一种基于4, 4′-联苯二甲酸配体的Ni(Ⅱ)金属有机框架及其对四环素的吸附性能
English
A Ni(Ⅱ) metal-organic framework based on the 4, 4′-biphenyldicarboxylic acid ligand and its adsorption performance for tetracycline
-
Key words:
- metal-organic framework
- / adsorption
- / tetracycline
- / wastewater treatment
-
0. Introduction
The widespread use of tetracycline (TC) has made it a concerning environmental contaminant, primarily due to its role in fostering antibiotic resistance[1-3]. Conventional porous materials like activated carbon suffer from limited adsorption capacity for TC, as their non-specific surfaces fail to effectively engage TC′s complex molecular structure, which contains both hydrophilic and hydrophobic functional groups and exhibits pH-dependent charge states[4-7]. This results in weak affinity and low removal efficiency[8]. To address this challenge, metal-organic frameworks (MOFs) have emerged as promising alternatives. Their structural and chemical versatility allows for precise pore engineering and functionalization, making them ideally suited for the targeted capture of such complex antibiotic molecules.
MOFs are crystalline porous materials assembled from metal ions and organic ligands, exhibiting exceptional properties such as enormous specific surface areas, tunable pore structures, and rich surface chemistry[9-24]. These characteristics underpin their revolutionary potential for TC adsorption, offering three key advantages over traditional adsorbents like activated carbon. Firstly, their ultrahigh porosity provides a vast number of adsorption sites, enabling exceptionally high capacities. They are often several to dozens of times higher than conventional materials. Secondly, their structural tailorability allows for precise design: pores can be sized to match TC molecules, and functional groups can be introduced to engage in specific interactions (e.g., hydrogen bonding, π-π stacking), ensuring high selectivity even in complex wastewater matrices[25]. Finally, the adsorption process is typically based on reversible interactions, enabling straightforward regeneration through solvent washing or mild treatment. Many MOFs maintain high performance over numerous cycles, offering excellent long-term cost-effectiveness[26]. Consequently, MOF-based adsorbents represent a highly promising solution for efficient TC removal.
In this study, a nickel-based MOF with the formula {(NH2(CH3)2)2[Ni3(O)(L)3(NH(CH3)2)3]}n (Ni3-MOF) was synthesized by reacting 4, 4′-biphenyldicarboxylic acid (H2L) with Ni(NO3)2·6H2O in an N, N-dimethylformamide (DMF) solution. A nano-adsorbent with a particle size of approximately 200 nm (denoted as Ni3-MOF-N) was successfully prepared using a cell disruptor. The Ni3-MOF-N is a highly efficient adsorbent for removing TC from wastewater.
1. Experimental
1.1 Reagents and instruments
All solvents and chemicals were commercial reagents and used without further purification. H2L, Ni(NO3)2·6H2O, anhydrous methanol, DMF, HCl, NaOH, sodium dodecylbenzenesulfonate, and TC were purchased from Saen Chemical Technology (Shanghai) Co., Ltd.
The material Ni3-MOF-N was characterized by a suite of analytical techniques. Elemental analysis (C, H, N) was conducted on a PerkinElmer 240 analyzer. FTIR spectra were recorded from KBr pellets using a Nicolet 5DX spectrometer. The power X-ray diffraction (PXRD) was performed using Rigaku′s D/max 2500 X-ray diffractometer with Cu Kα radiation (λ=0.156 04 nm); the tube voltage was 40 kV, the tube current was 150 mA; a graphite monochromator was used; and 2θ was 5° to 35°. The crystal structure was determined by a Bruker APEX-Ⅱ CCD. Thermogravimetric analysis (TGA) was performed on a PerkinElmer Pyris Diamond TG-DTA instrument. The surface area was determined from N2 adsorption-desorption isotherms using the Brunauer-Emmett-Teller (BET) method (AUTO CHEM Ⅱ 2920). The morphology and composition of the samples were characterized using scanning electron microscopy (SEM, Hitachi S-4800) and transmission electron microscopy (TEM, JEOL JEM-2100). For SEM observation, the samples were sputter-coated with gold and analyzed at an accelerating voltage of 20 kV. For TEM analysis, the specimens were prepared by drop-casting a dilute dispersion onto a carbon-coated copper grid. TEM imaging and energy dispersive X-ray spectroscopy (EDS) mapping were performed simultaneously in STEM mode at an accelerating voltage of 200 kV. The EDS maps were acquired using a silicon drift detector (SDD) with a typical collection time of 60 s per area. The ζ potential was measured with a Malvern Zetasizer (ZEN 3600). Solution pH was monitored using an Ohaus STARTER 3000 pH meter, and TC concentration was quantified at 357 nm using a Shimadzu UV-2550 spectrophotometer.
1.2 Synthesis of Ni3-MOF
H2L (0.121 0 g, 5 mmol), and Ni(NO3)2·6H2O (0.030 0 g, 1 mmol) were placed into a 23 mL Teflon-lined stainless steel autoclave. Then, 10 mL of DMF and 1 mL of anhydrous methanol were added to the autoclave. After sealing the autoclave with its stainless steel shell, the reaction mixture was heated at 150 ℃ in a forced-air oven for 72 h. Upon cooling to room temperature, the autoclave was opened to afford blue block-shaped crystals. Yield: 92.33% (based on Ni(Ⅱ)). Anal. Calcd. for C52H61N5Ni3O13(%): C, 54.78; H, 5.35; N, 6.14. Found(%): C, 54.71; H, 5.45; N, 6.21. IR (cm-1): 3 613 w, 3 521 w, 3 422 s, 3 062 w, 2 931 w, 1 927 w, 1 658 w, 1 600 s, 1 547 s, 1 376 s, 1 173 m, 1 108 m, 1 003 w, 819 m, 760 s, 675 m, 533 w, 439 w.
