Citation: Chao WU, Qingxiu SHI, Tao XU, Zhengxi PENG, Zhongping XIONG, Yinglin ZHANG, Yujun SI, Chaozhong GUO. Enhancement of oxygen reduction reaction performance of iron-nitrogen doped carbon based catalysts by sodium carboxymethyl cellulose pre-deoxygenation[J]. Chinese Journal of Inorganic Chemistry, ;2026, 42(4): 737-746. doi: 10.11862/CJIC.20250305 shu

Enhancement of oxygen reduction reaction performance of iron-nitrogen doped carbon based catalysts by sodium carboxymethyl cellulose pre-deoxygenation

Figures(6)

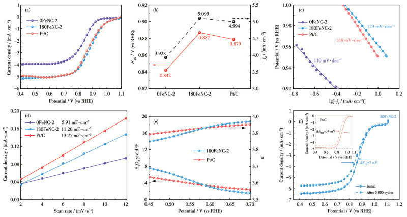
  • Iron-nitrogen co-doped carbon-based catalyst (180FeNC-2) was prepared using sodium carboxymethyl cellulose (CMC) as a precursor. The results indicate that pre-deoxygenation treatment of CMC induces cleavage of glycosidic bonds, which facilitates a higher nitrogen doping level in the catalyst obtained from co-carbonization with a nitrogen precursor. This process also promotes the formation of well-defined thin carbon sheets, constructing a hierarchical mesoporous structure that enhances mass transport and exposure of active sites during the catalytic reaction. The resulting catalyst (180FeNC-2) exhibited an oxygen reduction reaction half-wave potential of 0.887 V (vs RHE), an electrochemical active surface area of 11.26 mF·cm-2, and a charge transfer resistance of 81 Ω in an alkaline electrolyte. Its catalytic performance surpasses that of the catalyst (0FeNC-2) derived from untreated CMC and was comparable to the standard Pt/C catalyst, while also demonstrating excellent stability and methanol tolerance. A zinc-air battery assembled based on 180FeNC-2 delivered an open-circuit voltage of 1.478 V, a maximum power density of 162 mW·cm-2, and could stable discharge at 1.25 V under a current density of 10 mA·cm-2.
  • 加载中
    1. [1]

      HOU C, ZHAO J, HUANG B R, ZHOU X F, ZHANG Y L. Microalgae-based technologies for carbon neutralization and pollutant remediation: A comprehensive and systematic review[J]. Resour. Conserv. Recycl., 2024, 202: 107323  doi: 10.1016/j.resconrec.2023.107323

    2. [2]

      NAEEM M A, APPIAH M, TADEN J, AMOASI R, GYAMFI B A. Transitioning to clean energy: Assessing the impact of renewable energy, bio-capacity and access to clean fuel on carbon emissions in OECD economies[J]. Energy Econ., 2023, 127: 107091  doi: 10.1016/j.eneco.2023.107091

    3. [3]

      TAO W, SACHIN K M, WENG S, DENG X, CHEN X L, SONG M. Exploring the impact of energy saving and emission reduction fiscal policy on renewable energy development: Evidence from China[J]. Econ. Anal. Policy, 2025, 87: 463-483  doi: 10.1016/j.eap.2025.06.018

    4. [4]

      PARK Y S, JUNG J, KOO M B, KIM J G, GU J, CHOI G H, KIM S H, KIM J F, AHN C H, HWANG S S, CHUNG H T, LEE A S. All protonated phosphonic acid membrane and ionomers for high powered intermediate temperature proton exchange membrane fuel cells[J]. Chem. Eng. J., 2025, 522: 167336  doi: 10.1016/j.cej.2025.167336

    5. [5]

      ZHANG R W, SUN J L, CHEN Y Z, SHEN Q, DING C, ZHANG S M, ZHANG J J. Advanced porous platinum group metal nano-structural electrocatalysts for water electrolysis, fuel cells and metal-air batteries[J]. Coord. Chem. Rev., 2025, 543: 216958  doi: 10.1016/j.ccr.2025.216958

    6. [6]

      SARSENOV S, MOON C J, SENTHIL R A, KUMAR A, MAHESKUMAR V, UBAIDULLAH M, KANJANAPAPARKUL K, KHEAWHOM S, CHOI M Y. Harnessing the surface-stabilized high-entropy alloy and nitrogen-doped carbon interplay for superior Zn-air battery performance[J]. Energy Storage Mater., 2025, 81: 104507  doi: 10.1016/j.ensm.2025.104507

    7. [7]

      GUO Y F, LIU X, YANG S J, WANG P F, LIU Z L, ZHANG J H, LI C S, SHU J, YI T F. Composition modulation of electrocatalysts based on 3d transition metal towards high-performance Zn-air batteries[J]. Chem. Eng. J., 2024, 498: 155537  doi: 10.1016/j.cej.2024.155537

    8. [8]

      GAUTAM J, MAHAJAN R L, LEE S Y, PARK S J. Bifunctional electrocatalysts for Zn-air batteries: A comprehensive review of design optimization and in-situ characterization[J]. Mater. Sci. Eng. R Rep., 2025, 166: 101058  doi: 10.1016/j.mser.2025.101058

    9. [9]

      ZHANG P F, WEI M H, WANG K L, WANG H W, ZUO Y Y, ZHANG M H. Performance optimization of zinc-air batteries via nanomaterials[J]. Energy Storage Mater., 2025, 75: 104109  doi: 10.1016/j.ensm.2025.104109

    10. [10]

      ZENG X, SHAHGALDI S, MITRA S K, LI X G. Impact of carbon supports on the Pt-based catalyst activity and fuel cell performance under varied operational conditions[J]. Energy Conv. Manag., 2025, 326: 119496  doi: 10.1016/j.enconman.2025.119496

    11. [11]

      WU W F, YAN X, ZHAN Y. Recent progress of electrolytes and electrocatalysts in neutral aqueous zinc-air batteries[J]. Chem. Eng. J., 2023, 451: 138608  doi: 10.1016/j.cej.2022.138608

    12. [12]

      HOU X T, WANG H, JIA L M, LI M X, YU W C, BIAN Z Y. Nitrogen-doped carbon bilayer flow-through electrocatalytic membrane based on transition metal single atoms: Simultaneous generation and activation of H2O2 for ibuprofen degradation[J]. Chem. Eng. J., 2025, 513: 162950  doi: 10.1016/j.cej.2025.162950

    13. [13]

      LI Y Q, CUI M, XU J L, YANG Z Z, CHEN S R. A universal procedure to prepare high density M-N4 sites anchored in nitrogen doped porous carbon as efficient oxygen reduction reaction catalysts for flexible Zn-air batteries[J]. J. Colloid Interface Sci., 2025, 702(Pt 1): 138918

    14. [14]

      WU Q H, JIANG J H, GAO H J, JIA H L, WU C Y, DENG C Y, XU G C, AMMAR M, JIANG H, ZHANG L. Carbon cloth-based nitrogen-doped carbon nanotube-encapsulated Co nanoparticles as bifunctional oxygen electrocatalysts for flexible Zn-air batteries[J]. J. Mater. Sci. Technol., 2025, 255: 65-74

    15. [15]

      LI W Y, ZHOU W T, ZHOU J C, JIANG J J, ZHANG M M, XIE J M. CeO2 regulates electronic structure of Co-Fe alloy surface Interface on nitrogen-doped carbon to enhance oxygen reduction reaction in zinc-air battery[J]. Chem. Eng. J., 2025, 518: 164633  doi: 10.1016/j.cej.2025.164633

    16. [16]

      JIN Z Y, CHEN Y Z, SUN J L, ZHANG S M, ZHANG J J. Perceptions of metal-nitrogen-carbon catalysts for oxygen reduction reaction[J]. Mater. Sci. Eng. R‒Rep., 2025, 165: 101027  doi: 10.1016/j.mser.2025.101027

    17. [17]

      PARK S, KIM J, KWON K. A review on biomass-derived N-doped carbons as electrocatalysts in electrochemical energy applications[J]. Chem. Eng. J., 2022, 446: 137116  doi: 10.1016/j.cej.2022.137116

    18. [18]

      SRINIVASAN S B, DEVENDIRAN S, SAVUNTHARI KV, ARUMUGAM P, MUKERJEE S. Insights into multifarious heteroatom-doped/enriched carbon-based materials and their composites: Synthesis and Supercapacitor applications—A crucial review[J]. Prog. Mater. Sci., 2025, 153: 101470  doi: 10.1016/j.pmatsci.2025.101470

    19. [19]

      GU J W, WANG H F, LI S, RIAZ M S, NING J Q, PU X, HU Y. Tuning pyridinic-N and graphitic-N doping with 4, 4′-bipyridine in honeycomb-like porous carbon and distinct electrochemical roles in aqueous and ionic liquid gel electrolytes for symmetric supercapacitors[J]. J. Colloid Interface Sci., 2023, 635: 254-264  doi: 10.1016/j.jcis.2022.12.127

    20. [20]

      WU C X, YU Y H, SONG Y M, RAO P, HAN X Q, LIANG Y, LI J, ZHANG K, ZHANG Z J, DENG P L, TIAN X L, WU D X. Pyrrole-type TM-N3 sites as high-efficient bifunctional oxygen reactions electrocatalysts: From theoretical prediction to experimental validation[J]. J. Energy Chem., 2025, 104: 472-481  doi: 10.1016/j.jechem.2025.01.002

    21. [21]

      WU Y, CHEN L, SUN P, ZHANG Q R, CHEN Y G, ZHENG X. Heterogeneous catalytic reactions of in-situ generated bromide ions via hydrodehalogenation of tetrabromobisphenol A in advanced oxidation processes over palladium nanoparticles[J]. Appl. Catal. B‒Environ. Energy, 2024, 340: 123213  doi: 10.1016/j.apcatb.2023.123213

    22. [22]

      REN J Y, LIU S J, ZHANG J, ZHAO X F, YU S M, YUAN Z P, GUO Q L, SHEN X D, YI X B. Mesoporous TiO2-GO-Cu Aerogel synthesized via classical sol-gel/supercritical drying route: High specific surface area and enhanced visible light photodegradation[J]. J. Non-Cryst. Solids, 2025, 667: 123733  doi: 10.1016/j.jnoncrysol.2025.123733

    23. [23]

      BI T, ZHANG J, LI J, CUI W, LIN Q. A CoS2-loaded N-doped ultrathin-wall mesoporous carbon with three-dimensional fluffy network structure as desirable sulfur-loading host for lithium-sulfur battery[J]. J. Alloy. Compd., 2025, 1020: 179386

    24. [24]

      ZHANG Z, DONG X Y, GU T L, LI Q Y, LIU M Z, LI M H, ZHU W, LIANG X. How the macrocyclic precursors influence the M-N-C catalysts? Preparation and their applications on the electrochemically catalyzed hydrogen evolutions[J]. J. Alloy. Compd., 2024, 991: 174518  doi: 10.1016/j.jallcom.2024.174518

    25. [25]

      HUANG Y, CHEN Y, XU M, LY A, GILI A, MURPHY E, ASSET T, LIU Y, DE ANDRADE V, SEGRE C U, DERIY A L, DE CARLO F, KUNZ M, GURLO A, PAN X, ATANASSOV P, ZENYUK I V. Catalysts by pyrolysis: Transforming metal-organic frameworks (MOFs) precursors into metal-nitrogen-carbon (M-N-C) materials[J]. Mater. Today, 2023, 69: 66-78  doi: 10.1016/j.mattod.2023.08.007

    26. [26]

      YANG C Y, LANG J P. Diverse MOFs-derived carbon-based materials for advanced electrochemical energy applications[J]. EnergyChem, 2025, 7(4): 100163  doi: 10.1016/j.enchem.2025.100163

    27. [27]

      ARSHAD F, REN P, YANG X, SUN H, QIAO Y. Recent breakthroughs in sulfide-functionalized metal-organic frameworks for electrocatalytic carbon dioxide reduction and hydrogen evolution reactions and their life cycle assessment[J]. Coord. Chem. Rev., 2026, 546: 217029  doi: 10.1016/j.ccr.2025.217029

    28. [28]

      TANG R Z, FENG Y H, LIU Y F, WU Y H, LIU Q, HU G Z, LIU X J. Recent advancements of biomass materials in aqueous zinc-ion batteries[J]. Chem. Eng. J., 2025, 523: 168559  doi: 10.1016/j.cej.2025.168559

    29. [29]

      WU H Y, ZHAO Q Q, JIANG S, LIU W, XIAO H N, WU W B. Research advances in doped carbon electrocatalysts derived from biomass[J]. Chem. Eng. J., 2025, 505: 159694  doi: 10.1016/j.cej.2025.159694

    30. [30]

      HE C W J, LI B, YANG G J, HE S J, JIANG S H, YANG H Q, HAN J Q, LI X, WU F D, ZHANG Q. Progress of 0D biomass-derived porous carbon materials produced by hydrothermal assisted synthesis for advanced supercapacitors[J]. J. Colloid Interface Sci., 2025, 685: 487-508  doi: 10.1016/j.jcis.2025.01.163

    31. [31]

      LI Z J, CHEN G Z, GUAN J Z, HUANG C L, GAO Z Y, CHEN X, YU H Y, LIU Y N. Confined graphitization of cellulose polymorphs enables high performance piezoresistive electronics[J]. Chem. Eng. J., 2025, 523: 168681  doi: 10.1016/j.cej.2025.168681

    32. [32]

      ZHANG Q, DING Z T, LI Y, WANG X, HUANG J T. Conformational regulation and aggregation structure evolution during cellulose regeneration process[J]. Carbohydr. Polym., 2025, 370: 124332  doi: 10.1016/j.carbpol.2025.124332

    33. [33]

      KONG Q Y, YANG G J, HE C W J, CHEN J X, HE S J, LI P, JIANG L J, YANG H Q, ZHANG C M, ZHANG Q. Sodium carboxymethyl cellulose derived carbon aerogels synthesized by zinc nitrate hexahydrate and urea for supercapacitor electrodes[J]. J. Energy Storage, 2024, 86: 111300  doi: 10.1016/j.est.2024.111300

    34. [34]

      DA SILVA A H, MACUVELE D L P, RIELLA H G, SOARES C, PADOIN N. Polymeric blends of carboxymethyl cellulose and sodium alginate containing functionalized carbon dots result in stable and efficient fluorescent films for silver and iron􀃮 sensing[J]. J. Environ. Chem. Eng., 2021, 9(4): 105728  doi: 10.1016/j.jece.2021.105728

    35. [35]

      HAN H, NOH Y, KIM Y, JUNG W S, PARK S, KIM W B. An N-doped porous carbon network with a multidirectional structure as a highly efficient metal-free catalyst for the oxygen reduction reaction[J]. Nanoscale, 2019, 11(5): 2423-2433  doi: 10.1039/C8NR10242B

    36. [36]

      COLLARD F X, BLIN J. A review on pyrolysis of biomass constituents: Mechanisms and composition of the products obtained from the conversion of cellulose, hemicelluloses and lignin[J]. Renew. Sust. Energ. Rev., 2014, 38: 594-608  doi: 10.1016/j.rser.2014.06.013

    37. [37]

      HU X X, LIU Y F, ZHU D D, JIN Y G, JIN H B, SHENG L. Preparation and characterization of edible carboxymethyl cellulose films containing natural antibacterial agents: Lysozyme[J]. Food Chem., 2022, 385: 132708  doi: 10.1016/j.foodchem.2022.132708

    38. [38]

      LIN Y, DU Z Y, ZE H J, WANG X T, ZHANG Y, ZHANG H, ZHENG Q N, DONG J C, TIAN J H, LI J F. Understanding the molecular mechanism of oxygen reduction reaction using in-situ Raman spectroscopy[J]. Curr. Opin. Electyrochem., 2023, 42: 101381  doi: 10.1016/j.coelec.2023.101381

    39. [39]

      LUO M S, SHAO C K, SONG H Q, XIA L M, GU J X. Effect of structure of metal-free nitrogen-doped coal-based carbon on catalytic oxygen reduction[J]. Fuel, 2025, 381: 133306  doi: 10.1016/j.fuel.2024.133306

    40. [40]

      YU M, LI J, WANG L J. KOH-activated carbon aerogels derived from sodium carboxymethyl cellulose for high-performance supercapacitors and dye adsorption[J]. Chem. Eng. J., 2017, 310: 300-306  doi: 10.1016/j.cej.2016.10.121

    41. [41]

      HAN Y L, LI Q K, YE K, LUO Y, JIANG J, ZHANG G Z. Impact of active site density on oxygen reduction reactions using monodispersed Fe-N-C single-atom catalysts[J]. J. Am. Chem. Soc., 2020, 12: 15271-15278

  • 加载中
    1. [1]

      Shiqian WEIXinyu TIANHong LIUMaoxia CHENFan TANGQiang FANWeifeng FANYu HU . Oxygen reduction reaction/oxygen evolution reaction catalytic performances of different active sites on nitrogen-doped graphene loaded with iron single atoms. Chinese Journal of Inorganic Chemistry, 2025, 41(9): 1776-1788. doi: 10.11862/CJIC.20250102

    2. [2]

      Xuejie WangGuoqing CuiCongkai WangYang YangGuiyuan JiangChunming Xu . Research Progress on Carbon-based Catalysts for Catalytic Dehydrogenation of Liquid Organic Hydrogen Carriers. Acta Physico-Chimica Sinica, 2025, 41(5): 100044-0. doi: 10.1016/j.actphy.2024.100044

    3. [3]

      Hailang JIAHongcheng LIPengcheng JIYang TENGMingyun GUAN . Preparation and performance of N-doped carbon nanotubes composite Co3O4 as oxygen reduction reaction electrocatalysts. Chinese Journal of Inorganic Chemistry, 2024, 40(4): 693-700. doi: 10.11862/CJIC.20230402

    4. [4]

      Yachao HUANGChuanwang ZENGGuiyong LIUJinming ZENGChao LIUXiaopeng QI . Oxygen vacancies and phosphorus doping enhanced metal-organic framework derived nitrogen-doped carbon-coated Co3O4 bifunctional electrocatalyst. Chinese Journal of Inorganic Chemistry, 2025, 41(11): 2251-2260. doi: 10.11862/CJIC.20250133

    5. [5]

      Xiaoning TANGJunnan LIUXingfu YANGJie LEIQiuyang LUOShu XIAAn XUE . Effect of sodium alginate-sodium carboxymethylcellulose gel layer on the stability of Zn anodes. Chinese Journal of Inorganic Chemistry, 2024, 40(8): 1452-1460. doi: 10.11862/CJIC.20240191

    6. [6]

      Xichen YAOShuxian WANGYun WANGCheng WANGChuang ZHANG . Oxygen reduction performance of self?supported Fe/N/C three-dimensional aerogel catalyst layers. Chinese Journal of Inorganic Chemistry, 2025, 41(7): 1387-1396. doi: 10.11862/CJIC.20240384

    7. [7]

      Yixuan WangCanhui ZhangXingkun WangJiarui DuanKecheng TongShuixing DaiLei ChuMinghua Huang . Engineering Carbon-Chainmail-Shell Coated Co9Se8 Nanoparticles as Efficient and Durable Catalysts in Seawater-Based Zn-Air Batteries. Acta Physico-Chimica Sinica, 2024, 40(6): 2305004-0. doi: 10.3866/PKU.WHXB202305004

    8. [8]

      Zhiqiang XINGJinling LIUMingmin SULei ZHANGLijun YANG . CoNi dual-single-atom catalyst for electrocatalytic H2O2 production and in situ electro-Fenton degradation of pollutants. Chinese Journal of Inorganic Chemistry, 2025, 41(12): 2479-2490. doi: 10.11862/CJIC.20250181

    9. [9]

      Hao XURuopeng LIPeixia YANGAnmin LIUJie BAI . Regulation mechanism of halogen axial coordination atoms on the oxygen reduction activity of Fe-N4 site: A density functional theory study. Chinese Journal of Inorganic Chemistry, 2025, 41(4): 695-701. doi: 10.11862/CJIC.20240302

    10. [10]

      Xiaofeng ZhuBingbing XiaoJiaxin SuShuai WangQingran ZhangJun Wang . Transition Metal Oxides/Chalcogenides for Electrochemical Oxygen Reduction into Hydrogen Peroxides. Acta Physico-Chimica Sinica, 2024, 40(12): 2407005-0. doi: 10.3866/PKU.WHXB202407005

    11. [11]

      Jinyi Sun Lin Ma Yanjie Xi Jing Wang . Preparation and Electrocatalytic Nitrogen Reduction Performance Study of Vanadium Nitride@Nitrogen-Doped Carbon Composite Nanomaterials: A Recommended Comprehensive Chemistry Experiment. University Chemistry, 2024, 39(4): 184-191. doi: 10.3866/PKU.DXHX202310094

    12. [12]

      Yan'e LIUShengli JIAYifan JIANGQinghua ZHAOYi LIXinshu CHANG . MoO3/cellulose derived carbon aerogel: Fabrication and performance as cathode for lithium-sulfur battery. Chinese Journal of Inorganic Chemistry, 2025, 41(8): 1565-1573. doi: 10.11862/CJIC.20250054

    13. [13]

      Xue DongXiaofu SunShuaiqiang JiaShitao HanDawei ZhouTing YaoMin WangMinghui FangHaihong WuBuxing Han . Electrochemical CO2 Reduction to C2+ Products with Ampere-Level Current on Carbon-Modified Copper Catalysts. Acta Physico-Chimica Sinica, 2025, 41(3): 100024-0. doi: 10.3866/PKU.WHXB202404012

    14. [14]

      Pengzi Wang Wenjing Xiao Jiarong Chen . Copper-Catalyzed C―O Bond Formation by Kharasch-Sosnovsky-Type Reaction. University Chemistry, 2025, 40(4): 239-244. doi: 10.12461/PKU.DXHX202406090

    15. [15]

      Jun HuangPengfei NieYongchao LuJiayang LiYiwen WangJianyun Liu . 丝光沸石负载自支撑氮掺杂多孔碳纳米纤维电容器及高效选择性去除硬度离子. Acta Physico-Chimica Sinica, 2025, 41(7): 100066-0. doi: 10.1016/j.actphy.2025.100066

    16. [16]

      Kai CHENFengshun WUShun XIAOJinbao ZHANGLihua ZHU . PtRu/nitrogen-doped carbon for electrocatalytic methanol oxidation and hydrogen evolution by water electrolysis. Chinese Journal of Inorganic Chemistry, 2024, 40(7): 1357-1367. doi: 10.11862/CJIC.20230350

    17. [17]

      Qiangqiang SUNPengcheng ZHAORuoyu WUBaoyue CAO . Multistage microporous bifunctional catalyst constructed by P-doped nickel-based sulfide ultra-thin nanosheets for energy-efficient hydrogen production from water electrolysis. Chinese Journal of Inorganic Chemistry, 2024, 40(6): 1151-1161. doi: 10.11862/CJIC.20230454

    18. [18]

      Yu LiuPengfei LiYize LiuZaicheng Sun . Recent advances in carbon dots as a single photocatalyst. Acta Physico-Chimica Sinica, 2026, 42(2): 100167-0. doi: 10.1016/j.actphy.2025.100167

    19. [19]

      Yongwei ZHANGChuang ZHUWenbin WUYongyong MAHeng YANG . Efficient hydrogen evolution reaction activity induced by ZnSe@nitrogen doped porous carbon heterojunction. Chinese Journal of Inorganic Chemistry, 2025, 41(4): 650-660. doi: 10.11862/CJIC.20240386

    20. [20]

      Hailang JIAPengcheng JIHongcheng LI . Preparation and performance of nickel doped ruthenium dioxide electrocatalyst for oxygen evolution. Chinese Journal of Inorganic Chemistry, 2025, 41(8): 1632-1640. doi: 10.11862/CJIC.20240398

Metrics
  • PDF Downloads(0)
  • Abstract views(29)
  • HTML views(5)

通讯作者: 陈斌, bchen63@163.com
  • 1. 

    沈阳化工大学材料科学与工程学院 沈阳 110142

  1. 本站搜索
  2. 百度学术搜索
  3. 万方数据库搜索
  4. CNKI搜索
Address:Zhongguancun North First Street 2,100190 Beijing, PR China Tel: +86-010-82449177-888
Powered By info@rhhz.net

/

DownLoad:  Full-Size Img  PowerPoint
Return