Citation: Fan LIU, Xiaoli CHEN, Jing REN, Yantao LEI, Huali CUI, Hua YANG, Jijiang WANG. Highly sensitive and multi-response Zn-MOF fluorescence sensor: Design, synthesis, and detection of 4-nitrophenol, Cu2+, and pyrimethanil[J]. Chinese Journal of Inorganic Chemistry, ;2026, 42(4): 872-882. doi: 10.11862/CJIC.20250287 shu

Highly sensitive and multi-response Zn-MOF fluorescence sensor: Design, synthesis, and detection of 4-nitrophenol, Cu2+, and pyrimethanil

  • Corresponding author: Xiaoli CHEN, chenxiaoli003@163.com
  • Received Date: 15 September 2025
    Revised Date: 12 January 2026

Figures(8)

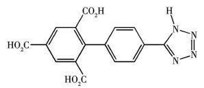
  • Based on 4′-(1H-tetrazol-5-yl)-[1, 1′-biphenyl]-2, 4, 6-tricarboxylic acid (H4bta) ligand, zinc metal-organic framework (Zn-MOF): {[Zn2(bta)(bpy)2(H2O)]·1.5H2O}n (bpy=2, 2′-bipyridine) was designed and synthesized by hydrothermal method. Its structure was characterized by elemental analysis, IR spectra, X-ray single crystal diffraction, etc. The asymmetric unit of Zn-MOF contains two crystallographically independent Zn2+ ions. Through the connection of Zn2+ ions via H4bta, a 1D double-layer network structure is formed. Adjacent double-layer networks further form a 2D supramolecular network through hydrogen bonding. Notably, Zn-MOF exhibited excellent fluorescence properties and could efficiently and sensitively detect various water pollutants: 4-nitrophenol (4-NP), Cu2+, and pyrimethanil (Pth). Additionally, the mechanism of fluorescence sensing was investigated.
  • 加载中
    1. [1]

      AERTS R, JOLY L, SZTERNFELD P, TSILIKAS K, CREMER K D, CASTELAIN P, AERTS J M, ORSHOVEN J V, SOMERS B, HENDRICKX M, ANDJELKOVIC M, NIEUWENHUYSE A V. Silicone wristband and passive samplers yield highly individualized pesticide residue exposure profiles[J]. Environ. Sci. Technol., 2018, 52: 298-307  doi: 10.1021/acs.est.7b05039

    2. [2]

      MA Y L, YANG L P, BAI X L, WANG K M. Sensitive detection of organophosphorus pesticides in agricultural food products by a highly luminescent coordination polymer[J]. Spectroc. Acta Pt. A‒Molec. Biomolec. Spectr., 2025, 341: 126471  doi: 10.1016/j.saa.2025.126471

    3. [3]

      LI C P, LONG W W, LEI Z, GUO L, XIE M J, LV J, ZHU X D. Anionic metal-organic framework as a unique turn-on fluorescent chemical sensor for ultra-sensitive detection of antibiotics[J]. Chem. Commun., 2020, 56: 12403-12406  doi: 10.1039/D0CC05175F

    4. [4]

      CHEN W T, LI L Y, LI X X, LIN L D, WANG G Q, ZHANG Z, LI L Y, YU Y. Layered rare earth-organic framework as highly efficient luminescent matrix: The crystal structure, optical spectroscopy, electronic transition, and luminescent sensing properties[J]. Cryst. Growth Des., 2019, 19(8): 4754-4764  doi: 10.1021/acs.cgd.9b00635

    5. [5]

      ZHAO F H, WU X H, LI S Q, LI Z L, HE Y C. Fluorescence sensors for folic acid detection based on two Cd(Ⅱ) CPs of 1, 5-naphthalenedisulfonate with bis(benzimidazole) and bis(2-methyl-imidazole) ligands[J]. J. Mol. Struct., 2025, 1348: 143495

    6. [6]

      LIU Q Q, YUE K F, WENG X J, WANG Y. Luminescence sensing and supercapacitor performances of a new (3, 3)-connected Cd-MOF[J]. CrystEngComm, 2019, 21(41): 6186-6195  doi: 10.1039/C9CE01087D

    7. [7]

      FUJIWARA T, HATTORI A, ITO T, FUNATSU T, TSUNODA M. Analysis of intracellular α-keto acids by HPLC with fluorescence detection[J]. Anal. Methods, 2020, 12: 2555-2559  doi: 10.1039/D0AY00556H

    8. [8]

      CHAI H, ZHANG G, JIAO C, REN Y, GAO L. A multifunctional Tb-MOF detector for H2O2, Fe3+, Cr2O72-, and TPA explosive featuring coexistence of binuclear and tetranuclear clusters[J]. ACS Omega, 2020, 5(51): 33039-33046  doi: 10.1021/acsomega.0c04526

    9. [9]

      CHI Z M, CHU S Q, WANG B Q, ZHANG Z, LIU G C, WANG X L. Advances in metal complex-based colorimetric sensors [J]. Talanta, 2025, 297: 128591

    10. [10]

      KEERTHANA P, CHERIAN A R, SIRIMAHACHAI U, THADATHIL D A, VARGHESE A, HEGDE G. Detection of picric acid in industrial effluents using multifunctional green fluorescent B/N-carbon quantum dots[J]. J. Environ. Chem. Eng., 2022, 10: 107209  doi: 10.1016/j.jece.2022.107209

    11. [11]

      NIPPER M, CARR R S, BIEDENBACH J M, HOOTEN R L, MILLER K. Fate and effects of picric acid and 2, 6-DNT in marine environments: Toxicity of degradation products[J]. Mar. Pollut. Bull., 2005, 50: 1205-1217  doi: 10.1016/j.marpolbul.2005.04.019

    12. [12]

      CHEN J Q, ZHENG Q Q, XIAO S J, ZHANG L, LIANG R P, OUYANG G F, QIU J D. Construction of two-dimensional fluorescent covalent organic framework nanosheets for the detection and removal of nitrophenols[J]. Anal. Chem., 2022, 94(5): 2517-2526  doi: 10.1021/acs.analchem.1c04406

    13. [13]

      SHI X, QUAN S, YANG L, SHI G, SHI F. Facile synthesis of magnetic Co3O4/BFO nanocomposite for effective reduction of nitrophenol isomers[J]. Chemosphere, 2019, 219: 914-922  doi: 10.1016/j.chemosphere.2018.12.045

    14. [14]

      WANG Y, WU X K, DU C P, PEI K L, WU D, LAI J P, QI W J. A fast and highly efficient strategy for discrimination and detection of three nitrophenol isomers[J]. Sens. Actuator B‒Chem., 2023, 383: 133572  doi: 10.1016/j.snb.2023.133572

    15. [15]

      ZHANG M, ZHANG J H, CHE X, JIANG J J, TU Q, WANG J Y. Biomimetic mineralization-based in situ growth of AuNCs@ZIF-8 on paper fibers for visual detection of copper ions[J]. Talanta, 2024, 268: 125364  doi: 10.1016/j.talanta.2023.125364

    16. [16]

      PARK S, BONG S Y, SHARMA S, SINGH N, PARK Y I, PARK J, JANG D O. Simple turn-on fluorescent chemosensor for ultrafast and highly selective trace-level detection of Cu2+ ions in aqueous solutions[J]. Spectroc. Acta Pt. A‒Molec. Biomolec. Spectr., 2023, 305: 123555

    17. [17]

      ZHANG Y B, MIU J, WANG B L, RONG X Q, LIU J, TANG C, WANG C, GAO W X, GUI Y R, WANG H P, FANG M X, SHANG J T. A novel near-infrared fluorescent probe based on the dicyanoisophorone for the selective detection of Cu2+ in real water samples[J]. J. Mol. Struct., 2023, 1286: 135632

    18. [18]

      ZHANG X F, FENG L H, MA S Y, XIA T F, JIAO F F, KONG Z, DUAN X. A microporous Tb-based MOF for multifunctional detection of the α-CHC, Cu2+ and Fe3+[J]. J. Solid State Chem., 2022, 312: 123232  doi: 10.1016/j.jssc.2022.123232

    19. [19]

      HUANG G M, LI S, MA M X, LI S M, LI W Q, NI Q L, GUI L C, WANG X J. Construction of Zn/Cd-based MOFs containing a tripodal aromatic carboxylate ligand with unequal arms and their fluorescent detection for Cu2+ and Fe3+ cations[J]. CrystEngComm, 2023, 8: 1-7

    20. [20]

      ESKANDARI H, AMIRZEHNI M, HASSANZADEH J, VAHID B. Mesoporous MIP-capped luminescent MOF as specific and sensitive analytical probe: Application for chlorpyrifos[J]. Microchim. Acta, 2020, 187(12): 673-683  doi: 10.1007/s00604-020-04654-4

    21. [21]

      ZHAO Y, XU X, QIU L, KANG X, WEN L, ZHANG B. Metal-organic frameworks constructed from a new thiophene-functionalized dicarboxylate: Luminescence sensing and pesticide removal[J]. ACS Appl. Mater. Interfaces, 2017, 9(17): 15164-15175  doi: 10.1021/acsami.6b11797

    22. [22]

      SUN A, YANG Y, LIU Y, DING L, DUAN P, YANG W, PAN Q. A zinc coordination polymer sensor for selective and sensitive detection of doxycycline based on fluorescence enhancement[J]. Cryst. Growth Des., 2021, 21(9): 4971-4978  doi: 10.1021/acs.cgd.1c00406

    23. [23]

      VALEUR B. Molecular fluorescence: Principles and applications[M]. Weinheim: Wiley-VCH, 2002.

    24. [24]

      FU Y P, YANG H, LIU H L, LI Y H, CHEN X L, CUI H L, WANG J J. Synthesis, structure, fluorescence and photocatalytic properties of two complexes based on a dimethylimidazole biphenyl/isophthalic acid ligand[J]. J. Mol. Struct., 2024, 1305: 137741

    25. [25]

      BEHERA P, RAY A, TRIPATHY S P, SUBUDHI S, ACHARYA L, PARIDA K. NixPy cocatalyst-loaded MOF-derived C/N-ZnO@B-doped g-C3N4-based Z-scheme nanohybrid: A combinatorically enhanced ternary photocatalyst towards hydrogen peroxide and hydrogen production [J]. ACS Appl. Eng. Mater., 2023, 1: 2876-2891  doi: 10.1021/acsaenm.3c00403

    26. [26]

      SUBUDHI S, TRIPATHY S P, PARIDA K. Metal oxide integrated metal organic frameworks (MO@MOF): Rational design, fabrication strategy, characterization and emerging photocatalytic applications[J]. Inorg. Chem. Front., 2021, 8: 1619-1636  doi: 10.1039/D0QI01117G

    27. [27]

      ZHANG Q S, JIANG X, KIRILLOW A M, ZHANG Y W, HU M Y, LIU W, YANG L Z, FANG R, LIU W S. Covalent construction of sustainable hybrid UiO-66-NH2@Tb-CP material for selective removal of dyes and detection of metal ions[J]. ACS Sustain. Chem. Eng., 2019, 7: 3203-3212  doi: 10.1021/acssuschemeng.8b05146

    28. [28]

      RACHURI Y, PARMAR B, SURESH E. Three-dimensional Co(Ⅱ)/ Cd(Ⅱ) MOFs: Luminescent Cd-MOF for detection and adsorption of TNP in aqueous phase[J]. Cryst. Growth Des., 2018, 18: 3062-3072  doi: 10.1021/acs.cgd.8b00204

    29. [29]

      ZHAO Y F, ZENG H, ZHU X W, LU W G, LI D. Metal-organic frameworks as photoluminescent biosensing platforms: Mechanisms and applications[J]. Chem. Soc. Rev., 2021, 50: 4484-4513  doi: 10.1039/D0CS00955E

    30. [30]

      BAIRY G, DEY A, DUTTA B, RAY P P, SINHA C. 2D Cd(Ⅱ)-MOF of pyridyl-imidazoquinazoline: Structure, luminescence, and selective detection of TNP and fabrication of semiconducting devices[J]. Cryst. Growth Des., 2022, 22: 3138-3147  doi: 10.1021/acs.cgd.2c00017

    31. [31]

      LIU W, CUI H L, ZHOU J, SU Z T, ZHANG Y Z, CHEN X L, YUE E L. Synthesis of a Cd-MOF fluorescence sensor and its detection of Fe3+, fluazinam, TNP, and sulfasalazine enteric-coated tablets in aqueous solution[J]. ACS Omega, 2023, 8: 24635-24643  doi: 10.1021/acsomega.3c03073

  • 加载中
    1. [1]

      Ruikui YANXiaoli CHENMiao CAIJing RENHuali CUIHua YANGJijiang WANG . Design, synthesis, and fluorescence sensing performance of highly sensitive and multi-response lanthanide metal-organic frameworks. Chinese Journal of Inorganic Chemistry, 2024, 40(4): 834-848. doi: 10.11862/CJIC.20230301

    2. [2]

      Lu LIUHuijie WANGHaitong WANGYing LI . Crystal structure of a two-dimensional Cd(Ⅱ) complex and its fluorescence recognition of p-nitrophenol, tetracycline, 2, 6-dichloro-4-nitroaniline. Chinese Journal of Inorganic Chemistry, 2024, 40(6): 1180-1188. doi: 10.11862/CJIC.20230489

    3. [3]

      Kaimin WANGXiong GUNa DENGHongmei YUYanqin YEYulu MA . Synthesis, structure, fluorescence properties, and Hirshfeld surface analysis of three Zn(Ⅱ)/Cu(Ⅱ) complexes based on 5-(dimethylamino) isophthalic acid. Chinese Journal of Inorganic Chemistry, 2024, 40(7): 1397-1408. doi: 10.11862/CJIC.20240009

    4. [4]

      Wenya DINGFangfei XUJiayu GUXinran CHENKai CHEN . Synthesis and crystal structure of three cucurbit[6]uril-cadmium supramolecular assemblies. Chinese Journal of Inorganic Chemistry, 2026, 42(4): 808-816. doi: 10.11862/CJIC.20260012

    5. [5]

      Yingyue ZHANGLiuqing KANGYating YANGXiaofen GUANWenmin WANG . Crystal structure and antibacterial activity of two Gd2 complexes based on polydentate Schiff-base ligands. Chinese Journal of Inorganic Chemistry, 2025, 41(9): 1867-1877. doi: 10.11862/CJIC.20250100

    6. [6]

      Jiarong ZHUXiaohua ZHANGXinting XIONGXuliang NIEXiuying SONGMiaomiao ZHANGDayong PENGXiuguang YI . Crystal structure, Hirshfeld surface analysis, and antifungal activity of five complexes based on 2,5-bis(carboxymethoxy)terephthalic acid. Chinese Journal of Inorganic Chemistry, 2025, 41(11): 2358-2370. doi: 10.11862/CJIC.20250150

    7. [7]

      Lulu DONGJie LIUHua YANGYupei FUHongli LIUXiaoli CHENHuali CUILin LIUJijiang WANG . Synthesis, crystal structure, and fluorescence properties of Cd-based complex with pcu topology. Chinese Journal of Inorganic Chemistry, 2025, 41(4): 809-820. doi: 10.11862/CJIC.20240171

    8. [8]

      Chao LIUJiang WUZhaolei JIN . Synthesis, crystal structures, and antibacterial activities of two zinc(Ⅱ) complexes bearing 5-phenyl-1H-pyrazole group. Chinese Journal of Inorganic Chemistry, 2024, 40(10): 1986-1994. doi: 10.11862/CJIC.20240153

    9. [9]

      Lifang HEYaoze LUOQiying SHIJianxin TANGFuxing ZHANGXiaoming ZHU . Synthesis, structure, and properties of hydrated tricyclohexyltin theophylline-7-acetic acid complex. Chinese Journal of Inorganic Chemistry, 2026, 42(3): 632-640. doi: 10.11862/CJIC.20250244

    10. [10]

      Yu BAIJijiang WANGLong TANGErlin YUEChao BAIXiao WANGYuqi ZHANG . A cadmium(Ⅱ) coordination polymer based on a semirigid tetracarboxylate ligand for highly selective detection of Fe3+ and 4-nitrophenol. Chinese Journal of Inorganic Chemistry, 2025, 41(6): 1217-1226. doi: 10.11862/CJIC.20240457

    11. [11]

      Meirong HANXiaoyang WEISisi FENGYuting BAI . A zinc-based metal-organic framework for fluorescence detection of trace Cu2+. Chinese Journal of Inorganic Chemistry, 2024, 40(8): 1603-1614. doi: 10.11862/CJIC.20240150

    12. [12]

      Jing RENRuikui YANXiaoli CHENHuali CUIHua YANGJijiang WANG . Synthesis and fluorescence sensing of a highly sensitive and multi-response cadmium coordination polymer. Chinese Journal of Inorganic Chemistry, 2025, 41(3): 574-586. doi: 10.11862/CJIC.20240287

    13. [13]

      Yueyue WEIXuehua SUNHongmei CHAIWanqiao BAIYixia RENLoujun GAOGangqiang ZHANGJun ZHANG . Two Ln-Co (Ln=Eu, Sm) metal-organic frameworks: Structures, magnetism, and fluorescent sensing sulfasalazine and glutaraldehyde. Chinese Journal of Inorganic Chemistry, 2024, 40(12): 2475-2485. doi: 10.11862/CJIC.20240193

    14. [14]

      Zihe SONGJinjin ZHAONing RENJianjun ZHANG . Crystal structure, thermal analysis, and luminescence properties of six heterocyclic lanthanide complexes. Chinese Journal of Inorganic Chemistry, 2026, 42(1): 181-192. doi: 10.11862/CJIC.20250126

    15. [15]

      Yao HUANGYingshu WUZhichun BAOYue HUANGShangfeng TANGRuixue LIUYancheng LIUHong LIANG . Copper complexes of anthrahydrazone bearing pyridyl side chain: Synthesis, crystal structure, anticancer activity, and DNA binding. Chinese Journal of Inorganic Chemistry, 2025, 41(1): 213-224. doi: 10.11862/CJIC.20240359

    16. [16]

      Jia JIZhaoyang GUOWenni LEIJiawei ZHENGHaorong QINJiahong YANYinling HOUXiaoyan XINWenmin WANG . Two dinuclear Gd(Ⅲ)-based complexes constructed by a multidentate diacylhydrazone ligand: Crystal structure, magnetocaloric effect, and biological activity. Chinese Journal of Inorganic Chemistry, 2025, 41(4): 761-772. doi: 10.11862/CJIC.20240344

    17. [17]

      Hongren RONGGexiang GAOZhiwei LIUKe ZHOULixin SUHao HUANGWenlong LIUQi LIU . High-performance supercapacitor based on 1D cobalt-based coordination polymer. Chinese Journal of Inorganic Chemistry, 2025, 41(6): 1183-1195. doi: 10.11862/CJIC.20250034

    18. [18]

      Ruiyan CHENYanping HEJian ZHANG . Synthesis and third-order nonlinear optical property of Ti4L6 cage-based metal-organic framework. Chinese Journal of Inorganic Chemistry, 2025, 41(10): 2149-2156. doi: 10.11862/CJIC.20250177

    19. [19]

      Jing FENGRenshu WANGHu WANGHailong LIU . Co(Ⅱ) and Ni(Ⅱ) complexes of 3,3-diphenylpropionic acid and 2,2′-dipyridylamine: Structures and biological activities. Chinese Journal of Inorganic Chemistry, 2026, 42(3): 617-631. doi: 10.11862/CJIC.20250265

    20. [20]

      Yinling HOUJia JIHong YUXiaoyun BIANXiaofen GUANJing QIUShuyi RENMing FANG . A rhombic Dy4-based complex showing remarkable single-molecule magnet behavior. Chinese Journal of Inorganic Chemistry, 2025, 41(3): 605-612. doi: 10.11862/CJIC.20240251

Metrics
  • PDF Downloads(0)
  • Abstract views(30)
  • HTML views(10)

通讯作者: 陈斌, bchen63@163.com
  • 1. 

    沈阳化工大学材料科学与工程学院 沈阳 110142

  1. 本站搜索
  2. 百度学术搜索
  3. 万方数据库搜索
  4. CNKI搜索
Address:Zhongguancun North First Street 2,100190 Beijing, PR China Tel: +86-010-82449177-888
Powered By info@rhhz.net

/

DownLoad:  Full-Size Img  PowerPoint
Return