1.3 X-ray diffraction
Diffraction data for Ni3-MOF were collected on a Bruker SMART CCD diffractometer (Cu Kα radiation, λ=0.156 04 nm) in Φ-ω scan modes. The anisotropic displacement parameters were applied to all non- hydrogen atoms in full-matrix least-squares refinements based on F2 were performed using SHELXL-2013. The structure was solved by direct methods and refined using the Olex2 program[27]. Anisotropic thermal parameters were assigned to all non-hydrogen atoms. The hydrogen atoms were placed at calculated positions and refined as riding atoms with isotropic displacement parameters. The disordered carbon atoms on dimethylamine and the aromatic rings of the L2- in the structure of Ni3-MOF were refined using appropriate techniques. Crystallographic crystal data and structure processing parameters for Ni3-MOF are summarized in Table 1. Selected bond lengths and bond angles for Ni3-MOF are listed in Table 2.
Table 1
Parameter Ni3-MOF Parameter Ni3-MOF Empirical formula C52H61N5Ni3O13 Dc / (Mg·m-3) 1.317 Formula weight 1 140.13 μ / mm-1 1.742 Temperature / K 293(2) 2θ / (°) 3.7-72.9 Crystal system Trigonal Index ranges -13 ≤ h≤ 14, -12 ≤ k ≤ 9, -29 ≤ l ≤ 28 Space group P3c1 Reflection collected 10 318 a / nm 1.136 000(10) Independent reflection 1 763 b / nm 1.136 000(10) Rint 0.056 7 c / nm 2.372 30(4) Rσ 0.035 5 Volume / nm3 2.651 29(6) Data, number of restraints, number of parameters 1 763, 263, 163 F(000) 1 140.0 R indexes [I≥2σ(I)] R1=0.042 3, wR2=0.118 2 Crystal size / mm 0.13×0.12×0.10 Final R indexes (all data) R1=0.046 2, wR2=0.123 3 Z 2 (Δρ)max, (Δρ)min / (e·nm-3) 600, -430 Table 2
Ni1—O1 0.199 35(5) Ni1—O2ⅲ 0.208 8(4) Ni1—O2Aⅲ 0.206 0(4) Ni1—O4ⅰ 0.205 8(4) Ni1—N3 0.213 2(3) Ni1—O2A 0.206 0(4) Ni1—O4ⅱ 0.205 8(4) Ni1—O4Aⅰ 0.209 1(4) Ni1—O4Aⅱ 0.209 1(4) Ni1—O2 0.208 8(4) O1—Ni1—O4ⅱ 90.39(12) O4ⅰ—Ni1—O2 88.09(17) O2ⅲ—Ni1—O4Aⅰ 73.38(17) O1—Ni1—O4ⅰ 90.39(12) O4ⅱ—Ni1—N3 89.61(12) O2—Ni1—O4Aⅱ 73.38(17) O1—Ni1—O2ⅲ 93.55(11) O4ⅰ—Ni1—N3 89.61(12) O2ⅲ—Ni1—O4Aⅱ 106.17(17) O1—Ni1—O2 93.55(11) O4ⅱ—Ni1—O4Aⅰ 161.25(10) O2—Ni1—O4Aⅰ 106.17(17) O1—Ni1—N3 180.0 O4ⅰ—Ni1—O4Aⅱ 161.25(10) O4Aⅱ—Ni1—N3 86.49(11) O1—Ni1—O4Aⅱ 93.51(11) O4ⅱ—Ni1—O4Aⅱ 18.60(10) O4Aⅰ—Ni1—N3 86.49(11) O1—Ni1—O4Aⅰ 93.51(11) O4ⅰ—Ni1—O4Aⅰ 18.60(10) O4Aⅱ—Ni1—O4Aⅰ 173.0(2) O1—Ni1—O2Aⅲ 90.37(12) O4ⅰ—Ni1—O2Aⅲ 110.22(18) O2A—Ni1—N3 89.63(12) O1—Ni1—O2A 90.37(12) O4ⅱ—Ni1—O2Aⅲ 69.78(18) O2Aⅲ—Ni1—N3 89.63(12) O4ⅱ—Ni1—O4ⅰ 179.2(2) O2—Ni1—O2ⅲ 172.9(2) O2Aⅲ—Ni1—O4Aⅰ 91.85(17) O4ⅱ—Ni1—O2 91.86(18) O2—Ni1—N3 86.45(11) O2A—Ni1—O4Aⅰ 88.11(17) O4ⅰ—Ni1—O2ⅲ 91.86(18) O2ⅲ—Ni1—N3 86.45(11) O2A—Ni1—O2Aⅲ 179.3(2) O4ⅱ—Ni1—O2ⅲ 88.09(17) 1.4 Synthesis of the nano-adsorbent Ni3-MOF-N
Ni3-MOF-N (0.050 0 g) and sodium dodecylbenzenesulfonate (0.017 4 g) were added to a 250 mL beaker. Subsequently, 100 mL of deionized water and 25 mL of anhydrous methanol were added to the beaker. The resulting suspension was first subjected to ultrasonication for 5 min, followed by treatment using a cell disruptor for 15 min. The precipitate was then collected by centrifugation at 10 000 r·min-1 and washed three times with 20 mL of deionized water and three times with 20 mL of anhydrous methanol, respectively. Finally, the washed precipitate was dried in a forced-air oven at 80 ℃ for 12 h to obtain the nano adsorbent Ni3-MOF-N.
