Citation: Huiying ZHANG, Ping LI, Weixia DONG, Zhiwen HU, Qifu BAO, Qizheng DONG, Mingmin BAI, Wenqi LI. Photocatalytic performance of spheroidal nano Bi4Ti3O12 prepared by surfactant-assisted hydrothermal reaction[J]. Chinese Journal of Inorganic Chemistry, 2026, 42(3): 551-561. doi: 10.11862/CJIC.20250269
表面活性剂辅助水热反应制备类球状纳米Bi4Ti3O12的光催化性能
English
Photocatalytic performance of spheroidal nano Bi4Ti3O12 prepared by surfactant-assisted hydrothermal reaction
-
Key words:
- photocatalysis
- / Bi4Ti3O12
- / surfactant
- / spheroidal nanostructures
- / organic pollutants
-
0. 引言
随着工业化和城市化进程的不断深入,环境污染问题日益凸显,其中水污染治理尤为迫切。纺织、印染等行业排放的有机染料废水因其复杂的化学组成、高毒性和难降解特性,已成为全球环境治理的重大挑战[1-2]。传统水处理技术如物理吸附、化学氧化和生物降解等方法存在效率不足、二次污染等问题[3-4],亟需开发新型高效污染物降解技术。在此背景下,光催化技术因能够通过产生高活性自由基[如羟基自由基(·OH)和超氧自由基(·O2-)],将有机物彻底矿化为CO2和H2O[5-7],被公认为最具发展前景的绿色水处理技术之一[8-9]。在众多半导体光催化剂中,二氧化钛(TiO2)具有化学稳定性好、成本低廉等优势,但其较宽的带隙(3.0~3.2 eV)限制了光能利用效率[10]。相比之下,铋基半导体材料因其独特的6s2电子构型而具有较窄的带隙(2.4~3.0 eV)[11],展现出更好的光催化应用前景。特别是铋层状钙钛矿型氧化物Bi4Ti3O12,其特殊的[Bi2O2]2+/[Bi2Ti3O10]2-层状结构产生的内建电场能有效促进光生载流子的分离[12-14],同时表面丰富的羟基和氧空位也为光催化反应提供了活性位点。目前,Bi4Ti3O12的制备方法主要包括固相法[15]、水热法[16]、静电纺丝法[17]和熔盐法[18]等。其中,水热法因其操作简便、形貌可控和环境友好等特点成为最常用的合成方法[19]。值得注意的是,表面活性剂的引入能够通过胶束模板效应、电荷调控等机制精确控制材料的成核与生长过程[20-22],从而优化其结构和性能[23]。
基于此,我们创新性地采用表面活性剂辅助水热法合成Bi4Ti3O12类球状材料,系统考察了不同表面活性剂对其形貌、表面性质及其对亚甲蓝(MB)、罗丹明B(RhB)和甲基橙(MO)等染料的吸附-光催化性能的影响。通过深入探究表面化学修饰与吸附行为、光催化活性之间的构效关系,提出了“表面修饰-吸附-光催化”协同作用机制,为高效光催化剂的设计与开发提供了新的理论依据。
1. 实验部分
1.1 原料
钛酸四丁酯(TBOT,AR)、五水合硝酸铋(Bi(NO3)3·5H2O,AR)、氢氧化钠(NaOH,AR)、无水乙醇(C2H5OH,AR)、十二烷基磺酸钠(SDS,C12H25SO3Na)、油酸钠(C17H33CO2Na)均购于国药集团化学试剂集团公司。实验用去离子水为实验室自制。
1.2 样品的制备
首先将五水合硝酸铋(4 mmol)和TBOT(3 mmol)分别溶于适量去离子水和无水乙醇中,搅拌均匀。然后在搅拌条件下将TBOT溶液缓慢滴加至硝酸铋溶液中,并向其中加入1.5 g不同表面活性剂(SDS或油酸钠),随后滴加NaOH溶液(3 mol·L-1,40 mL),搅拌30 min后得到前驱体溶液。将前驱体溶液放入100 mL装有聚四氟乙烯内衬的高压釜中,180 ℃水热反应24 h,反应结束后将沉淀物离心、洗涤至中性,接着在真空干燥箱内80 ℃干燥12 h,得到Bi4Ti3O12。其中添加表面活性剂SDS、油酸钠及未添加表面活性剂的3种样品分别记为BTO-1、BTO-2、BTO-3。BTO-1的制备过程如图 1所示。
图 1
图 1. 水热法合成BTO-1的流程示意图Figure 1. Schematic diagram of the process for synthesizing BTO-1 by the hydrothermal method1.3 表征
采用Hitachi S4800扫描电子显微镜(SEM)观察样品的形貌及大小。采用Nicolet Nexus 470型红外光谱仪测试样品的傅里叶变换红外(FTIR)光谱。采用Burker D8型X射线衍射仪测试样品的物相结构,辐射源为Cu Kα,波长为0.154 20 nm,工作电压为40 kV,工作电流为40 mA,扫描范围为5°~80°,扫描速度为5 (°)·min-1。采用岛津UV-3600紫外可见近红外分光光度计测试样品的UV-Vis吸收光谱,测试范围为200~800 nm。电化学阻抗谱(EIS)在电化学工作站(CHI760E)上完成,使用铂电极为对电极,Ag/AgCl电极为参比电极,0.5 mol·L-1硫酸钠溶液为电解质。采用麦克ASAP2460型全自动比表面及孔隙度分析仪在液氮温度77 K下进行氮气吸附-脱附测试,测试前将样品在180 ℃脱气12 h。
1.4 光催化性能测试
分别配制不同质量浓度的MO、MB、RhB染料溶液作为目标污染物,在紫外光(40 kHz、360 W的汞灯)照射下测试样品的光催化性能。首先量取50 mL染料溶液,称取100 mg Bi4Ti3O12分散其中。光照前,将混合溶液在磁力搅拌下暗反应30 min,使得催化剂样品与染料达到吸附-脱附平衡。在紫外光照射下进行目标染料溶液的催化降解反应,使用循环水冷装置保持反应温度为室温。降解过程中每隔5 min收集4 mL的混合液,将混合液高速离心分离,取上层清液,通过紫外可见分光光度计测定上清液在对应染料特征波长下的吸光度值,以此计算剩余有机物的浓度。
2. 结果与讨论
2.1 晶体结构与微观形貌分析
图 2a显示了在添加不同表面活性剂条件下制备的Bi4Ti3O12的XRD图。3个样品的衍射峰都与Bi4Ti3O12(PDF No.97-015-1886)对应,没有其他杂质峰,其中2θ=30.25°处的最强峰对应Bi4Ti3O12的(117)晶面。图中可以看到,未添加表面活性剂的样品BTO-3由于晶体生长不受抑制,晶粒自由生长,晶格完整性更好,因此衍射峰最强。图 2b显示了不同Bi4Ti3O12样品的FTIR谱图。所有样品在3 411、2 358、1 630、808、572 cm-1处均存在吸收峰。其中,在808 cm-1处的强吸收峰对应于Bi—O的伸缩振动;在572 cm-1处较宽的吸收峰归因于Ti—O的伸缩振动;在2 358 cm-1处的特征峰归属于CO32-的反对称伸缩振动,说明材料表面存在CO32-;在3 411和1 630 cm-1处的弱峰分别是表面吸附水中O—H的反对称伸缩振动和弯曲振动。以上结果与XRD图结果一致,表明合成的产物为Bi4Ti3O12粉体。
图 2
图 3a~3f显示了不同表面活性剂合成的Bi4Ti3O12样品的SEM图。实验结果表明,溶液中添加的表面活性剂对纳米粒子的形貌有一定的影响。以SDS为表面活性剂的BTO-1是由厚度为14~40 nm、直径为75~188 nm的规则矩形纳米片和纳米颗粒自组装而成的微球,单个微球尺寸为1.38~2.90 μm。以油酸钠为表面活性剂制得的样品BTO-2也呈现出球形,单个微球尺寸为2.12~3.66 μm,整体由厚度为20.37~44.27 nm、直径为160~410 nm的不规则纳米片自组装而成。而未添加表面活性剂的样品BTO-3呈现出由纳米颗粒自组装而成的球形结构,微球单体尺寸为0.27~0.65 μm。由此可见,不同的表面活性剂导致样品的尺寸大小、形貌有所区别。研究表明,表面活性剂对纳米晶体的成核和生长过程有重要影响[24]。水热法制备Bi4Ti3O12的过程中,首先Bi(NO3)3在水中溶解生成Bi3+,TBOT在乙醇中水解生成Ti—OH。Bi3+与Ti—OH通过水解缩合反应形成Bi—O—Ti键。矿化剂NaOH可以促进TBOT的完全水解,并为反应提供OH-,OH-与Bi3+、Ti4+形成可溶性羟基配合物(如[Bi(OH)6]3-、[Ti(OH)6]2-),从而促进晶核生长。SDS、油酸钠为阴离子表面活性剂[25],在Bi4Ti3O12晶体生长过程中通过选择性地吸附在Bi4Ti3O12的(117)晶面上诱导生成了由二维纳米片自组装而成的微球。该分级结构不仅暴露了丰富的活性位点,还优化了载流子分离和传输效率,共同提升了材料的光催化降解性能。
图 3
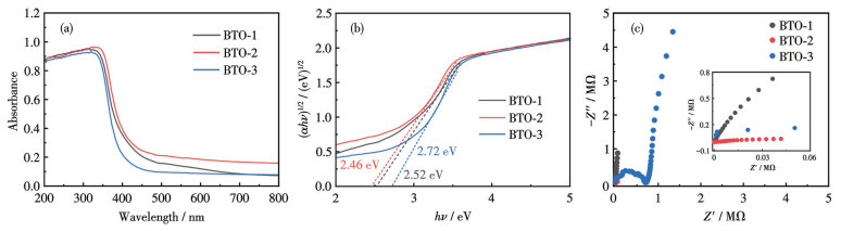
通过UV-Vis吸收光谱表征了Bi4Ti3O12样品的光学性质。由图 4a可以看出所有样品在紫外光区内均有明显的吸收边,BTO-1、BTO-2、BTO-3的吸收边分别位于414、430、407 nm处,添加表面活性剂的样品吸收边表现出了红移现象,说明其在全光谱中的利用率增高。根据(αhν)1/2-hν曲线[26]计算得到BTO-1、BTO-2、BTO-3的带隙(Eg)分别为2.52、2.46、2.72 eV(图 4b)。相比较未添加表面活性剂的样品,添加SDS和油酸钠所制备的BTO-1、BTO-2的Eg减小。原因是表面活性剂通过抑制成核,促进晶体有序生长,引起晶粒尺寸增大,而晶体尺寸的增大使得Eg减小[27],由此可知Eg随样品形貌的变化而变化。通过EIS对光生载流子的分离和传输性能进行了研究。如图 4c所示,BTO-2的阻抗圆弧半径较小,说明其电荷转移电阻最小,电荷分离效率更高。
图 4
2.2 光催化性能和稳定性分析
为了验证3种样品的光催化性能,在光照条件下以MO(10 mg·L-1)、MB(20 mg·L-1)和RhB(30 mg·L-1)为目标污染物,进行了染料降解实验。图 5a为不同样品降解MO染料的光催化性能曲线。可以清楚地看到,BTO-2展现出了优异的光催化性能,在20 min内对MO的降解率达到了90.6%,而BTO-1对应的降解率为81.8%,BTO-3对应的降解率为68.0%。为了便于量化催化效率,通过准一级动力学方程[28]计算反应速率常数:
$ \ln \left(\rho_0{ }^{\prime} / \rho_t\right)=k t $ 图 5
其中,ρ0′和ρt分别是染料暗吸附后的初始质量浓度和光催化反应t时的质量浓度(mg·L-1),k是反应速率常数(min-1)。如图 5b所示,BTO-2的催化降解反应速率最快(k=0.089 min-1),比BTO-3的(0.034 min-1)高1.6倍,而BTO-1的k为0.054 min-1,比BTO-3的高0.6倍。
如图 5c、5e所示,3种样品均可以有效地降解MB(20 mg·L-1)和RhB(30 mg·L-1)。在相同条件下,BTO-1、BTO-2、BTO-3可快速降解MB,40 min内的降解率分别达到了98.9%、88.5%、73.3%,反应速率常数分别为0.076、0.033、0.019 min-1。在RhB的降解反应中,BTO-1、BTO-2、BTO-3在20 min内的催化降解率分别达到了96.0%、98.5%、53.7%,反应速率常数分别为0.119、0.157、0.029 min-1。在表面活性剂的作用下,样品的光催化性能得到了大幅度的提升,并且对多种染料都表现出了良好的普适性。众所周知,光催化性能主要由多个关键因素调控:材料尺寸、形貌特征、比表面积及带隙。表面活性剂在反应体系中形成的胶束软模板引导Bi4Ti3O12晶体定向生长[29],最终构建了由纳米片自组装形成的具有独特微纳分级结构的球状聚集体,其比表面积大约为10 m2·g-1。虽然BTO-3的尺寸更小(图 3e、3f),但其催化活性反而显著降低(图 5)。这说明比表面积并非是决定催化性能的主导因素[30],材料本征性质(如能带结构、载流子迁移率等)可能起决定性作用。
与BTO-3相比,BTO-1、BTO-2由于球状颗粒较大(图 3),团聚较少,同时,BTO-1、BTO-2表现出了更小的Eg,对光的吸收范围向可见光区域拓展,这使其能够利用更多的光能,进而激发产生光生电子-空穴对,使得更多的载流子可以迁移到材料表面参与氧化还原反应,进而显著提升降解率[31]。相比之下,未添加表面活性剂的样品往往结晶度更高、带隙更大,电子跃迁所需能量更高,光生载流子数量更少,因此表现出较弱的光催化性能。此外,EIS结果(图 4c)表明BTO-2的阻抗最小,说明其光生电子迁移速率最快,因此催化活性最高。值得注意的是,样品对RhB和MB的降解率明显高于MO。这种选择性降解行为主要归因于染料分子与催化剂表面之间的静电相互作用。捕获实验表明,光生空穴(h+)在反应中起主导作用,并倾向于迁移至BTO的带负电侧[32]。因此,表面带正电的阳离子染料(RhB和MB)更容易通过静电吸附富集在催化活性位点附近,从而与h+发生高效反应。相反,表面带负电的阴离子染料(MO)因与催化剂表面存在静电排斥作用,其吸附和接近活性位点的过程受阻,导致降解率相对较低。这在其他文献中也有相关报道[33-34]。
为了进一步分析Bi4Ti3O12的催化性能,对不同初始质量浓度(30、35、40、45 mg·L-1)的RhB溶液的降解性能进行了探究,结果如图 6a所示。在20 min光照反应后,RhB的降解率呈现出明显的浓度依赖性,30、35、40和45 mg·L-1时的降解率分别为98.5%、91.6%、86.6%和70.9%。反应速率常数随着染料质量浓度的升高而降低(图 6b),说明高质量浓度的染料分子在溶液中对光的竞争吸收和对催化剂表面活性位点的竞争吸附增强,这限制了光催化反应的效率[35]。这表明在处理高浓度废水时,需要适当延长反应时间以提升处理效果。
图 6
选取典型样品BTO-2探究了降解不同染料的矿化率。如图 7a所示,催化剂在MO(10 mg·L-1)、MB(20 mg·L-1)和RhB(30 mg·L-1)溶液中的矿化率分别为82.7%、91.9%、83.4%,表明染料分子发生了分解。由于瞬时有机中间体的存在,其矿化率没有降解率高[36]。随后进行了5次循环降解RhB实验,以测试BTO-2的重复性和稳定性(图 7b)。结果表明,5次循环后20 min内BTO-2对RhB的降解率仍高达94.8%,这表明其表现出优异的稳定性。对降解染料后的样品回收并进行了XRD测试,如图 7c所示,降解后样品中没有形成额外的相,但峰强度减弱,这可能与污染物的残留有关,表明BTO-2具有良好的可重复使用性和光催化性能。从表 1中可以看出,相比较其他催化剂,本实验中所制备的Bi4Ti3O12光催化剂表现出了优异的催化性能。
图 7
表 1
表 1 BTO-2与其他光催化剂的性能对比Table 1. Comparison of photocatalytic performance of BTO-2 and the other photocatalystsPhotocatalyst Dye ρ0 / (mg·L-1) Degradation ratio / % Time / min k / min-1 Ref. Bi4Ti3O12 RhB 0.48 62.1 240 n.d.* [37] Bi4Ti3O12/CuS RhB 20 99.2 80 n.d. [38] (Na0.5Bi0.5)TiO3/Bi4Ti3O12 MB 3.2 92.0 120 n.d. [39] Fe doped Bi4Ti3O12 MB 20 98.2 90 0.031 [40] Bi4Ti3O12/TiO2 MO 10 95.1 120 0.027 [41] BTO-2 RhB 30 98.5 20 0.157 BTO-1 MB 20 98.9 40 0.076 This work BTO-2 MO 10 90.6 20 0.089 *Not described. 2.3 吸附机理分析
光催化降解实验中发现样品对染料溶液的吸附能力很强,为此,重新选取了相同质量浓度的染料溶液以探究催化剂的吸附机理。由图 8可知,对于5 mg·L-1 MO、MB、RhB溶液,经30 min吸附反应后,样品对不同的染料吸附情况也大不相同。其中,在MB溶液(图 8a)中,BTO-1的吸附效果明显优于其他2种样品;在RhB溶液(图 8b)中,BTO-2表现出了最优异的吸附效果,肉眼可以看到,溶液已接近于透明色。而所有样品对于MO溶液(图 8c)的吸附效果相差不大。这主要是由于Bi4Ti3O12对染料溶液的吸附涉及多种作用的协同效应。通过不同表面活性剂对样品进行修饰,使得催化剂表面富含众多的官能团(图 2b),这可以为吸附过程提供作用位点,从而有利于通过氢键、静电相互作用、范德瓦耳斯力、疏水相互作用等作用力对染料分子进行吸附[42]。Bi4Ti3O12的层状钙钛矿结构赋予了其丰富的表面活性位点,如Bi3+、Ti4+及氧空位。在接近中性或弱碱性的实验条件下,催化剂表面带负电荷[43]。此时,阳离子染料RhB和MB因表面带正电荷,能够通过静电作用与催化剂表面高效吸引,从而有利于吸附过程的进行;相反,阴离子染料MO在相同条件下因表面带负电荷,与催化剂之间产生静电排斥作用,导致其吸附效率降低。
图 8
为了进一步研究有机染料溶液在Bi4Ti3O12上的吸附机理,测定了样品的接触角以及吸附染料前后的FTIR谱图,结果如图 9所示。阳离子染料MB的—NH2基团使得染料带正电,BTO-1中添加的SDS为阴离子表面活性剂,表面富含磺酸基团(—SO3H),这使BTO-1的表面负电荷增加,有助于与MB产生强静电吸引,从而增加对染料的吸附。而RhB分子中含有疏水芳香环和烷基链,BTO-2经表面活性剂油酸钠疏水改性后,接触角由33.86°(图 9c)增加到126.54°(图 9b),说明其疏水性增加。其疏水性与RhB染料分子中存在的疏水结构产生疏水相互作用,进而增强了对RhB染料的吸附[44]。MO染料为阴离子染料,表面带负电,由于静电排斥作用导致吸附性较差。如图 9d所示,BTO-1吸附MB后,FTIR谱图与原始略有不同,位于3 411、1 630 cm-1附近的特征峰略微增强,表明BTO-1表面富含的羟基作为氢键供体与作为氢键受体的MB染料分子两端的二甲铵基团(—N(CH3)2)发生氢键作用。同样,从图 9e中也观察到了BTO-2特征峰增强的现象,这主要是由于RhB中羧基(—COOH)作为氢键受体与BTO-2的羟基发生氢键作用所致[45]。值得注意的是,在BTO-1吸附MB染料分子后,Bi—O键特征峰的位置发生了略微偏移,从808 cm-1处偏移到了817 cm-1,表明MB分子中富含孤对电子的杂原子与Bi4Ti3O12表面的金属离子Bi3+发生配位作用,形成了配位键。由此可知,染料在样品上的吸附行为是多种相互作用共同影响的结果。图 10为催化剂样品吸附染料分子的吸附机理图。
图 9
图 10
3. 结论
采用表面活性剂辅助水热法成功合成了Bi4Ti3O12光催化剂,并系统研究了其对不同染料的吸附与光催化降解机理。研究表明,该方法可有效调控Bi4Ti3O12的形貌结构,获得具有高比表面积的类球状纳米材料,其带隙窄化至2.46 eV。所得BTO-2对RhB的降解率高达98.5%,在连续5次循环实验后仍保持在96%以上,表现出优异的循环稳定性。此外,表面活性剂的修饰显著增强了催化剂对染料的吸附能力:SDS修饰的BTO-1通过静电吸引作用显著提升了对阳离子染料MB的吸附性能;油酸钠修饰的BTO-2表现出强疏水性(接触角为126.5°),可与RhB分子间产生显著的疏水相互作用。FTIR分析进一步表明,吸附过程中氢键与配位作用也发挥了重要影响。综上,我们提出了“表面修饰-吸附-光催化”协同作用机制,这为设计高效有机污染物处理材料提供了理论依据,展现出良好的工业应用前景。
-
-
[1]
LAGHRIB F, BAKASSE M, LAHRICH S, MHAMMEDI M A E. Advanced oxidation processes: Photo-electro-Fenton remediation process for wastewater contaminated by organic azo dyes[J]. Int. J. Environ. Anal. Chem., 2021, 101(15): 2947-2962 doi: 10.1080/03067319.2020.1711892
-
[2]
周锋, 任向红, 刘建友, 刘嫔. 光催化降解水体有机污染物的研究进展[J]. 材料工程, 2018, 46(10): 9-19.ZHOU F, REN X H, LIU J Y, LIU P. Development of photocatalytic degradation of organic pollutants in water[J]. J. Mater. Eng., 2018, 46(10): 9-19
-
[3]
章萍, 赵晨晨, 崔潇匀, 谢冰, 刘依涵, 林海玉, 张佳乐, 谌宇楠. 层状锌铝双金属氧化物的制备及其吸附-光催化性能[J]. 无机化学学报, 2024, 40(10): 1965-1974. doi: 10.11862/CJIC.20240014ZHANG P, ZHAO C C, CUI X Y, XIE B, LIU Y H, LIN H Y, ZHANG J L, CHEN Y N. Preparation and adsorption-photocatalytic performance of ZnAl@layered double oxides[J]. Chinese J. Inorg. Chem., 2024, 40(10): 1965-1974 doi: 10.11862/CJIC.20240014
-
[4]
QIAN M C, YANG L Y, CHEN X K, LIN K, XUE W B, LI Y J, ZHAO H H, CAO G M, GUAN X H, SHEN G X. The treatment of veterinary antibiotics in swine wastewater by biodegradation and Fenton-like oxidation[J]. Sci. Total Environ., 2020, 710: 136299 doi: 10.1016/j.scitotenv.2019.136299
-
[5]
HAIROM N H H, SOON C F, MOHAMED R M S R, MORSIN M, ZAINAL N, NAYAN N, ZULKIFLI C Z, HARUN N H. A review of nanotechnological applications to detect and control surface water pollution[J]. Environ. Technol. Innov., 2021, 24: 102032 doi: 10.1016/j.eti.2021.102032
-
[6]
WU Z H, JING J F, ZHANG K F, LI W L, YANG J, SHEN J, ZHANG S M, XU K Q, ZHANG S Y, ZHU Y F. Epitaxial BiP5O14 layer on BiOI nanosheets enhancing the photocatalytic degradation of phenol via interfacial internal-electric-field[J]. Appl. Catal. B‒Environ. Energy, 2022, 307: 121153 doi: 10.1016/j.apcatb.2022.121153
-
[7]
LONG X X, FENG C P, YANG S J, DING D H, FENG J P, LIU M, CHEN Y, TAN J H, PENG X J, SHI J N, CHEN R Z. Oxygen doped graphitic carbon nitride with regulatable local electron density and band structure for improved photocatalytic degradation of bisphenol A[J]. Chem. Eng. J., 2022, 435: 134835 doi: 10.1016/j.cej.2022.134835
-
[8]
TONG W S, ZHANG Y H, HUANG H W, XIAO K, YU S X, ZHOU Y, LIU L P, LI H T, LIU L, HUANG T, LI M, ZHANG Q, DU R F, AN Q. A highly sensitive hybridized soft piezophotocatalyst driven by gentle mechanical disturbances in water[J]. Nano Energy, 2018, 53: 513-523 doi: 10.1016/j.nanoen.2018.08.069
-
[9]
HE R A, XU D F, CHENG B, YU J G, HO W K. Review on nanoscale Bi-based photocatalysts[J]. Nanoscale Horiz., 2018, 3(5): 464-504 doi: 10.1039/C8NH00062J
-
[10]
ONG W J, TAN L L, CHAI S P, YONG S T, MOHAMED A R. Facet-dependent photocatalytic properties of TiO2-based composites for energy conversion and environmental remediation[J]. ChemSusChem, 2014, 7(3): 690-719 doi: 10.1002/cssc.201300924
-
[11]
SHI J L, RUBINSTEIN E A, LI W W, ZHANG J Y, YANG Y, LEE T L, QIN C D, YAN P F, DRISCOLL M M, SCANLON D O, KELVIN H L. Modulation of the Bi3+6s2 lone pair state in perovskites for high-mobility p-type oxide semiconductors[J]. Adv. Sci., 2022, 9(6): 2104141 doi: 10.1002/advs.202104141
-
[12]
CHENG X G, GAO T C, LI X Y, LUO G Q, CAO S W, WANG C B, GUO D Y. Enhanced visible-light photocatalytic performance of hollow Bi/Bi4Ti3O12 microspheres assembled with Bi4Ti3O12 nanosheets and Bi nanodots synthesized by hydrothermal method[J]. J. Alloy. Compd., 2025, 1010: 177483
-
[13]
KALLAWAR G A, BARAI D P, BHANVASE B A. Bismuth titanate based photocatalysts for degradation of persistent organic compounds in wastewater: A comprehensive review on synthesis methods, performance as photocatalyst and challenges[J]. J. Cleaner Prod., 2021, 318: 128563 doi: 10.1016/j.jclepro.2021.128563
-
[14]
XIE Z S, TANG X L, SHI J F, WANG Y J, YUAN G L, LIU J M. Excellent piezo-photocatalytic performance of Bi4Ti3O12 nanoplates synthesized by molten-salt method[J]. Nano Energy, 2022, 98: 107247 doi: 10.1016/j.nanoen.2022.107247
-
[15]
SUN S, DONG Q, CHEN Z. Macroscopic polarization enhancement boosting piezo-photocatalytic performance of Bi4Ti3O12 via La-doping[J]. Ceram. Int., 2025, 51(3): 3846-3856 doi: 10.1016/j.ceramint.2024.11.360
-
[16]
ZHANG Z X, LI X Y, HUANG Z X, ZHANG L M, HAN J J, ZHOU X D, GUO D Y, JU Y. Low-temperature synthesis of Bi4Ti3O12 nanocrystals by hydrothermal method[J]. J. Mater. Sci. ‒Mater. Electron., 2018, 29: 7453-7457 doi: 10.1007/s10854-018-8736-6
-
[17]
MENG A, XING J, GUO W L, LI Z J, WANG X M. Electrospinning synthesis of porous Bi12TiO20/Bi4Ti3O12 composite nanofibers and their photocatalytic property under simulated sunlight[J]. J. Mater. Sci., 2018, 53(20): 14328-14336 doi: 10.1007/s10853-018-2628-2
-
[18]
JIA P W, LI Y L, ZHENG Z S, WANG Y, LIU T. Ferroelectric polarization promotes the excellent CO2 photoreduction performance of Bi4Ti3O12 synthesized by molten salt method[J]. J. Alloy. Compd., 2022, 920: 165880 doi: 10.1016/j.jallcom.2022.165880
-
[19]
LIANG Q H, LIU X J, ZENG G M, LIU Z F, TANG L, SHAO B B, ZENG Z T, ZHANG W, LIU Y, CHENG M, TANG W W, GONG S X. Surfactant-assisted synthesis of photocatalysts: Mechanism, synthesis, recent advances and environmental application[J]. Chem. Eng. J., 2019, 372: 429-451 doi: 10.1016/j.cej.2019.04.168
-
[20]
AHMAD S, ASHRAF I, ASGHAR M A, BIBI M, IQBAL M. Surfactant-assisted synthesis of nickel sulfide as bi-functional catalyst for water splitting application[J]. Inorg. Chem. Commun., 2023, 156: 111142 doi: 10.1016/j.inoche.2023.111142
-
[21]
TAMAM N, AADIL M, HASSAN W, EJAZ S R, NAIM Z M, ALSAFARI I A, AMAN S, TRUKHANOV A V, BURIAHI M S A, BOUKHRIS I. Surfactant assisted synthesis of nanostructured Mn-doped CuO: An efficient photocatalyst for environmental remediation[J]. Ceram. Int., 2022, 48(20): 29589-29600 doi: 10.1016/j.ceramint.2022.06.213
-
[22]
RAULA M, RASHID M H, PAIRA T K, DINDA E, MANDAL T K. Ascorbate‑assisted growth of hierarchical ZnO nanostructures: Sphere, spindle, and flower and their catalytic properties[J]. Langmuir, 2010, 26(11): 8769-8782 doi: 10.1021/la904507q
-
[23]
LIANG Q H, LIU X J, ZENG G M, LIU Z F, TANG L, SHAO B B, ZENG Z T, ZHANG W, LIU Y, CHENG M, TANG W W, GONG S X. Surfactant-assisted synthesis of photocatalysts: Mechanism, synthesis, recent advances and environmental application[J]. Chem. Eng. J., 2019, 372: 429-451 doi: 10.1016/j.cej.2019.04.168
-
[24]
UPADHYAY R, SINGH S, KAUR G. Sorption of pharmaceuticals over microplastics′ surfaces: Interaction mechanisms and governing factors[J]. Environ. Monit. Assess., 2022, 194(11): 803 doi: 10.1007/s10661-022-10475-0
-
[25]
ABDUL AZIZ M M H, MOHAMED A, ARDYANI T, BAKAR S A, SAGISAKA M, SATO K, AHMAD M K, NURYADI R, ROGERS S E. A facile surfactant-assisted synthesis of graphene oxide/zinc oxide catalyst for the degradation of methylene blue dye[J]. Water Air Soil Pollut., 2024, 235(2): 134 doi: 10.1007/s11270-024-06930-y
-
[26]
RAO F, ZHU G Q, ZHANG W B, GAO J Z, ZHANG F C, HUANG Y, HOJAMBERDIEV M. In-situ generation of oxygen vacancies and metallic bismuth from (BiO)2CO3 via N2-assisted thermal-treatment for efficient selective photocatalytic NO removal[J]. Appl. Catal. B‒Environ., 2021, 281: 119481 doi: 10.1016/j.apcatb.2020.119481
-
[27]
GUPTA Y, ARUN P, NAUDI A A, WALZ M V, ALBANESI E A. Grain size and lattice parameter′s influence on band gap of SnS thin nano-crystalline films[J]. Thin Solid Films, 2016, 612: 310-316 doi: 10.1016/j.tsf.2016.05.056
-
[28]
LOTFI S, OUARDI M E, AHSAINE H A, ASSANI A. Recent progress on the synthesis, morphology and photocatalytic dye degradation of BiVO4 photocatalysts: A review[J]. Catal. Rev., 2024, 66(1): 214-258 doi: 10.1080/01614940.2022.2057044
-
[29]
王春雨. 阴离子型表面活性剂对ZnO微/纳结构的形貌调控[D]. 石家庄: 河北师范大学, 2016: 3-21.WANG C Y. Morphology regulation of ZnO micro-/nano-structuresby anionic surfactants[D]. Shijiazhuang: Hebei Normal University, 2016: 3-21
-
[30]
SUN S H, WANG X, CHEN Z W, DENG B, SUN T L. Piezoelectric enhanced photocatalytic degradation of levofloxacin by La doped Bi4Ti3O12 nanosheets[J]. J. Water Process. Eng., 2014, 65: 105787
-
[31]
WU J R, WANG W W, TIAN Y, SONG C X, QIU H, XUE H. Piezotronic effect boosted photocatalytic performance of heterostructured BaTiO3/TiO2 nanofibers for degradation of organic pollutants[J]. Nano Energy, 2020, 77: 105122 doi: 10.1016/j.nanoen.2020.105122
-
[32]
ZHOU X F, SUN Q W, ZHAI D, XUE G L, LUO H, ZHANG D. Excellent catalytic performance of molten‑salt‑synthesized Bi0.5Na0.5TiO3 nanorods by the piezo-phototronic coupling effect[J]. Nano Energy, 2021, 84: 105936 doi: 10.1016/j.nanoen.2021.105936
-
[33]
HE Y Q, JI M W, HU Y, YANG Q H, YAN C X, CHEN Y X, CHANG S D, LI B, WANG J. Impact of ferroelectricity on the photodegradation of charged dye species: Significance of polarity match[J]. J. Mater. Chem. C, 2018, 6: 7745-7749 doi: 10.1039/C8TC01081A
-
[34]
LIU D M, SONG Y W, XIN Z J, LIU G X, JIN C C, SHAN F. High-piezocatalytic performance of eco-friendly (Bi1/2Na1/2)TiO3-based nanofibers by electrospinning[J]. Nano Energy, 2019, 65: 104024 doi: 10.1016/j.nanoen.2019.104024
-
[35]
HONG K S, XU H F, KONISHI H, LI X C. Piezoelectrochemical effect: A new mechanism for azo dye decolorization in aqueous solution through vibrating piezoelectric microfibers[J]. J. Mater. Chem. C, 2012, 116: 13045-13051
-
[36]
CHEN Q H, XIN Y J, ZHU X W. Au-Pd nanoparticles-decorated TiO2 nanobelts for photocatalytic degradation of antibiotic levofloxacin in aqueous solution[J]. Electrochim. Acta, 2015, 186: 34-42 doi: 10.1016/j.electacta.2015.10.095
-
[37]
TU S C, HUANG H W, ZHANG T R, ZHANG Y H. Controllable synthesis of multi‑responsive ferroelectric layered perovskite‑like Bi4Ti3O12: Photocatalysis and piezoelectric-catalysis and mechanism insight[J]. Appl. Catal. B‒Eniviron., 2017, 219: 550-562 doi: 10.1016/j.apcatb.2017.08.001
-
[38]
ZHANG N, WU R, ZHANG Y, YUE J Y, JING H T, WEI S H, OUYANG F P. CuS as bifunctional catalyst for enhancing photocatalytic degradation efficiency of Bi4Ti3O12[J]. Opt. Mater., 2023, 138: 113700 doi: 10.1016/j.optmat.2023.113700
-
[39]
JIANG Y, CHEN W F, MA H Y, REN H J, LIM S, LU X X, BAHMANROKH G, MOFARAH S S, WANG D Y, KOSHY P, SORRELL C C. Effect of Bi/Ti ratio on (Na0.5Bi0.5)TiO3/Bi4Ti3O12 heterojunction formation and photocatalytic performance[J]. J. Environ. Chem. Eng., 2021, 9: 106532 doi: 10.1016/j.jece.2021.106532
-
[40]
LIU Z D, MA Z. Promoting the photocatalytic activity of Bi4Ti3O12 microspheres by incorporating iron[J]. RSC Adv., 2020, 10: 19232-19239 doi: 10.1039/D0RA03305G
-
[41]
CHEN K S, HU R, FENG X R, XIE K, LI Y, GU H S. Bi4Ti3O12/TiO2 heterostructure: Synthesis, characterization and enhanced photocatalytic activity[J]. Ceram. Int., 2013, 39(8): 9109-9114 doi: 10.1016/j.ceramint.2013.05.007
-
[42]
SEKULIC M T, BOSKOVIC N, SLAVKOVIC A, GARUNOVIC J, KOLAKOVIC S, PAP S. Surface functionalised adsorbent for emerging pharmaceutical removal: Adsorption performance and mechanisms[J]. Process Saf. Environ. Protect., 2019, 125: 50-63 doi: 10.1016/j.psep.2019.03.007
-
[43]
涂姝臣. 钙钛矿型层状铋系钛酸盐的制备及光/压电催化性能研究[D]. 北京: 中国地质大学(北京), 2020: 11-37.TU S C. Study on preparation of layered perovskites Bi-based titanate and their photo/piezocatalytic properties[D]. Beijing: China University of Geosciences (Beijing), 2020: 11-37
-
[44]
宋国彬. 功能化碳纳米管复合材料对水中染料的吸附机制研究[D]. 大连: 大连海事大学, 2024: 103-115.SONG G B. Adsorption mechanisms of dyes in water on functionalized carbon nanotube composites[D]. Dalian: Dalian Maritime University, 2024: 103-115
-
[45]
HUAN Y Y, WANG G L, LI C Q, LI G F. Acrylic acid grafted-multi-walled carbon nanotubes and their high efficiency adsorption of methylene blue[J]. J. Mater. Sci., 2020, 55(11): 4656-4670 doi: 10.1007/s10853-019-04167-3
-
[1]
-
表 1 BTO-2与其他光催化剂的性能对比
Table 1. Comparison of photocatalytic performance of BTO-2 and the other photocatalysts
Photocatalyst Dye ρ0 / (mg·L-1) Degradation ratio / % Time / min k / min-1 Ref. Bi4Ti3O12 RhB 0.48 62.1 240 n.d.* [37] Bi4Ti3O12/CuS RhB 20 99.2 80 n.d. [38] (Na0.5Bi0.5)TiO3/Bi4Ti3O12 MB 3.2 92.0 120 n.d. [39] Fe doped Bi4Ti3O12 MB 20 98.2 90 0.031 [40] Bi4Ti3O12/TiO2 MO 10 95.1 120 0.027 [41] BTO-2 RhB 30 98.5 20 0.157 BTO-1 MB 20 98.9 40 0.076 This work BTO-2 MO 10 90.6 20 0.089 *Not described. -
扫一扫看文章
计量
- PDF下载量: 0
- 文章访问数: 18
- HTML全文浏览量: 5

下载:
下载: