Citation: Yang WANG, Lulu ZHANG, Hanjiang HE, Xia ZHANG, Xiaohong SUN, Fan WANG, Shuli WANG. In situ construction of ammonium phosphomolybdate@ZIF-8 composite for Rb+ and Cs+ adsorption performance[J]. Chinese Journal of Inorganic Chemistry, ;2026, 42(4): 826-842. doi: 10.11862/CJIC.20250332 shu

In situ construction of ammonium phosphomolybdate@ZIF-8 composite for Rb+ and Cs+ adsorption performance

Figures(9)

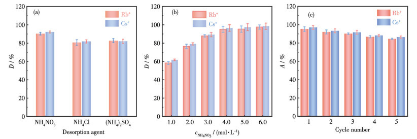
  • A metal-organic framework/inorganic composite (ZIF-8@AMP) was synthesized by the in situ introduction of the active component ammonium phosphomolybdate (AMP) during the ambient solution-phase synthesis of the metal-organic framework (ZIF-8). The structure and properties of the composite were characterized using scanning electron microscopy (SEM), X-ray powder diffraction (XRD), X-ray photoelectron spectroscopy (XPS), thermogravimetric analysis (TGA), and Fourier transform infrared spectroscopy (FTIR). Its adsorption performance for Rb+ and Cs+ in water was investigated. Results indicate that ZIF-8@AMP exhibited adsorption efficiencies of 93.5% and 95.6% for Rb+ and Cs+ within 30 min, with maximum adsorption capacities of 92.7 and 104.5 mg·g-1, respectively. After five adsorption-desorption cycles, it maintained high adsorption capacity and achieved over 84.9% adsorption efficiency for Rb+ and Cs+ in actual brine samples. The adsorption of ZIF-8@AMP for Rb+ and Cs+ follows pseudo-second-order kinetics and the Langmuir adsorption isotherm, indicating an endothermic, entropy-increasing, and spontaneous process. The adsorption mechanism involves electrostatic attraction and ion exchange between ZIF-8@AMP and Rb+ and Cs+.
  • 加载中
    1. [1]

      WANG Y P, ZHANG Q Y, FANG D Z, LI K X, SONG Z M, HAN W J, LI J W, YE X S, LIU H N, ZHANG H F, ZHANG X, WU Z J. Selective adsorption of Rb+ and Cs+ by a superparamagnetic Fe3O4@FeMn-MOF from brine[J]. Desalination, 2025, 600: 118481  doi: 10.1016/j.desal.2024.118481

    2. [2]

      WANG Y, ZHANG L L, WANG S L, FENG H L, PANG F F, LI H L, LIU B H, ZANG X H, ZHANG S H, WANG Z. Construction of a sulfonic acid functionalized hypercrosslinked polymer for the adsorption of rubidium and cesium[J]. J. Water Process Eng., 2024, 68: 106321  doi: 10.1016/j.jwpe.2024.106321

    3. [3]

      ZHANG X F, LI C L, LIU P, LUO X G, LI X B, LI W X, LI L M. A sustainable method for cesium and rubidium separation from high- salinity wastewater[J]. J. Environ. Chem. Eng., 2025, 13(5): 118460  doi: 10.1016/j.jece.2025.118460

    4. [4]

      LE Q T N, CHO K. Caesium adsorption on a zeolitic imidazolate framework (ZIF-8) functionalized by ferrocyanide[J]. J. Colloid Interface Sci., 2021, 581: 741-750  doi: 10.1016/j.jcis.2020.08.017

    5. [5]

      LI J S, LI T W, MA Y Q, CHEN F K. Distribution and origin of brine-type Li-Rb mineralization in the Qaidam Basin, NW China[J]. Sci. China Earth Sci., 2022, 65(3): 477-489  doi: 10.1007/s11430-021-9855-6

    6. [6]

      MA C, LI Z, ZHANG Z J, QIN W, JIA J T, HAN G, GUO Y F, PAN T, DENG T L. In-situ polyimidazole-encapsulated Cu-defective PB composite enables green and selective rubidium recovery from salt lake brine[J]. Chem. Eng. J., 2025, 523: 168870  doi: 10.1016/j.cej.2025.168870

    7. [7]

      ZHANG Z F, ZHAO T Y, HE L H, ZHAO Z W, SUN F L, XU W H, LIU D F. Electrochemical extraction of rubidium from salt lake by using cupric ferrocyanide based on potassium shuttle[J]. Desalination, 2023, 549: 116331  doi: 10.1016/j.desal.2022.116331

    8. [8]

      CHEN X, WANG Y, LIU B X, GAO L, QIAO L L, XIONG C W, QIAO L J, LI Y Z, ZHANG P, ZHU D R, LIU D H. Ecologically friendly 2D/2D Na+-MXene/LDH for cesium adsorption in salt lakes: A comprehensive study on adsorption performance, mechanisms, and environmental impact[J]. Desalination, 2025, 602: 118632  doi: 10.1016/j.desal.2025.118632

    9. [9]

      WANG Y P, YE X S, ZHANG Q Y, HAN W J, LIU X, ZHANG H F, LIU H N, WU Z J, SHI G S. Unveiling the adsorption behavior and mass transfer mechanism of Rb+ and Cs+ adsorption on FeMn-MOF[J]. Chem. Eng. J., 2024, 502: 157999  doi: 10.1016/j.cej.2024.157999

    10. [10]

      XING P, WANG C Y, CHEN Y Q, MA B Z. Rubidium extraction from mineral and brine resources: A review[J]. Hydrometallurgy, 2021, 203: 105644  doi: 10.1016/j.hydromet.2021.105644

    11. [11]

      LV Y W, LIU Y B, MA B Z, WANG C Y, CHEN Y Q. Preferential extraction of rubidium from high concentration impurity solution by solvent extraction and preparation of high-purity rubidium salts[J]. Desalination, 2023, 545: 116162  doi: 10.1016/j.desal.2022.116162

    12. [12]

      HUANG Y T, CHEN J J, LIU H N, WANG Y P, LU M, LIU X, YE X S, SHI G S. Crown ether intercalated graphene oxide membranes for highly efficient sieving of cesium with a large water permeability[J]. Sep. Purif. Technol., 2024, 339: 126702  doi: 10.1016/j.seppur.2024.126702

    13. [13]

      NI J H, SUN B X, LIU P J, JIN G P. Preparation of a core-shell magnetic potassium nickel copper hexacyanoferrate/zeolitic imidazolate framework composite for rubidium adsorption[J]. J. Solid State Chem., 2024, 331: 124554  doi: 10.1016/j.jssc.2024.124554

    14. [14]

      CHEN S R, XIONG G Y, CUI S L, ZHAO S F, LAI J L, ZHANG X N, ZENG G Y, ZENG Y, SHI H. Selective isolation of rubidium with mesoporous silica loaded with ammonium phosphomolybdate via an in-pore crystallization reaction[J]. Sep. Purif. Technol., 2025, 353: 128364  doi: 10.1016/j.seppur.2024.128364

    15. [15]

      GAO L, MA G H, ZHENG Y X, TANG Y, XIE G S, YU J W, LIU B X, DUAN J Y. Research trends on separation and extraction of rare alkali metal from salt lake brine: rubidium and cesium[J]. Solvent Extr. Ion Exch., 2020, 38(7): 753-776  doi: 10.1080/07366299.2020.1802820

    16. [16]

      LI C L, LIU P, ZHANG X F, LUO X G, WEI C, LI X B, DENG Z G, LI M T. Separation of Li, Na, K from salinity wastewater via targeting coordination precipitation with phosphate and chlorine[J]. J. Environ. Chem. Eng., 2025, 13(2): 115510  doi: 10.1016/j.jece.2025.115510

    17. [17]

      WANG M M, XU J, ZHAO L, LIN C X, GAO J, XIA Y G. Adsorption of rubidium/cesium from aqueous solution using silane-modified prussian blue-based composites[J]. J. Sep. Sci., 2025, 48(5): e70164  doi: 10.1002/jssc.70164

    18. [18]