1.5 Adsorption experiments
The adsorption experiments were conducted by adding the adsorbent to 100 mL of a TC solution (ρ=40 mg·L-1, prepared in deionized water). The solution pH was modulated with 0.01 mol·L-1 NaOH or HCl where necessary. At specified time intervals (10, 20, 30, 40, and 50 min), 5 mL of the mixture was extracted, immediately filtered (0.45 μm), and diluted tenfold for analysis. The concentration of TC in the diluted filtrate was quantified by UV-Vis spectroscopy at 357 nm. Subsequently, the adsorption capacity was calculated based on the concentration difference using the formula:
$ q=\left(\rho_0-\rho_t\right) V / m $ where q is the adsorption capacity (mg·g-1), ρ0 is the initial mass concentration (40 mg·L-1), ρt is the TC mass concentration at time t (mg·L-1), V is the volume of the solution (0.1 L), and m is the mass of the adsorbent used (g).
2. Results and discussion
2.1 Structure of Ni3-MOF
Single-crystal X-ray diffraction reveals that Ni3-MOF crystallizes in the trigonal system with the space group P3c1 (Table 1). The crystal data are refined by PLATON software. The SQUEEZE calculation results show that a unit cell has 136 electrons. Since Z=2, the total number of electrons in the unsolved guest molecules and dimethylamine in the molecular formula is 68. The dimethylamine cation ([NH2(CH3)2]+) is counted as 27 electrons. X-ray single crystal diffraction also shows the presence of an anionic framework [Ni3(O)(L)3(NH(CH3)2)3]2- in Ni3-MOF (Fig.1a), which requires two counter cations. Therefore, the molecular formula of Ni3-MOF is {(NH2(CH3)2)2[Ni3(O)(L)3(NH(CH3)2)3]}n, indicating an ionic MOF. The [Ni3(O)(L)3(NH(CH3)2)3]2- unit contains three Ni(Ⅱ) ions, three L2- ligands, one coordinated O2- ion, and three coordinated dimethylamine (Fig.1a). In Ni3-MOF, each Ni(Ⅱ) ion is coordinated to five oxygen atoms (four from carboxyl groups in the L2- ligand and one from an O2- anion) and one nitrogen atom (originating from dimethylamine). Each L2- adopts a μ4-η1∶η1∶η1∶η1 bridging mode to connect four Ni(Ⅱ) ions, forming a 3D structure (Fig.1b). A coordinated O2- is also present, which adopts a μ3-η1∶η1∶η1 mode to bridge three adjacent Ni(Ⅱ) ions (Fig.1a). The Ni—O bond lengths range from 0.199 35(5) to 0.209 0(4) nm, and the Ni—N bond length is 0.213 3(3) nm. The smallest and largest bond angles in the Ni3-MOF structure are ∠O4ⅱ—Ni1—O2Aⅲ [69.78(18)°] and ∠O1—Ni1—N3 (180.0°), respectively. These bond lengths and angles are within the range of values reported in the literature[28]. Notably, six L2- ligands bridge six adjacent [Ni3O] clusters to form a 3D framework with porous channels (Fig.1c). Within these 3D channels (1.6 nm×1.6 nm), the coordinated dimethylamine cations are located on the inner surface of the pores (Fig.1c), while some Ni(Ⅱ) ions are exposed on the external surface of the framework (Fig.1d). Therefore, it can be anticipated that Ni3-MOF has the potential to adsorb pollutants from wastewater through mechanisms such as hydrogen bonding, pore filling, and surface complexation.
Figure 1
2.2 Morphology and physicochemical properties of Ni3-MOF-N
Nanoscale MOF adsorbents generally exhibit superior adsorption performance compared to their bulk crystalline counterparts. This is because reducing MOFs from bulk crystals to the nanoscale involves not only a change in physical size, but also a comprehensive unlocking of their adsorption potential as porous materials, achieved by shortening diffusion pathways, increasing the accessibility of active sites, and enhancing mass transfer efficiency. As a result, they demonstrate superior performance in adsorbing pollutants from wastewater. Based on this, the present study employed a mechanical fragmentation method using a cell disruptor to treat Ni3-MOF crystals, successfully obtaining the nanoscale adsorbent Ni3-MOF-N (Fig.2a). SEM (Fig.2b-2d) and TEM (Fig.2e-2g) observations revealed that the particle size of Ni3-MOF-N was approximately 200 nm. EDS mapping analysis (Fig.2h-2l) confirmed that the material is primarily composed of four elements: Ni, C, N, and O.
Figure 2
PXRD patterns (Fig.3a) confirmed that Ni3-MOF-N retains the crystalline structure of the bulk Ni3-MOF. TGA (Fig.3b) showed that Ni3-MOF-N lost the coordinated dimethylamine molecules from its structure in the temperature range of 30-430 ℃. When the temperature exceeded 430 ℃, the L2- ligands in the framework began to decompose, ultimately leaving approximately 25.07% of NiO as the residue. The N2 adsorption-desorption isotherm (Fig.3c) exhibited a typical type-Ⅱ shape, with a specific surface area, pore volume, and average pore size of 541 m2·g-1, 0.022 61 cm3·g-1, and 13.31 nm, respectively. The experimentally measured pore volume and pore size were both smaller than the theoretical values, which further provides indirect evidence for the presence of free counterions in the Ni3-MOF structure. Furthermore, ζ potential, which significantly influences the adsorption capacity between the adsorbent and pollutants through electrostatic interactions, was measured for Ni3-MOF-N under different pH conditions. The results (Fig.3d) indicated an isoelectric point at approximately pH=6.50. Thus, the surface of the material is positively charged at pH values below 6.50 and negatively charged at pH values above 6.50. It is generally acknowledged that adsorbents often exhibit optimal adsorption performance near their isoelectric point[29].
Figure 3
2.3 TC adsorption performance of Ni3-MOF-N
2.3.1 Effect of adsorbent dosage on TC adsorption
The effect of Ni3-MOF-N dosage on the adsorption of TC was systematically investigated at 25 ℃ and pH=7.00. The experimental results (Fig.4) indicate that when using a 100 mL 40 mg·L-1 TC solution, the adsorption process reached equilibrium within 40 min. It is noteworthy that the adsorbent dosage significantly influenced the removal efficiency of TC. Specifically, when the dosages of Ni3-MOF-N were 0.005 0, 0.010 0, 0.015 0, and 0.020 0 g, the corresponding TC removal efficiencies after 40 min (Fig 4a) were 31.72%, 67.60%, 85.01%, and 98.25%, respectively, with average adsorption rates of 0.317 1, 0.676 0, 0.850 1, and 0.982 5 mg·L-1·min-1, respectively. Under these conditions, the measured equilibrium adsorption capacities (Fig.4b and 4c) were 253.6, 270.4, 226.7, and 196.5 mg·g-1, respectively. Kinetic analysis revealed that the adsorption behavior of TC onto Ni3-MOF-N followed the pseudo-first-order kinetic model (R2 > 0.992 5) (Fig.4d). The fitted theoretical adsorption rates under different dosages were 0.048 09, 0.057 06, 0.058 48, and 0.071 32 g·mg-1·min-1, respectively. These results are consistent with the experimental observation that the adsorption rate increased with higher adsorbent dosage. Meanwhile, the theoretical equilibrium adsorption capacities derived from the pseudo-first-order model were 227.2, 308.6, 246.8, and 207.2 mg·g-1, respectively. Combining the experimental data and kinetic fitting results, Ni3-MOF-N exhibited optimal adsorption performance toward TC at a dosage of 0.010 0 g. Therefore, for an initial TC concentration of 40 mg·L-1, the optimal dosage of Ni3-MOF-N is ρ=0.100 0 g·L-1.
Figure 4
Figure 4. Effect of Ni3-MOF-N dosage on the adsorption of TC: (a) removal efficiency; (b) amount of TC adsorbed at different Ni3-MOF-N dosages; (c) maximum equilibrium adsorption capacity at different Ni3-MOF-N dosages; (d) pseudo-first-order kinetic model fitting for the adsorption of TC onto Ni3-MOF-N2.3.2 Effect of pH on TC adsorption
Under experimental conditions of 25 ℃ and a fixed Ni3-MOF-N dosage of 0.010 0 g, the effect of solution pH on its TC adsorption performance was systematically investigated. As shown in Fig.5, the solution pH exerted a pronounced influence on the adsorption behavior of TC by Ni3-MOF-N. Under different pH conditions (5.00, 6.00, 6.50, 7.00, 8.00), the adsorption reactions reached equilibrium within 40 min (Fig.5a). At equilibrium, the removal efficiencies of TC were 45.45%, 56.79%, 81.09%, 67.60%, and 62.48%, respectively, with corresponding average adsorption rates of 0.444 5, 0.567 9, 0.810 9, 0.676 0, and 0.624 8 mg·L-1·min-1. The calculated actual equilibrium adsorption capacities (Fig.5b and 5c) were 177.8, 227.2, 324.4, 270.4, and 249.9 mg·g-1, respectively. Adsorption kinetics analysis indicated that the process followed the pseudo-first-order kinetic model (R2 > 0.984 4) under all pH conditions. The theoretical adsorption rates obtained from the model fitting were 0.042 48, 0.047 20, 0.062 52, 0.048 09, and 0.047 99 g·mg-1·min-1, and the theoretical maximum adsorption capacities were 211.8, 262.1, 348.3, 308.6, and 285.6 mg·g-1, respectively. Notably, when the solution pH was 6.50 (the isoelectric point of Ni3-MOF-N), both the experimentally measured and model-fitted adsorption capacities reached their maximum values, at 324.4 and 348.3 mg·g-1, respectively. This phenomenon can be attributed to the coupling effect between the speciation distribution of TC and the surface charge of the adsorbent. Within the pH range of 3.30-7.70, TC primarily exists as an electrically neutral zwitterionic species. When pH < 6.50, the surface of Ni3-MOF-N is positively charged, and a high concentration of H+ competes with TC for adsorption sites, leading to reduced adsorption capacity. Conversely, when pH > 6.50, the surface of Ni3-MOF-N becomes negatively charged. However, as the pH increases beyond 7.70, TC gradually deprotonates into an anionic form (TC-), and OH- also competes for surface adsorption sites, resulting in a decline in adsorption performance.
Figure 5
2.3.3 Effect of temperature on TC adsorption
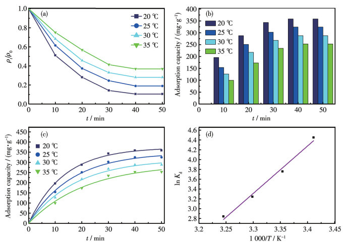
Under the conditions of a Ni3-MOF-N dosage of 0.010 0 g and a solution pH of 6.50, the effect of temperature (20, 25, 30, and 35 ℃) on its TC adsorption performance was systematically investigated. The experimental results (Fig.6) demonstrated that temperature significantly influenced the adsorption behavior of TC onto Ni3-MOF-N. At 20 ℃, the adsorption process reached equilibrium within 40 min, with a TC removal efficiency of 89.54% (Fig.6a). Similarly, at 30 and 35 ℃, adsorption equilibrium was also achieved within 40 min, with removal efficiencies of 71.93% and 63.16%, respectively (Fig.6a). Notably, the adsorption capacity (in terms of removal efficiency) at 20 ℃ was higher than that at 25 ℃ (81.09%), while the adsorption performance at 30 and 35 ℃ was lower than that at 25 ℃. Overall, within the temperature range of 20-35 ℃, the adsorption capacity of Ni3-MOF-N for TC decreased with increasing temperature. The corresponding average adsorption rates at 20, 25, 30, and 35 ℃ were 0.895 4, 0.810 9, 0.719 3, and 0.631 6 mg·L-1·min-1, respectively. This phenomenon can be attributed to the enhanced thermal motion of molecules in the solution at higher temperatures, which reduces the probability of effective contact and adsorption between TC and the active sites on the Ni3-MOF-N surface. Consequently, as shown in Fig.6b, the maximum equilibrium adsorption capacities of Ni3-MOF-N for TC at 20, 25, 30, and 35 ℃ were 358.2, 324.4, 287.7, and 252.6 mg·g-1, respectively.
Figure 6
The adsorption kinetics analysis results (Fig.6c) indicate that the adsorption behavior of TC in wastewater by Ni3-MOF-N at 20, 25, 30, and 35 ℃ conforms to the pseudo-first-order kinetic model (R2 > 0.988 8). The theoretical maximum adsorption capacities obtained from the model fitting were 373.6, 348.3, 315.6, and 292.0 mg·g-1, respectively. It is noteworthy that the fitted values were generally higher than the experimentally determined values. This discrepancy may arise from dynamic interfering factors in actual wastewater systems, such as concentration fluctuations, temperature variations, and fluid shear forces, which could cause the adsorption process to deviate from ideal kinetic assumptions. Nevertheless, both the experimentally determined values and the pseudo-first-order kinetic fitted values demonstrate that the adsorption capacity of Ni3-MOF-N for TC is significantly higher than that of most MOF materials reported in the literature (Table 3). The adsorption thermodynamic data were fitted according to the Van′t Hoff equation[21-22]. The thermodynamic analysis results (Fig.6d) indicate that the adsorption of TC from wastewater by Ni3-MOF-N within the temperature range of 20-35 ℃ is a spontaneous exothermic process (ΔH < 0, ΔG < 0), which is consistent with the experimental observations (Fig.6a and 6b). Therefore, within the range of 20-35 ℃, 20 ℃ is identified as the optimal adsorption temperature. Under the optimal conditions (T=20 ℃, pH=6.50, Ni3-MOF-N dosage: 0.010 0 g), the maximum equilibrium adsorption capacity of Ni3-MOF-N for TC reached 358.2 mg·g-1. This performance surpasses that of most MOF-based adsorbents reported in the literature (Table 3), highlighting the exceptional potential of Ni3-MOF-N for TC removal applications. The high efficiency of Ni3-MOF-N in adsorbing TC from wastewater can likely be attributed to two key factors. Firstly, the exposure of some Ni(Ⅱ) sites (Fig.1d) on the material′s surface may facilitate the adsorption of TC. Secondly, the large specific surface area (Fig.3c) of Ni3-MOF-N and the presence of hydrogen atoms (Fig.3d) from dimethylamine molecules within its pores enable a synergistic adsorption mechanism. This allows Ni3-MOF-N to effectively capture TC molecules through a combination of pore-filling effects, electrostatic attraction, hydrogen bonding, surface complexation, and π-π interactions.
Table 3
2.4 Recycling performance
The Ni3-MOF-N suspension after TC adsorption was collected in a 1 L beaker and centrifuged at 10 000 r·min-1 to obtain the precipitate. The precipitate was then washed three times using a HCl solution (pH=4.00) and anhydrous methanol. The washed samples were placed in a blast drying oven and thermally treated at 80 ℃ for 12 h. The dried samples were characterized by PXRD for phase analysis. The PXRD pattern (Fig.3a) showed that the diffraction peak positions of Ni3-MOF-N after desorption were consistent with the theoretical simulation results, indicating that its crystal structure remained intact after the desorption process. This confirms the good structural restorability and regeneration capability of the material.
Cyclic adsorption experiments for TC were conducted using Ni3-MOF-N under the conditions of 20 ℃, pH 6.50, and an adsorbent dosage of 0.010 0 g. The results (Fig.7) demonstrated that the maximum equilibrium adsorption capacity in the first cycle was 357.9 mg·g-1, with an adsorption efficiency of 99.92%. In the second cycle, the maximum equilibrium adsorption capacity was 356.5 mg·g-1, with an efficiency of 99.53%. Even after five cycles, the material maintained an adsorption capacity of 354.8 mg·g-1 and an efficiency of 99.05%. The recycling experimental results indicate that Ni3-MOF-N exhibited excellent structural stability and reliable adsorption performance over multiple adsorption/desorption cycles. Therefore, this material shows great potential for practical applications in removing TC-based organic pollutants from water bodies.
Figure 7
3. Conclusions
A novel nickel-based MOF, {(NH2(CH3)2)2[Ni3(O)(L)3(NH(CH3)2)3]}n (Ni3-MOF), was hydrothermally synthesized. Structural characterization revealed that it has a 3D framework with 1.6 nm×1.6 nm channels. The material Ni3-MOF-N, prepared from Ni3-MOF and composed of 200 nm granular particles, demonstrated outstanding performance in TC adsorption. Under optimal conditions (T=20 ℃, pH=6.50, dosage of 0.010 0 g), it achieved a high capacity of 358.2 mg·g-1, outperforming most known MOF adsorbents. The process was spontaneous, exothermic, and followed pseudo-first-order kinetics. Notably, Ni3-MOF-N exhibited excellent recyclability and stability, underscoring its promise for practical wastewater remediation.
-
-
[1]
LI C N, AWASTHI MK, LIU J, YAO T. Veterinary tetracycline residues: Environmental occurrence, ecotoxicity, and degradation mechanism[J]. Environ. Res., 2025, 266(2): 120417
-
[2]
LI Y, LIU X Y, WANG J, LI S. High-generation tetracyclines shifted microbial community composition and induced the emergence of antibiotic resistant bacteria in soil[J]. J. Hazard. Mater., 2024, 480(12): 135757
-
[3]
KAYANI K F. Tetracycline in the environment: Toxicity, uses, occurrence, detection, and removal by covalent organic frameworks‒Recent advances and challenges[J]. Sep. Purif. Technol., 2025, 364(1): 132418
-
[4]
SELVARAJ R, PRABHU D, KUMAR P S, RANGASAMY G, MURUGESAN G, RAJESH M, GOVEAS L C, VARADAVENKATRSAN T, SAMANTH A, BALAKRISHNARAJA R, VINAYAGAM R. Adsorptive removal of tetracycline from aqueous solutions using magnetic Fe2O3/activated carbon prepared from Cynometra ramiflora fruit waste[J]. Chemosphere, 2023, 310(1): 136892
-
[5]
ORTIZ-RAMOS U, LEYVA-RAMOS R, MENDOZA-MENDOZA E, CARRASCO-MARÍN F, BAILÓN-GARCÍA E, VILLELA- MARTÍNEZ D E, VALDEZ-GARCÍA G D. Modeling adsorption rate of trimethoprim, tetracycline and chlorphenamine from aqueous solutions onto natural bentonite clay. Elucidating mass transfer mechanisms[J]. Chem. Eng. J., 2024, 493(8): 152666
-
[6]
NGUYEN T L, LE PHAN Q N, VO O K, LE T K, PHAM V V. Evaluating the antibiotic adsorption ability of diatomite minerals: The role of treatment agents[J]. J. Porous Mat., 2025, 32(1): 155-168 doi: 10.1007/s10934-024-01684-8
-
[7]
ORTIZ-RAMOS U, LEYVA-RAMOS R, MENDOZA-MENDOZA E, ARAGÓN-PIÑA A. Removal of tetracycline from aqueous solutions by adsorption on raw Ca-bentonite. Effect of operating conditions and adsorption mechanism[J]. Chem. Eng. J., 2022, 432(3): 134428
-
[8]
JI L J, CHEN W, DUAN L, ZHU D Q. Mechanisms for strong adsorption of tetracycline to carbon nanotubes: A comparative study using activated carbon and graphite as adsorbents[J]. Environ. Sci. Technol., 2009, 43(7): 2322-2327 doi: 10.1021/es803268b
-
[9]
YIN Z, WANG Q X, ZENG M H. Iodine release and recovery, influence of polyiodide anions on electrical conductivity and nonlinear optical activity in an interdigitated and interpenetrated bipillared- bilayer metal-organic framework[J]. J. Am. Chem. Soc., 2012, 134(10): 4857-4863 doi: 10.1021/ja211381e
-
[10]
WANG T C, BURY W, GÓMEZ-GUALDRÓN D A, VERMEULEN N A, MONDLOCH J E, DERIA P, ZHANG K, MOGHADAM P Z, SARJEANT A A, SNURR R Q, STODDART J F. Ultrahigh surface area zirconium MOFs and insights into the applicability of the BET theory[J]. J. Am. Chem. Soc., 2015, 137(10): 3585-3591 doi: 10.1021/ja512973b
-
[11]
YIN Z, ZHAO Y, WAN S, YANG J, SHI Z, PENG S X, CHEN M Z, XIE T Y, ZENG T W, YAMAMURO O, NIREI M, AKIBA H, ZHANG Y B, YU H B, ZENG M H. Synergistic stimulation of metal-organic frameworks for stable super-cooled liquid and quenched glass[J]. J. Am. Chem. Soc., 2022, 144(29): 13021-13025 doi: 10.1021/jacs.2c04532
-
[12]
KONG Q P, SONG B B, YU J, ZHANG H Z, LI S X, LAN Y L, MA W W, SHI X Q, YU T, XIAO L P. Regulation mechanism of ligand engineering on the adsorption performance of bimetallic Ni/Co- MOFcarboxymethylcellulose composite towards Cu2+[J]. J. Environ. Chem. Eng., 2025, 13(5): 118451 doi: 10.1016/j.jece.2025.118451
-
[13]
ROUHANI F, AYEDI M, SAFARI N. Dual nature brilliant adsorbent engineering by converting an Al-based MOF to defect rich quasi-MOF[J]. Sep. Purif. Technol., 2024, 331: 125611 doi: 10.1016/j.seppur.2023.125611
-
[14]
LI J X, XIONG L Y, FU L L, BO W B, DU Z X, FENG X. Structural diversity of Mn(Ⅱ) and Cu(Ⅱ) complexes based on 2-carboxyphenoxyacetate linker: Syntheses, conformation comparison and magnetic properties[J]. J. Solid State Chem., 2022, 305: 122636 doi: 10.1016/j.jssc.2021.122636
-
[15]
LI S X, FENG X J, CHEN H Y, XU S H. Zinc complexes with mixed ligands and the effect on excitation and emission spectra by changing the binding sites[J]. ChemistrySelect, 2025, 10(1): e202404957 doi: 10.1002/slct.202404957
-
[16]
李石雄, 陈瑜欢, 杨少龙, 颜睦伦, 韦承婷. 基于(1-甲基-1H-苯并咪唑-2-基)甲醇构筑的三个Zn(Ⅱ)配合物的合成、晶体结构和荧光分析[J]. 无机化学学报, 2023, 39(09): 1782-1790LI S X, CHEN Y H, YANG S L, YAN M L, WEI C T. Synthesis, structure and fluorescence analysis of three Zn(Ⅱ) complexes based on (1-methyl-1H-benzimidazol-2-yl) methanol[J]. Chinese J. Inorg. Chem., 2023, 39(9): 1782-1790
-
[17]
CAI Y Y, DONG T, IAN Z H, LIU H, LIU X, LIU A H. Metal-organic frameworks based fluorescent sensing: Mechanisms and detection applications[J]. Coord. Chem. Rev., 2025, 529: 216470 doi: 10.1016/j.ccr.2025.216470
-
[18]
LI S X, WU X, CAO Y Z, SHI P, LIAO B L. Mechanism of coordinated anions regulating the photocatalytic performance of Cu metal-organic frameworks[J]. Inorg. Chem. Commun., 2025, 176: 114321 doi: 10.1016/j.inoche.2025.114321
-
[19]
LI S X, YAN M L, WEI C T, CHEN Y H, LIAO B L. Effect and mechanism of inorganic ions on the photocatalytic performance of amino modified UIO-67 type metal-organic framework[J]. Inorg. Chem. Commun., 2024, 168: 112934 doi: 10.1016/j.inoche.2024.112934
-
[20]
CHEN H J, LIN J R, LI S X. Manganese-based metal-organic framework preferentially photocatalytically degraded high electronegativity groups in methyl orange[J]. J. Solid State Chem., 2025, 351: 125546 doi: 10.1016/j.jssc.2025.125546
-
[21]
GUO W, LI S X. An iron-based metal-organic framework with strong water stability and effective adsorption of methylene blue from wastewater[J]. J. Solid State Chem., 2025, 344: 125174 doi: 10.1016/j.jssc.2024.125174
-
[22]
CHEN H J, LI X L, LI T, LU F Y, LAO D T, LI S X. A two- dimensional cobalt-based metal-organic framework efficiently adsorbs Cr from wastewater[J]. Inorg. Chem. Commun., 2024, 169: 113052 doi: 10.1016/j.inoche.2024.113052
-
[23]
LI S X, HUANG L C, GUO W, FENG X J, CAO Y Z, LIAO B L. Two-dimensional copper-based metal-organic framework for efficient removal of methylene blue from wastewater[J]. Eur. J. Inorg. Chem., 2024, 27(26): e202400240 doi: 10.1002/ejic.202400240
-
[24]
LIU W, LI Y, WANG Y C, FENG Y K. Bioactive metal-organic frameworks as a distinctive platform to diagnosis and treat vascular diseases[J]. Small, 2024, 20(27): 2310249 doi: 10.1002/smll.202310249
-
[25]
LI S X, FENG M L, LIU X L, ZHANG C Q, LIAO B L. Manganese-based metal-organic framework with high specific surface area and porosity for efficient adsorption of tetracycline in wastewater[J]. Inorg. Chem. Commun., 2025, 179: 114715 doi: 10.1016/j.inoche.2025.114715
-
[26]
ZHANG Z Y, SUN K, GAO B, ZHANG G X, LIU X T, ZHAO Y. Adsorption of tetracycline on soil and sediment: Effects of pH and the presence of Cu(Ⅱ)[J]. J. Hazard. Mater., 2011, 190(1/2/3): 856-862
-
[27]
DOLOMANOV O V, BOURHIS L J, GILDEA R J, HOWARD J A, PUSCHMANN H. OLEX2: A complete structure solution, refinement and analysis program[J]. J. Appl. Crystallogr., 2009, 42(2): 339-341 doi: 10.1107/S0021889808042726
-
[28]
DINKU D, DEMISSIE T B, BEAS I N, ESWARAMOORTHY R, ABDI B, DESALEGN T. Antimicrobial activities and docking studies of new Schiff base ligand and its Cu(Ⅱ), Zn(Ⅱ) and Ni(Ⅱ) complexes: Synthesis and characterization[J]. Inorg. Chem. Commun., 2024, 160: 111903 doi: 10.1016/j.inoche.2023.111903
-
[29]
LI S X, HUANG L C, JIA B J, FENG X J, CAO Y Z, CHEN Y F, BIN Y J. Effect and mechanism of inorganic anions on the adsorption of Cd2+ on two-dimensional copper-based metal-organic framework[J]. Inorg. Chem. Commun., 2024, 159: 111819 doi: 10.1016/j.inoche.2023.111819
-
[30]
CHENG S A, LI Y X, YU Z, GU R N, WU W, SU Y Q. Waste PET-derived MOF-5 for high-efficiency removal of tetracycline[J]. Sep. Purif. Technol., 2024, 339: 126490 doi: 10.1016/j.seppur.2024.126490
-
[31]
ZHOU Y P, WANG J, YANG J W, DUAN L H, LIU H B, WU J F, GAO L N. Mesoporous silica-confined MOF-525 for stable adsorption of tetracycline over a wide pH application range[J]. ACS Appl. Nano Mater., 2024, 7: 3806-3816 doi: 10.1021/acsanm.3c05407
-
[32]
OBSO J L, FLORES C V, BOUJNAH M, VILTRES H, CELAYA C A, ROSAS P M, LEYVA C. Al-based MOF for tetracycline removal from water: Adsorption performance and mechanism[J]. J. Solid State Chem., 2024, 338: 124908 doi: 10.1016/j.jssc.2024.124908
-
[33]
WU J F, LIU H B, WANG J. In-situ growth of Fe-MOF on magnetic materials by self-template method to enhance practicality and removal of tetracycline antibiotics from aqueous solution[J]. Appl. Surf. Sci., 2025, 681: 161520 doi: 10.1016/j.apsusc.2024.161520
-
[34]
XIONG W P, ZENG G M, YANG Z H, ZHOU Y Y, ZHANG C, CHENG M, LIU Y, HU L, WAN J, ZHOU C Y, XU R, LI X. Adsorption of tetracycline antibiotics from aqueous solutions on nanocomposite multi-walled carbon nanotube functionalized MIL-53(Fe) as new adsorbent[J]. Sci. Total Environ., 2018, 627: 235-244 doi: 10.1016/j.scitotenv.2018.01.249
-
[35]
YANG Q F, HONG H, LUO Y K. Heterogeneous nucleation and synthesis of carbon dots hybrid Zr-based MOFs for simultaneous recognition and effective removal of tetracycline[J]. Chem. Eng. J., 2020, 392: 123680 doi: 10.1016/j.cej.2019.123680
-
[36]
XIONG W P, ZENG Z T, LI X, ZENG G M, XIAO R, YANG Z H, ZHOU Y Y, ZHANG C, CHENG M, HU L, ZHOU C Y, QIN L, XU R, ZHANG Y R. Multi-walled carbon nanotube/aminofunctionalized MIL-53(Fe) composites: Remarkable adsorptive removal of antibiotics from aqueous solutions[J]. Chemosphere, 2018, 210: 1061-1069 doi: 10.1016/j.chemosphere.2018.07.084
-
[37]
WEI F H, ZHANG H, REN Q H, CHEN H L, YANG L L, DING B, YU M J, LIANG Z. Removal of organic contaminants from wastewater with GO/MOFs composites[J]. PLoS One, 2021, 16(7): 1-12
-
[38]
AHMADIJOKANI F, MOLAVI H, TAJAHMADI S, REZAKAZEMI M, AMINI M, KAMKAR M, ROJAS O J, ARJMAND M. Coordination chemistry of metal-organic frameworks: Detection, adsorption, and photodegradation of tetracycline antibiotics and beyond[J]. Coord. Chem. Rev., 2022, 464: 214562 doi: 10.1016/j.ccr.2022.214562
-
[1]
-
Figure 4 Effect of Ni3-MOF-N dosage on the adsorption of TC: (a) removal efficiency; (b) amount of TC adsorbed at different Ni3-MOF-N dosages; (c) maximum equilibrium adsorption capacity at different Ni3-MOF-N dosages; (d) pseudo-first-order kinetic model fitting for the adsorption of TC onto Ni3-MOF-N
Table 1. Crystal data and structure parameters for Ni3-MOF
Parameter Ni3-MOF Parameter Ni3-MOF Empirical formula C52H61N5Ni3O13 Dc / (Mg·m-3) 1.317 Formula weight 1 140.13 μ / mm-1 1.742 Temperature / K 293(2) 2θ / (°) 3.7-72.9 Crystal system Trigonal Index ranges -13 ≤ h≤ 14, -12 ≤ k ≤ 9, -29 ≤ l ≤ 28 Space group P3c1 Reflection collected 10 318 a / nm 1.136 000(10) Independent reflection 1 763 b / nm 1.136 000(10) Rint 0.056 7 c / nm 2.372 30(4) Rσ 0.035 5 Volume / nm3 2.651 29(6) Data, number of restraints, number of parameters 1 763, 263, 163 F(000) 1 140.0 R indexes [I≥2σ(I)] R1=0.042 3, wR2=0.118 2 Crystal size / mm 0.13×0.12×0.10 Final R indexes (all data) R1=0.046 2, wR2=0.123 3 Z 2 (Δρ)max, (Δρ)min / (e·nm-3) 600, -430 Table 2. Selected bond lengths (nm) and bond angles (°) for Ni3-MOF
Ni1—O1 0.199 35(5) Ni1—O2ⅲ 0.208 8(4) Ni1—O2Aⅲ 0.206 0(4) Ni1—O4ⅰ 0.205 8(4) Ni1—N3 0.213 2(3) Ni1—O2A 0.206 0(4) Ni1—O4ⅱ 0.205 8(4) Ni1—O4Aⅰ 0.209 1(4) Ni1—O4Aⅱ 0.209 1(4) Ni1—O2 0.208 8(4) O1—Ni1—O4ⅱ 90.39(12) O4ⅰ—Ni1—O2 88.09(17) O2ⅲ—Ni1—O4Aⅰ 73.38(17) O1—Ni1—O4ⅰ 90.39(12) O4ⅱ—Ni1—N3 89.61(12) O2—Ni1—O4Aⅱ 73.38(17) O1—Ni1—O2ⅲ 93.55(11) O4ⅰ—Ni1—N3 89.61(12) O2ⅲ—Ni1—O4Aⅱ 106.17(17) O1—Ni1—O2 93.55(11) O4ⅱ—Ni1—O4Aⅰ 161.25(10) O2—Ni1—O4Aⅰ 106.17(17) O1—Ni1—N3 180.0 O4ⅰ—Ni1—O4Aⅱ 161.25(10) O4Aⅱ—Ni1—N3 86.49(11) O1—Ni1—O4Aⅱ 93.51(11) O4ⅱ—Ni1—O4Aⅱ 18.60(10) O4Aⅰ—Ni1—N3 86.49(11) O1—Ni1—O4Aⅰ 93.51(11) O4ⅰ—Ni1—O4Aⅰ 18.60(10) O4Aⅱ—Ni1—O4Aⅰ 173.0(2) O1—Ni1—O2Aⅲ 90.37(12) O4ⅰ—Ni1—O2Aⅲ 110.22(18) O2A—Ni1—N3 89.63(12) O1—Ni1—O2A 90.37(12) O4ⅱ—Ni1—O2Aⅲ 69.78(18) O2Aⅲ—Ni1—N3 89.63(12) O4ⅱ—Ni1—O4ⅰ 179.2(2) O2—Ni1—O2ⅲ 172.9(2) O2Aⅲ—Ni1—O4Aⅰ 91.85(17) O4ⅱ—Ni1—O2 91.86(18) O2—Ni1—N3 86.45(11) O2A—Ni1—O4Aⅰ 88.11(17) O4ⅰ—Ni1—O2ⅲ 91.86(18) O2ⅲ—Ni1—N3 86.45(11) O2A—Ni1—O2Aⅲ 179.3(2) O4ⅱ—Ni1—O2ⅲ 88.09(17) Table 3. TC adsorption performance of some MOFs reported in the literature
-
扫一扫看文章
计量
- PDF下载量: 0
- 文章访问数: 8
- HTML全文浏览量: 1

下载:
下载: