Citation: Tingliang MAO, Zhong WANG, Wenquan JIANG, Hao WAN, Chaojian XING, Xu WU, Rong ZHANG, Zhimin REN, Yanping YIN, Ning LI, Guohua LI, Xiaohe LIU. Research progress on synthesis technology for lithium-rich manganese-based cathode materials[J]. Chinese Journal of Inorganic Chemistry, 2026, 42(4): 668-692. doi: 10.11862/CJIC.20250319
富锂锰基正极材料合成技术的研究进展
English
Research progress on synthesis technology for lithium-rich manganese-based cathode materials
-
0. 引言
锂离子电池凭借其长循环寿命和高能量转换与存储效率,在新能源汽车领域占据重要市场地位。目前,其正极材料主要采用三元体系和磷酸铁锂体系,比容量范围在120~200 mAh·g-1之间[1]。尽管锂离子电池技术持续优化,但仍面临发展瓶颈:主流正极材料的能量密度已接近极限,难以满足长续航(> 800 km)电动汽车的需求;同时,商业化三元正极材料中Ni、Co等关键金属占比较高,导致电池成本较高且伴随较大的环境污染问题[1-3]。
富锂锰基正极材料因其高可逆比容量(> 250 mAh·g-1)[4]、高比能量(> 900 Wh·kg-1)、高安全性及低成本等优势备受关注[5]。其高能量密度有望显著提升电动汽车的续航里程,满足当前对轻量化与长距离行驶的需求。该材料以Mn为主要金属成分,降低了对Ni和Co的依赖;与Co相比,Mn资源丰富、成本更低,开采与生产过程中的污染更小,有利于实现材料供应的可持续性与大规模生产的经济性[6-8]。此外,与三元正极材料相比,富锂锰基正极材料表现出更优的高温循环稳定性与热安全性,其热失控起始温度比三元材料高60~100 ℃,热释放量降低33%~93%[9]。
研究人员对富锂锰基正极材料的结构与电化学反应机理开展了大量研究,普遍认为其是由六方相(
)与单斜相(C2/m)组成的复合相,表达式为xLi2MnO3·(1-x)LiTMO2(TM为Ni、Co、Mn等过渡金属)[7, 10]。富锂锰基正极材料的容量来源主要包括两部分:(1) 在电压低于4.4 V时,过渡金属离子(如Ni2+/Ni3+/Ni4+、Co3+/Co4+)发生氧化还原反应,提供一部分容量;(2) 在电压高于4.4 V时,Li2MnO3相中Li+离子脱出,Mn4+价态保持不变,Li2MnO3转变为MnO2,该过程中阴离子氧参与的电荷补偿(O2-→O2n-、O2-→O-)提供另一部分容量,这也是该材料获得高容量的主要来源[11-13]。$R \overline{3} m$ 尽管富锂锰基正极材料有望成为有潜力的新一代锂离子电池的正极材料,但仍存在首圈库仑效率低[14]、倍率性能差[15]和循环过程中电压衰减[16-17]等问题,因此其全面商业化应用仍面临诸多挑战[4]。目前,研究人员采用离子掺杂、表面包覆和晶体结构调控等技术手段以减缓结构转变、过渡金属溶解、界面副反应以及晶界或晶体裂纹等问题[18-20],进而改善富锂锰基正极材料的电化学性能。高价态阳离子掺杂可以降低锂离子嵌入的扩散能垒,加速锂离子的扩散速率,抑制Li空位缺陷的形成[21-22];低价态阳离子掺杂可阻断过渡金属离子向Li层的迁移路径,减少相变发生[23],同时大离子半径可扩大Li层间距,提高锂离子扩散速率[24]。表面改性可改善富锂锰基正极材料的界面结构,提高体相稳定性和界面离子传输能力[25]。例如,碳材料本身具备高硬度、低密度和良好导电性等特点,可作为表面涂层材料提高电极的电子转移速率,减少电阻导致的容量损失,同时稳定材料晶格结构,抑制充放电过程中的晶格体积变化[26-27]。通过碳纳米管对富锂锰基正极材料进行改性处理时,碳纳米管的表面分布可改善电极/电解液的界面反应,其内部分布则能降低一次颗粒间的内阻并加速电荷转移[28];在富锂锰基正极材料表面构建石墨烯包覆层与表面尖晶石相,可增强锂离子脱出/嵌入过程中材料结构的稳定性,从而提升材料的循环性能[29]。氧化物包覆材料可降低电荷转移阻抗,抑制电极材料与电解液之间的副反应,促进锂离子的扩散[16, 30]。例如,通过包覆CeO2层,可减轻富锂锰基正极材料表面O2的释放并提高其高倍率下的性能[31];磷酸盐包覆层可有效抑制HF对材料的侵蚀,减小晶体表面的内阻[32],抑制初级颗粒表面副反应,从而提高材料的循环性能[7]。通过微结构调控来提高富锂锰基正极材料性能也是较常用的方法,如在富锂锰基正极材料表面引入尖晶石形成复合结构,不仅可以提供三维离子扩散通道以提高倍率性能,还有助于保持富锂锰基正极材料的结构稳定性,抑制电压衰减[33-34]。此外,研究人员发现单晶富锂锰基正极材料因其内边界减少,有效抑制了副反应和裂纹,机械稳定性提高[35-37]。Wu等制备的Mn元素从内向外浓度递减的单晶富锂锰基正极材料具有优异的热稳定性,在循环过程中有效抑制了O2/CO2的释放[38]。另外,单晶材料结合改性策略能够进一步提高材料的结构稳定性。Gao等通过硼酸对单晶富锂锰基正极材料进行处理时发现,除单晶材料固有的机械稳定性与无晶界优势外,在材料表面诱导生成的Li2B4O7及尖晶石包覆层,增大了晶格间距且提供了快离子导电层,强B—O键与表面包覆层能进一步抑制有害氧的释放,避免O2n-与电解液的剧烈副反应[36]。
除上述技术手段外,优化高温烧结工艺也是提高富锂锰基正极材料性能的重要途径。近年来,研究人员对其高温烧结过程中物相结构及元素价态的变化进行了深入研究,旨在明确相变过程及其内在机理,并尝试构建其与电化学性能的关联。本文从合成方法、合成机理、合成过程影响因素等方面对富锂锰基正极材料近年来的研究进展进行了总结概括,以期为未来高性能富锂层状材料的开发和应用提供有益的参考。
1. 富锂锰基正极材料的合成方法
富锂锰基正极材料因其高比容量和优异的循环稳定性而备受关注,其合成方法直接影响材料的晶体结构、微观形貌、元素分布及电化学性能,因此合适的合成工艺对于优化材料的结构和性能至关重要。目前,已有多种方法用于富锂锰基正极材料的制备,如传统的固相法、高度可控的共沉淀法、精细调控的溶胶-凝胶法以及其他新兴的合成策略。不同的合成方法在反应动力学、形貌控制、规模化生产和电化学性能等方面各有优势和局限性。
1.1 固相法
固相法是制备氧化物最常用的方法之一,包括原材料的均匀混合和固相烧结2个步骤。在制备富锂锰基正极材料时,将碳酸锂(Li2CO3)与Ni、Co、Mn的氧化物或盐等按照一定的物质的量之比精确称量,通过球磨以确保组分均匀混合并降低原料粒度,进而促进固相反应的进行,提高反应速率[39]。球磨过程中,原料粉末在研磨介质和去离子水的作用下相互摩擦,促进了各成分之间的物理接触,最后在高温烧结下发生反应,形成层状结构的富锂过渡金属氧化物[40-41]。
固相法制备富锂锰基正极材料具有易于批量化生产、制备成本较低的优点。为促进微米级原料的均匀混合和固相反应的进行,通常需要对反应原料进行球磨、砂磨等粉碎处理。王忠等通过固相法制备了纳米级的富锂锰基正极一次颗粒材料,其在0.1C下首圈放电容量可达到284 mAh·g-1 [42]。虽然球磨后粉末的最小粒度可以小至几十纳米,但因为Ni2+/Ni3+在氧框架中的迁移率低[43],该粒度仍显不足。Wang等通过高能X射线衍射技术(HEXRD)观察到,即使将原料加热到1 000 ℃(高温),仍会有少量未反应完全的NiO残留。当采用对球磨后的原料混合物先进行预烧处理,再进行二次球磨后高温烧结的方法时,元素的均匀程度提高,最终烧结步骤中镍离子的扩散路径缩短。结果表明,在烧结温度为815 ℃时NiO消失,最终材料的电化学性能得到明显提高[44]。此外,尹艳萍等发现,采用不同Mn源通过固相法制备的球形富锂锰基正极材料颗粒的聚集程度存在差异。其中以MnO2为Mn源制备的颗粒接触紧密,振实密度高,具有较好的倍率性能[41]。
1.2 共沉淀法
共沉淀法是制备富锂锰基正极材料最常用的方法,其核心步骤包括前驱体的制备以及前驱体-锂源混合物的烧结[45]。以制备氢氧化物前驱体为例,在制备前驱体时,将过渡金属盐按比例配成溶液,以氨水和氢氧化钠分别作为配位剂和沉淀剂,将原料以一定速率加入到连续搅拌的釜式反应器(CSTR)中,控制反应温度在50~80 ℃,通过碱液调节pH为7.5~10.2,经过长时间连续沉积后合成氢氧化物前驱体[46]。
共沉淀法具有能使多种过渡金属组分实现原子级均匀混合、操作相对简单、制备成本较低、可放大、能实现颗粒形貌与尺寸的调控且颗粒单分散等优点,同时易于控制杂质元素的引入量[47]。尹艳萍等通过控制共沉淀的条件制备了粒径分布不同的富锂锰基正极材料,发现小粒径的材料因能更好地与电解液接触,且锂离子扩散路径更短,表现出更优异的倍率性能[48]。共沉淀法制备过程中需要精确控制溶液的pH值[46]、温度等反应条件,技术要求高,同时因在前驱体制备时会采用强碱、氨水等试剂,存在废水处理的问题[49]。
1.3 溶胶-凝胶法
溶胶-凝胶法是将锂盐、过渡金属盐溶解于溶剂中,再加入配位剂使其形成溶胶,然后蒸发溶剂得到凝胶,再对凝胶进行干燥和烧结,继而得到成品的方法[50]。其中,配位剂与金属离子形成了稳定配位物,确保了金属离子均匀分散,防止了团聚,控制了反应进程和材料微观结构;溶胶经加热发生凝胶化,形成了具有一定黏性和弹性的凝胶,此时配位剂与金属离子形成的配位物之间发生交联反应,构建起三维网络结构[51]。该方法的特点是能够通过化学溶液反应实现材料成分和结构的精细调控,实现原料原子层面的充分均匀混合,所制备的材料粒径分布窄、颗粒粒径小,有助于获得性能优异的富锂锰基正极材料[51-52]。缺点是该方法涉及多步化学反应,对反应条件要求较为严格,操作过程复杂,且部分试剂成本较高,大批量生产难度较高,难以实现工业化。
1.4 熔盐法
熔盐法是一种利用低熔点盐类作为反应介质来合成目标材料的方法。在高温下盐类熔融成离子熔体,为反应物提供良好的传质和传热环境,从而促进晶体成核与生长,最终得到形貌和尺寸可控的产物[53]。其优点在于熔盐介质为晶体生长提供了一个液态的、各向同性的环境,有利于生成规则、均匀的微晶或纳米片/球[54]。与传统固相法需要更高温度和更长时间相比,熔盐法是液相反应,传质效率高,因此可以在相对较低的温度和较短的时间内完成合成,有助于降低能耗。熔盐法的缺点在于合成后需要对材料进行彻底洗涤以去除熔盐,任何微量的残留熔盐都可能在电池循环过程中引发副反应,导致电化学性能变差[55]。此外,熔盐法增加了添加熔盐和洗涤的步骤,工艺流程较长,简便性与经济性较低。
1.5 其他合成方法
水热法是指将锂盐、过渡金属盐等原料溶解在水中(如用有机溶剂替代则称为溶剂热法),放入高压反应釜中,在高温高压条件下进行反应[56]。这种方法可以在相对温和的条件下实现材料的合成,能够有效控制材料的晶体结构、形貌和粒径。但是水热法/溶剂热法需要高压设备,对反应设备要求较高,且生产效率相对较低,因此大规模生产存在一定困难[57]。
喷雾热解法是指将含有锂源、过渡金属盐的溶液通过喷雾装置喷入高温反应气氛中,溶液中的溶剂迅速蒸发,溶质形成微小的颗粒并发生化学反应,从而制备出富锂锰基正极材料的方法[58]。该方法能够快速制备出粒径均匀、分散性好的球形颗粒材料,有利于提高材料的压实密度和电化学性能。但喷雾热解法对设备要求高,制备过程中能耗较大,成本相对较高[59]。
综上所述,固相法元素混合均匀程度偏低,熔盐法产率低且成本高,溶胶-凝胶法、水热法及喷雾热解法等存在操作繁杂、对设备要求高等缺点,均难以规模化生产。共沉淀法可以使各元素在原子级水平均匀混合,能够通过调控前驱体的形貌等物性实现对富锂锰基正极材料的形貌和性能的有效调控,更易于实现规模化生产,在反应动力学控制及产品稳定性上较为均衡(表 1)。
表 1
表 1 不同富锂锰基正极材料的合成方法优缺点对比Table 1. Comparison of advantages and disadvantages of different synthesis methods for lithium-rich manganese-based cathode materialsSynthetic method Advantages Disadvantages References Solid phase method Simple process, making it suitable for mass production Poor mixing uniformity of raw materials [39-40, 43-44] Co-precipitation method Uniform mixing of elements at the molecular
level and adjustable material morphologyProcess involves chemical reagents,
wastewater treatment problems[45-47, 49, 60] Sol-gel method Narrow particle size distribution and small
particle sizeComplex process flow and high requirements
for equipment[50-52] Molten-salt growth method High ion diffusion efficiency, low reaction
temperature, and short reaction timeLow yield, post-treatment of materials, and
residual molten salt easily lead to significant
degradation of material properties[53-55] 2. 固相反应机理
高温烧结是合成富锂锰基正极材料的关键步骤,固相法、共沉淀法等合成方法在经过不同的前处理后,都需要通过高温烧结环节才能最终完成材料合成,在此过程中原料发生固相反应,因此明晰高温固相反应的机理尤为关键。
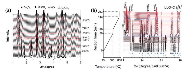
当采用固相法合成富锂锰基正极材料时,原料为过渡金属氧化物(或碳酸盐)和锂源,在高温固相反应过程中涉及过渡金属元素以及锂离子的扩散与相互反应,期间会出现多种中间产物。Wang等[44]采用原位高温XRD研究了Li2CO3、MnCO3、Co3O4与NiO通过固相法合成富锂锰基正极材料的过程(图 1a),结果表明当温度达到200 ℃以上时原料开始初步分解并发生固相反应。层状结构的形成及过渡金属元素的互混受限于氧框架中过渡金属离子的迁移能力,导致原料在固相合成中逐步而非同步消失。MnCO3与Co3O4的XRD信号在600 ℃以下消失,形成初步的过渡金属氧化物,例如MnCO3分解生成的MnO2会与Li2CO3反应生成Li2MnO3晶核[61],Co3O4与Li2CO3生成LiCoO2或Li2Co2O4[62]。相比之下,NiO的衍射峰强度直至800 ℃才显著下降,即使达到1 000 ℃仍可检测到其存在。因此,随着反应物的分解,在410 ℃出现的中间相为Li2(MnxCo1-x)2O4,其在700 ℃以上开始与NiO反应,此时二者反应生成的Li2MnO3组分的特征峰开始出现;当温度升至910 ℃以上时,该中间相消失,形成结晶度高的富锂锰基正极材料Li1.2Ni0.13Co0.13Mn0.54。
图 1
若采用共沉淀法制备的前驱体为原料合成富锂锰基正极材料,过渡金属在液相沉积时完成了均匀化的过程,因此高温烧结时主要是锂离子向前驱体颗粒中扩散与反应的过程,期间的中间产物较少。以碳酸盐前驱体与Li2CO3反应为例(图 1b),碳酸盐前驱体在450 ℃发生分解,在XRD图上可观察到过渡金属氧化物TM3O4和TMO2的衍射峰,材料历经从层状结构(R3c)向尖晶石结构(Fd3m)的相变过程(式1~2)[63-64]。温度超过450 ℃后,锂离子开始扩散至TM3O4和TMO2两相中,生成含锂尖晶石型LixTM1-xTM2O4(Fd3m)中间相(式3)。当温度高于775 ℃时,LiTMO2相开始形成(式4)。整个过程中,过渡金属氧化物同步参与反应。相比于直接使用过渡金属氧化物作为原料,使用前驱体合成富锂锰基正极材料时混合均匀度更高,这提升了过渡金属元素的迁移能力[64]。
$ \begin{aligned} & 6 \mathrm{Ni}_{1 / 6} \mathrm{Co}_{1 / 6} \mathrm{Mn}_{4 / 6} \mathrm{CO}_3+2 \mathrm{O}_2 \rightarrow \\ & \;\;\;\;\;\;\;\;\;\;\;\;\;\;\;\;\;\;\mathrm{NiMnO}_3+\mathrm{CoMnO}_3+2 \mathrm{MnO}_2+6 \mathrm{CO}_2 \end{aligned} $ (1) $ \begin{aligned} \mathrm{NiMnO}_3+\mathrm{CoMnO}_3+ & 2 \mathrm{MnO}_2 \rightarrow \\ & \mathrm{NiMn}_2 \mathrm{O}_4+\mathrm{CoMn}_2 \mathrm{O}_4+\mathrm{O}_2 \end{aligned} $ (2) $ \begin{aligned} & (3-x) / 3 \mathrm{TM}_3 \mathrm{O}_4+x / 2 \mathrm{Li}_2 \mathrm{CO}_3+5 x / 12 \mathrm{O}_2 \rightarrow \\ & \;\;\;\;\;\;\;\;\;\;\;\;\;\;\;\;\;\;\;\;\;\;\;\;\;\;\;\;\;\;\;\;\;\;\;\;\;\;\;\;\mathrm{Li}_x \mathrm{TM}_{1-x} \mathrm{TM}_2 \mathrm{O}_4+x / 2 \mathrm{CO}_2 \end{aligned} $ (3) $ \begin{aligned} & x /(3-2 x) \mathrm{Li}_x \mathrm{TM}_{1-x} \mathrm{TM}_2 \mathrm{O}_4+x / 2 \mathrm{Li}_2 \mathrm{CO}_3+x(1-2 x) /(12-8 x) \mathrm{O}_2 \rightarrow \\ & \;\;\;\;\;\;\;\;\;\;\;\;\;\;\;\;\;\;~~~~\;\;\;\;\;\;\;\;\;\;\;\;\;\;\;\;\;\;\;\;\;x(3-x) /(3-2 x) \mathrm{LiTMO}_2+x / 2 \mathrm{CO}_2 \end{aligned} $ (4) 综上所述,共沉淀法和固相法对应的2种固相反应的反应路径存在显著的差异,高温烧结时,前驱体中的各过渡金属元素会以整体形式与Li发生反应。共沉淀法是最适合规模化生产富锂锰基正极材料的方法,本文将在后续章节中,系统综述以前驱体为原料的反应过程中不同合成条件对物相变化、元素价态变化及最终材料电化学性能的影响。
3. 富锂锰基正极材料高温烧结过程中的影响因素
在富锂锰基正极材料的制备方法中,通过前驱体与锂源高温烧结更有利于实现材料的精准调控。前驱体可实现过渡金属元素在原子尺度上的均匀混合,组分可控、形貌规整的过渡金属氢氧化物二次颗粒有利于后续调控正极材料的物性及电化学性能,而不同种类锂源的反应活性差异会使材料的相变过程呈现出不同特征,进而影响合成产物的晶体结构。此外,反应条件也会对合成材料的相组成、过渡金属价态等造成影响,最终导致其电化学性能的差异。随着研究的深入,明确材料合成过程及机理对性能优化至关重要。因此,本节对合成过程中前驱体及锂源种类、配锂量、烧结气氛和烧结程序等相关文献进行总结,重点介绍合成过程中的相变机理及元素价态变化对材料性能的影响。
3.1 前驱体的影响
富锂锰基正极材料的性能与形貌息息相关,其形貌很大程度上继承于前驱体,因此通过前驱体的形貌、物性的控制来调控富锂锰基正极材料的形貌、物性,对最终获得良好性能的材料是很关键的。前驱体形貌一般为一次颗粒堆积而成的球形或类球形二次颗粒,球形颗粒为密排堆积,这有利于提升振实密度与体积比容量;球形颗粒的几何对称性高,在锂离子脱嵌的体积膨胀/收缩过程中,颗粒所受的内应力和界面应力均匀分布,这可有效抑制颗粒的微裂纹产生和粉化,提升循环稳定性;球形颗粒的比表面积可控且分布均匀,与电解液的接触界面规整,锂离子在颗粒内的扩散路径更短且各向同性,从而避免了无规则粉体的扩散路径杂乱、局部浓差极化严重的问题;球形颗粒的表面能更低,电解液与正极材料的副反应相对较少,这些有利于提高循环寿命和高温稳定性;同时球形颗粒粉体的加工流变性好,可满足连续规模化生产的产业需求。而无规则的块状、针状、花絮状等形貌的前驱体在烧结后正极材料的振实密度低、流动性差、在循环中易粉化,虽然首次比容量和倍率性能可能更好,但无法满足动力电池、消费电子电池的高能量密度、长循环性能要求[65-66]。
根据制备过程中所用沉淀剂的不同,前驱体可分为氢氧化物前驱体、碳酸盐前驱体和草酸盐前驱体。Zhang等[67]对比了不同成分及形貌的前驱体及其烧结产物的形貌(图 2)。结果表明,碳酸盐前驱体呈现表面光滑的微球结构,与锂源烧结后转变为由纳米颗粒堆积而成的多级结构微球;氢氧化物前驱体一次颗粒为清晰的六边形纳米板,烧结后形貌得以继承,但纳米板显著增厚。经过高温烧结后,由氢氧化物前驱体制备的材料放电容量为198.8 mAh·g-1 [68];由碳酸盐前驱体合成的材料则表现出更强的阴离子氧化还原活性(dQ/dV曲线中O2-/O2n-氧化峰强度更高),其结构疏松性同样有利于界面锂离子传输,使其倍率性能优于氢氧化物体系。碳酸盐分解会释放大量的CO2气体,在二次颗粒内部和表面形成丰富的孔隙,导致最终的正极材料呈现出疏松多孔结构,具有较大的比表面积;而氢氧化物前驱体通常更致密、内部孔隙较少,其烧结后的材料具有相对较小的比表面积。富锂锰基材料的电压衰减主要归因于层状结构向尖晶石状结构的不可逆相变,这种相变通常首先发生在材料的表面,然后向体相延伸。具有更大比表面积的正极材料与电解液的接触面积更大,加剧了高电压下的电解液氧化分解以及过渡金属离子的溶解,加速了表面的层状相向尖晶石相的转变,从而会导致更严重的电压衰减[69]。
图 2
图 2. (a) 花状氢氧化物前驱体、(b) 珊瑚状碳酸盐前驱体和(c) 球形前驱体的SEM图像; (d) 花状氢氧化物前驱体、(e) 珊瑚状碳酸盐前驱体和(f) 球形前驱体制备的富锂锰基正极材料的SEM图像[67]Figure 2. SEM images of (a) the flower-like hydroxide precursor, (b) the coral-like carbonate precursor, and (c) the spherical precursor; SEM images of the lithium-rich manganese-based materials synthesized from (d) the flower-like hydroxide precursor, (e) the coral-like carbonate precursor, and (f) the spherical precursor[67]不同前驱体与锂源混合烧结时,其相变路径和动力学行为存在显著差异,这直接影响最终产物相分布的均匀性和微观结构,核心差异体现在中间相的形成与相变能垒上。Wu等[68]通过原位同步辐射衍射技术发现,在高温无Li条件下,氢氧化物与草酸盐前驱体均转变为Fd3m相的TM3O4。然而,氢氧化物前驱体在高温无Li环境中的拓扑相变路径较为缓慢,其向尖晶石相(如Fd3m,TM3O4)转变的能垒较高,导致相变通常在更高温度区间内(> 640 ℃)发生(图 3a)。当其与氢氧化锂(LiOH)混合烧结时,倾向于形成层状嵌锂中间相(如[Mn0.75Ni0.25(OH1-xLiy)2],图 3d),该中间相起到结构缓冲作用,使最终的拓扑转变过程相对平缓。草酸盐前驱体在无Li热分解过程中表现出较低的能量壁垒,在相对较低温度(450~540 ℃)下即可转化为过渡金属氧化物[70](图 3b)。在其与锂源烧结过程中,前驱体脱水形成的Mn0.75Ni0.25C2O4过渡金属氧化物与LiOH直接反应生成含Li过渡金属氧化物LixMn0.75Ni0.25Oy(0 < x < 0.5,图 3e)。碳酸盐前驱体-一水合氢氧化锂(LiOH·H2O)混合物在烧结过程中先发生LiOH·H2O脱水及碳酸盐前驱体分解为尖晶石相TM3O4和TMO2;随后随着温度进一步升高,锂离子扩散至尖晶石相中,生成LixTM1-xTM2O4,最终在高温下形成含Li层状过渡金属氧化物(图 3c)[64]。通过扫描电镜(SEM)和高分辨透射电镜(HRTEM)图像可观察到,由氢氧化物前驱体合成的材料在形貌上继承前驱体特征。从氢氧化物(P3m1)到富锂锰基正极材料(C2/m和R3m),结构发生拓扑转变,但二者的氧原子堆积方式相似,均属于三角和六方晶系,呈六方紧密堆积排列。高温阶段小的一次颗粒消失,晶体开始生长并转化为厚而致密的片状产物[68]。对于草酸盐与碳酸盐前驱体,在低温阶段由于CO2的释放,混合体系变得粉碎且粗糙;当温度进一步升高时,材料的一次颗粒呈现多边形形状[64, 68]。
图 3
综上所述,前驱体的选择是调控富锂锰基正极材料最终结构和性能的关键起点。由氢氧化物前驱体制备富锂锰基正极材料的反应过程平缓,正极材料具有较好的形貌继承性,合成的富锂锰基正极材料比表面积较小,结构稳定;在由草酸盐与碳酸盐前驱体合成富锂锰基正极材料的过程中释放的CO2会导致材料比表面积较大,虽然倍率性能更高,但高比表面积会对材料循环过程中的结构稳定性造成负面的影响。
3.2 不同种类锂源的影响
随着对富锂锰基正极材料研究的深入,越来越多的证据表明其高容量源于富锂相中氧阴离子的氧化还原反应[71-72]。材料的电化学特性主要受限于氧阴离子氧化还原反应的活性,而该过程与材料中类Li2MnO3晶畴的空间分布密切相关[73]。Lee等发现,通过调控C2/m相中Li/TM的分布可在一定程度上提高氧离子氧化还原过程中的结构稳定性和可逆性[74]。研究表明,当Li2MnO3相呈聚集态分布时,其晶格氧会发生显著的过氧化,这不仅导致化学可逆性显著降低,还伴随晶格氧的逸出,进而引发局部晶体结构的坍塌[75]。为调控富锂锰基正极材料中R3m和C2/m相的含量及晶粒尺寸,需对前驱体与锂源在高温烧结过程中的相变行为进行深入研究。
目前,合成富锂锰基正极材料的锂源主要有Li2CO3、LiOH和草酸锂。因其熔点与分解温度不同,分解产生的气体种类及气量各异,会对所合成材料的形貌产生不同影响,最终导致电化学性能的差异。不同锂源(如Li2CO3与LiOH·H2O)在合成过程中诱导了显著不同的反应路径和中间相演化规律。研究人员通过原位高温X射线衍射技术(HT-XRD)对不同锂源与氢氧化物前驱体混合物的反应过程进行表征,发现Li2CO3-氢氧化物前驱体混合物在合成过程中通常经历2个关键阶段:首先前驱体分解形成过渡金属氧化物(如NiMnO3)[76],随后锂盐在较高温度下与过渡金属氧化物反应,逐步经历多种结构转变(如岩盐相Fm3m、C2/m、P3m1等)[77],最终在高温下形成目标层状相。LiOH·H2O-氢氧化物前驱体体系则完全不同,在200 ℃时氢氧化物前驱体与LiOH直接反应形成尖晶石相含Li过渡金属氧化物[76],这与其他报道中富锂锰基正极材料合成过程中出现尖晶石中间相的结果一致[77],且未经历前驱体先分解为过渡金属氧化物再与锂盐反应的路径。Park等[78]和Wang等[79]的研究结果同样支持LiOH在低温下直接与前驱体反应的结论。
Li2MnO3相是富锂锰基正极材料高容量的来源。研究表明,较大尺寸的Li2MnO3在反应过程中存在动力学滞后问题,其氧化还原反应在首圈循环中仅部分被激活,可逆容量较低[23, 80-81]。不同锂源对合成的富锂锰基正极材料中R3m与C2/m相晶畴尺寸存在影响,Choi等[76]通过7Li魔角旋转核磁共振(7Li MAS NMR)谱研究了单一锂源合成材料中C2/m相的差异,发现因锂源活性不同导致的反应路径差异,会使氢氧化物前驱体分解为过渡金属氧化物时破坏过渡金属元素的均匀分布,随后Li和O的持续扩散形成尺寸差异较大的C2/m晶畴。在600 ℃以上,Li2CO3与氢氧化物前驱体合成材料的7Li MAS NMR谱中,过渡金属层中Li对应的尖锐共振峰的演化表明形成了相对较大的Li2MnO3晶畴。相反,由LiOH制备的富锂锰基正极材料的共振峰整体锐度低于由Li2CO3制备的样品,表明其具备更小尺寸的Li2MnO3晶畴(图 4a、4b)。Li等提出采用非共晶锂源体系合成富锂锰基正极材料,以实现材料致密化与晶粒生长的相互制约[64]。通过Rietveld精修和高角度环形暗场扫描透射电子显微镜(HAADF-STEM)对由非共晶锂源(Li2CO3与LiOH物质的量之比为3∶1)合成的样品晶粒尺寸和相分布进行表征,发现在该比例下锂源的熔点因LiOH与Li2CO3的共晶作用而降低,混合物中出现液相锂源,加快了锂离子扩散速率;同时存在的部分固相物质能够钉扎晶界,限制颗粒过度生长。同步辐射XRD图中,该比例锂源合成样品的超晶格峰强度介于由Li2CO3与LiOH单独制备的样品之间(图 4d)。HAADF-STEM图像及对应的线强度分析表明,该样品中Li2MnO3相分布均匀(图 4c),均证明该非共晶体系锂源可有效合成具有小尺寸且Li2MnO3晶畴均匀的富锂锰基正极材料。
图 4
图 4. 不同温度下氢氧化物前驱体与(a) Li2CO3和(b) LiOH反应过程中的非原位7Li MAS NMR谱[76]; (c) 碳酸盐前驱体与Li2CO3、复合锂盐以及LiOH反应制备的富锂锰基正极材料的原子级HAADF-STEM图像和相应的线强度; (d) 三个样品超晶格峰的SXRD图及相应的放大图(插图)[64]Figure 4. Ex-situ 7Li MAS NMR spectra of hydroxide precursors with (a) Li2CO3 and (b) LiOH at different temperatures[76]; (c) Atomic-level HAADF-STEM images and corresponding line intensities of lithium-rich manganese-basedmaterials prepared from carbonate precursors with Li2CO3, composite lithium salts, and LiOH; (d) SXRD patterns of superlattice peaks for the three samples and corresponding enlarged patterns (inset)[64]不同锂源分解产生的气体量不同,导致合成材料的物性及电化学性能出现差异。LiOH、Li2CO3和乙酸锂(LiOAc)在高温反应过程中产生的CO2气体逐渐增加,导致合成的材料在形貌上出现差异:采用LiOH时,合成的富锂锰基正极材料形貌更接近前驱体,二次颗粒由95~175 nm的一次颗粒构成;由Li2CO3合成的材料则为疏松的球形结构,一次颗粒尺寸增大至105~250 nm;LiOAc因分解产气量最大,由其制备的材料一次颗粒尺寸在140~270 nm之间,且二次颗粒不再保持前驱体的球形形态,变为由一次颗粒团聚而成的无规则团聚状(图 5a~5f)[82]。在材料结构与组成方面,XRD结果表明由LiOH制备的富锂锰基正极材料的阳离子有序度更高,且具备更快的锂离子扩散速率。电感耦合等离子体光谱(ICP)与热重-差热分析(TG-DTA)结果结合表明,LiOH与前驱体的放热反应过程较为平缓(图 5g~5i),锂源蒸发量低,所合成材料中Li含量最高,因此其循环性能优于其他2种材料[82]。在电化学性能上,由LiOAc合成的材料前3圈循环伏安曲线在2.9 V处出现区别于其他材料的氧化峰(图 5j~5l),归因于合成过程中Li损失量较大导致的尖晶石相的出现[82-83]。Li等[64]对比了由LiOH、Li2CO3、LiOH-Li2CO3复合锂源制备的材料的电化学性能,可知由复合锂源合成材料的首圈放电容量为273.3 mAh·g-1,库仑效率高达90.4%(Li2CO3:88.6%,LiOH:84.8%)。由LiOH所制备的样品在0.1C倍率下循环100圈后容量保持率为97.97%,0.5C倍率下循环150圈后容量保持率为88.06%,均略高于Li2CO3和复合锂源。此外,在3种锂源合成的富锂锰基正极材料的首圈循环伏安曲线中,LiOH与Li2CO3合成材料的氧化峰与还原峰电位差较小,表明材料的氧化还原可逆程度较高,通过对比循环后的电压降发现,由LiOH制备的富锂锰基正极材料的电压降最小,表明由LiOH合成的正极材料从层状向尖晶石转变的程度更小[83]。
图 5
图 5. 由(a、b) LiOH、(c、d) Li2CO3和(e、f) LiOAc制备的二次颗粒和一次颗粒的SEM图; (g) LiOH、(h) Li2CO3和(i) LiOAc与前驱体混合物的TG-DTA曲线; 由(j) LiOH、(k) Li2CO3和(l) LiOAc制备的富锂锰基正极材料前3圈的循环伏安曲线[82]Figure 5. SEM images of secondary particles prepared from (a, b) LiOH, (c, d) Li2CO3, and (e, f) LiOAc; TG-DTA curves of (g) LiOH, (h) Li2CO3, and (i) LiOAc mixed with the precursor mixture; Cyclic voltammetry curves for the first three cycles of the lithium-rich manganese-based materials prepared from (j) LiOH, (k) Li2CO3, and (l) LiOAc[82]综上所述,不同锂源在合成过程中因锂离子扩散方式、分解产物及产量不同,导致材料形貌及相组成存在差异,进而影响电化学性能。Li2CO3是合成正极材料最常用的锂源,易于保存,适用于工业化生产。LiOH活性较高,可与氢氧化物前驱体在低温下直接反应,随后转变为层状相,由其制备的富锂锰基正极材料循环性能通常更优。但其缺点在于与碳酸盐前驱体合成时,C2/m相尺寸较大,首圈活化效率较低。Li2CO3-LiOH复合锂源在合成过程中可合理调控锂离子扩散速率及路径,有效控制富锂相尺寸并使其分布更加均匀,从而提高材料的首圈库仑效率及循环性能,有利于合成高容量的富锂锰基正极材料。
3.3 Li和过渡金属比例的影响
富锂锰基正极材料电化学性能不稳定的主要原因在于材料内部出现的晶格应变及充放电过程中的表面结构退化。长期循环中,c轴的反复膨胀与收缩导致体相出现裂纹和不可逆相变,颗粒表面O2的释放加剧了表面退化及与电解液之间的副反应。研究表明,适度降低配Li量(引入可控Li缺陷)可诱导材料表层形成非平衡相结构,显著提升界面稳定性。这种亚稳态表面层具有类尖晶石结构特征,这源于过渡金属离子在缺Li条件下的重新排布[84]。该尖晶石相有助于形成稳定的电极/电解质界面,从而有效抑制氧的不可逆释放[13, 30, 85-86]。Hao等[87]通过HAADF图像发现,当Li、TM的物质的量之比为1.26∶0.8时,所得材料为层状相(图 6a);随着缺Li量增加至二者物质的量之比为1.20∶0.8时,HAADF图像中的Li层出现周期性分布的亮斑,表明其表面形成了类尖晶石相(图 6b)。快速傅里叶变换(FFT)分析表明,类尖晶石相与体相层状结构共格生长(图 6e~6g),其[110]晶向和(111)晶面分别平行于层状相的[010]晶向和(001)晶面。当Li、TM的物质的量之比为1.14∶0.8时,所得材料表面出现类尖晶石相与岩盐结构的混合相,Li层和TM层中均检测到额外的亮斑(图 6c);最终在Li、TM的物质的量之比为1.08∶0.8时,表面尖晶石相完全转变为岩盐相,覆盖颗粒所有晶面(图 6d)。该团队通过联用HAADF与电子能量损失谱(EELS),阐释了充电过程中类尖晶石相捕获O2的机制:表层类尖晶石相为双层结构,充电初期最外层过渡金属离子从氧框架的八面体位点迁移至四面体位点,Li层出现亮斑;随后类尖晶石层增厚,更多过渡金属离子嵌入Li层四面体位点,此时产生的八面体空隙成为捕获O2的关键。
图 6
图 6. (a) Li-1.26、(b) Li-1.20、(c) Li-1.14和(d) Li-1.08表面结构的晶体学模型和相应的HAADF图像及通过HAADF图像表面区域的线扫描获得的过渡金属离子柱的强度分布; Li-1.20的(e) 原始HAADF图像及(f) 表面和(g) 体相的FFT图像[87]Figure 6. Crystallographic model of the surface structure, corresponding HAADF images and intensity distribution of the transition metal ion column obtained from line scans across surface regions in the HAADF images of (a) Li-1.26, (b) Li-1.20, (c) Li-1.14, and (d) Li-1.08; (e) Raw HAADF image and FFT images of the (f) surface and (g) bulk regions of Li-1.20[87]此外,缺Li效应不仅作用于材料表面,也深刻影响着体相结构与离子传输行为。Liu等在HAADF图像中发现,降低Li含量时材料体相仍呈现层状结构,但表面Li层中出现暗色点状信号(图 7a)。结合镍离子层内/层间迁移能垒与锂离子相当的事实,推断镍离子占据了Li层中的部分位置,导致Li/Ni混排加剧[88]。在此基础上,研究人员对不同Li/TM比例合成材料的层状相晶格常数进行研究,发现Li含量降低时,Ni2+取代Li+并填充至Li位点,Li层中阳离子间排斥力增大。晶格常数的变化与库仑相互作用及离子半径相关,导致R3m相的晶格参数a和c值增加,晶胞体积膨胀,进而降低了锂离子扩散势垒[89]。除晶格内部变化外,材料中相的尺寸及分布也随Li含量降低而改变。研究表明,LiTMO2相的存在可使Li2MnO3的分布更分散,增强TM-O框架局部的共价性,从而有效限制氧的释放[75, 90]。Wei等发现,在合成前期适当降低Li/TM比例可促进Co掺杂进入Li2MnO3,形成相对分散的Li2MnO3晶畴[91]。通过对Mn和Co的第二配位层进行扩展X射线吸收精细结构拟合分析,发现Co的第二配位数随Li含量的升高而增加(4.18→4.41),表明Co倾向于与Li配位。C2/m相中Co含量与总过渡金属阳离子的比值随Li含量降低而升高,由于所有Li均用于形成LiMn6超晶格结构,因此Co已嵌入到LiMn6超晶格中,形成Li-Co-Mn结构,实现了Li2MnO3的分散。同时,在Li空位周围存在额外空位的情况下,锂离子在空位附近的迁移由四面体位置跳跃路径主导,该路径迁移能垒较低,提高了锂离子的利用率[88, 92]。Zhang等[92]通过密度泛函理论(DFT)模拟发现,当Li缺陷位点最近的过渡金属层中包含4个Ni配位而非1个Ni配位时,其能垒最高值仅为-0.04 eV(图 7b);当扩散Li+附近相邻TM层的局域Ni富集程度更高(即围绕该Li位点的Ni配位数更多)时,Li迁移能垒较低。进一步对氧哑铃扩散(ODH)和四面体位点扩散(TSH)两种路径进行模拟(图 7c、7d)可知:在单Li空位情况下,若被移除的Li空位周围八面体位点仍被Li+占据,则周围Li+向空位的迁移以ODH为主,迁移能垒较高,速率较慢;而当Li空位周围存在额外空位时,邻近Li+的迁移则以TSH为主,能垒较低(图 7e)。
图 7
图 7. (a) 缺锂富锂锰基正极材料的HAADF图像[88]; (b) 富锂锰基正极材料的3种可能结构模型的计算能量对比; (c) 过渡金属层排布方式对Li扩散路径的影响; (d) 锂离子沿ODH与TSH路径迁移的结构模型; (e) 单和双空位对Li迁移能垒的影响[92]Figure 7. (a) HAADF image of lithium-deficient manganese-based cathode material[88]; (b) Comparison of calculated energies for three possible structural models of lithium-rich manganese-based cathode material; (c) Effect of transition metal layer arrangement on lithium diffusion pathways; (d) Structural model of lithium-ion migration along ODH and TSH pathways; (e) Influence of single and double vacancies on Li migration energy barriers[92]不同Li/TM比例合成的富锂锰基正极材料在物性与性能上存在差异。Zhang等[92]通过HRTEM表征发现,具有6%Li缺失的d-LMNO(标准样品为Li1.2Ni0.2Mn0.6O2,记为n-LMNO)形貌趋向多面体,且结晶度更高(图 8a~8d)。恒电流间歇滴定技术测试表明,其锂离子扩散系数在充放电全程(尤其是放电电压大于3.4 V时)更高。在放电末期(约3.3 V),2种材料呈现出不同的演化趋势:n-LMNO的锂离子扩散系数持续下降,而d-LMNO的快速上升。这解释了在1C倍率下循环200圈后,d-LMNO的容量保持率高于n-LMNO的现象,证实了缺陷对锂离子扩散的促进作用。d-LMNO在循环中表现出较小的晶面偏移和(003)晶面峰半峰宽的变化,表明其c轴方向的晶面间距膨胀较小,结构损伤更轻微。Hao等[87]测试了不同Li/TM比例的材料,发现Li-1.2的首圈库仑效率虽低于Li-1.26,但与其他比例材料相比具有更优异的倍率性能。He等[89]对比了合成的Li1.2xNi0.14 Co0.14Mn0.53O2(x=1.0、0.95、0.9和0.85)材料的循环性能发现,x=0.9时对应的材料(LLO-90)在1C倍率下循环200次后容量保持率高达86.48%。前5圈循环伏安曲线显示,LLO-90的CV曲线重合度高,氧化还原峰对称性更强,表明其氧化还原可逆性更佳。
图 8
综上所述,适量降低Li/TM比例可促进富锂锰基正极材料表面形成尖晶石相,从而有效捕获晶格氧转化产生的O2。Li含量的降低可在一定程度上调控Li/Ni混排程度,增大层状相的晶格参数(a和c),降低锂离子扩散能垒,并有利于Co嵌入LiMn6超晶格结构,形成相对分散的Li2MnO3相,从而提高容量释放。同时,当Li空位周围存在其他空位时,Li+的扩散以四面体位点扩散为主,有利于提升材料的倍率性能。
3.4 气氛条件的影响
富锂锰基正极材料因其阴离子的不可逆氧化,始终面临晶格氧释放和过渡金属迁移导致的结构退化问题,严重限制了其实际应用[93-94]。研究表明,材料中过渡金属的价态与晶格氧的释放及结构稳定性相关。在烧结制备过程中,O2分压尤为关键。合成过程的化学反应式(式5~11)表明,氢氧化物前驱体及其分解产物(过渡金属氧化物)在与锂源反应的过程中有O2的参与,过渡金属元素价态升高,生成LixTM1-xTM2O4中间产物(TM1-x代表前期锂扩散不均匀时锂层的过渡金属,TM2代表过渡金属层的过渡金属);随后Li和O进一步扩散,形成LiTMO2相,最终生成Li2MnO3相。因此,O2的参与是合成过程中过渡金属元素价态升高的关键因素[95]。
$ \begin{aligned} & (3-x) / 3 \mathrm{TM}_3 \mathrm{O}_4+x / 2 \mathrm{Li}_2 \mathrm{CO}_3+5 x / 12 \mathrm{O}_2 \rightarrow \\ & \;\;\;\;\;\;\;\;\;\;\;\;\;\;\;\;\;\;\;\;\;\;\;\;\;\;\;\;\;\;\;\;\;\;\;\;\;\;\;\mathrm{Li}_x \mathrm{TM}_{1-x} \mathrm{TM}_2 \mathrm{O}_4+x / 2 \mathrm{CO}_2 \end{aligned} $ (5) $ \begin{aligned} & x /(3-2 x) \mathrm{Li}_x \mathrm{TM}_{1-x} \mathrm{TM}_2 \mathrm{O}_4+x / 2 \mathrm{Li}_2 \mathrm{CO}_3+x(1-2 x) /(12-8 x) \mathrm{O}_2 \rightarrow \\ & \;\;\;\;\;\;\;\;\;\;\;\;\;\;\;\;\;\;\;\;\;\;\;\;\;\;\;\;\;\;\;\;\;\;\;\;\;\;\;\;\;\;x(3-x) /(3-2 x) \mathrm{LiTMO}_2+x / 2 \mathrm{CO}_2 \end{aligned} $ (6) $ \begin{aligned} & (3-x) / 3 \mathrm{TM}_3 \mathrm{O}_4+x \mathrm{LiOH}+5 x / 12 \mathrm{O}_2 \rightarrow \\ & \;\;\;\;\;\;\;\;\;\;\;\;\;\;\;\;\;\;\;\;\;\;\;\;\;\;\;\;\;\;\;\;\;\;\;\;\mathrm{Li}_x \mathrm{TM}_{1-x} \mathrm{TM}_2 \mathrm{O}_4+x / 2 \mathrm{H}_2 \mathrm{O} \end{aligned} $ (7) $ \begin{aligned} & (3-x) \mathrm{TM}(\mathrm{OH})_2+x \mathrm{LiOH}+(2+x) / 4 \mathrm{O}_2 \longrightarrow \\ & \;\;\;\;\;\;\;\;\;\;\;\;\;\;\;\;\;\;\;\;\;\;\;\;\;\;\;\;\;\;\;\;\;\mathrm{Li}_x \mathrm{TM}_{1-x} \mathrm{TM}_2 \mathrm{O}_4+(6-x) / 2 \mathrm{H}_2 \end{aligned} $ (8) $ \begin{aligned} & (3-x) \mathrm{TM}(\mathrm{OH})_2+x / 2 \mathrm{Li}_2 \mathrm{CO}_3+(2+x) / 4 \mathrm{O}_2 \rightarrow \\ & \;\;\;\;\;\;\;\;\;\;\;\;\;\;\;\;\;\;\mathrm{Li}_x \mathrm{TM}_{1-x} \mathrm{TM}_2 \mathrm{O}_4+(3-x) \mathrm{H}_2 \mathrm{O}+x / 2 \mathrm{CO}_2 \end{aligned} $ (9) $ \begin{aligned} & x /(3-2 x) \mathrm{Li}_x \mathrm{TM}_{1-x} \mathrm{TM}_2 \mathrm{O}_4+x \mathrm{LiOH}+x(1-2 x) /(12-8 x) \mathrm{O}_2 \rightarrow \\ & \;\;\;\;\;\;\;\;\;\;\;\;\;\;\;\;\;\;\;\;\;\;\;\;\;\;\;\;\;\;\;\;\;\;\;\;\;\;x(3-x) /(3-2 x) \mathrm{LiTMO}_2+x / 2 \mathrm{H}_2 \mathrm{O} \end{aligned} $ (10) $ \begin{aligned} \mathrm{LiTMO}_2+1 / 2 \mathrm{Li}_2 \mathrm{CO}_3+1 / 4 & \mathrm{O}_2 \longrightarrow \\ & \mathrm{Li}_2 \mathrm{MnO}_3+1 / 2 \mathrm{CO}_2 \end{aligned} $ (11) 烧结气氛调控是影响富锂锰基正极材料结构与性能的关键策略,其核心在于优化过渡金属价态、抑制相畴聚集并缓解离子混排与晶格应力。研究发现,在无Co的富锂锰基正极材料中,Li2MnO3相分散性较差,严重限制了其容量发挥[96]。大尺寸Li2MnO3畴需在小电流密度(< 25 mA·g-1)和高截止电压(> 4.5 V)下才能充分活化,但缓慢的活化过程会缩短电池寿命[97-98]。Wen等[99]发现,在低氧分压气氛下烧结可诱导生成可控量的Mn3+,该Mn3+能嵌入过渡金属层,形成LiMn5ⅣMnⅢ,从而有效分散Li2MnO3晶畴,抑制其大面积聚集;XPS分析证实,低氧分压合成的样品的近表层Mn3+含量显著高于高氧分压样品(图 9a、9i)。研究表明,TM层厚度由TM—O键长和O—TM—O键角决定,而Li层厚度则受相邻TM层间静电排斥作用影响[100]。尽管高自旋Mn3+存在较强的Jahn-Teller畸变,但通过XRD与飞行时间中子衍射的联合精修分析(图 9d~9g)发现,适量的Mn3+并未引发层状→尖晶石/正交相变,反而使平均TM—O键缩短,平均O—TM—O键角减小,从而压缩TM层并扩展Li层。Mn3+加剧了Li/Ni混排,但该效应对Li层扩展的贡献弱于Jahn-Teller主导的晶格畸变,最终优化了锂离子传输通道(图 9h),有利于提高锂离子扩散速率[99, 101]。在2种材料的首圈充放电曲线中,低氧分压合成样品LLO-V在4.5 V以上的平台长度大于高氧分压合成样品LLO-A,表明其Li2MnO3组分活化更充分,电化学性能显著更优[99]。此外,较大的晶格参数(c)和较低的Li+/Ni2+混排有利于锂离子扩散[102]。当采用O2作为烧结气氛时,材料中Ni3+含量提高(图 9b、9c),Li+/Ni2+混排程度降低[103]。Ni3+半径较小,占据TM层位点可抑制Li+/Ni2+的混排,同时,由Ni3+形成的键更短、更强,导致TM层厚度减小,Li层厚度增加,从而拓宽了锂离子扩散通道[104]。LNCMA-O2(O2中合成的样品)充电态电极的XRD图显示,(003)晶面峰偏移量更低,表明其充放电过程中相变程度更低。Li脱出时,氧化态过渡金属离子半径的收缩会导致晶格参数(a)的减小[105],而LNCMA-O2晶胞体积的低收缩率较低,说明O2气氛中合成的样品晶体结构更稳定[103]。
图 9
图 9. (a) LLO-V和LLO-A的Mn2p XPS谱图[99]; 在O2与空气中合成样品的(b) 全谱图及(c) Ni2p3/2 XPS谱图[103]; (d) LLO-A和(f) LLO-V的X射线与中子衍射联合精修XRD图; (e) LLO-A和(g) LLO-V的飞行时间中子衍射(TOF-ND)图; (h) LLO-A(左)与LLO-V(右)的Li层和过渡金属层厚度对比; (i) LLO-V的局部结构及原子分布示意图[99]Figure 9. (a) XPS Mn2p spectra of LLO-V and LLO-A[99]; (b) Survey and (c) Ni2p3/2 XPS spectra of samples synthesized oxygen and air[103]; Combined X-ray and neutron Rietveld refinement XRD patterns of (d) LLO-A and (f) LLO-V; Time-of-flight neutron diffraction (TOF-ND) spectrum of (e) LLO-A and (g) LLO-V; (h) Comparison of Li layer and transition metal layer thicknesses between LLO-A (left) and LLO-V (right); (i) Schematic of local structure and atomic distribution of LLO-V[99]综上所述,O2作为反应气体全程参与富锂锰基正极材料的烧结过程,对材料成相和性能发挥具有重要影响。通过调控烧结气氛,可有效调节材料中过渡金属元素的价态,进而实现对Li2MnO3相尺寸和含量的控制。低氧分压可降低Mn的价态,分散Li2MnO3晶畴,提高首圈活化程度;高氧分压则使过渡金属平均价态升高,阳离子混排程度降低,过渡金属与O相互作用增强,锂离子扩散通道拓宽,从而提升倍率性能。
3.5 烧结制度的影响
目前,富锂锰基正极材料仍面临晶格氧不可逆释放、过渡金属迁移导致的结构退化等问题,其根源与合成过程中晶体结构的本征缺陷及微观应变密切相关。高温烧结是制备富锂锰基正极材料的关键环节,但传统研究对如何通过调控反应动力学与热力学路径来影响材料晶体结构、相界面演化及电化学性能的关注相对不足,相关规律尚缺乏系统性认识。
3.5.1 一段式高温烧结
烧结温度与时间是调控富锂锰基正极材料结晶度、阳离子有序性及最终相组成的关键工艺参数,其核心在于平衡层状结构的有序生长与抑制有害的Li+/Ni2+混排。研究表明,高温烧结(通常不低于700 ℃)是诱导富锂锰基正极材料形成有序层状结构(如C2/m或R3m)的必要条件[106],因此直接采用一段式高温烧结是最简单的烧结程序。烧结过程中存在一个最优温度窗口,过高或过低的温度均会加剧Li+/Ni2+混排[107-108]。高温下离子扩散加快,过渡金属离子易迁移至Li层,同时Li+占据TM层位点。XRD表征表明,在特定烧结温度下Li+/Ni2+混排程度最低[107]。HAADF-STEM图像显示,偏离最优温度时,理想的周期性TM柱排列遭到破坏(图 10)[108]。此外,通过对比循环前后的中值电压发现,适当提高烧结温度不仅能提升其中值电压,还可减少循环过程中的电压衰减[108]。因此,在合适温度下合成的材料结构更有序,表现出更高的首圈放电容量、更优的循环性能与倍率性能[107, 109]。此外,在一定范围内延长烧结时间可在次优温度下改善结晶度,但同样会驱动阳离子的热扩散,可能导致混排加剧。特定时间下适度的Li+/Ni2+混排可能诱导尖晶石相成核,构建层状-尖晶石异质结构。这种结构在材料内部形成更宽的三维锂离子扩散通道,从而显著提升材料在高倍率下的性能[33]。
图 10
图 10. 烧结温度为(a) 800 ℃、(b) 1 000 ℃和(c) 1 100 ℃下制备的Li[Li0.2Ni0.18Co0.03Mn0.58]O2的HAADF-STEM图像; (d) 与实验观测相匹配的晶体结构示意图; a~c中(e~g) 红色虚线框(沿c轴方向)和(h~j) 蓝色虚线框(沿b轴方向)区域的强度分布曲线[108]Figure 10. STEM-HAADF images of Li[Li0.2Ni0.18Co0.03Mn0.58]O2 at different calcination temperatures of (a) 800 ℃, (b) 1 000 ℃, and (c) 1 100 ℃; (d) Schematic diagram of crystal structure matching the experimentally observed; Intensity distribution curves for the regions outlined by (e-g) the red dashed boxes (along the c-axis) and (h-j) the blue dashed boxes (along the b-axis) in a-c[108]In e-j,“T”and“L”denote regions of high probability distribution for transition metals (Mn/Co/Ni) and Li+ ions, respectively.
3.5.2 低温段与高温烧结段结合的多段烧结
尽管一段式高温烧结工艺简单,但其对合成过程中的相变及Li+扩散速率的调控能力较为有限,尤其难以有效抑制杂质残留与局部副反应的发生。为此,在实际制备中更常采用低温烧结段与高温烧结段相结合的多段烧结策略(图 11a)。低温烧结段能有效去除反应过程中的杂质(如H、O元素),减少高温合成中的副反应。Zhang等[95]发现,氢氧化物前驱体与LiOH混合烧结时,前驱体分解为TM3O4并与LiOH反应,副产物为H2O和少量的H2,这导致形成了局部还原氛围,可能导致元素价态降低。低温烧结段还可促进部分锂盐熔融,进而提高锂离子扩散速率,优化材料物性。Zheng等[110]在利用碳酸盐前驱体和Li2CO3合成富锂锰基正极材料时,在Li2CO3熔点(719 ℃)附近增加恒温段(即预处理),使得Li2CO3能够处于熔融状态,促进了锂离子的扩散。SEM图像表明,较低温度下提供的更温和的固相反应条件有利于锂盐与前驱体的充分接触,有助于形成形状更规则的一次颗粒。同时,预处理样品的锂离子扩散通道更宽,阳离子混排程度更低,表现出更优的倍率性能。Yu等[111]研究了低温烧结后高温烧结温度的影响,发现其结构效应与一段式高温烧结相似。在500 ℃烧结4 h后分别在800、850和900 ℃下烧结12 h,通过表征发现850与900 ℃下所制备样品中阳离子混排程度更低,结晶度更高,而850 ℃下制备样品的锂离子扩散通道更宽,对比200圈循环前后的中值电压发现,850 ℃下制备的材料电压衰减较小,结构稳定性较高。烧结温度能够调控晶粒生长动力学与相变行为,是富锂锰基正极材料致密化过程与界面稳定性的决定性因素[64]。当高温烧结温度较低时,材料致密度不足,表面呈现多孔疏松结构,一次颗粒边界明显。这种微观缺陷增大了电极/电解质的接触面积,加剧了界面副反应。随着温度升高,晶粒生长驱动力增强,颗粒融合与致密化加速,形成均匀的微观结构。但当温度超过临界值时,晶粒异常长大,这可能导致闭孔形成或晶界迁移受阻,反而降低有效密度[111](图 11b~11g)。此外,烧结温度与材料结晶完整性及表面重构行为密切相关。低温烧结样品因结晶度不足,在电化学活化过程中易发生局部结构畸变,诱发层状相向尖晶石相的不可逆转变(图 11h)。该相变虽可提供额外的锂离子迁移通道,但伴随持续的氧损失与过渡金属溶解,导致循环容量衰减加快。而在高温区间(900~950 ℃)烧结的样品,高结晶度抑制了表面缺陷的形成,促进了生成均匀的非晶态阻隔层。该层能有效隔绝电解质侵蚀,维持体相结构稳定性,表现为循环后电荷转移阻抗几乎无增长及容量保持率的显著提升[112](图 11i)。
图 11
图 11. (a) 预烧结与高温烧结结合的多段烧结示意图; 高温烧结温度为(b、e) 800 ℃、(c、f) 850 ℃和(d、g) 900 ℃时材料的SEM图像[111]; (h) 不同温度下合成的样品首圈循环后的XRD图; (i) 不同温度下合成的样品首圈循环前后的EIS[112]Figure 11. (a) Schematic diagram of multi-stage sintering combined with pre-sintering and high temperature sintering; SEM images of the material at high-temperature sintering temperatures of (b, e) 800 ℃, (c, f) 850 ℃, and (d, g) 900 ℃[111]; (h) XRD patterns of the synthesized samples after the first cycle at different temperatures; (i) EIS of the synthesized samples before and after the first cycle at different temperatures[112]3.5.3 高温烧结与退火处理结合的多段烧结
为了进一步调控材料的最终相组成、释放内应力并优化表面状态,在高温烧结段后增设低温退火处理是优化烧结的另一重要工艺手段。在经高温主烧结段后增加一个低温保温过程(退火处理),可使材料缓慢冷却,从而减少颗粒内部的内应力、细化晶粒、调整结构并改善性能(图 12a)。如前文关于Li配比的介绍所述,阳离子混排与尖晶石相的出现对富锂锰基正极材料性能有重要影响。除控制Li配比外,研究人员在探索烧结条件时发现,通过调控烧结温度与时间同样可在材料中构建尖晶石相以提升性能。Deng等在烧结溶剂热法获得混合前驱体过程中发现,随着烧结时间的延长,富锂锰基正极材料中出现的更高含量的尖晶石相使得锂离子扩散通道变宽,锂离子扩散速率明显提升[33]。Yu等则采用溶剂热和离子融合方法制备了层状-尖晶石封端的纳米管组装的三维富锂分层结构[113]。在常规高温烧结后,可以对材料进行退火处理。Bao等[13]指出,退火过程会增加材料中Li的挥发,同时退火提供的热激活能促使层状结构(R3m)向尖晶石结构(Fd3m)转变。缓慢冷却延长了原子重排时间,使富Co区域通过Co3+和Mn3+/Mn4+的协同重排作用形成稳定的尖晶石相。通过对比退火材料与非退火材料循环前后的中值电压发现,非退火材料的电压衰减量明显高于其他退火材料的电压衰减量,表明退火可使得富锂锰基正极材料的结构更加稳定。计算表明,经过低温恒温处理的材料具有更高的锂离子扩散系数和更好的循环性能。
图 12
以往研究中,氧空位通常被认为是富锂锰基正极材料在充放电过程中晶格氧不可逆释放产生的,与阳离子混排、晶胞体积急剧收缩等因素密切相关[114]。近期研究发现,本征氧空位能抑制结构降解,影响局部Mn的配位环境,降低可逆氧氧化还原过程中O2p能带的态密度,并显著抑制电压衰减[15, 115-116]。氧空位可通过在惰性或真空气氛下进行高温退火产生,该过程可在不引起体相转变的前提下去除部分晶格氧[117-119]。Wang等发现,通过超长中温退火结合Li补偿的方法,可促使表面氧原子流失,在抑制表面尖晶石相形成的同时,构建富含表面活性氧空位的层状结构[120]。利用原位表面增强拉曼光谱(SERS)对材料在首次充放电循环中的行为进行分析发现,退火材料(LRH-114)中对应于层状相(R3m空间群)TM—O伸缩振动和O—TM—O弯曲振动的峰在充放电过程中保持高度对称性,显示出优异的结构可逆性(图 12b、12c)。Majid团队[121]研究了退火温度的影响,发现随着退火温度的升高,材料中层状结构(R3m相)比例显著增加,同时Li+/Ni2+阳离子混排减少(Li层中Li+占据率提高),表明高温退火优化了氧空位分布,抑制了Li2MnO3(C2/m相)的生成。
3.5.4 含慢速升降温过程的烧结
目前常用的烧结程序为低温烧结结合高温烧结的两段式恒温烧结,这种常规烧结程序在较长时间内保持恒定高温,以促进过渡金属氧化物与锂盐的反应[122-123]。恒定高温使锂盐处于熔融状态,有利于锂盐与过渡金属氧化物充分接触[124]。然而,高温下过量的熔融Li易加剧Li+/Ni2+混排。此外,长时间高温烧结容易导致TM—O键断裂,诱发过量氧空位生成,这对层状结构的稳定性构成威胁[125]。为此,研究人员提出了特殊的非恒温烧结程序,以进一步调控材料结构。Zhang等[125]采用摆式非等温烧结程序(SNS)制备了富锂锰基正极材料:将前驱体与C2H3O2Li·2H2O混合物以5 ℃·min-1升温至700 ℃,再以0.5、0.25、0.125和0.062 5 ℃·min-1的速率升温至900 ℃,随后以相同速率降温至700 ℃,最后以5 ℃·min-1冷却至室温。其中,采用0.125 ℃·min-1升温速率的样品性能最优(图 13a)。对比SNS与恒温烧结(CTS)样品发现,SNS样品结构更有序,锂离子扩散通道畅通性显著改善。电子顺磁共振(ESR)与拉曼光谱测试表明,SNS样品中氧空位浓度更低;X射线吸收光谱(XAS)与电子能量损失谱(图 13b)结果则显示,低氧空位浓度抑制了具有Jahn-Teller活性的Mn3+生成。在0.1C倍率下,SNS样品的初始放电容量达到287.6 mAh·g-1,容量的提升主要源于氧空位的减少导致形成了更有序的结构,从而改善了锂离子扩散动力学性能。同时,SNS样品在高温下仍表现出优异的结构稳定性,这主要归因于表面区域氧空位的减少有效稳定了电极-电解液界面,对比不同圈数下的放电曲线发现,SNS样品的电压衰减明显低于CTS样品,表明非恒温烧结可提高材料的结构稳定性。
图 13
图 13. (a) SNS与CTS的示意图; (b) 体相区域的MnL边电子能量损失谱(EELS)[125]; (c) 常规烧结程序示意图; (d) 三段式烧结程序示意图; (e) 常规烧结和(f) 三段式烧结样品在1C下循环100圈后的HRTEM图像及FFT图案[126]Figure 13. (a) Schematic diagram of SNS and CTS; (b) Electron energy loss spectra (EELS) of the MnL-edge corresponding to the bulk region[125]; (c) Conventional sintering program at the high-temperature segment; (d) Three-stage sintering program; HRTEM images and FFT patterns of the samples prepared with (e) conventional sintering and (f) three-stage sintering after 100 cycles at 1C[126]Zheng等[126]考虑到Li2CO3熔点约为718 ℃,当Li+从固-固扩散转变为固-液扩散时,高温熔融锂盐渗入材料中间层会冲击过渡金属骨架,加剧阳离子混排。因此,他们在低温烧结段结合高温烧结段的基础上,于高温段引入慢速升降温,设计了三段式烧结程序:将Li2CO3与前驱体混合物以5 ℃·min-1升温至450 ℃,保温6 h;随后以5 ℃·min-1分别升温至725、750、775、800、825和850 ℃,再以0.5 ℃·min-1升温至850 ℃,恒温一定时间后以0.5 ℃·min-1分别降温至725、750、775、800、825和850 ℃,最后以5 ℃·min-1冷却至室温(图 13c、13d)。三段式烧结制备的材料中Mn3+与Mn4+含量比低于传统烧结材料,表明其具有更稳定的TM—O键和更少的氧空位。同时,该材料的锂离子通道更宽,阳离子混排程度更低,这得益于合成过程中缓慢升温使锂离子更温和地扩散进入材料,有效提高了结构有序度,因此循环后容量保持率更高。对比烧结温度为800和850 ℃(传统烧结)的样品循环后的HRTEM图像发现,烧结温度为850 ℃时正极表面出现明显的无序岩盐相结构(图 13e),这与层状结构严重相变(层状→尖晶石→岩盐相)及电解液侵蚀密切相关。此外,该正极近表面区域存在大量尖晶石相并夹杂无序结构,表明循环过程中近表面层状结构发生了剧烈相变。相比之下,烧结温度为800 ℃时正极在同等循环条件下表面结构更为规则有序:电极材料表面未出现岩盐相,仅少量层状结构转变为尖晶石相,表明该烧结方法能有效优化材料表面结构,提升循环性能(图 13f)。
综上所述,目前通过高温固相法制备富锂锰基正极材料常用的烧结程序主要有4种:(1) 一段式高温烧结最为简单,但对合成过程中的相变及锂离子扩散速率控制较差;(2) 低温烧结段结合高温烧结段是目前最常用的烧结制度,可去除杂质元素并调节锂离子扩散进入TM层的速率;(3) 在主烧段后增加低温保温,通过缓慢冷却延长原子重排时间,在材料中构建适量尖晶石相以拓宽锂离子扩散通道,此外在惰性气氛中退火可抑制表面尖晶石相形成,同时构建富含表面活性氧空位的层状结构,减少表面副反应,提高结构稳定性;(4) 含慢速升降温过程的烧结能有效降低材料中氧空位含量,并通过减缓相变过程中的锂离子扩散速率来提高阳离子有序度,减少阳离子混排,从而改善材料的循环与倍率性能。
4. 总结与展望
在富锂锰基正极材料合成过程中,明确不同前驱体及锂源在反应路径上的差异是提升材料性能的基础。通过对合成条件的精准调控,可从晶粒尺寸、相含量与分布、氧空位等角度优化材料的结构与性能。选择合适的锂源并调节烧结氧分压,可构建尺寸较小、分布均匀的富锂相,有利于Li2MnO3相的活化;适当降低Li/TM比例或在高温烧结后进行退火处理,可在材料中引入尖晶石相与适量氧空位,抑制阴离子的不可逆氧化还原,提高首圈库仑效率,同时形成更有利于Li+扩散的通道,改善倍率性能;调控高温烧结的温度、时间及升降温速率,可实现材料缺陷含量的可控调节,增强结构稳定性。此外,单一条件的优化可能对材料性能的提升存在局限性,需深入理解材料合成过程中的生长机理、微观结构演变、烧结工艺与性能之间的关联,通过对多个合成条件进行联合调控,更有利于开发高能量密度的富锂锰基正极材料。
尽管目前对富锂锰基正极材料的烧结机制与工艺已取得显著进展,但其商业化应用仍面临诸多挑战,尤其在烧结机理与动力学方面仍需深入研究。未来工作应侧重以下几个方面:进一步揭示烧结过程中的相变、晶粒生长与Li挥发的动力学机制,明确烧结条件(温度、时间、气氛)对最终产物的晶体结构、氧空位分布及电化学性能的影响;系统研究烧结过程中Li扩散动力学与过渡金属迁移行为,建立工艺参数与材料结构稳定性、容量保持率之间的定量关联,为优化烧结工艺提供理论依据。通过多种制备条件的集成调控优化结构,如通过选择合适的锂源并调控烧结气氛来构建尺寸较小、分布均匀的富锂相,促进Li2MnO3相的活化;通过调节Li/TM比例和结合退火处理在材料表面构建尖晶石或缺陷,抑制阴离子不可逆氧化还原。在改进烧结技术方面,需开发低成本、高效率的烧结策略,如低温烧结、微波烧结等新型技术,在保证材料高能量密度和结构稳定性的同时,降低能耗与时间成本;开发“复合锂源+多段烧结+动态气氛调控”一体化工艺,通过锂源的互补作用与分段温区设计,实现对晶粒尺寸、相组成及氧空位的精确调控;结合低温预处理与高温短时烧结,在抑制锂挥发的同时促进均相反应,平衡材料结晶度与锂计量比。特别地,针对富锂单晶材料的烧结,需重点解决晶粒生长调控、晶界抑制以及锂计量平衡等关键问题,避免多晶材料常见的晶界副反应和Li损失。通过深化对烧结过程中基础科学问题的理解,并推动烧结技术的创新与集成,基于目前对单一条件变化的研究明确未来的研究方向更侧重于多种条件的集成调控,结合先进的原位表征技术建立工艺-结构-工况-性能模型,利用微观变化规律来指导优化性能。富锂锰基正极材料有望在实现高性能、低成本规模化生产的道路上取得突破。
-
-
[1]
LIU W, OH P, LIU X E, LEE M J, CHO W, CHAE S, KIM Y, CHO J. Nickel-rich layered lithium transition-metal oxide for high-energy lithium-ion batteries[J]. Angew. Chem. ‒Int. Edit., 2015, 54(15): 4440-4457 doi: 10.1002/anie.201409262
-
[2]
ELLIS B L, LEE K T, NAZAR L F. Positive electrode materials for Li-ion and Li-batteries [J]. Chem. Mater., 2010, 22(3): 691-714 doi: 10.1021/cm902696j
-
[3]
WANG D, LIU W H, ZHANG X H, HUANG Y, XU M B, XIAO W. Review of modified nickel-cobalt lithium aluminate cathode materials for lithium-ion batteries[J]. Int. J. Photoenergy, 2019, 2019: 1-13
-
[4]
LIN Y, LI Y, TANG M L, ZHAN L L, ZHAI Y X, CHEN W M, ZHOU M X, JI Y N, WANG P K. A review of high-capacity lithium-rich manganese-based cathode materials for a new generation of lithium batteries[J]. Inorg. Chim. Acta, 2024, 572: 122239 doi: 10.1016/j.ica.2024.122239
-
[5]
THACKERAY M M, JOHNSON C S, VAUGHEY J T, HA E I, HACKNEY S A. Advances in manganese-oxide 'composite' electrodes for lithium-ion batteries[J]. J. Mater. Chem., 2005, 15(23): 2257 doi: 10.1039/b417616m
-
[6]
RANA J, STAN M, KLOEPSCH R, LI J, SCHUMACHER G, WELTER E, ZIZAK I, BANHART J, WINTER M. Structural changes in Li2MnO3 cathode material for Li-ion batteries[J]. Adv. Energy Mater., 2014, 4(5): 1300998 doi: 10.1002/aenm.201300998
-
[7]
WANG Z, LU H Q, YIN Y P, SUN X Y, BAI X T, SHEN X L, ZHUANG W D, LU S G. FePO4-coated Li[Li0.2Ni0.13Co0.13Mn0.54]O2 with improved cycling performance as cathode material for Li-ion batteries[J]. Rare Met., 2017, 36(11): 899-904 doi: 10.1007/s12598-015-0647-6
-
[8]
YABUUCHI N, TAKEUCHI M, NAKAYAMA M, SHIIBA H, OGAWA M, NAKAYAMA K, OHTA T, ENDO D, OZAKI T, INAMASU T, SATO K, KOMABA S. High-capacity electrode materials for rechargeable lithium batteries: Li3NbO4-based system with cation-disordered rocksalt structure[J]. Proc. Natl. Acad. Sci. U. S. A., 2015, 112(25): 7650-7655 doi: 10.1073/pnas.1504901112
-
[9]
HE H C, LI H, BAI X T, CHANG Z H, GAO Z X, ZHANG X J, REN Z M. Comparative study of high-temperature cycling and thermal stability of LLOs and NCMs under medium-high voltage[J]. Energy Fuels, 2023, 37(9): 6854-6864 doi: 10.1021/acs.energyfuels.3c00845
-
[10]
THACKERAY M M, KANG S H, JOHNSON C S, VAUGHEY J T, HACKNEY S A. Comments on the structural complexity of lithium-rich Li1+xM1-xO2 electrodes (M=Mn, Ni, Co) for lithium batteries[J]. Electrochem. Commun., 2006, 8(9): 1531-1538 doi: 10.1016/j.elecom.2006.06.030
-
[11]
GAO K K, SUN C W, WANG Z L. Recent advances in high‑ performance lithium-rich manganese-based materials for solid-state lithium batteries[J]. Mater. Chem. Front., 2024, 8(19): 3082-3105 doi: 10.1039/D4QM00513A
-
[12]
GAUTHIER M, CARNEY T J, GRIMAUD A, GIORDANO L, POUR N, CHANG H H, FENNING D P, LUX S F, PASCHOS O, BAUER C, MAGLIA F, LUPART S, LAMP P, YANG S H. Electrode‑ electrolyte interface in Li-ion batteries: Current understanding and new insights[J]. J. Phys. Chem. Lett., 2015, 6(22): 4653-4672 doi: 10.1021/acs.jpclett.5b01727
-
[13]
BAO Y B, WANG J, QIAN Y X, DENG Y F, YANG X F, CHEN G H. An appropriate amount of new spinel phase induced by control synthesis for the improvement of electrochemical performance of Li-rich layered oxide cathode material[J]. Electrochim. Acta, 2020, 330: 135240 doi: 10.1016/j.electacta.2019.135240
-
[14]
WANG B, CUI J, LI Z J, WANG H, ZHANG D, WANG Q J, SUN H L, WU Y A. Review on comprehending and enhancing the initial Coulombic efficiency of Li-rich Mn-based cathode materials in lithium-ion batteries[J]. Mater. Chem. Front, 2023, 7(13): 2570-2594 doi: 10.1039/D3QM00064H
-
[15]
LI Q Y, NING D, ZHOU D, AN K, WONG D, ZHANG L J, CHEN Z H, SCHUCK G, SCHULZ C, XU Z J, SCHUMACHER G, LIU X F. The effect of oxygen vacancy and spinel phase integration on both anionic and cationic redox in Li-rich cathode materials[J]. J. Mater. Chem. A, 2020, 8(16): 7733-7745 doi: 10.1039/D0TA02517H
-
[16]
李钊, 王忠, 班丽卿, 王建涛, 卢世刚. 富锂锰基正极材料的表面改性研究进展[J]. 化学学报, 2019, 77(11): 1115-1128.LI Z, WANG Z, BAN L P, WANG J T, LU S G. Recent advances on surface modification of Li-and Mn-rich cathode materials[J]. Acta Chim. Sin., 2019, 77(11): 1115
-
[17]
ZHANG J C, ZHANG Q H, WONG D, ZHANG N A, REN G X, GU L, SCHULZ C, HE L H, YU Y, LIU X F. Addressing voltage decay in Li-rich cathodes by broadening the gap between metallic and anionic bands[J]. Nat. Commun., 2021, 12(1): 3071 doi: 10.1038/s41467-021-23365-9
-
[18]
YAN P F, ZHENG J M, CHEN T W, LUO L L, JIANG Y Y, WANG K, SUI M L, ZHANG J G, ZHANG S L, WANG C M. Coupling of electrochemically triggered thermal and mechanical effects to aggravate failure in a layered cathode[J]. Nat. Commun., 2018, 9(1): 2437 doi: 10.1038/s41467-018-04862-w
-
[19]
YAN P F, NIE A M, ZHENG J M, ZHOU Y G, LU D P, ZHANG X F, XU R, BELHAROUAK I, ZU X T, XIAO J, AMINE K, LIU J, GAO F, REZA S Y, ZHANG J G, WANG C M. Evolution of lattice structure and chemical composition of the surface reconstruction layer in Li1.2Ni0.2Mn0.6O2 cathode material for lithium ion batteries[J]. Nano Lett., 2015, 15(1): 514-522 doi: 10.1021/nl5038598
-
[20]
REN Z M, LI G H, BAI X T, HU W, LI X Y, HE H C, CHANG Z H, LIU Y, WANG Z Y, LIANG Z S, GUO L H, GAO Z X, WANG J T. A novel boron-doping approach for long-term cycling life of Li-rich layered cathode[J]. Electrochim. Acta, 2023, 461: 142630 doi: 10.1016/j.electacta.2023.142630
-
[21]
JIN Y L, XU Y L, REN F, REN P G. Mg-doped Li1.133Ni0.2 Co0.2Mn0.467O2 in Li site as high-performance cathode material for Li-ion batteries[J]. Solid State Ion., 2019, 336: 87-94 doi: 10.1016/j.ssi.2019.03.020
-
[22]
SHI Z J, WANG X, FENG W J, SONG C K, CHEN L J, LI M M. The effect on the properties of each element in the Li1.2Mn0.54Ni0.13Co0.13O2 material by the incorporation of Al[J]. Ionics, 2020, 26(12): 5951-5959 doi: 10.1007/s11581-020-03520-w
-
[23]
ZHANG P P, ZHAI X H, HUANG H, ZHOU J F, LI X B, HE Y P, GUO Z C. Suppression of structural phase transformation of Li-rich Mn-based layered cathode materials with Na ion substitution strategy[J]. Electrochim. Acta, 2020, 349: 136402 doi: 10.1016/j.electacta.2020.136402
-
[24]
HE W, YUAN D D, QIAN J F, AI X P, YANG H X, CAO Y L. Enhanced high-rate capability and cycling stability of Na-stabilized layered Li1.2[Co0.13Ni0.13Mn0.54]O2 cathode material[J]. J. Mater. Chem. A, 2013, 1(37): 11397 doi: 10.1039/c3ta12296d
-
[25]
LI T, XIA X Y, LIU J, LIU Z X, HU S, ZHANG L F, ZHENG Y W, WANG Z K, CHEN H L, PENG M J, QIAN T, YAN C L. Suppressing surface lattice oxygen evolution by fluorinated graphene-scaffolded lithium-rich manganese-based cathode for enhanced stability[J]. Energy Storage Mater., 2022, 49: 555-563 doi: 10.1016/j.ensm.2022.05.002
-
[26]
YU H N, XUE Z C, XUE Z Y, LUO Z Y, DING C X, HU G R, PENG Z D, CAO Y B, DU K. Inhibition of oxygen release and stabilization of the bulk structure of lithium-rich layered oxides by strong Mo—O covalent binding[J]. J. Mater. Chem. A, 2024, 12(1): 267-276 doi: 10.1039/D3TA05649J
-
[27]
AMZIL S, ZHANG Y, QIU T P, JIANG F, RAO H, FANG Z B, HUANG J J. {010} oriented Li1.2Mn0.54Co0.13Ni0.13O2@C nanoplate with high initial columbic efficiency[J]. J. Power Sources, 2021, 486: 229372 doi: 10.1016/j.jpowsour.2020.229372
-
[28]
李钊, 王忠, 李强, 班丽卿, 庄卫东, 卢世刚. 一种碳纳米管改性富锂锰基正极材料的策略[J]. 无机化学学报, 2019, 35(9): 1561-1569. doi: 10.11862/CJIC.2019.192LI Z, WANG Z, LI Q, BAN L Q, ZHUANG W D, LU S G. A strategy for carbon nanotubes modified lithium-manganese-rich cathode material[J]. Chinese J. Inorg. Chem., 2019, 35(9): 1561-1569 doi: 10.11862/CJIC.2019.192
-
[29]
LI Z, LI Q, ZHANG A B, WEN W, WANG L, WANG Z Y, WANG J T, LU S G, LI X, WANG Z. Tuning surface conductivity and stability for high-performance Li-and Mn-rich cathode materials[J]. New J. Chem., 2019, 43(47): 18943-18950 doi: 10.1039/C9NJ04531G
-
[30]
CHEN S, ZHENG Y, LU Y, SU Y F, BAO L Y, LI N, LI Y T, WANG J, CHEN R J, WU F. Enhanced electrochemical performance of layered lithium-rich cathode materials by constructing spinel-structure skin and ferric oxide islands[J]. ACS Appl. Mater. Interfaces, 2017, 9(10): 8669-8678 doi: 10.1021/acsami.6b14862
-
[31]
LI Z, LI Q, WU S J, ZHANG A B, ZHUO H X, ZHANG G N, WANG Z, WANG L, REN Z M, WANG J T. Enhanced electrochemical performance of Li-and Mn-rich cathode materials by particle blending and surface coating[J]. ChemistrySelect, 2020, 5(10): 3052-3061 doi: 10.1002/slct.201904290
-
[32]
LIU X H, WANG Z Y, ZHUANG W, BAN L Q, GAO M, LI W J, YIN Y P, WANG Z, LU S G. Li3PO4 modification on primary particle surface for high performance Li-rich layered oxide Li1.18Mn0.52Co0.15 Ni0.15O2 via a synchronous route[J]. New J. Chem., 2018, 42(6): 3999-4007 doi: 10.1039/C7NJ03337K
-
[33]
DENG Y P, FU F, WU Z G, YIN Z W, ZHANG T, LI J T, HUANG L, SUN S G. Layered/spinel heterostructured Li-rich materials synthesized by a one-step solvothermal strategy with enhanced electrochemical performance for Li-ion batteries[J]. J. Mater. Chem. A, 2016, 4(1): 257-263 doi: 10.1039/C5TA06945A
-
[34]
LI G H, REN Z M, LI A L, YU R, QUAN W, WANG C H, LIN T, YI D, LIU Y, ZHANG Q H, WANG J T, YU H J, SUN X L. Highly stable surface and structural origin for lithium-rich layered oxide cathode materials[J]. Nano Energy, 2022, 98: 107169 doi: 10.1016/j.nanoen.2022.107169
-
[35]
ZHAO X W, SHENG C C, CHANG Z, CHENG L, WU P, XU L, ZHOU Y M, HE P, TANG Y W, CAO X, ZHOU H S. Solid-state exfoliation growth mechanism of single-crystal Li-rich layered cathode materials[J]. Energy Storage Mater., 2025, 75: 104093 doi: 10.1016/j.ensm.2025.104093
-
[36]
GAO X G, WANG L, GUO J L, LI S H, ZHANG H Y, CHEN L, ZHANG Y, LAI Y Q, ZHANG Z A. Lattice engineering toward extraordinary structural stability of high-performance single-crystal Li-rich layered oxides cathodes[J]. Adv. Funct. Mater., 2024, 34(46): 2407692 doi: 10.1002/adfm.202407692
-
[37]
AI J, ZHAO X W, CAO X, XU L, WU P, ZHOU Y M, HE P, TANG Y W, ZHOU H S. Impact of lithium sources on growth process and structural stability of single-crystalline Li-rich layered cathodes[J]. Batteries Supercaps, 2025, 8(2): e202400425 doi: 10.1002/batt.202400425
-
[38]
WU T H, ZHANG X, WANG Y Z, ZHANG N, LI H F, GUAN Y, XIAO D D, LIU S Q, YU H J. Gradient "single-crystal" Li-rich cathode materials for high-stable lithium-ion batteries[J]. Adv. Funct. Mater., 2023, 33(4): 2210154 doi: 10.1002/adfm.202210154
-
[39]
LIU S Y, WANG Z L, HUANG Y K, NI Z J, BAI J R, KANG S F, WANG Y G, LI X. Fluorine doping and Al2O3 coating co-modified Li[Li0.20Ni0.133Co0.133Mn0.534]O2 as high performance cathode material for lithium-ion batteries[J]. J. Alloy. Compd., 2018, 731: 636-645 doi: 10.1016/j.jallcom.2017.09.341
-
[40]
CHEN C, GENG T F, DU C Y, ZUO P J, CHENG X Q, MA Y L, YIN G P. Oxygen vacancies in SnO2 surface coating to enhance the activation of layered Li-rich Li1.2Mn0.54Ni0.13Co0.13O2 cathode material for Li-ion batteries[J]. J. Power Sources, 2016, 331: 91-99 doi: 10.1016/j.jpowsour.2016.09.051
-
[41]
尹艳萍, 庄卫东, 王忠, 卢华权, 卢世刚. 不同锰源对富锂正极材料Li1.2Mn0.54Ni0.13Co0.13O2性能的影响[J]. 稀有金属, 2015, 39(10): 891-895.YIN Y P, ZHUANG W D, WANG Z, LU H Q, LU S G. Electrochemical characteristics of Li-rich cathode material Li1.2Mn0.54Ni0.13Co0.13O2 with different manganese raw materials[J]. Chinese Journal of Rare Metals, 2015, 39(10): 891-895
-
[42]
王忠, 卢华权, 尹艳萍, 庄卫东, 卢世刚. 锂离子电池富锂正极材料Li1.2Ni0.13Co0.13Mn0.54O2的合成及性能[J]. 稀有金属, 2016, 40(1): 38-42.WANG Z, LU H Q, YIN Y P, ZHUANG W D, LU S G. Synthesis and properties of Li-rich cathode material Li1.2Ni0.13Co0.13Mn0.54O2 in Li-ion batteries[J]. Chinese Journal of Rare Metals, 2016, 40(1): 38-42
-
[43]
XU G L, QIN Y, REN Y, CAI L, AN K, AMINE K, CHEN Z H. The migration mechanism of transition metal ions in LiNi0.5Mn1.5O4[J]. J. Mater. Chem. A, 2015, 3(24): 13031-13038 doi: 10.1039/C5TA02522B
-
[44]
WANG Z, YIN Y P, REN Y, WANG Z Y, GAO M, MA T Y, ZHUANG W D, LU S G, FAN A L, AMINE K, CHEN Z H. High performance lithium-manganese-rich cathode material with reduced impurities[J]. Nano Energy, 2017, 31: 247-257 doi: 10.1016/j.nanoen.2016.10.014
-
[45]
CHEN J H, FENG S Y, DENG J H, ZHOU Y F. Green synthesis of manganese-rich carbonate precursor with high sphericity for cobalt-free lithium-rich cathode materials through two-stage continuous coprecipitation method[J]. Ind. Eng. Chem. Res., 2025, 64(25): 12640-12653 doi: 10.1021/acs.iecr.5c00394
-
[46]
PURWAMARGAPRATALA Y, SYAHRIAL A Z, KARTINI E, SIMORANGKIR Y J B. Synthesis and characterization of precursors Ni0.5Mn0.4Co0.1(OH)2 by coprecipitation method[J]. J. Inst. Eng. India Ser. D, 2025, 106(1): 177-182 doi: 10.1007/s40033-023-00606-3
-
[47]
LI Y J, CHEN Y, LIU Y, CHU G W, SUN B C, CHEN J F. Growth mechanism and process intensification of Ni-Al-layered double hydroxide synthesized via coprecipitation[J]. AIChE J., 2025, 71(4): e18672 doi: 10.1002/aic.18672
-
[48]
尹艳萍, 卢华权, 王忠, 孙学义, 庄卫东, 卢世刚. 富锂层状正极材料Li1.2Mn0.54Ni0.13Co0.13O2的二次颗粒粒径对其倍率性能的影响[J]. 无机化学学报, 2015, 31(10): 1966-1970. doi: 10.11862/CJIC.2015.271YIN Y P, LU H Q, WANG Z, SUN X Y, ZHUANG W D, LU S G. Effect of different second particle size on rate capability of Li-rich layered cathode materials Li1.2Mn0.54Ni0.13Co0.13O2[J]. Chinese J. Inorg. Chem., 2015, 31(10): 1966-1970 doi: 10.11862/CJIC.2015.271
-
[49]
WARMAN J F, KARUNAWAN J, FLOWERI O, SURYADI P N, SANTOSA S P, ISKANDAR F. Revealing the dual role of ammonia in the hydroxide co-precipitation synthesis of cobalt-free nickel-rich LiNi0.9Mn0.05Al0.05O2 (NMA955) cathode materials for lithium-ion batteries[J]. Chem. ‒Asian J., 2025, 20(2): e202401080 doi: 10.1002/asia.202401080
-
[50]
PRETTENCIA L J, SOUNDARRAJAN E, MATHIARASU R R, KALAIVANI R, RAGHU S. Sol-gel route synthesis of high energy density Li[Li0.2Ni0.3Mn0.7]O2 cathode with controlled structure, morphology and enhanced electrochemical performance[J]. Energy Storage, 2023, 5(4): e427 doi: 10.1002/est2.427
-
[51]
ISLAM M, AHMED MD S, FAIZAN M, ALI B, BHUYAN M M, BARI G A K M R, NAM K W. Review on the polymeric and chelate gel precursor for Li-ion battery cathode material synthesis[J]. Gels, 2024, 10(9): 586 doi: 10.3390/gels10090586
-
[52]
PILLAI A M, SALINI P S, JOHN B, NAIR V S, JALAJA K, SUJATHA S A, DEVASSY M T. Cobalt-free Li-rich high-capacity cathode material for lithium-ion cells synthesized through sol-gel method and its electrochemical performance[J]. Ionics, 2022, 28(11): 5005-5014 doi: 10.1007/s11581-022-04725-x
-
[53]
HE X, WANG J, KLOEPSCH R, KRUEGER S, JIA H P, LIU H D, VORTMANN B, LI J. Enhanced electrochemical performance in lithium ion batteries of a hollow spherical lithium-rich cathode material synthesized by a molten salt method[J]. Nano Res., 2014, 7(1): 110-118 doi: 10.1007/s12274-013-0378-7
-
[54]
SHANG Y. Understanding the growth mechanism of lithium-rich layered oxides in molten salts route for high performance lithium-ion batteries[J]. Ceram. Int., 2025, 51(3): 2966-2973 doi: 10.1016/j.ceramint.2024.11.273
-
[55]
YAN L Y, GAO Y, CHEN M M, ZHAO C, YANG S C, CHEN C, LI J X, LI Y, WANG K H, WANG H, LI J J, ZHANG H T, MAO J. Preparation of single-crystal Li-rich Mn-based layered oxides with excellent electrochemical performance via simple stepwise high- temperature sintering[J]. ACS Appl. Mater. Interfaces, 2024, 16(44): 60166-60179 doi: 10.1021/acsami.4c11204
-
[56]
PULIDO R, NAVEAS N, GRABER T, RAÚL J. M P, FERNANDO A R, BRITO I, MORALES C, SORIANO L, PASCUAL L, MARINI C, JACOBO H M, MIGUEL M S. Hydrothermal control of the lithium-rich Li2MnO3 phase in lithium manganese oxide nanocomposites and their application as precursors for lithium adsorbents[J]. Dalton Trans., 2021, 50(31): 10765-10778 doi: 10.1039/D1DT01638E
-
[57]
FAN J M, LI G S, LUO D, FU C C, LI Q, ZHENG J, LI L P. Hydrothermal-assisted synthesis of Li-rich layered oxide microspheres with high capacity and superior rate-capability as a cathode for lithium-ion batteries[J]. Electrochim. Acta, 2015, 173: 7-16 doi: 10.1016/j.electacta.2015.05.028
-
[58]
陈志铭, 储爱民, 周子榆, 赵玉萍, 陈友明. 含碳雾滴燃烧制备微纳空心球型富锂锰基正极材料及性能研究[J]. 储能科学与技术, 2025, 14(4): 1362-1368.CHEN Z M, CHU A M, ZHOU Z Y, ZHAO Y P, CHEN Y M. Preparation and performance of Li-rich cathode material by carbon-containing droplet combustion[J]. Energy Storage Science and Technology, 2025, 14(4): 1362-1368
-
[59]
温涛, 李小成, 凡纪鹏, 邓一坤, 邹菁, 王海涛. 高镍锂离子电池三元正极材料的掺杂改性研究进展[J]. 石油化工高等学校学报, 2025, 38(3): 20-31.WEN T, LI X C, FAN J P, DENG Y K, ZOU J, WANG H T. Research progress on doping modification of ternary cathode materials for nickel-rich lithium ion batteries[J]. Journal of Petrochemical Universities, 2025, 38(3): 20-31
-
[60]
KUMAR D, KURIAN E, RAMESHA K. Synthesis of quasi-spherical LiNi0.86Mn0.1Co0.04O2 cathode particles via hydroxide coprecipitation: Influence of pH on precursor particle size in enhancing capacity and stability of Ni-rich cathode for lithium-ion batteries[J]. Energy Technol., 2025, 13(9): 2402418 doi: 10.1002/ente.202402418
-
[61]
KAN Y C, HU Y, CROY J, REN Y, SUN C J, HEALD S M, BAREÑO J, BLOOM I, CHEN Z H. Formation of Li2MnO3 investigated by in situ synchrotron probes[J]. J. Power Sources, 2014, 266: 341-346 doi: 10.1016/j.jpowsour.2014.05.032
-
[62]
KAN Y C, HU Y, REN Y, BAREÑO J, BLOOM I, SUN Y K, AMINE K, CHEN Z H. Differentiating allotropic LiCoO2/Li2Co2O4: A structural and electrochemical study[J]. J. Power Sources, 2014, 271: 97-103 doi: 10.1016/j.jpowsour.2014.07.178
-
[63]
CHEN Y X, LUO S L, LENG J, DENG S, YAN S, TIAN X, LI Y J, GUO J, LEI T X, ZHENG J C. Exploring the synthesis conditions and formation mechanisms of Li-rich layered oxides via solid-state method[J]. J. Alloy. Compd., 2021, 854: 157204 doi: 10.1016/j.jallcom.2020.157204
-
[64]
LI T T, SHI Z P, LI L, ZHANG Y B, LI Y, ZHAO J L, GU Q W, WEN W, QIU B, LIU Z P. Non-eutectic-salt reaction route towards morphological and structural rearrangement of Li-rich layered oxides for high-volumetric Li-ion batteries[J]. Chem. Eng. J., 2023, 474: 145728 doi: 10.1016/j.cej.2023.145728
-
[65]
YANG S Y, WANG X Y, YANG X K, LIU Z L, WEI Q L, SHU H B. High tap density spherical Li[Ni0.5Mn0.3Co0.2]O2 cathode material synthesized via continuous hydroxide coprecipitation method for advanced lithium-ion batteries[J]. Int. J. Electrochem., 2012, 2012: 323560
-
[66]
YING J R, JIANG C Y, WAN C R. Preparation and characterization of high-density spherical LiCoO2 cathode material for lithium ion batteries[J]. J. Power Sources, 2004, 129(2): 264-269 doi: 10.1016/j.jpowsour.2003.10.007
-
[67]
ZHANG H Y, GUO J L, GAO X G, LI S H, LAI Y Q, ZHANG Z A. Facile morphology modulation to enhance stability and fast kinetics of anionic redox for Li-rich layered oxides cathodes[J]. ACS Appl. Energy Mater., 2024, 7(3): 1234-1242 doi: 10.1021/acsaem.3c02785
-
[68]
WU C, BAN J Q, CHEN T, WANG J, HE Y D, WU Z G. Evolution path of precursor-induced high-temperature lithiation reaction during the synthesis of lithium-rich cathode materials[J]. ACS Omega, 2024, 9(13): 15191-15201 doi: 10.1021/acsomega.3c09567
-
[69]
VERDE M G, LIU H D, CARROLL K J, BAGGETTO L, VEITH G M, MENG Y S. Effect of morphology and manganese valence on the voltage fade and capacity retention of Li[Li2/12Ni3/12Mn7/12]O2[J]. ACS Appl. Mater. Interfaces, 2014, 6(21): 18868-18877 doi: 10.1021/am504701s
-
[70]
ZHENG J, LIU T C, HU Z X, WEI Y, SONG X H, REN Y, WANG W D, RAO M M, LIN Y, CHEN Z H, LU J, WANG C M, AMINE K, PAN F. Tuning of thermal stability in layered Li(NixMnyCoz)O2[J]. J. Am. Chem. Soc., 2016, 138(40): 13326-13334 doi: 10.1021/jacs.6b07771
-
[71]
REDEL K, KULKA A, WALCZAK K, PLEWA A, HANC E, MARZEC M, LU L, MOLENDA J. Origin of extra capacity in advanced Li-rich cathode materials for rechargeable Li-ion batteries[J]. Chem. Eng. J., 2021, 424: 130293 doi: 10.1016/j.cej.2021.130293
-
[72]
LI S H, LI H X, ZHANG H Y, ZHANG S, LAI Y, ZHANG Z A. Constructing stable surface structures enabling fast charging for Li-rich layered oxide cathodes[J]. Chem. Eng. J., 2022, 427: 132036 doi: 10.1016/j.cej.2021.132036
-
[73]
GRENIER A, KAMM G E, LI Y X, CHUNG H, MENG Y S, CHAPMAN K W. Nanostructure transformation as a signature of oxygen redox in Li-rich 3d and 4d cathodes[J]. J. Am. Chem. Soc., 2021, 143(15): 5763-5770 doi: 10.1021/jacs.1c00497
-
[74]
LEE J, DUPRE N, JEONG M, KANG S Y, AVDEEV M, GONG Y, GU L, YOON W S, KANG B. Fully exploited oxygen redox reaction by the inter-diffused cations in Co-free Li-rich materials for high performance Li-ion batteries[J]. Adv. Sci., 2020, 7(17): 2001658 doi: 10.1002/advs.202001658
-
[75]
HWANG J, MYEONG S, LEE E, JANG H, YOON M, CHA H, SUNG J, KIM M G, SEO D H, CHO J. Lattice-oxygen-stabilized Li-and Mn-rich cathodes with sub-micrometer particles by modifying the excess-Li distribution[J]. Adv. Mater., 2021, 33(18): 2100352 doi: 10.1002/adma.202100352
-
[76]
CHOI G, CHANG U, LEE J, PARK K, KWON H, LEE H, KIM Y I, SEO J H, PARK Y C, PARK I, KIM J, LEE S, CHOI J, YU B, SONG J H, SHIN H, BAEK S W, LEE S K, PARK H, JUNG K. Unraveling and regulating superstructure domain dispersion in lithium-rich layered oxide cathodes for high stability and reversibility[J]. Energy Environ. Sci., 2024, 17(13): 4634-4645 doi: 10.1039/D4EE00487F
-
[77]
HUA W B, CHEN M, SCHWARZ B, KNAPP M, BRUNS M, BARTHEL J, YANG X S, SIGEL F, AZMI R, SENYSHYN A, MISSIUL A, SIMONELLI L, ETTER M, WANG S N, MU X K, FIEDLER A, BINDER J R, GUO X D, CHOU S L, ZHONG B H, INDRIS S, EHRENBERG H. Lithium/oxygen incorporation and microstructural evolution during synthesis of Li-rich layered Li[Li0.2Ni0.2Mn0.6]O2 oxides[J]. Adv. Energy Mater., 2019, 9(8): 1803094 doi: 10.1002/aenm.201803094
-
[78]
PARK H, PARK H, SONG K, SONG S H, KANG S, KO K H, EUM D, JEON Y, KIM J, SEONG W M, KIM H, PARK J, KANG K. In situ multiscale probing of the synthesis of a Ni-rich layered oxide cathode reveals reaction heterogeneity driven by competing kinetic pathways[J]. Nat. Chem., 2022, 14(6): 614-622 doi: 10.1038/s41557-022-00915-2
-
[79]
WANG D W, ZHANG X, ZHONG G M, LI Y X, HONG C Y, DONG K J, CHEN C X, YANG Y. Temperature-dependence of calcination processes of Ni-rich layered oxides[J]. J. Power Sources, 2022, 529: 231258 doi: 10.1016/j.jpowsour.2022.231258
-
[80]
XIAO X, WANG L, LI J T, ZHANG B, HU Q, LIU J L, WU Y Q, GAO J H, CHEN Y B, SONG S L, ZHANG X Q, CHEN Z H, HE X M. Rational synthesis of high-performance Ni-rich layered oxide cathode enabled via probing solid-state lithiation evolution[J]. Nano Energy, 2023, 113: 108528 doi: 10.1016/j.nanoen.2023.108528
-
[81]
LIU J J, YUAN Y F, ZHENG J H, WANG L G, JI J, ZHANG Q, YANG L, BAI Z Y, LU J. Understanding the synthesis kinetics of single-crystal Co-free Ni-rich cathodes[J]. Angew. Chem. ‒Int. Edit., 2023, 62(20): e202302547 doi: 10.1002/anie.202302547
-
[82]
CAO K, SHEN T T, WANG K P, CHEN D M, WANG W L. Influence of different lithium sources on the morphology, structure and electrochemical performances of lithium-rich layered oxides[J]. Ceram. Int., 2017, 43(12): 8694-8702 doi: 10.1016/j.ceramint.2017.03.203
-
[83]
WANG P B, LUO M Z, ZHENG J C, HE Z J, TONG H, YU W J. Comparative investigation of 0.5Li2MnO3·0.5LiNi0.5Co0.2Mn0.3O2 cathode materials synthesized by using different lithium sources[J]. Front. Chem., 2018, 6: 159 doi: 10.3389/fchem.2018.00159
-
[84]
LI J, CAMARDESE J, GLAZIER S, DAHN J R. Structural and electrochemical study of the Li-Mn-Ni oxide system within the layered single phase region[J]. Chem. Mater., 2014, 26(24): 7059-7066 doi: 10.1021/cm503505b
-
[85]
CHEN M, CHEN D R, LIAO Y H, ZHONG X X, LI W S, ZHANG Y G. Layered lithium‑rich oxide nanoparticles doped with spinel phase: Acidic sucrose-assistant synthesis and excellent performance as cathode of lithium ion battery[J]. ACS Appl. Mater. Interfaces, 2016, 8(7): 4575-4584 doi: 10.1021/acsami.5b10219
-
[86]
PEI Y, CHEN Q, XIAO Y C, LIU L, XU C Y, ZHEN L, HENKELMAN G, CAO G Z. Understanding the phase transitions in spinel-layered-rock salt system: Criterion for the rational design of LLO/spinel nanocomposites[J]. Nano Energy, 2017, 40: 566-575 doi: 10.1016/j.nanoen.2017.08.054
-
[87]
HAO Z K, SUN H X, NI Y X, YANG G J, YANG Z, HAO Z M, WANG R H, YANG P K, LU Y, ZHAO Q, XIE W W, YAN Z H, ZHANG W, CHEN J. Suppressing bulk strain and surface O2 release in Li-rich cathodes by just tuning the Li content[J]. Adv. Mater., 2024, 36(1): 2307617 doi: 10.1002/adma.202307617
-
[88]
LIU P F, ZHANG H, HE W, XIONG T F, CHENG Y, XIE Q S, MA Y T, ZHENG H F, WANG L S, ZHU Z Z, PENG Y, MAI L Q, PENG D L. Lithium deficiencies engineering in Li‑rich layered oxide Li1.098Mn0.533Ni0.113Co0.138O2 for high‑stability cathode[J]. J. Am. Chem. Soc., 2019, 141(27): 10876-10882 doi: 10.1021/jacs.9b04974
-
[89]
HE D Y, TONG W X, ZHANG J, HUANG Z Y, CHEN Z W, YANG M L, WANG R, ZHAO W G, MA Z W, XIAO Y G. Structural insights into lithium-deficient type Li-rich layered oxide for high- performance cathode[J]. Chin. J. Struct. Chem., 2023, 42(5): 100060
-
[90]
CHEN C J, PANG W K, MORI T, PETERSON V K, SHARMA N, LEE P H, WU S H, WANG C C, SONG Y F, LIU R S. The origin of capacity fade in the Li2MnO3·LiMO2 (M=Li, Ni, Co, Mn) microsphere positive electrode: An operando neutron diffraction and transmission X-ray microscopy study[J]. J. Am. Chem. Soc., 2016, 138(28): 8824-8833 doi: 10.1021/jacs.6b03932
-
[91]
WEI Z N, SHI Z P, WEN X H, LI X, QIU B, GU Q W, SUN J, HAN Y Y, LUO H, GUO H C, XIA Y G, YIN C, CAI P J, LIU Z P. Eliminating oxygen releasing of Li-rich layered cathodes by tuning the distribution of superlattice domain[J]. Mater. Today Energy, 2022, 27: 101039 doi: 10.1016/j.mtener.2022.101039
-
[92]
ZHANG Y, CHEN Z F, SHI X Y, MENG C X, DAS P, ZHENG S H, PAN F, WU Z S. Regulation of 3d-transition metal interlayered disorder by appropriate lithium depletion for Li-rich layered oxide with remarkably enhanced initial Coulombic efficiency and stability[J]. Adv. Energy Mater., 2023, 13(5): 2203045 doi: 10.1002/aenm.202203045
-
[93]
WU Y, MA C, YANG J H, LI Z C, ALLARD L F, LIANG C D, CHI M F. Probing the initiation of voltage decay in Li-rich layered cathode materials at the atomic scale[J]. J. Mater. Chem. A, 2015, 3(10): 5385-5391 doi: 10.1039/C4TA06856D
-
[94]
SHEN C H, WANG Q, FU F, HUANG L, LIN Z, SHEN S Y, SU H, ZHENG X M, XU B B, LI J T, SUN S G. Facile synthesis of the Li-rich layered oxide Li1.23Ni0.09Co0.12Mn0.56O2 with superior lithium storage performance and new insights into structural transformation of the layered oxide material during charge-discharge cycle: In situ XRD characterization[J]. ACS Appl. Mater. Interfaces, 2014, 6(8): 5516-5524 doi: 10.1021/am405844b
-
[95]
ZHANG M K, LI J Y, PANG Q, HUA W B, DENG Y T, TANG M Q, PANG W K, WU Z G, ZHONG B H, XIAO Y, QIU L, GUO X D. Phase transition behavior during sintering process of Li-rich materials[J]. Adv. Energy Mater., 2025, 15(21): 2406031 doi: 10.1002/aenm.202406031
-
[96]
DEVARAJ A, GU M, COLBY R, YAN P, WANG C M, ZHENG J M, XIAO J, GENC A, ZHANG J G, BELHAROUAK I, WANG D, AMINE K, THEVUTHASAN S. Visualizing nanoscale 3D compositional fluctuation of lithium in advanced lithium-ion battery cathodes[J]. Nat. Commun., 2015, 6(1): 8014 doi: 10.1038/ncomms9014
-
[97]
YE D L, OZAWA K, WANG B, DENISA H J, ZOU J, SUN C H, WANG L Z. Capacity-controllable Li-rich cathode materials for lithium-ion batteries[J]. Nano Energy, 2014, 6: 92-102 doi: 10.1016/j.nanoen.2014.03.013
-
[98]
YE D L, WANG B, CHEN Y, HAN G, ZHANG Z, DENISA H J, ZOU J, WANG L Z. Understanding the stepwise capacity increase of high energy low-Co Li-rich cathode materials for lithium ion batteries[J]. J. Mater. Chem. A, 2014, 2(44): 18767-18774 doi: 10.1039/C4TA03692A
-
[99]
WEN X H, YIN C, QIU B, WAN L Y, ZHOU Y H, WEI Z N, SHI Z P, HUANG X, GU Q W, LIU Z P. Controls of oxygen-partial pressure to accelerate the electrochemical activation in Co-free Li-rich layered oxide cathodes[J]. J. Power Sources, 2022, 523: 231022 doi: 10.1016/j.jpowsour.2022.231022
-
[100]
LEE W, MUHAMMAD S, KIM T, KIM H, LEE E, JEONG M, SON S, RYOU J H, YOON W S. New insight into Ni-rich layered structure for next-generation Li rechargeable batteries[J]. Adv. Energy Mater., 2018, 8(4): 1701788 doi: 10.1002/aenm.201701788
-
[101]
DING Z P, XU M Q, LIU J T, HUANG Q, CHEN L B, WANG P, IVEY D G, WEI W F. Understanding the enhanced kinetics of gradient-chemical-doped lithium-rich cathode material[J]. ACS Appl. Mater. Interfaces, 2017, 9(24): 20519-20526 doi: 10.1021/acsami.7b02944
-
[102]
LIU J L, HOU M Y, YI J, GUO S S, WANG C X, XIA Y Y. Improving the electrochemical performance of layered lithium‑rich transition‑metal oxides by controlling the structural defects[J]. Energy Environ. Sci., 2014, 7(2): 705-714 doi: 10.1039/C3EE41664J
-
[103]
WAN X W, CHE W, ZHANG D Y, CHANG C K. Improved electrochemical performance of Mn-based Li-rich cathode Li1.4Mn0.61Ni0.18 Co0.18Al0.03O2.4 synthesized in oxygen atmosphere[J]. J. Alloy. Compd., 2021, 875: 159947 doi: 10.1016/j.jallcom.2021.159947
-
[104]
KNIGHT J C, MANTHIRAM A. Effect of nickel oxidation state on the structural and electrochemical characteristics of lithium-rich layered oxide cathodes[J]. J. Mater. Chem. A, 2015, 3(44): 22199-22207 doi: 10.1039/C5TA05703E
-
[105]
YANG J, XIA Y Y. Suppressing the phase transition of the layered Ni-rich oxide cathode during high-voltage cycling by introducing low-content Li2MnO3[J]. ACS Appl. Mater. Interfaces, 2016, 8(2): 1297-1308 doi: 10.1021/acsami.5b09938
-
[106]
ZHU J X, VO T, LI D S, LU R, KINSINGER N M, XIONG L, YAN Y S, KISAILUS D. Crystal growth of Li[Ni1/3Co1/3Mn1/3]O2 as a cathode material for high-performance lithium ion batteries[J]. Cryst. Growth Des., 2012, 12(3): 1118-1123 doi: 10.1021/cg200565n
-
[107]
MA Q X, PENG F W, LI R H, YIN S B, DAI C S. Effect of calcination temperature on microstructure and electrochemical performance of lithium-rich layered oxide cathode materials[J]. Mater. Sci. Eng. B‒Adv. Funct. Solid‒State Mater., 2016, 213: 123-130 doi: 10.1016/j.mseb.2016.04.010
-
[108]
NOMURA F, LIU Y B, TANABE T, TAMURA N, TSUDA T, HAGIWARA T, GUNJI T, OHSAKA T, MATSUMOTO F. Optimization of calcination temperature in preparation of a high capacity Li-rich solid-solution Li[Li0.2Ni0.18Co0.03Mn0.58]O2 material and its cathode performance in lithium ion battery[J]. Electrochim. Acta, 2018, 269: 321-330 doi: 10.1016/j.electacta.2018.03.027
-
[109]
HUANG Z Y, WANG X, FENG W J, LI W X, SHI Z J, LEI Z R. Effect of sintering temperature on the electrochemical performance of Li-rich Mn-based cathode material Li1.2Mn0.54Ni0.13Co0.13O2 by Co‑precipitation method[J]. J. Electroanal. Chem., 2021, 895: 115439 doi: 10.1016/j.jelechem.2021.115439
-
[110]
ZHENG Z H, BEI F L, HUI T, YU H Q, QIAN H, HUANG H H, CHE L D. Lithium salt preprocessing calcination strategy for a more stable layered structure of lithium-rich manganese-based cathodes[J]. J. Power Sources, 2024, 620: 235232 doi: 10.1016/j.jpowsour.2024.235232
-
[111]
YU F G, NONG J X, ZOU Z G, FENG M, ZHANG S C, LIANG F G, JIA S K, CHEN M. Enhanced electrochemical properties of Li1.2Mn0.54Co0.13Ni0.13O2 by modulation of surface oxygen vacancies[J]. J. Energy Storage, 2024, 98: 113149 doi: 10.1016/j.est.2024.113149
-
[112]
CHEN Y F, CHEN Z X, XIE K. Effect of annealing on the first- cycle performance and reversible capabilities of lithium-rich layered oxide cathodes[J]. J. Phys. Chem. C, 2014, 118(22): 11505-11511 doi: 10.1021/jp500138s
-
[113]
LUO D, LI G S, FU C C, ZHENG J, FAN J M, LI Q, LI L P. A new spinel-layered Li-rich microsphere as a high-rate cathode material for Li-ion batteries[J]. Adv. Energy Mater., 2014, 4(11): 1400062 doi: 10.1002/aenm.201400062
-
[114]
QIAN D N, XU B, CHI M F, MENG Y S. Uncovering the roles of oxygen vacancies in cation migration in lithium excess layered oxides[J]. Phys. Chem. Chem. Phys., 2014, 16(28): 14665-14668 doi: 10.1039/C4CP01799D
-
[115]
QIU B, ZHANG M H, WU L J, WANG J, XIA Y G, QIAN D N, LIU H D, HY S, CHEN Y, AN K, ZHU Y M, LIU Z P, MENG Y S. Gas-solid interfacial modification of oxygen activity in layered oxide cathodes for lithium-ion batteries[J]. Nat. Commun., 2016, 7(1): 12108 doi: 10.1038/ncomms12108
-
[116]
MA Q X, CHEN Z J, ZHONG S W, MENG J X, LAI F L, LI Z F, CHENG C, ZHANG L, LIU T F. Na-substitution induced oxygen vacancy achieving high transition metal capacity in commercial Li-rich cathode[J]. Nano Energy, 2021, 81: 105622 doi: 10.1016/j.nanoen.2020.105622
-
[117]
MOHAMAD A H, AKBAR S, MORRIS P. Role of oxygen vacancies in nanostructured metal-oxide gas sensors: A review[J]. Sens. Actuators B‒Chem., 2019, 301: 126845 doi: 10.1016/j.snb.2019.126845
-
[118]
TANG Z K, XUE Y F, TEOBALDI G, LIU L M. The oxygen vacancy in Li-ion battery cathode materials[J]. Nanoscale Horiz., 2020, 5(11): 1453-1466 doi: 10.1039/D0NH00340A
-
[119]
ANTONIO R P, SCHLEXER P, TOSONI S, PACCHIONI G. Increasing oxide reducibility: The role of metal/oxide interfaces in the formation of oxygen vacancies[J]. ACS Catal., 2017, 7(10): 6493-6513 doi: 10.1021/acscatal.7b01913
-
[120]
WANG K, QIU J M, HOU F C, YANG M, NIE K Q, WANG J O, HOU Y C, HUANG W Y, ZHAO W G, ZHANG P X, LIN J H, HU J T, PAN F, ZHANG M J. Unraveling the role of surficial oxygen vacancies in stabilizing Li-rich layered oxides[J]. Adv. Energy Mater., 2023, 13(32): 2301216 doi: 10.1002/aenm.202301216
-
[121]
MAJID F, LAI W H, SAFAEI J, WANG S J, HUANG Z F, MARLTON F, RUAN J F, SUN B, GAO H, OSTRIKOV K, NOTTEN P H L, WANG G X. Boosting the electrochemical performance of lithium-rich cathodes by oxygen vacancy engineering[J]. Batteries Supercaps, 2023, 6(7): e202300123 doi: 10.1002/batt.202300123
-
[122]
WEI A L, CHANG L J, LUO S H, CAO S Y, BI X L, YANG W, LIU J N, ZHANG F S. Preparation of LiNi0.5Mn1.5O4 cathode materials by non-constant temperature calcination and research on its performance[J]. Ionics, 2022, 28(2): 555-565 doi: 10.1007/s11581-021-04348-8
-
[123]
XU G F, WANG L Z, ZHAO J L, SHI B M, ZHANG X, WANG J T, LI N. Elevated stability of nickel-rich oxide cathode material with concentration gradient of transition metals via a novel size-controllable calcination method[J]. J. Alloy. Compd., 2022, 893: 162252 doi: 10.1016/j.jallcom.2021.162252
-
[124]
GAO T P, WONG K W, FUNG K Y, ZHANG W, NG K M. A rational three-step calcination strategy for synthesizing high-quality LiNi0.5Mn0.3Co0.2O2 cathode mater ials: The key role of suppressing Li2O formation[J]. Electrochim. Acta, 2018, 288: 153-164 doi: 10.1016/j.electacta.2018.09.012
-
[125]
ZHANG Y H, ZHANG D, WU L R, MA J, YI Q, WANG Z X, WANG X F, WU Z, ZHANG C, HU N F, HAW S C, CHEN J M, HU Z W, CUI G L. Stabilization of lattice oxygen in Li-rich Mn-based oxides via swing-like non-isothermal sintering[J]. Adv. Energy Mater., 2022, 12(43): 2202341 doi: 10.1002/aenm.202202341
-
[126]
ZHENG Z H, MA Z Y, TAO X L, HUI T, YU H Q, QIAN H, HUANG H H, CHE L D, BEI F L. Precisely designed 3-stage calcination strategy for lithium-rich manganese-based cathodes with improved cycling performance[J]. J. Power Sources, 2024, 623: 235497 doi: 10.1016/j.jpowsour.2024.235497
-
[1]
-
图 1 (a) 固相法制备富锂锰基材料的原位HEXRD图[44]; (b) 碳酸盐前驱体与Li2CO3高温反应过程中的原位XRD图[64]
Figure 1 (a) In situ HEXRD patterns of lithium-rich manganese-based material synthesized by the solid-state method[44]; (b) In situ XRD patterns of the high-temperature reaction process involving carbonate precursors and Li2CO3[64]
图 2 (a) 花状氢氧化物前驱体、(b) 珊瑚状碳酸盐前驱体和(c) 球形前驱体的SEM图像; (d) 花状氢氧化物前驱体、(e) 珊瑚状碳酸盐前驱体和(f) 球形前驱体制备的富锂锰基正极材料的SEM图像[67]
Figure 2 SEM images of (a) the flower-like hydroxide precursor, (b) the coral-like carbonate precursor, and (c) the spherical precursor; SEM images of the lithium-rich manganese-based materials synthesized from (d) the flower-like hydroxide precursor, (e) the coral-like carbonate precursor, and (f) the spherical precursor[67]
图 3 (a) 氢氧化物前驱体和(b) 草酸盐前驱体的原位高温同步辐射衍射图[68]; (c) 碳酸盐前驱体[64]、(d) 氢氧化物前驱体和(e) 草酸盐前驱体与LiOH混合物[68]的高温原位XRD图
Figure 3 In situ high-temperature synchrotron X-ray diffraction patterns of (a) the hydroxide precursor and (b) the oxalate precursor[68]; High-temperature in situ XRD patterns of (c) the carbonate precursor[64], (d) the hydroxide precursor, and (e) the oxalate precursor mixed with LiOH[68]
图 4 不同温度下氢氧化物前驱体与(a) Li2CO3和(b) LiOH反应过程中的非原位7Li MAS NMR谱[76]; (c) 碳酸盐前驱体与Li2CO3、复合锂盐以及LiOH反应制备的富锂锰基正极材料的原子级HAADF-STEM图像和相应的线强度; (d) 三个样品超晶格峰的SXRD图及相应的放大图(插图)[64]
Figure 4 Ex-situ 7Li MAS NMR spectra of hydroxide precursors with (a) Li2CO3 and (b) LiOH at different temperatures[76]; (c) Atomic-level HAADF-STEM images and corresponding line intensities of lithium-rich manganese-basedmaterials prepared from carbonate precursors with Li2CO3, composite lithium salts, and LiOH; (d) SXRD patterns of superlattice peaks for the three samples and corresponding enlarged patterns (inset)[64]
图 5 由(a、b) LiOH、(c、d) Li2CO3和(e、f) LiOAc制备的二次颗粒和一次颗粒的SEM图; (g) LiOH、(h) Li2CO3和(i) LiOAc与前驱体混合物的TG-DTA曲线; 由(j) LiOH、(k) Li2CO3和(l) LiOAc制备的富锂锰基正极材料前3圈的循环伏安曲线[82]
Figure 5 SEM images of secondary particles prepared from (a, b) LiOH, (c, d) Li2CO3, and (e, f) LiOAc; TG-DTA curves of (g) LiOH, (h) Li2CO3, and (i) LiOAc mixed with the precursor mixture; Cyclic voltammetry curves for the first three cycles of the lithium-rich manganese-based materials prepared from (j) LiOH, (k) Li2CO3, and (l) LiOAc[82]
图 6 (a) Li-1.26、(b) Li-1.20、(c) Li-1.14和(d) Li-1.08表面结构的晶体学模型和相应的HAADF图像及通过HAADF图像表面区域的线扫描获得的过渡金属离子柱的强度分布; Li-1.20的(e) 原始HAADF图像及(f) 表面和(g) 体相的FFT图像[87]
Figure 6 Crystallographic model of the surface structure, corresponding HAADF images and intensity distribution of the transition metal ion column obtained from line scans across surface regions in the HAADF images of (a) Li-1.26, (b) Li-1.20, (c) Li-1.14, and (d) Li-1.08; (e) Raw HAADF image and FFT images of the (f) surface and (g) bulk regions of Li-1.20[87]
图 7 (a) 缺锂富锂锰基正极材料的HAADF图像[88]; (b) 富锂锰基正极材料的3种可能结构模型的计算能量对比; (c) 过渡金属层排布方式对Li扩散路径的影响; (d) 锂离子沿ODH与TSH路径迁移的结构模型; (e) 单和双空位对Li迁移能垒的影响[92]
Figure 7 (a) HAADF image of lithium-deficient manganese-based cathode material[88]; (b) Comparison of calculated energies for three possible structural models of lithium-rich manganese-based cathode material; (c) Effect of transition metal layer arrangement on lithium diffusion pathways; (d) Structural model of lithium-ion migration along ODH and TSH pathways; (e) Influence of single and double vacancies on Li migration energy barriers[92]
图 9 (a) LLO-V和LLO-A的Mn2p XPS谱图[99]; 在O2与空气中合成样品的(b) 全谱图及(c) Ni2p3/2 XPS谱图[103]; (d) LLO-A和(f) LLO-V的X射线与中子衍射联合精修XRD图; (e) LLO-A和(g) LLO-V的飞行时间中子衍射(TOF-ND)图; (h) LLO-A(左)与LLO-V(右)的Li层和过渡金属层厚度对比; (i) LLO-V的局部结构及原子分布示意图[99]
Figure 9 (a) XPS Mn2p spectra of LLO-V and LLO-A[99]; (b) Survey and (c) Ni2p3/2 XPS spectra of samples synthesized oxygen and air[103]; Combined X-ray and neutron Rietveld refinement XRD patterns of (d) LLO-A and (f) LLO-V; Time-of-flight neutron diffraction (TOF-ND) spectrum of (e) LLO-A and (g) LLO-V; (h) Comparison of Li layer and transition metal layer thicknesses between LLO-A (left) and LLO-V (right); (i) Schematic of local structure and atomic distribution of LLO-V[99]
图 10 烧结温度为(a) 800 ℃、(b) 1 000 ℃和(c) 1 100 ℃下制备的Li[Li0.2Ni0.18Co0.03Mn0.58]O2的HAADF-STEM图像; (d) 与实验观测相匹配的晶体结构示意图; a~c中(e~g) 红色虚线框(沿c轴方向)和(h~j) 蓝色虚线框(沿b轴方向)区域的强度分布曲线[108]
Figure 10 STEM-HAADF images of Li[Li0.2Ni0.18Co0.03Mn0.58]O2 at different calcination temperatures of (a) 800 ℃, (b) 1 000 ℃, and (c) 1 100 ℃; (d) Schematic diagram of crystal structure matching the experimentally observed; Intensity distribution curves for the regions outlined by (e-g) the red dashed boxes (along the c-axis) and (h-j) the blue dashed boxes (along the b-axis) in a-c[108]
In e-j,“T”and“L”denote regions of high probability distribution for transition metals (Mn/Co/Ni) and Li+ ions, respectively.
图 11 (a) 预烧结与高温烧结结合的多段烧结示意图; 高温烧结温度为(b、e) 800 ℃、(c、f) 850 ℃和(d、g) 900 ℃时材料的SEM图像[111]; (h) 不同温度下合成的样品首圈循环后的XRD图; (i) 不同温度下合成的样品首圈循环前后的EIS[112]
Figure 11 (a) Schematic diagram of multi-stage sintering combined with pre-sintering and high temperature sintering; SEM images of the material at high-temperature sintering temperatures of (b, e) 800 ℃, (c, f) 850 ℃, and (d, g) 900 ℃[111]; (h) XRD patterns of the synthesized samples after the first cycle at different temperatures; (i) EIS of the synthesized samples before and after the first cycle at different temperatures[112]
图 13 (a) SNS与CTS的示意图; (b) 体相区域的MnL边电子能量损失谱(EELS)[125]; (c) 常规烧结程序示意图; (d) 三段式烧结程序示意图; (e) 常规烧结和(f) 三段式烧结样品在1C下循环100圈后的HRTEM图像及FFT图案[126]
Figure 13 (a) Schematic diagram of SNS and CTS; (b) Electron energy loss spectra (EELS) of the MnL-edge corresponding to the bulk region[125]; (c) Conventional sintering program at the high-temperature segment; (d) Three-stage sintering program; HRTEM images and FFT patterns of the samples prepared with (e) conventional sintering and (f) three-stage sintering after 100 cycles at 1C[126]
表 1 不同富锂锰基正极材料的合成方法优缺点对比
Table 1. Comparison of advantages and disadvantages of different synthesis methods for lithium-rich manganese-based cathode materials
Synthetic method Advantages Disadvantages References Solid phase method Simple process, making it suitable for mass production Poor mixing uniformity of raw materials [39-40, 43-44] Co-precipitation method Uniform mixing of elements at the molecular
level and adjustable material morphologyProcess involves chemical reagents,
wastewater treatment problems[45-47, 49, 60] Sol-gel method Narrow particle size distribution and small
particle sizeComplex process flow and high requirements
for equipment[50-52] Molten-salt growth method High ion diffusion efficiency, low reaction
temperature, and short reaction timeLow yield, post-treatment of materials, and
residual molten salt easily lead to significant
degradation of material properties[53-55] -
扫一扫看文章
计量
- PDF下载量: 16
- 文章访问数: 900
- HTML全文浏览量: 178

下载:
下载:
下载: