Chemistry, 2024, 40(3): 496-506. doi: 10.11862/CJIC.20230317
Nan Xiao , Fang Sun . 二芳基硫醚化合物的构建及应用. University Chemistry, 2025, 40(6): 360-363. doi: 10.12461/PKU.DXHX202407099
Lili Jiang , Shaoyu Zheng , Xuejiao Liu , Xiaomin Xie . Copper-Catalyzed Oxidative Coupling Reactions for the Synthesis of Aryl Sulfones: A Fundamental and Exploratory Experiment for Undergraduate Teaching. University Chemistry, 2025, 40(7): 267-276. doi: 10.12461/PKU.DXHX202408004
Haiqiang Lin , Weizheng Weng , Jingdong Lin , Mingshu Chen , Xueming Fang , Lefu Yang . Diverse Variables-Driven Catalytic Optimization: Experimental Enhancement and Instructional Design for Selective Methane Oxidation on Supported Nickel-based Catalysts. University Chemistry, 2025, 40(11): 327-336. doi: 10.12461/PKU.DXHX202505106
Yucai Zhang , Jun Jiang . Electrochemical Carbon Dioxide Reduction to Ethylene. University Chemistry, 2026, 41(2): 190-196. doi: 10.12461/PKU.DXHX202503006
Yue Zhao , Yanfei Li , Tao Xiong . Copper Hydride-Catalyzed Nucleophilic Additions of Unsaturated Hydrocarbons to Aldehydes and Ketones. University Chemistry, 2024, 39(4): 280-285. doi: 10.3866/PKU.DXHX202309001
Jie Li , Huida Qian , Deyang Pan , Wenjing Wang , Daliang Zhu , Zhongxue Fang . Efficient Synthesis of Anethaldehyde Induced by Visible Light. University Chemistry, 2024, 39(4): 343-350. doi: 10.3866/PKU.DXHX202310076