      LIU H N, WANG Y P, ZHANG Q Y, HAN W J, ZHANG H F, YE X S. High-efficiency selective adsorption of rubidium and cesium from simulated brine using a magnesium ammonium phosphate adsorbent[J]. Separations, 2024, 11(9): 277-287  doi: 10.3390/separations11090277

    19. [19]

      WANG G H, ZHANG H B, QIAN W L, TANG A Y, CAO H Z, FENG W Y, ZHENG G Q. Synthesis and assessment of spherogranular composite tin pyrophosphate antimonate adsorbent for selective extraction of rubidium and cesium from salt lakes[J]. Desalination, 2024, 581: 117540  doi: 10.1016/j.desal.2024.117540

    20. [20]

      LV Y W, MA B Z, LIU Y B, WANG C Y, CHEN Y Q. A novel adsorbent potassium magnesium ferrocyanide for selective separation and extraction of rubidium and cesium from ultra-high salt solutions[J]. J. Water Process Eng., 2023, 55: 104225  doi: 10.1016/j.jwpe.2023.104225

    21. [21]

      LIU S Y, ZU J H, HAN G, PAN X H, XUE Y, DIAO J J, TANG Q, JIN M J. Ammonium phosphomolybdate-modified UiO-66 as an efficient adsorbent for the selective removal of 137Cs from radioactive wastewater[J]. Sep. Purif. Technol., 2023, 329: 125073

    22. [22]

      FU C Y, WEI X, LIAN J, CHENG J F, ZHU S, YAN M H. A facile synthesis of polyacrylic acid-ammonium phosphomolybdate microspheres for the highly selective removal of cesium[J]. J. Radioanal. Nucl. Chem., 2024, 333(4): 2207-2220  doi: 10.1007/s10967-024-09416-7

    23. [23]

      YANG H, MA B Z, SHI S Y, YU J C, LIU Y B, CAO Z H, WANG C Y, CHEN Y Q. Efficient recovery of rubidium from high-salinity brine using dual crosslinked hydrogel beads encapsulating ammonium phosphotungstate[J]. Desalination, 2025, 606: 118794  doi: 10.1016/j.desal.2025.118794

    24. [24]

      PARK Y J, LEE Y C, SHIN W S, CHOI S J. Removal of cobalt, strontium and cesium from radioactive laundry wastewater by ammonium molybdophosphate-polyacrylonitrile (AMP-PAN)[J]. Chem. Eng. J., 2010, 162(2): 685-695  doi: 10.1016/j.cej.2010.06.026

    25. [25]

      WANG Y P, LI K X, FANG D Z, YE X S, LIU H N, TAN X L, LI Q, LI J, WU Z J. Ammonium molybdophosphate/metal-organic framework composite as an effective adsorbent for capture of Rb+ and Cs+ from aqueous solution[J]. J. Solid State Chem., 2022, 306: 122767  doi: 10.1016/j.jssc.2021.122767

    26. [26]

      JIANG C Y, NI J H, JIN G P. Magnetic potassium cobalt hexacyanoferrate nanocomposites for efficient adsorption of rubidium in solution[J]. Sep. Purif. Technol., 2022, 296: 121383  doi: 10.1016/j.seppur.2022.121383

    27. [27]

      SUN C Y, LIU S X, LIANG D D, SHAO K Z, REN Y H, SU Z M. Highly stable crystalline catalysts based on a microporous metal- organic framework and polyoxometalates[J]. J. Am. Chem. Soc., 2009, 131(5): 1883-1888  doi: 10.1021/ja807357r

    28. [28]

      ZHAO R C, XIE L H, LIU X M, LIU Z, LI X Y, LI J R. Removal of trace benzene from cyclohexane using a MOF molecular sieve[J]. J. Am. Chem. Soc., 2024, 147(3): 2467-2475

    29. [29]

      ZHANG S W, OU F X, NING S G, CHENG P. Polyoxometalate-based metal-organic frameworks for heterogeneous catalysis[J]. Inorg. Chem. Front., 2021, 8(7): 1865-1899  doi: 10.1039/D0QI01407A

    30. [30]

      KHOSRAVI A, HABIBPOUR R, RANJBAR M. Enhanced adsorption and removal of Cd􀃭 from aqueous solution by amino- functionalized ZIF-8[J]. Sci. Rep., 2024, 14(1): 10736  doi: 10.1038/s41598-024-59982-9

    31. [31]

      ZENG S, WANG Y H, ZHOU Y M, LI W L, ZHOU W B, ZHOU X, WANG M, ZHAO X Q, REN L. Mixed-linker synthesis of L- histidine@zeolitic imidazole framework-8 on amyloid nanofibrils-modified polyacrylonitrile membrane with high separation and antifouling properties[J]. Sep. Purif. Technol., 2022, 290: 120856  doi: 10.1016/j.seppur.2022.120856

    32. [32]

      YANG W, KONG Y D, YIN H, CAO M L. Study on the adsorption performance of ZIF-8 on heavy metal ions in water and the recycling of waste ZIF-8 in cement[J]. J. Solid State Chem., 2023, 326: 124217  doi: 10.1016/j.jssc.2023.124217

    33. [33]

      REN Y, HUANG X Y, WU Y, HU B A, ZHENG X M. Decontamination of washing solution of simulated cesium-contaminated soil by magnetic ammonium phosphomolybdate beads[J]. J. Environ. Chem. Eng., 2024, 12(2): 111968  doi: 10.1016/j.jece.2024.111968

    34. [34]

      LI H L, ZHANG S H, LIU B H, LI X H, SHANG N Z, ZHAO X X, EGUCHI M, YAMAUCHI Y, XU X T. Nanoarchitectonics of ultrafine molybdenum carbide nanocrystals into three-dimensional nitrogen-doped carbon framework for capacitive deionization[J]. Chem. Sci., 2024, 15(29): 11540-11549  doi: 10.1039/D4SC00971A

    35. [35]

      AMIN S, ALAVI S A, AGHAYAN H, YOUSEFNIA H. Efficient adsorption of cesium using a novel composite inorganic ion-exchanger based on metal organic framework (Ni[(BDC)(TED)]) modified matal hexacyanoferrate[J]. J. Organomet. Chem., 2022, 961: 122263  doi: 10.1016/j.jorganchem.2022.122263

    36. [36]

      YU J T, WANG X M, LIU T N, BAI X, HE Z H, HE Y H, TAO J J, WANG Q Q, WU Q H. Synthesis of magnetic hyper-crosslinked polymer from waste-expanded polystyrene as efficient sorbent for removal of Congo red and crystal violet[J]. Sustain. Mater. Technol., 2023, 38: e00760

    37. [37]

      FU C Y, TAN Z M, CHENG J F, XIE J L, DAI X Z, DU Y Y, ZHU S, WANG S Q, YAN M H. Effective removal of cesium by ammonium molybdophosphate-polyethylene glycol magnetic nanoparticles[J]. J. Environ. Chem. Eng., 2023, 11(5): 110544  doi: 10.1016/j.jece.2023.110544

    38. [38]

      SINHA A K, SASMAL A K, PAL A, PAL D, PAL T. Ammonium phosphomolybdate[(NH4)3PMo12O40] an inorganic ion exchanger for environmental application for purification of dye contaminant wastewater[J]. J. Photochem. Photobiol. A‒Chem., 2021, 418: 113427  doi: 10.1016/j.jphotochem.2021.113427

    39. [39]

      LI Y W, WEI L H, OU C J, WU Q, LIAO Z P, ZHA X H. Loofah sponge immobilized ZIF-8 for efficient adsorption removal of U􀃱[J]. Inorg. Chem. Commun., 2024, 167: 112838  doi: 10.1016/j.inoche.2024.112838

    40. [40]

      WANG H Y, HU C, DU Y F, LIU R R, LIU Z, HAN L, ZHOU Y Q. Construction of potassium cobalt iron cyanide double-hollow nanobubble prisms for high selective adsorption of cesium[J]. J. Water Process Eng., 2024, 59: 104944  doi: 10.1016/j.jwpe.2024.104944

    41. [41]

      QU Y, QIN L, LIU X G, YANG Y Z. Magnetic Fe3O4/ZIF-8 composite as an effective and recyclable adsorbent for phenol adsorption from wastewater[J]. Sep. Purif. Technol., 2022, 294: 121169  doi: 10.1016/j.seppur.2022.121169

    42. [42]

      BAO A M, ZHENG H, LIU Z Y, HUANG D F, WANG S Y, LI B. Preconcentration and separation of rubidium from salt lake brine by ammonium phosphomolybdate-polyacrylonitrile (AMP-PAN) composite adsorbent[J]. ChemistrySelect, 2017, 2(25): 7741-7750  doi: 10.1002/slct.201700835

    43. [43]

      LIU Q, GE H J, LIU C, ZHANG N L, GUO Y F, DENG T L. Highly selective and easily regenerated novel porous polyacrylonitrile- ammonium phosphomolybdate beads for cesium removal from geothermal water[J]. J. Water Process Eng., 2023, 51: 103339  doi: 10.1016/j.jwpe.2022.103339

    44. [44]

      LI J Y, HAN W X, LIU H Y, SU M H, CHEN D Y, SONG G. Simultaneous removal of Cs􀃬 and U􀃱 by a novel magnetic AMP@ PDA@Fe3O4 composite[J]. J. Clean Prod., 2023, 409: 137140  doi: 10.1016/j.jclepro.2023.137140

    45. [45]

      ZHANG N L, CHEN S Q, HU J Y, SHI J, GUO Y F, DENG T L. Robust and recyclable sodium carboxymethyl cellulose-ammonium phosphomolybdate composites for cesium removal from wastewater[J]. RSC Adv., 2020, 10(11): 6139-6145  doi: 10.1039/C9RA09803H

    46. [46]

      AHMADIJOKANI F, AHMADIPOUYA S, HARIS M H, REZAKAZEMI M, BOKHARI A, MOLAVI H, AHMADIPOUR M, PUNG S Y, KLEMEŠ J J, AMINABHAVI T M, ARJMAND M. Magnetic nitrogen-rich UiO-66 metal-organic framework: An efficient adsorbent for water treatment[J]. ACS Appl. Mater. Interfaces, 2023, 15(25): 30106-30116  doi: 10.1021/acsami.3c02171

    47. [47]

      LI J C, LIAO L S, JIA Y N, TIAN T, GAO S W, ZHANG C Y, SHEN W, WANG Z. Magnetic Fe3O4/ZIF-8 optimization by box-behnken design and its Cd􀃭-adsorption properties and mechanism[J]. Arab. J. Chem., 2022, 15(10): 104119  doi: 10.1016/j.arabjc.2022.104119

    48. [48]

      YANG X B, WEN Z D, WU Z L, LUO X T. Synthesis of ZnO/ZIF-8 hybrid photocatalysts derived from ZIF-8 with enhanced photocatalytic activity[J]. Inorg. Chem. Front., 2018, 5(3): 687-693  doi: 10.1039/C7QI00752C

    49. [49]

      NAIDU G, NUR T, LOGANATHAN P, KANDASAMY J, VIGNESWARAN S. Selective sorption of rubidium by potassium cobalt hexacyanoferrate[J]. Sep. Purif. Technol., 2016, 163: 238-246  doi: 10.1016/j.seppur.2016.03.001

    50. [50]

      XU Z H, RONG M, NI S, MENG Q Y, WU X, LIU H Z, YANG L R. Self-polycondensing hypercross-linked polymers from hydroxybenzyl alcohols for efficient cesium adsorption[J]. ACS Appl. Polym. Mater., 2023, 5(10): 8315-8325  doi: 10.1021/acsapm.3c01468

    51. [51]

      ZANG Y, YU Y Y, CHEN Y L, FAN M Y, WANG J J, LIU J, XU L, JIA H G, DONG S B. Synthesis of conjugated microporous polymers rich in sulfonic acid groups for the highly efficient adsorption of Cs+[J]. Chem. Eng. J., 2024, 484: 149709  doi: 10.1016/j.cej.2024.149709

  • 加载中
    1. [1]

      Min ZHUYuxin WANGXiao LIYaxu XUJunwen ZHUZihao WANGYu ZHUXiaochen HUANGDan XUMonsur Showkot Hossain Abul . Construction of AgVO3/ZIF-8 composites for enhanced degradation of tetracycline. Chinese Journal of Inorganic Chemistry, 2025, 41(5): 994-1006. doi: 10.11862/CJIC.20240392

    2. [2]

      Bing ShenTongwei YuanWenshuang ZhangYang ChenJiaqiang Xu . Complex shell Fe-ZnO derived from ZIF-8 as high-quality acetone MEMS sensor. Chinese Chemical Letters, 2024, 35(11): 109490-. doi: 10.1016/j.cclet.2024.109490

    3. [3]

      Guang-Xu DuanQueting ChenRui-Rui ShaoHui-Huang SunTong YuanDong-Hao Zhang . Encapsulating lipase on the surface of magnetic ZIF-8 nanosphers with mesoporous SiO2 nano-membrane for enhancing catalytic performance. Chinese Chemical Letters, 2025, 36(2): 109751-. doi: 10.1016/j.cclet.2024.109751

    4. [4]

      Sili QingXuanzhao LuYujing JiangCharitha ThambiliyagodageBing SongAo XiaJian-Rong ZhangWenlei ZhuLi-Ping JiangXiaoge WuJun-Jie Zhu . ZIF-8 confined carbon dots/bilirubin oxidase on microalgal cells to boost oxygen reduction reaction in photo-biocatalytic fuel cells for pollutants removal. Chinese Chemical Letters, 2026, 37(1): 110576-. doi: 10.1016/j.cclet.2024.110576

    5. [5]

      Xicheng LiDong MoShoushan HuMeng PanMeng WangTingyu YangChangxing QuYujia WeiJianan LiHanzhi DengZhongwu BeiTianying LuoQingya LiuYun YangJun LiuJun WangZhiyong Qian . A Pt@ZIF-8/ALN-ac/GelMA composite hydrogel with antibacterial, antioxidant, and osteogenesis for periodontitis. Chinese Chemical Letters, 2025, 36(9): 110674-. doi: 10.1016/j.cclet.2024.110674

    6. [6]

      Chuansong LINChuqing ZHANGShixiong LI . A Ni(Ⅱ) metal-organic framework based on the 4, 4′-biphenyldicarboxylic acid ligand and its adsorption performance for tetracycline. Chinese Journal of Inorganic Chemistry, 2026, 42(3): 593-605. doi: 10.11862/CJIC.20250278

    7. [7]

      Shuanglin TIANTinghong GAOYutao LIUQian CHENQuan XIEQingquan XIAOYongchao LIANG . First-principles study of adsorption of Cl2 and CO gas molecules by transition metal-doped g-GaN. Chinese Journal of Inorganic Chemistry, 2024, 40(6): 1189-1200. doi: 10.11862/CJIC.20230482

    8. [8]

      Peng XUShasha WANGNannan CHENAo WANGDongmei YU . Preparation of three-layer magnetic composite Fe3O4@polyacrylic acid@ZiF-8 for efficient removal of malachite green in water. Chinese Journal of Inorganic Chemistry, 2024, 40(3): 544-554. doi: 10.11862/CJIC.20230239

    9. [9]

      Le HanZhou YuanBohan LiYuchi ZhangLin YangYan Xu . Highly-stable cesium lead halide perovskite CsPbBr3/CsPb2Br5 heteronanocrystals in zeolitic imidazolate framework-8 for antibiotic photodegradation. Chinese Chemical Letters, 2025, 36(6): 110349-. doi: 10.1016/j.cclet.2024.110349

    10. [10]

      Xin ZhangJunyu ChenXiang PeiLinxin YangLiang WangLuona ChenGuangmei YangXibo PeiQianbing WanJian Wang . Drug-loading ZIF-8 for modification of microporous bone scaffold to promote vascularized bone regeneration. Chinese Chemical Letters, 2024, 35(6): 108889-. doi: 10.1016/j.cclet.2023.108889

    11. [11]

      Tianxia ChenYunhui ChenWeiwei LiPeipei CenYan GuoJin ZhangCunding KongXiangyu Liu . Fabricating AuAg-nanoparticles/ZIF-8 composites for selective detection and efficient extraction of dinitroaniline pesticides. Chinese Chemical Letters, 2025, 36(8): 110214-. doi: 10.1016/j.cclet.2024.110214

    12. [12]

      Zhemi XuHaolin CuiShule ZhangPeiyuan GuanTianhao JiJin YanQianyu LiDewei ChuYunxuan WengZhimin AoYang LiuJian Jin . Facet engineering of metal-organic frameworks enables high piezoelectricity and piezocatalysis: A case study of ZIF-8. Chinese Chemical Letters, 2026, 37(4): 111667-. doi: 10.1016/j.cclet.2025.111667

    13. [13]

      Xuexia LinYihui ZhouJiafu HongXiaofeng WeiBin LiuChong-Chen Wang . Facile preparation of ZIF-8/ZIF-67-derived biomass carbon composites for highly efficient electromagnetic wave absorption. Chinese Chemical Letters, 2024, 35(9): 109835-. doi: 10.1016/j.cclet.2024.109835

    14. [14]

      Zeyu XUAnlei DANGBihua DENGXiaoxin ZUOYu LUPing YANGWenzhu YIN . Evaluation of the efficacy of graphene oxide quantum dots as an ovalbumin delivery platform and adjuvant for immune enhancement. Chinese Journal of Inorganic Chemistry, 2024, 40(6): 1065-1078. doi: 10.11862/CJIC.20240099

    15. [15]

      Jingke LIUJia CHENYingchao HAN . Nano hydroxyapatite stable suspension system: Preparation and cobalt adsorption performance. Chinese Journal of Inorganic Chemistry, 2024, 40(9): 1763-1774. doi: 10.11862/CJIC.20240060

    16. [16]

      Fugui XIDu LIZhourui YANHui WANGJunyu XIANGZhiyun DONG . Functionalized zirconium metal-organic frameworks for the removal of tetracycline from water. Chinese Journal of Inorganic Chemistry, 2025, 41(4): 683-694. doi: 10.11862/CJIC.20240291

    17. [17]

      Ting YANGJia ANJinyu ZHANGRuonan FANRong YANXiaoxia JINGPanpan CHANGWei YAN . Synergistic enhancement of ion migration and sulfur conversion kinetics in lithium-sulfur batteries by CeO2/g-C3N4. Chinese Journal of Inorganic Chemistry, 2026, 42(3): 519-530. doi: 10.11862/CJIC.20250274

    18. [18]

      Qin′ai FENGJianjun LILili ZHANGLinxin WUHuiling WANGWenjing HOULei WANGMingjie REN . Amphiphilic surface modification of magnetic adsorbents and its adsorption properties of two microplastics. Chinese Journal of Inorganic Chemistry, 2026, 42(4): 789-807. doi: 10.11862/CJIC.20250208

    19. [19]

      Liang MAHonghua ZHANGWeilu ZHENGAoqi YOUZhiyong OUYANGJunjiang CAO . Construction of highly ordered ZIF-8/Au nanocomposite structure arrays and application of surface-enhanced Raman spectroscopy. Chinese Journal of Inorganic Chemistry, 2024, 40(9): 1743-1754. doi: 10.11862/CJIC.20240075

    20. [20]

      Xin LiFei XiongXudong CaoWei LiuHaobo ChenJiayu HeWeina ZhangLongguang TangWei HuangXikuang Yao . CD44-targeting and ZIF-8 gated gold nanocage for programmed breast cancer therapy through Pt-induced immunogenic cell death. Chinese Chemical Letters, 2026, 37(1): 110970-. doi: 10.1016/j.cclet.2025.110970

Metrics
  • PDF Downloads(0)
  • Abstract views(31)
  • HTML views(8)

通讯作者: 陈斌, bchen63@163.com
  • 1. 

    沈阳化工大学材料科学与工程学院 沈阳 110142

  1. 本站搜索
  2. 百度学术搜索
  3. 万方数据库搜索
  4. CNKI搜索
Address:Zhongguancun North First Street 2,100190 Beijing, PR China Tel: +86-010-82449177-888
Powered By info@rhhz.net

/

DownLoad:  Full-Size Img  PowerPoint
Return