Citation: Tianhao GE, Sirong LU, Zhiyin XIAO, Wei ZHONG. Synthesis of porphyrin-based ionic polymeric materials for catalytic application in CO2 conversion[J]. Chinese Journal of Inorganic Chemistry, ;2026, 42(4): 722-736. doi: 10.11862/CJIC.20250312 shu

Synthesis of porphyrin-based ionic polymeric materials for catalytic application in CO2 conversion

Figures(12)

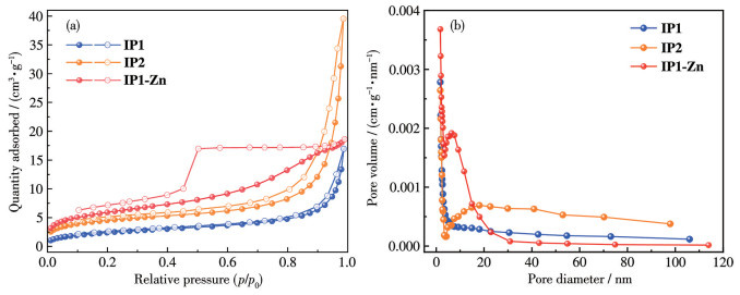
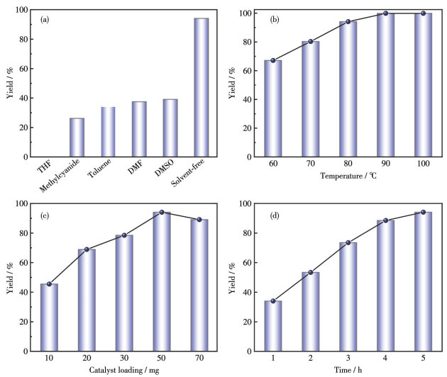
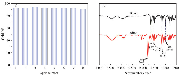
  • A series of porphyrin-based ionic polymeric materials, IP1, IP2, and IP1-M (M=Zn, Mg, Ni), were synthesized via olefin polymerization and thoroughly characterized by Fourier transform infrared spectroscopy (FTIR), thermogravimetric analysis (TGA), scanning electron microscopy (SEM), energy dispersive X-ray spectroscopy (EDS), specific surface area and porosity analyses, and X-ray photoelectron spectroscopy (XPS). These materials all exhibited excellent catalytic performance in the cycloaddition reaction of CO2 with epoxides under mild conditions of low temperature and atmospheric pressure. Among them, IP1-Zn, with Zn2+ coordinated to the porphyrin ring, demonstrated the highest catalytic activity. Under solvent-free conditions at 80 ℃ for 5 h under 101 kPa CO2, it catalyzed the conversion of epichlorohydrin to the corresponding cyclic carbonate with a yield of 94.1%, along with a certain degree of substrate generality. Furthermore, IP1-Zn showed remarkable stability and reusability, maintaining a catalytic yield above 90% even after eight consecutive cycles, indicating promising potential for industrial applications.
  • 加载中
    1. [1]

      SHINDELL D, SMITH C J. Climate and air-quality benefits of a realistic phase-out of fossil fuels[J]. Nature, 2019, 573(7774): 408-411  doi: 10.1038/s41586-019-1554-z

    2. [2]

      SENFTLE T P, CARTER E A. The holy grail: Chemistry enabling an economically viable CO2 capture, utilization, and storage strategy[J]. Acc. Chem. Res., 2017, 50(3): 472-475  doi: 10.1021/acs.accounts.6b00479

    3. [3]

      ARESTA M, DIBENEDETTO A, ANGELINI A. Catalysis for the valorization of exhaust carbon: From CO2 to chemicals, materials, and fuels. Technological use of CO2[J]. Chem. Rev., 2014, 114(3): 1709-1742  doi: 10.1021/cr4002758

    4. [4]

      MISHRA V, PETER S C. A comprehensive overview of the catalytic pathway for CO2 utilization with epoxide to cyclic carbonate[J]. Chem Catal., 2024, 4(1): 100796

    5. [5]

      HAN F, LI H, ZHUANG H F, HOU Q, YANG Q F, ZHANG B, MIAO C X. Direct synthesis of cyclic carbonates from olefins and CO2: Single- or multi-component catalytic systems via epoxide or halohydrin intermediate[J]. J. CO2 Util., 2021, 53: 101742  doi: 10.1016/j.jcou.2021.101742

    6. [6]

      LIU N, XIE Y F, WANG C, LI S J, WEI D H, LI M, DAI B. Cooperative multifunctional organocatalysts for ambient conversion of carbon dioxide into cyclic carbonates[J]. ACS Catal., 2018, 8(11): 9945-9957  doi: 10.1021/acscatal.8b01925

    7. [7]

      SHU Y, YANG Z Y, PAN W K, XIANG D X, WU J G, GAO L H, JIAO X, HE H, ZHANG Z X, CHEN G. Achieving carbon neutrality through conversion of CO2 to cyclic carbonates using bifunctional benzimidazolium-based pyridine hypercrosslinked polymers[J]. Appl. Surf. Sci., 2025, 686: 162164  doi: 10.1016/j.apsusc.2024.162164

    8. [8]

      YANG J J, WANG Y F, LIU Y B, DUAN G G, LIANG Z, HAN J Q, HUANG Y, HAN X S, ZHANG C M, HE S J, JIANG S H. Design of cyclic carbonate-based electrolytes for HC anodes towards improved low-temperature performance in lithium-ion batteries system[J]. Fuel, 2025, 379: 133048  doi: 10.1016/j.fuel.2024.133048

    9. [9]

      YU W, MAYNARD E, CHIARADIA V, ARNO M C, DOVE A P. Aliphatic polycarbonates from cyclic carbonate monomers and their application as biomaterials[J]. Chem. Rev., 2021, 121(18): 10865-10907  doi: 10.1021/acs.chemrev.0c00883

    10. [10]

      GUERIN W, DIALLO A K, KIRILOV E, HELOU M, SLAWINSKI M, BRUSSON J M, CARPENTIER J F, GUILLAUME S M. Enantiopure isotactic PCHC synthesized by ring-opening polymerization of cyclohexene carbonate[J]. Macromolecules, 2014, 47(13): 4230-4235  doi: 10.1021/ma5009397

    11. [11]

      ZHANG H H, WEI Z, HAO D, JING L, LIU Y X, DAI H X, WEI W Q, DENG J G. Recent advances in synergistic catalytic valorization of CO2 and hydrocarbons by heterogeneous catalysis[J]. Acta Phys.‒Chim. Sin., 2025, 41(7): 100073

    12. [12]

      BUSS J A, VANDERVELDE D G, AGAPIE T. Lewis acid enhancement of proton induced CO2 cleavage: Bond weakening and ligand residence time effects[J]. J. Am. Chem. Soc., 2018, 140(32): 10121-10125  doi: 10.1021/jacs.8b05874

    13. [13]

      SAINI N, MALIK A, JAIN S L. Light driven chemical fixation and conversion of CO2 into cyclic carbonates using transition metals: A review on recent advancements[J]. Coord. Chem. Rev., 2024, 502: 215636  doi: 10.1016/j.ccr.2023.215636

    14. [14]

      TONG H Y, LIANG J, WU Q J, ZOU Y H, HUANG Y B, CAO R. Soluble imidazolium-functionalized coordination cages for efficient homogeneous catalysis of CO2 cycloaddition reactions[J]. Chem. Commun., 2021, 57(17): 2140-2143  doi: 10.1039/D0CC08098E

    15. [15]

      WANG T F, ZHENG D N, ZHANG J S, FAN B W, MA Y, REN T G, WANG L, ZHANG J L. Protic pyrazolium ionic liquids: An efficient catalyst for conversion of CO2 in the absence of metal and solvent[J]. ACS Sustain. Chem. Eng., 2017, 6(2): 2574-2582

    16. [16]

      PRASAD D, PATIL K N, CHAUDHARI N K, KIM H, NAGARAJA B M, JADHAV A H. Paving way for sustainable earth-abundant metal based catalysts for chemical fixation of CO2 into epoxides for cyclic carbonate formation[J]. Catal. Rev., 2020, 64(2): 356-443

    17. [17]

      AGGRAWAL S, SHARMA R, MOHANTY P. CuO immobilized paper matrices: A green catalyst for conversion of CO2 to cyclic carbonates[J]. J. CO2 Util., 2021, 46: 101466  doi: 10.1016/j.jcou.2021.101466

    18. [18]

      WEI Y J, LI Y, XU Y F, SUN Y H, XU T, LIANG H O, BAI J. Crystal facet-dependent CO2 cycloaddition to epoxides over ZnO catalysts[J]. Front. Chem. Sci. Eng., 2024, 18(5): 53  doi: 10.1007/s11705-024-2412-6

    19. [19]

      SHAFIQUE A, SALEEM R, KHAN R R M, SAEED Z, PERVAIZ M, LIAQAT M, HUSSAIN T, SUMMER M, SHARIF S. Metal-organic frameworks as heterogeneous catalysts for CO2 cycloaddition: A promising strategy for CO2 mitigation and utilization[J]. Mater. Today Chem., 2024, 41: 102296  doi: 10.1016/j.mtchem.2024.102296

    20. [20]

      TAPIADOR J, GARCÍA-ROJAS E, LEO P, MARTOS C, CALLEJA G, ORCAJO G. Copper MOFs performance in the cycloaddition reaction of CO2 and epoxides[J]. Microporous Mesoporous Mat., 2023, 361: 112741  doi: 10.1016/j.micromeso.2023.112741

    21. [21]

      WANG L L, QIAO W Z, LIU H, LI S W, WU J, HOU H W. Synergistic effects of Lewis acid-base pair sites horizontal line Hf-MOFs with functional groups as distinguished catalysts for the cycloaddition of epoxides with CO2[J]. Inorg. Chem., 2023, 62(9): 3817-3826  doi: 10.1021/acs.inorgchem.2c04078

    22. [22]

      XU D, GUO J N, YAN F. Porous ionic polymers: Design, synthesis, and applications[J]. Prog. Polym. Sci., 2018, 79: 121-143  doi: 10.1016/j.progpolymsci.2017.11.005

    23. [23]

      GHORAI A, CHUNG H. Ionic lignin polymers for controlled CO2 capture, release, and conversion into high-value chemicals[J]. Adv. Mater., 2024, 36(38): e2406610  doi: 10.1002/adma.202406610

    24. [24]

      ZHAO J J, YAN X L, LIU X, ZHANG Y H, LI F, LI S S, HAO Y H, ZHU Z, CHANG T, WU B. Construction on ferrocene-derived imidazole ionic polymers for carbon dioxide cycloaddition and iodine capture[J]. J. Environ. Chem. Eng., 2025, 13(2): 115695  doi: 10.1016/j.jece.2025.115695

    25. [25]

      SHEN Y X, XU G Y, LI J H, LIN X, YANG F, YANG H Y, CHEN W J, WU Y Y, WU X X, CHENG Q R, ZHU J, LI Y W, LI Y F. Functional ionic liquid polymer stabilizer for high-performance perovskite photovoltaics[J]. Angew. Chem.‒Int. Edit., 2023, 62(16): e202300690  doi: 10.1002/anie.202300690

    26. [26]

      MOHAN B, SHANMUGHAN A, KRISHNA A V, NOUSHIJA M K, UMADEVI D, SHANMUGARAJU S. Porous organic polymers-based fluorescent chemosensors for Fe(Ⅲ) ions-a functional mimic of siderophores[J]. Front. Chem., 2024, 12: 1361796  doi: 10.3389/fchem.2024.1361796

    27. [27]

      TANG X Y, LIU J, CHEN P B, WU C C, LI X J, PAN Y M, LIANG Y. Effective N-formylation of amines with CO2 in anaerobic fermentation gas catalyzed by triply synergistic effect of ionic porous organic polymer[J]. ChemCatChem, 2023, 15(4): e202201351  doi: 10.1002/cctc.202201351

    28. [28]

      CUI C Y, SA R J, HONG Z X, ZHONG H, WANG R H. Ionic-liquid-modified click-based porous organic polymers for controlling capture and catalytic conversion of CO2[J]. ChemSusChem, 2020, 13(1): 180-187  doi: 10.1002/cssc.201902715

    29. [29]

      ZHONG W, BOBBINK F D, FEI Z F, DYSON P J. Polyimidazolium salts: Robust catalysts for the cycloaddition of carbon dioxide into carbonates in solvent-free conditions[J]. ChemSusChem, 2017, 10(13): 2728-2735  doi: 10.1002/cssc.201700570

    30. [30]

      LIU M S, WANG X, JIANG Y C, SUN J M, ARAI M. Hydrogen bond activation strategy for cyclic carbonates synthesis from epoxides and CO2: Current state-of-the art of catalyst development and reaction analysis[J]. Catal. Rev., 2019, 61(2): 214-269  doi: 10.1080/01614940.2018.1550243

    31. [31]

      CHEN Y, LI Y J, WANG H, CHEN Z F, LEI Y Z. Facile construction of carboxyl-functionalized ionic polymer towards synergistic catalytic cycloaddition of carbon dioxide into cyclic carbonates[J]. Int. J. Mol. Sci., 2022, 23: 10879  doi: 10.3390/ijms231810879

    32. [32]

      ZHU L H, HUANG Z Y, GE T H, JIANG C Q, ZHONG W, KANNAN P. Ionic polymers with phenolic hydroxyl groups as hydrogen bond donors toward enhanced catalytic performance for CO2 conversion[J]. ChemistrySelect, 2024, 9: e202402251  doi: 10.1002/slct.202402251

    33. [33]

      LIU C, SHI L, ZHANG J X, SUN J M. One-pot synthesis of pyridine-based ionic hyper-cross-linked polymers with hierarchical pores for efficient CO2 capture and catalytic conversion[J]. Chem. Eng. J., 2022, 427: 131633  doi: 10.1016/j.cej.2021.131633

    34. [34]

      LIU F W, DUAN X R, DAI X, DU S S, MA J H, LIU F S, LIU M S. Metal-decorated porous organic frameworks with cross-linked pyridyl and triazinyl as efficient platforms for CO2 activation and conversion under mild conditions[J]. Chem. Eng. J., 2022, 445: 136687  doi: 10.1016/j.cej.2022.136687

    35. [35]

      DU Y R, YANG X, WANG Y F, GUAN P X, WANG R, XU B H. Immobilization poly(ionic liquid)s into hierarchical porous covalent organic frameworks as heterogeneous catalyst for cycloaddition of CO2 with epoxides[J]. Mol. Catal., 2022, 520: 112164

    36. [36]

      LIU L N, JAYAKUMAR S, CHEN J, TAO L, LI H, YANG Q H, LI C. Synthesis of bifunctional porphyrin polymers for catalytic conversion of dilute CO2 to cyclic carbonates[J]. ACS Appl. Mater. Interfaces, 2021, 13(25): 29522-29531  doi: 10.1021/acsami.1c04624

    37. [37]

      WANG K, LIU Y X, WANG S T, DAI Z F, XIONG Y B. Synergistic catalysis of metalloporphyrins and phosphonium ionic liquids for the efficient transformation of CO2 under ambient conditions[J]. J. CO2 Util., 2021, 48: 101519  doi: 10.1016/j.jcou.2021.101519

    38. [38]

      BAI X L, SU Z P, WEI J J, MA L J, DUAN S J, WANG N, ZHANG X F, LI J. Zinc(Ⅱ) porphyrin-based porous ionic polymers (PIPs) as multifunctional heterogeneous catalysts for the conversion of CO2 to cyclic carbonates[J]. Ind. Eng. Chem. Res., 2022, 61(15): 5093-5102  doi: 10.1021/acs.iecr.2c00161

    39. [39]

      CARLSSON H, HAUKKA M, BOUSSEKSOU A, LATOUR J M, NORDLANDER E. Nickel complexes of carboxylate-containing polydentate ligands as models for the active site of urease[J]. Inorg. Chem., 2004, 43(26): 8252-8262  doi: 10.1021/ic049048u

    40. [40]

      VALENTINO L, CAMPISCIANO V, CÉLIS C, LEMAUR V, LAZZARONI R, GRUTTADAURIA M, APRILE C, GIACALONE F. Highly cross-linked bifunctional magnesium porphyrin-imidazolium bromide polymer: Unveiling the key role of co-catalysts proximity for CO2 conversion into cyclic carbonates[J]. J. Catal., 2023, 428: 115143  doi: 10.1016/j.jcat.2023.115143

    41. [41]

      WANG J X, GUO S E, XU C, JIANG Y Q, WU X M, YU P, XIAO Y T, SONG R J. Zinc-porphyrin conjugated polymer nanosheets with accelerated charge transfer dynamics for selective photocatalytic CO2 reduction to CH4[J]. ACS Appl. Nano Mater., 2025, 8(4): 2022-2032  doi: 10.1021/acsanm.4c06800

    42. [42]

      BOBBINK F D, VAN MUYDEN A P, GOPAKUMAR A, FEI Z F, DYSON P J. Synthesis of cross-linked ionic poly(styrenes) and their application as catalysts for the synthesis of carbonates from CO2 and epoxides[J]. ChemPlusChem, 2017, 82(1): 144-151  doi: 10.1002/cplu.201600461

    43. [43]

      GHAZALI-ESFAHANI S, SONG H B, PĂUNESCU E, BOBBINK F D, LIU H Z, FEI Z F, LAURENCZY G, BAGHERZADEH M, YAN N, DYSON P J. Cycloaddition of CO2 to epoxides catalyzed by imidazolium-based polymeric ionic liquids[J]. Green Chem., 2013, 15(6): 1584-1589  doi: 10.1039/c3gc37085b

    44. [44]

      WANG D P, WANG D, YAN P, LI Z Y, WANG N, LI J. A2B2-type zinc(Ⅱ) porphyrin-modified organic polymers with flexible linkers for efficient fixation of CO2 to cyclic carbonate[J]. Ind. Eng. Chem. Res., 2024, 63(31): 13469-13479  doi: 10.1021/acs.iecr.4c00755

    45. [45]

      ZHU L H, CHENG P Y, XIAO Z Y, LU C X, LI B, JIANG X H, SHEN Z Q, QIAN N L, ZHONG W, HE Y B. Incorporation of phenolic skeleton into imidazolium ionic polymers as recyclable catalysts for efficient fixation of CO2 into cyclic carbonates[J]. Chem. Eng. J., 2024, 481: 148359  doi: 10.1016/j.cej.2023.148359

    46. [46]

      WANG D, MA L J, WANG D P, WANG R H, WANG N, LI J. Zinc(Ⅱ) porphyrin-based ionic porous organic polymers (iPOPs) having abundant dual-function sites for promoting cycloaddition of CO2 with epoxides[J]. Appl. Catal. A‒Gen., 2023, 665: 119380  doi: 10.1016/j.apcata.2023.119380

    47. [47]

      SHAN H B, WANG J J, SHI Z C, LIU J, ZANG Y, AOKI T. One-pot synthesis of porphyrin-imidazole-based ionic hypercrosslinked polymers as heterogeneous catalyst for efficient cycloaddition of CO2 with epoxides[J]. Fuel, 2026, 410: 137935  doi: 10.1016/j.fuel.2025.137935

    48. [48]

      QIU Y J, CHEN Y J, LEI L, WANG X L, ZENG X J, FENG Z F, DENG C Y, LIN D Y, JI H B. Bottom-up oriented synthesis of metalloporphyrin-based porous ionic polymers for the cycloaddition of CO2 to epoxides[J]. Mol. Catal., 2022, 521: 112171

    49. [49]

      XU W, ZHANG Z X, WU Y X, CHEN K C, LUO R C. Cobalt porphyrin-based hypercrosslinked ionic polymers as biomimetic nanoreactors for CO2 conversion to cyclic carbonates[J]. Chem. Commun., 2024, 60: 1599-1602  doi: 10.1039/D3CC05593K

    50. [50]

      WANG J J, CHEN J Q, SHAN H B, SHI Z C, LIU J, ZANG Y, AOKI T. One-pot synthesis of amino acid-based functional hyper-crosslinked ionic polymers as heterogeneous catalysts for efficient fixation of CO2 with epoxides[J]. Sep. Purif. Technol., 2025, 354: 129306  doi: 10.1016/j.seppur.2024.129306

    51. [51]

      LIU X Y, ZHOU F R, CHEN M, XU W, LIU H B, ZHONG J J, LUO R C. High-surface-area metalloporphyrin-based porous ionic polymers by the direct condensation strategy for enhanced CO2 capture and catalytic conversion into cyclic carbonates[J]. ACS Appl. Mater. Interfaces, 2023, 15(1): 1085-1096  doi: 10.1021/acsami.2c18283

    52. [52]

      LIU X Y, ZHOU F R, CHEN M, XU W, LIU H B, ZHONG J J, LUO R C. Synergistically converting carbon dioxide into cyclic carbonates by metalloporphyrin-based cationic polymers with imidazolium functionality[J]. ChemistrySelect, 2021, 6: 583-588  doi: 10.1002/slct.202004338

    53. [53]

      WANG J J, CHEN J Q, LI D N, LIU J, SHI Z C, XU L, ZANG Y. A novel bifunctional metalloporphyrin-based hyper-crosslinked ionic polymer as heterogeneous catalyst for efficiently converting CO2 into cyclic carbonates[J]. J. Mater. Sci., 2024, 59: 1235-1252  doi: 10.1007/s10853-023-09280-y

    54. [54]

      WANG W L, LI C Y, JIN J T, LI Y, DING Y J. Mg-porphyrin complex doped divinylbenzene based porous organic polymers (POPs) as highly efficient heterogeneous catalysts for the conversion of CO2 to cyclic carbonates[J]. Dalton Trans., 2018, 47: 13135  doi: 10.1039/C8DT02913J

    55. [55]

      DAI Z F, TANG Y Q, ZHANG F, XIONG Y B, WANG S, SUN Q, WANG L, MENG X J, ZHAO L H, XIAO F S. Combination of binary active sites into heterogeneous porous polymer catalysts for efficient transformation of CO2 under mild conditions[J]. Chin. J. Catal., 2021, 42: 618-626  doi: 10.1016/S1872-2067(20)63679-8

    56. [56]

      ZHU L H, XIAO Z Y, ZHONG W, HE Y B. Effect of different spacers in ionic polymers on catalytic CO2 cycloaddition reaction[J]. Chinese J. Inorg. Chem., 2022, 38(7): 1299-1308

    57. [57]

      CHEN Z A, ZOU L, CAO R, HUANG Y B. Porous covalent organic framework liquid for boosting CO2 adsorption and catalysis via dynamically expanding effect[J]. Natl. Sci. Rev., 2025, 12: nwaf032  doi: 10.1093/nsr/nwaf032

    58. [58]

      ZOU Y H, HUANG Y B, SI D H, YIN Q, WU Q J, WENG Z X, CAO R. Porous metal-organic framework liquids for enhanced CO2 adsorption and catalytic conversion[J]. Angew. Chem.‒Int. Edit., 2021, 60: 20915-20920  doi: 10.1002/anie.202107156

    59. [59]

      CHEN Z, WANG K, TANG Y M, LI L, HU X N, HAN M X, GUO Z Y, ZHAN H B, CHEN B L. Reticular synthesis of one-dimensional covalent organic frameworks with 4-c sql topology for enhanced fluorescence emission[J]. Angew. Chem.‒Int. Edit., 2023, 62: e202213268  doi: 10.1002/anie.202213268

    60. [60]

      CARRASO S, ORCAJO G, MARTÍNEZ F, IMAZ I, KAVAK S, ARENAS-ESTEBAN D, MASPOCH D, BALS S, GALLEJA G, HORCAJADA P. Hf/porphyrin-based metal-organic framework PCN-224 for CO2 cycloaddition with epoxides[J]. Mater. Today Adv., 2023, 19: 100390  doi: 10.1016/j.mtadv.2023.100390

  • 加载中
    1. [1]

      Chunhui GaoLurong LiGuanwei PengJinni ShenWenxin DaiZizhong Zhang . Efficient photocatalytic NADH regeneration and enzymatic CO2 reduction over[Cp*Rh(bpy)H2O]2+ self-assembled CdIn2S4 flower-like microspheres. Acta Physico-Chimica Sinica, 2026, 42(3): 100165-0. doi: 10.1016/j.actphy.2025.100165

    2. [2]

      Wenjuan SHIYuke LUXiuyuan LILei HOUYaoyu WANG . Mg(Ⅱ) metal-organic frameworks based on biphenyltetracarboxylic acid: Synthesis and CO2 adsorption and catalytic conversion performance. Chinese Journal of Inorganic Chemistry, 2025, 41(12): 2455-2463. doi: 10.11862/CJIC.20250220

    3. [3]

      Ran YuChen HuRuili GuoRuonan LiuLixing XiaCenyu YangJianglan Shui . Catalytic Effect of H3PW12O40 on Hydrogen Storage of MgH2. Acta Physico-Chimica Sinica, 2025, 41(1): 100001-0. doi: 10.3866/PKU.WHXB202308032

    4. [4]

      Ting YANGJia ANJinyu ZHANGRuonan FANRong YANXiaoxia JINGPanpan CHANGWei YAN . Synergistic enhancement of ion migration and sulfur conversion kinetics in lithium-sulfur batteries by CeO2/g-C3N4. Chinese Journal of Inorganic Chemistry, 2026, 42(3): 519-530. doi: 10.11862/CJIC.20250274

    5. [5]

      Yongxin LIUXingchen LIHongjia LIUDanni LITao ZHANGXi CHEN . Enhancement effect of Fe3O4 conversion to MIL-100(Fe) on activation of persulfate for degradation of antibiotic. Chinese Journal of Inorganic Chemistry, 2025, 41(12): 2503-2513. doi: 10.11862/CJIC.20250169

    6. [6]

      Shiyan Cheng Yonghong Ruan Lei Gong Yumei Lin . Research Advances in Friedel-Crafts Alkylation Reaction. University Chemistry, 2024, 39(10): 408-415. doi: 10.12461/PKU.DXHX202403024

    7. [7]

      Xiaogang Liu Mengyu Chen Yanyan Li Xiantao Ma . Experimental Reform in Applied Chemistry for Cultivating Innovative Competence: A Case Study of Catalytic Hydrogen Production from Liquid Formaldehyde Reforming at Room Temperature. University Chemistry, 2025, 40(7): 300-307. doi: 10.12461/PKU.DXHX202408007

    8. [8]

      Qingtao CHENXiangdong SHIXianghai RAOLiying JIANGChunxiao JIAFenghua CHEN . Catalytic and in situ surface-enhanced Raman scattering detection properties of graphene oxide/gold nanorod assembly. Chinese Journal of Inorganic Chemistry, 2026, 42(1): 120-128. doi: 10.11862/CJIC.20250091

    9. [9]

      Jiaxing CaiWendi XuHaoqiang ChiQian LiuWa GaoLi ShiJingxiang LowZhigang ZouYong Zhou . Highly Efficient InOOH/ZnIn2S4 Hollow Sphere S-Scheme Heterojunction with 0D/2D Interface for Enhancing Photocatalytic CO2 Conversion. Acta Physico-Chimica Sinica, 2024, 40(11): 2407002-0. doi: 10.3866/PKU.WHXB202407002

    10. [10]

      You WuChang ChengKezhen QiBei ChengJianjun ZhangJiaguo YuLiuyang Zhang . Efficient Photocatalytic Production of H2O2 over ZnO/D-A Conjugated Polymer S-scheme Heterojunction and Charge Transfer Dynamics Investigation. Acta Physico-Chimica Sinica, 2024, 40(11): 2406027-0. doi: 10.3866/PKU.WHXB202406027

    11. [11]

      Lina GuoRuizhe LiChuang SunXiaoli LuoYiqiu ShiHong YuanShuxin OuyangTierui Zhang . Effect of Interlayer Anions in Layered Double Hydroxides on the Photothermocatalytic CO2 Methanation of Derived Ni-Al2O3 Catalysts. Acta Physico-Chimica Sinica, 2025, 41(1): 100002-0. doi: 10.3866/PKU.WHXB202309002

    12. [12]

      Dong XiangKunzhen LiKanghua MiaoRan LongYujie XiongXiongwu Kang . Amine-Functionalized Copper Catalysts: Hydrogen Bonding Mediated Electrochemical CO2 Reduction to C2 Products and Superior Rechargeable Zn-CO2 Battery Performance. Acta Physico-Chimica Sinica, 2024, 40(8): 2308027-0. doi: 10.3866/PKU.WHXB202308027

    13. [13]

      Ke QiuFengmei WangMochou LiaoKerun ZhuJiawei ChenWei ZhangYongyao XiaXiaoli DongFei Wang . A Fumed SiO2-based Composite Hydrogel Polymer Electrolyte for Near-Neutral Zinc-Air Batteries. Acta Physico-Chimica Sinica, 2024, 40(3): 2304036-0. doi: 10.3866/PKU.WHXB202304036

    14. [14]

      Honghong ZhangZhen WeiDerek HaoLin JingYuxi LiuHongxing DaiWeiqin WeiJiguang Deng . 非均相催化CO2与烃类协同催化转化的最新进展. Acta Physico-Chimica Sinica, 2025, 41(7): 100073-0. doi: 10.1016/j.actphy.2025.100073

    15. [15]

      Yanzhe WANGXiaoming GUOQiangsheng GUOLiang LIBin LUPeihang YE . Effect of Ce introduction on the low-temperature performance of NiAl catalyst for CO2 methanation. Chinese Journal of Inorganic Chemistry, 2025, 41(11): 2218-2228. doi: 10.11862/CJIC.20250202

    16. [16]

      Zhao LuHu LvQinzhuang LiuZhongliao Wang . Modulating NH2 Lewis Basicity in CTF-NH2 through Donor-Acceptor Groups for Optimizing Photocatalytic Water Splitting. Acta Physico-Chimica Sinica, 2024, 40(12): 2405005-0. doi: 10.3866/PKU.WHXB202405005

    17. [17]

      Chunyuan KangXiaoyu LiFan YangBai Yang . Ionic-bond crosslinked carbonized polymer dots for tunable and enhanced room temperature phosphorescence. Acta Physico-Chimica Sinica, 2026, 42(1): 100156-0. doi: 10.1016/j.actphy.2025.100156

    18. [18]

      Ruolin CHENGYue WANGXiyao NIUHuagen LIANGLing LIUShijian LU . Efficient photothermal catalytic CO2 cycloaddition over W18O49/rGO composites. Chinese Journal of Inorganic Chemistry, 2025, 41(7): 1276-1284. doi: 10.11862/CJIC.20240424

    19. [19]

      Xiaomin Kang Chuanbao Jiao . Application of Metal-Organic Frameworks in CO2 Catalytic Conversion: Promoting “Double Carbon” Actions for a Beautiful China. University Chemistry, 2026, 41(2): 208-217. doi: 10.12461/PKU.DXHX202503011

    20. [20]

      Liuyun ChenWenju WangTairong LuXuan LuoXinling XieKelin HuangShanli QinTongming SuZuzeng QinHongbing Ji . Soft template-induced deep pore structure of Cu/Al2O3 for promoting plasma-catalyzed CO2 hydrogenation to DME. Acta Physico-Chimica Sinica, 2025, 41(6): 100054-0. doi: 10.1016/j.actphy.2025.100054

Metrics
  • PDF Downloads(0)
  • Abstract views(25)
  • HTML views(6)

通讯作者: 陈斌, bchen63@163.com
  • 1. 

    沈阳化工大学材料科学与工程学院 沈阳 110142

  1. 本站搜索
  2. 百度学术搜索
  3. 万方数据库搜索
  4. CNKI搜索
Address:Zhongguancun North First Street 2,100190 Beijing, PR China Tel: +86-010-82449177-888
Powered By info@rhhz.net

/

DownLoad:  Full-Size Img  PowerPoint
Return