Citation: CHEN Fengying, LI Kezhi, HU Guangzhi. Catalytic Oxygen Reduction Property of Carbon Nanotubes Supported Tetra-nitro-metal Phthalocyanines-MnO2 Dual Catalysts[J]. Chinese Journal of Applied Chemistry, ;2019, 36(1): 97-106. doi: 10.11944/j.issn.1000-0518.2019.01.180065 shu

Catalytic Oxygen Reduction Property of Carbon Nanotubes Supported Tetra-nitro-metal Phthalocyanines-MnO2 Dual Catalysts

  • Corresponding author: LI Kezhi, likezhi@nwpu.edu.cn
  • Received Date: 9 March 2018
    Revised Date: 1 June 2018
    Accepted Date: 6 August 2018

    Fund Project: the National Natural Science Foundation of China 51432008the National Natural Science Foundation of China 21677171Supported by the National Natural Science Foundation of China(No.51432008, No.21677171), the Foundation of Shangluo University(No.17SKY027)the Foundation of Shangluo University 17SKY027

Figures(10)

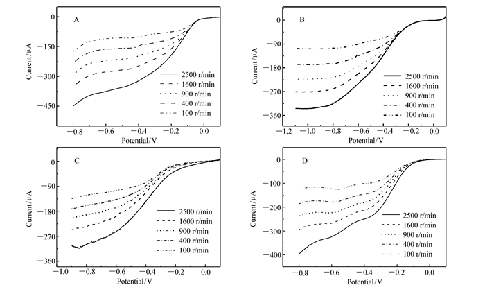
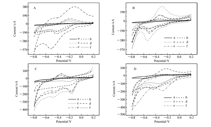
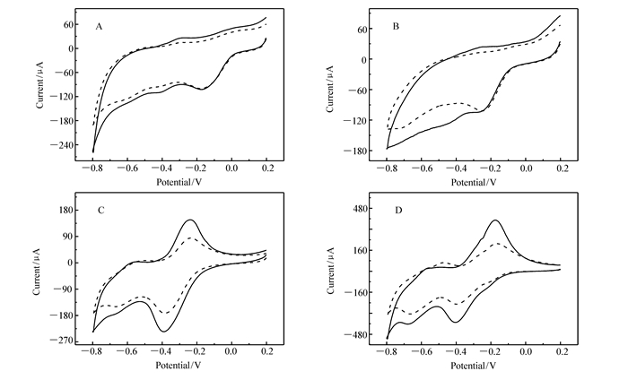
  • The transition metal phthalocyanine has a high catalytic activity for oxygen reduction. MnO2 can catalyze the oxygen reduction reaction. However, the use of transition metal phthalocyanine and MnO2 as dual catalysts for oxygen reduction is quite few. Four types of carbon nanotubes supported tetra-nitro-metal phthalocyanines assemblies(CNT/TNMPc) were synthesized by phthalic anhydride-urea method. Dual catalyst CNT/TNMPc-MnO2 was prepared via adding γ-MnO2 into CNT/TNMPc. The optimal ratio of CNT/TNMPc to MnO2 was obtained by means of cyclic voltammetry. Effects of central metal ions of CNT/TNMPc on the catalytic performance for oxygen reduction reactivity were investigated. The results show that the catalytic efficiency order of the dual catalyst for oxygen reduction reactivity is CNT/TNFePc-MnO2 > CNT/TNCoPc-MnO2 > CNT/TNNiPc-MnO2 > CNT/TNCuPc-MnO2. All of those suggest that the catalytic activity of dual catalysts for oxygen reduction reaction is mainly affected by the nature of metal ions. In addition, the anti methanol performance of dual catalyst was tested in 0.1 mol/L KOH+0.5 mol/L CH3OH electrolyte solution. The results indicate that methanol-tolerant abilities of the CNT/TNMPc-MnO2 are excellent.
  • 加载中
    1. [1]

      WANG Feng'e. Research Status and Technical Progress of Direct Methanol Fuel Cells[J]. Chinese J Rare Met, 2002,26(6):497-501. doi: 10.3969/j.issn.0258-7076.2002.06.019

    2. [2]

      TONG Yexiang, LIU Peng, SHEN Peikang. Prospects for Polymer Electrolyte Membrane Fuel Cell and Direct Methanol Fuel Cell[J]. Battery, 2002,32(3):178-180. doi: 10.3969/j.issn.1001-1579.2002.03.017

    3. [3]

      LIU Changpeng, YANG Hui, XING Wei. Electrocatalytic Performance of Pt-TiO2/C Complex Catalysts for Oxidation of Methanol[J]. Chem J Chinese Univ, 2002,23(7):1367-1370. doi: 10.3321/j.issn:0251-0790.2002.07.032

    4. [4]

      ZHAO Weili, ZHOU Debi, SUN Xinyang. One-Step Preparation of Carbon Supported Co-Phthalocyanine and Its Electrochemical Reduction of Oxygen in Base Medium[J]. Chinese J Appl Chem, 2010,27(2):183-190. doi: 10.3969/j.issn.1001-4160.2010.02.011

    5. [5]

      LI Xuguang, HAN Fei, XING Wei. Influence of Methanol on the Kinetics of Oxygen Reduction on Pt/C and CoPcTc/C[J]. Acta Phys-Chim Sin, 2003,19(4):380-384. doi: 10.3866/PKU.WHXB20030422

    6. [6]

      Kruusenberg I, Matisen L, Tammeveski K. Oxygen Electroreduction on Multi-Walled Carbon Nanotube Supported Metal Phthalocyanines and Porphyrins in Acid Media[J]. Int J Electrochem Sci, 2013,8(1):1057-1066.  

    7. [7]

      Xu Z W, Li H J, Cao G X. Electrochemical Performance of Carbon Nanotube-Supported Cobalt Phthalocyanine and Its Nitrogen-Rich Derivatives for Oxygen Reduction[J]. J Mol Catal A:Chem, 2011,335(1/2):89-96.  

    8. [8]

      Zhang L X, Liu C S, Zhuang L. Manganese Dioxide as an Alternative Cathodic Catalyst to Platinum in Microbial Fuel Cells[J]. Biosens Bioelectron, 2009,24(9):2825-2829. doi: 10.1016/j.bios.2009.02.010

    9. [9]

      ZHU Jianguo, ZHU Xiaohong, JIAO Rui. The Synthesis of Phthalocyanin Complex of Cobalt and Its Determination[J]. J Southwest Univ Natl(Nat Sci Ed), 2006,32(2):238-240.  

    10. [10]

      Shaabani A, Maleki-Moghaddam R, Maleki A. Microwave Assisted Synthesis of Metal-Free Phthalocyanine and Metalophthalocyanines[J]. Dyes Pigm, 2007,74(74):279-282.  

    11. [11]

      CONG Fangdi, NING Bo, DU Xiguang. Spectroanalysis of Teraamino-Phthalocyanines M(Ⅱ)[J]. J Mol Sci, 2004,20(1):27-32. doi: 10.3969/j.issn.1000-9035.2004.01.006

    12. [12]

      CHEN Wei, DUAN Wubiao, HE Chunying. Synthesis and Characterization of Two Monoamino Substituted Asymmetrical Phthalocyanine Zinc(Ⅱ)[J]. J Nat Sci Heilongjiang Univ, 2006,23(6):671-680.  

    13. [13]

      Cortina H, Senent M L, Smeyers Y G. Ab Initio Comparative Study of the Structure and Properties of H2-Porphin and H2-Phthalocyanine. The Electronic Absorption Spectra[J]. J Phys Chem A, 2003,107(42):8968-8974. doi: 10.1021/jp0347320

    14. [14]

      XU Zhanwei. Preparation and Properties of One and Two Dimensional Carbon Nanostructured Electrocatalytic Material[D]. Northwestern Polytechnical University, 2011: 29-30(in Chinese).

    15. [15]

      Zhang M Y, Shao C L, Guo Z C. Highly Efficient Decomposition of Organic Dye by Aqueous-Solid Phase Transfer and in situ Photocatalysis Using Hierarchical Copper Phthalocyanine Hollow Spheres[J]. ACS Appl Mater Interfaces, 2011,3(7):2573-2578. doi: 10.1021/am200412t

    16. [16]

      ZHANG Jianqing. Electrochemical Measurement Technology[M]. Beijing:Chemical Industry Press, 2010(in Chinese).

    17. [17]

      Zhang D, Chi D, Okajima T. Catalytic Activity of Dual Catalysts System Based on Nano-manganese Oxide and Cobalt Octacyanophthalocyanine Toward Four-Electron Reduction of Oxygen in Alkaline Media[J]. Electrochim Acta, 2007,52(17):5400-5406. doi: 10.1016/j.electacta.2007.02.060

    18. [18]

      Li F, Chen W, Zhang S S. Development of DNA Electrochemical Biosensor Based on Covalent Immobilization of Probe DNA by Direct Coupling of Sol-Gel and Self-assembly Technologies[J]. Biosens Bioelectron, 2008,24(4):787-792.  

    19. [19]

      Choi S, Choi R, Han S W. Synthesis and Characterization of Pt9Co Nanocubes with High Activity for Oxygen Reduction[J]. Chem Commun, 2010,46(27):4950-4952. doi: 10.1039/c0cc00392a

    20. [20]

      Wu G, Zelenay P. Nanostructured Nonprecious Metal Catalysts for Oxygen Reduction Reaction[J]. Acc Chem Res, 2013,46(8):1878-1889. doi: 10.1021/ar400011z

    21. [21]

      Tammeveski K, Kontturi K, Nichols R J. Surface Redox Catalysis for O2 Reduction on Quinone-Modified Glassy Carbon Electrodes[J]. J Electroanal Chem, 2001,515(1/2):101-112.  

    22. [22]

      Wiesener K, Ohms D, Neumann V. N4 Macrocycles as Electrocatalysts for the Cathodic Reduction of Oxygen[J]. Mater Chem Phys, 1989,22(7/8):457-475.  

    23. [23]

      ZHANG Huan. Preparation of Nanoporous Nobel Metals and Their Catalytic Performance Towards Oxygen Reduction Reaction[D]. Ji'nan: University of Ji'nan, 2013: 21-22(in Chinese). 

  • 加载中
    1. [1]

      Hailang JIAHongcheng LIPengcheng JIYang TENGMingyun GUAN . Preparation and performance of N-doped carbon nanotubes composite Co3O4 as oxygen reduction reaction electrocatalysts. Chinese Journal of Inorganic Chemistry, 2024, 40(4): 693-700. doi: 10.11862/CJIC.20230402

    2. [2]

      Xiaofeng ZhuBingbing XiaoJiaxin SuShuai WangQingran ZhangJun Wang . Transition Metal Oxides/Chalcogenides for Electrochemical Oxygen Reduction into Hydrogen Peroxides. Acta Physico-Chimica Sinica, 2024, 40(12): 2407005-0. doi: 10.3866/PKU.WHXB202407005

    3. [3]

      Yachao HUANGChuanwang ZENGGuiyong LIUJinming ZENGChao LIUXiaopeng QI . Oxygen vacancies and phosphorus doping enhanced metal-organic framework derived nitrogen-doped carbon-coated Co3O4 bifunctional electrocatalyst. Chinese Journal of Inorganic Chemistry, 2025, 41(11): 2251-2260. doi: 10.11862/CJIC.20250133

    4. [4]

      Haihua Yang Minjie Zhou Binhong He Wenyuan Xu Bing Chen Enxiang Liang . Synthesis and Electrocatalytic Performance of Iron Phosphide@Carbon Nanotubes as Cathode Material for Zinc-Air Battery: a Comprehensive Undergraduate Chemical Experiment. University Chemistry, 2024, 39(10): 426-432. doi: 10.12461/PKU.DXHX202405100

    5. [5]

      Xiaoning TANGShu XIAJie LEIXingfu YANGQiuyang LUOJunnan LIUAn XUE . Fluorine-doped MnO2 with oxygen vacancy for stabilizing Zn-ion batteries. Chinese Journal of Inorganic Chemistry, 2024, 40(9): 1671-1678. doi: 10.11862/CJIC.20240149

    6. [6]

      Zhen LiSujuan ZhangZhongliao WangJinfeng ZhangGaoli ChenShifu Chen . Rational design of S-scheme CdS/MnO2 heterojunctions for high-value photothermal synergistic catalytic oxidation of toluene. Acta Physico-Chimica Sinica, 2026, 42(4): 100179-0. doi: 10.1016/j.actphy.2025.100179

    7. [7]

      Shiqian WEIXinyu TIANHong LIUMaoxia CHENFan TANGQiang FANWeifeng FANYu HU . Oxygen reduction reaction/oxygen evolution reaction catalytic performances of different active sites on nitrogen-doped graphene loaded with iron single atoms. Chinese Journal of Inorganic Chemistry, 2025, 41(9): 1776-1788. doi: 10.11862/CJIC.20250102

    8. [8]

      Chao WUQingxiu SHITao XUZhengxi PENGZhongping XIONGYinglin ZHANGYujun SIChaozhong GUO . Enhancement of oxygen reduction reaction performance of iron-nitrogen doped carbon based catalysts by sodium carboxymethyl cellulose pre-deoxygenation. Chinese Journal of Inorganic Chemistry, 2026, 42(4): 737-746. doi: 10.11862/CJIC.20250305

    9. [9]

      Xichen YAOShuxian WANGYun WANGCheng WANGChuang ZHANG . Oxygen reduction performance of self?supported Fe/N/C three-dimensional aerogel catalyst layers. Chinese Journal of Inorganic Chemistry, 2025, 41(7): 1387-1396. doi: 10.11862/CJIC.20240384

    10. [10]

      Zhiqiang XINGJinling LIUMingmin SULei ZHANGLijun YANG . CoNi dual-single-atom catalyst for electrocatalytic H2O2 production and in situ electro-Fenton degradation of pollutants. Chinese Journal of Inorganic Chemistry, 2025, 41(12): 2479-2490. doi: 10.11862/CJIC.20250181

    11. [11]

      Yixuan WangCanhui ZhangXingkun WangJiarui DuanKecheng TongShuixing DaiLei ChuMinghua Huang . Engineering Carbon-Chainmail-Shell Coated Co9Se8 Nanoparticles as Efficient and Durable Catalysts in Seawater-Based Zn-Air Batteries. Acta Physico-Chimica Sinica, 2024, 40(6): 2305004-0. doi: 10.3866/PKU.WHXB202305004

    12. [12]

      Hao XURuopeng LIPeixia YANGAnmin LIUJie BAI . Regulation mechanism of halogen axial coordination atoms on the oxygen reduction activity of Fe-N4 site: A density functional theory study. Chinese Journal of Inorganic Chemistry, 2025, 41(4): 695-701. doi: 10.11862/CJIC.20240302

    13. [13]

      Bing WEIJianfan ZHANGZhe CHEN . Research progress in fine tuning of bimetallic nanocatalysts for electrocatalytic carbon dioxide reduction. Chinese Journal of Inorganic Chemistry, 2025, 41(3): 425-439. doi: 10.11862/CJIC.20240201

    14. [14]

      Bowen YangRui WangBenjian XinLili LiuZhiqiang Niu . C-SnO2/MWCNTs Composite with Stable Conductive Network for Lithium-based Semi-Solid Flow Batteries. Acta Physico-Chimica Sinica, 2025, 41(2): 100015-0. doi: 10.3866/PKU.WHXB202310024

    15. [15]

      Bizhu ShaoHuijun DongYunnan GongJianhua MeiFengshi CaiJinbiao LiuDichang ZhongTongbu Lu . Metal-Organic Framework-Derived Nickel Nanoparticles for Efficient CO2 Electroreduction in Wide Potential Windows. Acta Physico-Chimica Sinica, 2024, 40(4): 2305026-0. doi: 10.3866/PKU.WHXB202305026

    16. [16]

      Hailang JIAPengcheng JIHongcheng LI . Preparation and performance of nickel doped ruthenium dioxide electrocatalyst for oxygen evolution. Chinese Journal of Inorganic Chemistry, 2025, 41(8): 1632-1640. doi: 10.11862/CJIC.20240398

    17. [17]

      Hui-Ying ChenHao-Lin ZhuPei-Qin LiaoXiao-Ming Chen . Integration of Ru(Ⅱ)-Bipyridyl and Zinc(Ⅱ)-Porphyrin Moieties in a Metal-Organic Framework for Efficient Overall CO2 Photoreduction. Acta Physico-Chimica Sinica, 2024, 40(4): 2306046-0. doi: 10.3866/PKU.WHXB202306046

    18. [18]

      Wang WangYucheng LiuShengli Chen . Use of NiFe Layered Double Hydroxide as Electrocatalyst in Oxygen Evolution Reaction: Catalytic Mechanisms, Electrode Design, and Durability. Acta Physico-Chimica Sinica, 2024, 40(2): 2303059-0. doi: 10.3866/PKU.WHXB202303059

    19. [19]

      Yucai Zhang Jun Jiang . Electrochemical Carbon Dioxide Reduction to Ethylene. University Chemistry, 2026, 41(2): 190-196. doi: 10.12461/PKU.DXHX202503006

    20. [20]

      Yan KongWei WeiLekai XuChen Chen . Electrochemical Synthesis of Organonitrogen Compounds from N-integrated CO2 Reduction Reaction. Acta Physico-Chimica Sinica, 2024, 40(8): 2307049-0. doi: 10.3866/PKU.WHXB202307049

Metrics
  • PDF Downloads(6)
  • Abstract views(1798)
  • HTML views(360)

通讯作者: 陈斌, bchen63@163.com
  • 1. 

    沈阳化工大学材料科学与工程学院 沈阳 110142

  1. 本站搜索
  2. 百度学术搜索
  3. 万方数据库搜索
  4. CNKI搜索
Address:Zhongguancun North First Street 2,100190 Beijing, PR China Tel: +86-010-82449177-888
Powered By info@rhhz.net

/

DownLoad:  Full-Size Img  PowerPoint
Return