Citation: Yi RU, Tao MENG, Zhaoteng XUE, Dongsen MAO. Synergistic catalysis of Al distribution and pore structure in ZSM-5 zeolite for bioethanol-to-propylene[J]. Chinese Journal of Inorganic Chemistry, 2026, 42(2): 247-262. doi: 10.11862/CJIC.20250255
ZSM-5分子筛中铝分布与孔结构协同催化生物乙醇制丙烯
English
Synergistic catalysis of Al distribution and pore structure in ZSM-5 zeolite for bioethanol-to-propylene
-
Key words:
- ZSM-5 zeolite
- / magnesium doping
- / acidic property
- / aluminum distribution
- / bioethanol-to-propylene
-
0. 引言
丙烯作为石化工业的核心基础原料,广泛应用于聚合物、医药、染料及食品添加剂等领域[1]。近年来,全球丙烯供需缺口呈扩大趋势,而传统石油基生产路线(如蒸汽裂解、催化裂化)及煤基工艺[如甲醇制烯烃(MTO)、甲醇制丙烯(MTP)、丙烷脱氢]受限于资源不可再生、高能耗及环境压力,难以满足市场需求[2-3]。在此背景下,生物乙醇制丙烯(bioethanol to propylene,ETP)工艺因其原料可再生、过程绿色化等优势[4],成为解决丙烯供需矛盾的重要研究方向,其核心在于开发高效稳定的催化体系以实现工业化应用。
ETP是一个复杂的多相反应过程,主要包括C1~C5烷烃、C2~C4烯烃及C6+芳烃等多种瞬时产物[5]。目前主要存在3种反应机理:(1) 类似MTO过程的烃池机理,即通过表面介导的β消除、异构化及烷基化反应路径[6];(2) 金属活性位点诱导的电子效应机理[7];(3) 烯烃/环戊二烯/芳烃协同的“三循环”机理[8]。催化体系主要采用负载型金属氧化物催化剂(如Pt/Al2O3[9]、WO3/TiO2[10])和沸石分子筛(如ZSM-5[11]、SAPO-34[12]、Beta[13-14]),其中ZSM-5凭借其可调的酸性位点和独特的孔道结构展现出优异性能。然而,传统ZSM-5分子筛在ETP反应中面临酸性过强和孔道扩散受限导致的快速积碳失活问题[15],亟需通过精准调控其酸性分布与孔道结构来提升催化性能与稳定性。
ZSM-5分子筛骨架由沿a轴延伸的“之”字形正弦通道(0.51 nm×0.55 nm)和沿b轴延伸的直通道(0.53 nm×0.56 nm)交叉组成,交叉处形成较大的空腔(约为0.9 nm),影响分子扩散并产生过渡态择形效应[16]。研究发现,作为固体酸催化剂,ZSM-5分子筛中骨架铝(AlF)的分布直接影响了其酸性位点的强度与可及性,进而显著影响催化性能[17-18]。近年来,ZSM-5分子筛中AlF分布与其催化性能的构效关系引起了研究者的极大兴趣[19-20]。
Liang等[21]采用不同的硅源合成了2种不同Al分布的ZSM-5分子筛,其中硅溶胶合成的AlF主要位于孔道内,而正硅酸乙酯(TEOS)合成的AlF则富集于孔道交叉处,这种分布差异导致其在MTO反应中表现出不同的催化行为——孔道交叉处的AlF促进芳烃循环路径,而孔道内的AlF更有利于烯烃循环。Tang等[22]研究发现AlF分布受有机结构导向剂(OSDA)与骨架间静电相互作用的调控,具有烷基链的OSDA[如四丙基铵根(TPA+)和四乙基铵根(TEA+)]会导致AlF主要分布在孔道交叉处,而具有吡唑环的OSDA[如1,2,4-三甲基吡唑阳离子(124TMP+)]则倾向于使AlF分布在正弦孔道中。Biligetu等[23]研究了初始凝胶中的醇对AlF在ZSM-5骨架中位置的影响,结果发现采用大体积支链醇[如三羟甲基乙烷(TME)]与Na+结合时,AlF优先分布在直孔道和正弦孔道中,在MTO反应中表现出最长的催化寿命。除此之外,还可以通过调节晶化温度[24]、杂原子掺入[25-26]、改变Al源以及硅铝比[27-29]等方法来控制分子筛的AlF分布。
近年来,引入杂原子调控分子筛的Al分布已成为研究热点[30]。其中,硼(B)[31]、锌(Zn)[32]、锡(Sn)[33]等元素的引入可有效调节ZSM-5的AlF分布,抑制副反应并提高目标产物的选择性。然而,通过水热合成法引入碱土金属(如Mg)来调控AlF分布及其催化性能影响的研究鲜有报道。Chen等[34]首次采用水热法合成了Mg掺杂的ZSM-5分子筛,并且证明Mg进入骨架后形成了Si—O—Mg键,Mg的掺杂抑制了Al进入分子筛骨架,减少了强酸位点,从而使MTO反应表现出更长的催化寿命。近期,Shen团队[35]通过系统探究Mg引入对ZSM-5分子筛骨架中Al分布的影响机制,发现Mg的引入不仅促使更多AlF分布于直通道和正弦通道中,同时通过形成Si—O—Mg结构有效保留了Brønsted酸位;这种AlF分布调控和酸性位的保留共同抑制了氢转移副反应,从而在烷烃催化裂化中显著提高了丙烯的选择性。然而,目前对于ZSM-5分子筛中“酸性质-Al分布(位置和邻近度)”协同作用与ETP反应性能(反应路径和产物分布)的构效关系仍缺乏系统研究。
基于以上分析,我们采用水热合成法制备了一系列不同Mg含量的x-MgHZ5样品(其中x为初始凝胶中MgO、Al2O3的物质的量之比),并系统考察了Mg含量对ZSM-5分子筛酸性质、织构性质和Al分布(直通道、正弦通道或通道交叉处)与邻近度[孤立Al (single aluminum,Alsingle)或铝对(Alpair)含量]的影响。此外,相较于昂贵的纯乙醇,我们采用更接近实际发酵液的生物乙醇(含水的稀乙醇)为原料。通过建立“Al分布-孔结构”与丙烯选择性的构效关系,证明了Mg改性ZSM-5在生物乙醇定向转化制丙烯中的优异性能与机制。
1. 实验部分
1.1 试剂
所用试剂为TEOS(AR,国药集团化学试剂有限公司)、铝酸钠(NaAlO2,AR,上海泰坦科技有限公司)、四丙基氢氧化铵(TPAOH,40%,上海阿达玛斯试剂有限公司)、六水合硝酸镁(Mg(NO3)2·6H2O,AR,上海泰坦科技有限公司)、氢氧化钠(NaOH,AR,上海泰坦科技有限公司)、硝酸铵(NH4NO3,AR,上海科昌精细化学品有限公司)、氯化钠(NaCl,AR,国药集团化学试剂有限公司)和六水合硝酸钴(Co(NO3)2·6H2O,RG,上海阿达玛斯试剂有限公司)。
1.2 催化剂的制备
采用水热法制备Mg掺杂的ZSM-5分子筛,初始凝胶中SiO2、MgO、Al2O3、Na2O、TPAOH、H2O的物质的量之比为1.0∶0.06x∶0.06∶0.33∶0.1∶34(x表示MgO、Al2O3的初始物质的量之比,x=1、2、4)。典型的水热合成步骤:先将20.8 g TEOS和5.1 g TPAOH加入至61.2 g H2O中,于50 ℃下搅拌2 h至溶液澄清,随后升温至80 ℃继续搅拌3 h以除醇。先后加入2.6 g NaOH、0.5 g NaAlO2和不同质量的Mg(NO3)2·6H2O,在80 ℃下搅拌3 h后得到混合凝胶,将其转移至100 mL水热反应釜中,于170 ℃下静态晶化72 h。所得固体产物经冷却、洗涤、干燥后,在550 ℃空气气氛下焙烧6 h以去除模板剂,得到ZSM-5分子筛原粉。将原粉与1.0 mol·L-1的NH4NO3溶液在80 ℃下离子交换3 h(每1.0 g分子筛使用100 mL溶液),洗涤后重复离子交换3次,最后干燥、550 ℃焙烧6 h,得到氢型ZSM-5分子筛(记为HZSM-5)。将未含Mg的HZSM-5分子筛命名为HZ5,将不同Mg含量掺杂的HZSM-5分子筛命名为x-MgHZ5。
根据Dedecek等的报道[36-37],采用离子交换法可使Co2+离子与分子筛中的Alpair完全结合,进而对Alpair及Alsingle的含量及其在骨架上的分布情况进行分析。方法如下:首先将HZSM-5分子筛与1.0 mol·L-1的NaCl溶液在80 ℃水浴下离子交换8 h,交换2次,随后与0.05 mol·L-1的Co(NO3)2溶液在80 ℃水浴下离子交换8 h,交换3次,然后将样品干燥过夜后在550 ℃焙烧5 h得到Co-ZSM-5分子筛。所得的样品分别标记为HZ5-Co和x-MgHZ5-Co。
1.3 ZSM-5分子筛的表征
样品的晶相结构由荷兰PANalytical公司生产的PW3040/60X′ Pert PRO型X射线衍射仪(XRD)测定,测试条件:Cu Kα射线源(λ=0.154 06 nm),工作电压为40 kV,工作电流为40 mA,扫描角度2θ=5°~50°。相对结晶度是根据其他样品与HZ5样品在7.0°~10.0°与22.5°~25.0°范围内的峰面积之和的比值计算得到,HZ5的相对结晶度记为100%。采用德国Bruker VERTEX 70V型傅里叶变换红外光谱仪(FTIR)检测样品中化学键的振动吸收。样品中的元素含量由日本Rigaku公司的ZSX Primus Ⅲ+型X射线荧光光谱仪(XRF)测定。通过美国ThermoFisher公司的ESCALAB 250Xi型X射线光电子能谱仪(XPS)测试样品的表面元素特性。采用德国ZEISS Sigma 300型扫描电子显微镜(SEM)观察样品的晶体形貌和晶粒尺寸。采用美国Micromeritics公司的ASAP 2020 HD88型全自动物理吸附仪测试样品的N2吸附-脱附等温线,以高纯N2作为吸附介质,测试前样品在200 ℃下真空处理12 h,手动脱气8 h,在液氮下分析。
样品的酸量和酸强度通过氨气程序升温脱附(NH3-TPD)测定,测试在自制的脱附装置上进行。称取100 mg的样品,在500 ℃下用高纯N2(30 mL·min-1)吹扫60 min,降至室温,然后以5 ℃·min-1的升温速率升温至50 ℃,同时吸附NH3/N2(10%,n/n)至饱和。接着在100 ℃下进行高纯N2吹扫以除去物理吸附的NH3,然后以10 ℃·min-1的升温速率升至550 ℃并采集数据。采用德国Bruker VERTEX 70V型傅里叶变换红外光谱仪测试样品的吡啶吸附红外光谱(Py-IR)来区分并定量分析Brønsted酸(B酸)和Lewis酸(L酸)位点,测试温度分别为150、250和350 ℃。通过德国Bruker AVANCE-Ⅲ 600型核磁共振波谱仪对样品进行27Al固体核磁共振(27Al MAS NMR)表征,使用4 mm共振频率为156.4 MHz的HX双共振MAS探针,转速为15 kHz,弛豫时间为1.0 s,采集次数为3 000。采用美国安捷伦公司的Agilent 5110型电感耦合等离子体发射光谱仪(ICP-OES)对完全交换的HZ5-Co和x-MgHZ5-Co分子筛样品进行元素分析。采用美国PerkinElmer公司的Lambda 750S型紫外可见光谱仪测定样品的紫外可见漫反射光谱(UV-Vis DRS)。测试前,将HZ5-Co和x-MgHZ5-Co分子筛样品在500 ℃脱水2 h,测试波长范围为200~800 nm。采用瑞士Mettler-Toledo公司的TGA/SDTA-851型热重分析仪对失活后的分子筛催化剂进行热重-微分热重(TG-DTG)分析,空气气氛下,以10 ℃·min-1的升温速率从室温升至800 ℃。
1.4 催化性能的评价
采用常压固定床微型反应器进行HZSM-5分子筛催化剂的ETP反应性能评价。称取0.3 g粒度为40~60目的催化剂,装入内径为6 mm的不锈钢反应管中,首先在99.999%的N2气氛下以10 ℃·min-1的速率升温至500 ℃并维持1 h以除去催化剂上物理吸附的杂质。随后停止N2吹扫,用高压输液泵将乙醇-水溶液(9∶1,V/V)通入催化剂床层,并保持乙醇的质量空速(WHSV)为2.5 h-1。
气相产物通过福立GC-9790Ⅱ型气相色谱仪(配有HP-Plot-Q色谱柱和氢火焰离子检测器)进行定性和定量分析。催化剂评价指标主要包括乙醇的转化率(CEtOH,%)和产物选择性(Si,%),计算方法如下:
$ C_{\mathrm{EtOH}}=\frac{n_{\mathrm{EtOH}, \text { in }}-n_{\mathrm{EIOH}, \text { out }}}{n_{\mathrm{EIOH}, \text { in }}} \times 100 \% $ (1) $ S_i=\frac{f_i A_i}{\sum f_i A_i} \times 100 \% $ (2) 式中,nEtOH, in为进口处乙醇的物质的量(mol),nEtOH, out为出口处乙醇的物质的量(mol),Ai为产物中组分i的色谱峰面积,fi为组分i的摩尔校正因子,组分i包括C1~C5烷烃、C2~C4烯烃和C6+芳烃等所有产物。
2. 结果与讨论
2.1 分子筛的物理性质
从图 1的XRD图看出,引入不同Mg含量的HZSM-5分子筛均具有典型的MFI拓扑结构。通过定量分析7.0°~10.0°与22.5°~25.0°区域内峰强度的变化,发现随着Mg含量的增加,样品的相对结晶度(表 1)略有下降,这可能是由于Mg的离子半径(0.072 nm)大于Al的离子半径(0.054 nm),通过水热法引入杂原子Mg,使分子筛的骨架结构发生局部晶格畸变,对称性改变[35]。但这种取代仅影响少数原子排列,使结晶度有限降低,而整体骨架结构仍保持完整。
图 1
为进一步探究引入Mg对合成HZSM-5分子筛的影响,对样品进行了FTIR表征,结果如图 2所示。HZSM-5分子筛的红外特征峰位于450、540、795、1 100和1 223 cm-1,其中540 cm-1处的红外吸收峰归属于MFI型沸石特征结构中的T—O(T=Al或Si)键振动或双环振动[34]。值得注意的是,与未引入Mg的HZ5相比,含Mg样品在668 cm-1处出现新的吸收峰,该峰归属于Si—O—Mg键的伸缩振动[34]。由此可以证明,Mg物种在结晶过程中成功进入了HZSM-5分子筛骨架。
图 2
表 1中的XRF元素分析数据显示,分子筛样品均具有相似的体相硅铝比(nSi/nAl=12~14),但x-MgHZ5中的镁铝比(nMg/nAl)远小于合成凝胶中的镁铝比,这表明并不是所有的Mg都进入了分子筛晶体中,而是在合成过程和后处理过程中有部分Mg流失,这也可能是x-MgHZ5样品的相对结晶度降低的原因之一。由于XPS技术对样品表面几纳米的外层敏感,因此可以用来分析样品的表面元素特征(图 3和表 1)。结果显示,表面硅铝比(24~25)明显大于体相硅铝比,表明所有样品均呈现出ZSM-5分子筛典型的表面富硅特性。进一步对近表面元素的电子结合能进行分析,如图 3a、3b所示,随着Mg含量的提高,样品的Si2p结合能未发生位移,而Al2p结合能略向高值方向偏移,但仍保持在74~75 eV范围内,表明引入的Mg对分子筛的Al空间分布造成影响[38]。同时,如图 3c所示,随着Mg含量的增加,Mg1s的峰强度增强并向低结合能方向移动,这可能与Mg的配位结构有关。在水热法合成的x-MgHZ5分子筛中,大部分Mg以Si—O—Mg的形式存在,由于H原子的电负性大于Si原子,会导致Mg周围的电子云密度较[Mg(OH)]+增加,导致相应的结合能降低[39]。FTIR和XPS结果共同表明,通过水热法成功将Mg物种以Si—O—Mg的形式引入ZSM-5分子筛骨架,可排除以Mg2+离子形式存在的可能性。
图 3
表 1
表 1 不同HZSM-5样品的化学组成和相对结晶度Table 1. Chemical composition and relative crystallinity of various HZSM-5 samplesSample Designed Synthesized Relative crystallinity / %c nSi/nAl nMg/nAl Bulk nSi/nAla Surface nSi/nAlb nMg/nAla HZ5 15 — 12 25 — 100 1-MgHZ5 15 1 13 25 0.5 98 2-MgHZ5 15 2 14 26 1.2 95 4-MgHZ5 15 4 14 24 2.8 96 aMeasured by XRF; bCalculated by XPS; cCalculated by the peak area within XRD. 从图 4的SEM照片可看出,所有样品均表现出典型的ZSM-5晶体的板状形貌。值得注意的是,与HZ5相比,x-MgHZ5样品的粒径明显增大。这可能是合成过程中的Mg2+水解导致合成凝胶的pH降低,影响了ZSM-5的成核及晶体生长过程,从而改变了最终的晶体尺寸。同时,根据文献报道[35],Mg—O键比Si—O和Al—O键的键长更长,当有Mg物种存在时,可能引入局部晶格畸变,导致晶体尺寸增大。
图 4
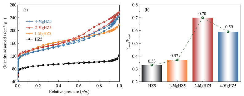
为进一步探讨Mg引入对ZSM-5分子筛织构性质的影响,对制备的样品进行了N2吸附-脱附测试,结果如图 5和表 2所示。显然,在图 5a中4个样品的等温线均在较低的相对压力(p/p0 < 0.1)下出现了陡增,这表明所有样品均具有典型分子筛的微孔结构。特别的是,2-MgHZ5和4-MgHZ5的N2吸附-脱附等温线在较高的相对压力下(0.4 < p/p0 < 0.9)表现为带有明显滞后环的Ⅳ型等温线,具有典型的介孔特征。相应地,HZ5和x-MgHZ5的比表面积和孔结构参数如表 2所示。由表可见,随着Mg引入量的提高,样品的外比表面积从HZ5的120 m2·g-1上升至136~149 m2·g-1,总孔体积从0.18 cm3·g-1增加至0.19~0.23 cm3·g-1,其中增幅主要来源于介孔孔体积的增大。因此,通过对比不同样品的介孔体积与总孔体积的比值(Vmeso/Vtotal)(图 5b),可以合理推测,x-MgHZ5中介孔的存在与引入杂原子Mg密切相关。当引入的Mg含量较高时,部分骨架Mg原子会在后续的煅烧和离子交换过程中被移除,从而形成介孔。类似的现象在其他杂原子引入分子筛的研究中也有发现:例如,Li等[40]将硼(B)杂原子引入MFI分子筛骨架后,通过后处理也观察到了介孔的存在;同样,Meng等[41]将锡(Sn)原子引入Y型沸石后,也发现了介孔的形成。
图 5
表 2
Sample Surface area / (m2·g-1) Pore volume / (cm3·g-1) Vmeso/Vtotal Totala Micropore Externalb Totalc Microporeb Mesopore HZ5 347 227 120 0.18 0.12 0.06 0.33 1-MgHZ5 344 208 136 0.19 0.12 0.07 0.37 2-MgHZ5 339 190 149 0.23 0.07 0.16 0.70 4-MgHZ5 336 193 143 0.22 0.09 0.13 0.59 aCalculated based on the multi-point Brunauer-Emmett-Teller (BET) equation; bDetermined by the t-plot method; cSingle point desorption total pore volume of pores, p/p0=0.99. 2.2 分子筛的酸性质
NH3-TPD和Py-IR是常用的表征分子筛酸性质的技术,适用于测定HZSM-5分子筛的酸强度和含量。在图 6a的NH3-TPD曲线中,峰面积的大小正比于酸量,而出峰温度的高低则反映了酸强度的强弱[42],可以看出4个样品的酸性质较为相似。从拟合NH3-TPD曲线(图 6b)可以看出,所有样品都显示出3个明显的峰,其中低温脱附峰(100~280 ℃)对应HZSM-5分子筛的弱酸位点,中高温脱附峰(280~380 ℃)对应中强酸位点,高温脱附峰(380~500 ℃)对应强酸位点[43-44]。根据拟合曲线的峰面积计算分子筛的酸量,结果列于表 3。由此可见,随着Mg含量的增加,分子筛的总酸量和强酸量略有下降,这主要是由于Mg进入骨架后,其电负性低于Al,对邻近B酸位点的强度产生了调变作用,而非简单的离子交换中和[45]。值得注意的是,Mg的引入对酸强度的改变并无一致的单调性规律,但改变了弱、中、强酸位的分布比例。这种酸分布的调变,可能是由于Mg进入骨架后,改变了AlF的局域配位环境所致[46]。
图 6
表 3
表 3 不同HZSM-5样品的NH3-TPD脱附峰温度和面积Table 3. NH3-TPD desorption peak temperatures and areas of various HZSM-5 samplesSample Weak acid site Medium acid site Strong acid site Total area / a.u. Temperature / ℃ Area / a.u. Temperature / ℃ Area / a.u. Temperature / ℃ Area / a.u. HZ5 184 142 296 31 388 56 229 1-MgHZ5 187 136 313 30 386 41 207 2-MgHZ5 176 129 293 44 384 39 212 4-MgHZ5 186 117 305 28 395 34 179 此外,在图 7的Py-IR光谱中观察到1 545 cm-1(B酸位点)和1 445 cm-1(L酸位点)处的吡啶吸收峰,位于1 490 cm-1处的吸收峰代表B酸和L酸的共同吸收[47]。值得注意的是,与HZ5相比,x-MgHZ5的L酸位对应的吡啶吸附峰位置无明显变化,表明未大量生成[Mg(OH)]+等新L酸物种[48]。对1 545和1 445 cm-1处的峰面积进行积分运算,其中150 ℃下测得的吡啶吸附数据代表总酸量,350 ℃下得到的数据代表强酸量,两者相减可得弱酸量,计算结果如表 4所示。由表 4中的数据可得,B酸、L酸的总酸量随Mg的掺杂存在部分降低,其中2-MgHZ5的B酸和L酸的总酸量与HZ5相似,这与NH3-TPD结果一致。B酸和L酸比例的升高表明酸类型分布发生了改变,这可能源于两方面:一方面,骨架Mg的引入调变并减弱了原有B酸位的强度,而并非将其移除;另一方面,Mg的引入稳定了骨架结构,可能减少了在焙烧和离子交换过程中非骨架铝(主要贡献L酸)的生成。以上两者的共同作用,导致B酸的相对比例上升[45]。同时,结合FTIR和XPS的分析可知,L酸峰位保持稳定且总的B酸与总的L酸的酸量比(RB/L)随Mg含量增加而升高,这与Mg2+会与分子筛的B酸位结合形成[Mg(OH)]+导致B酸减少、L酸增多的效应相反,进一步支持了Mg主要以骨架形式存在。
图 7
表 4
表 4 不同HZSM-5样品的B酸和L酸的酸量及RB/LTable 4. Acid amounts of B acid and L acid and RB/L of various HZSM-5 samplesSample Weak acid amount / a.u. Strong acid amount / a.u. Total acid amount / a.u. RB/L B L B L B L HZ5 1.20 1.50 0.78 1.04 1.98 2.54 0.78 1-MgHZ5 1.05 1.36 0.54 0.49 1.59 1.85 0.86 2-MgHZ5 1.17 1.52 0.67 0.53 1.84 2.05 0.90 4-MgHZ5 0.85 0.69 0.70 0.87 1.55 1.56 0.99 2.3 分子筛的Al分布状况
ZSM-5分子筛中Al分布的位置是决定其化学性质的关键,因为Al在各种催化和吸附过程中作为活性位点,包括充当质子或电子供体和形成金属-氧配合物[17]。为探究Mg掺杂对ZSM-5分子筛中Al分布的影响,采用27Al MAS NMR、ICP-OES和UV-Vis DRS分析讨论了Al在ZSM-5分子筛中的分布情况。
图 8为不同Mg含量HZSM-5分子筛的27Al MAS NMR谱图。如图 8a所示,所有样品均在化学位移(δ)为0和45~60处出现2个峰,分别对应六配位非骨架铝(AlEF)和四配位骨架铝(AlF)[49]。通过比较δ为0处的峰面积变化(表 5)可知,随着Mg含量的提高,分子筛样品的AlEF含量略有降低,推测可能是Mg以Si—O—Mg的形式进入分子筛骨架后,对AlF有稳定作用,减少了Al从骨架中脱除形成AlEF的可能。而AlEF通常与L酸位点相关,其含量下降可能使RB/L上升,这与Py-IR结果相吻合[45, 50]。此外,根据文献报道[18],27Al MAS NMR在δ为54处的峰归属于通道交叉处的AlF位点,δ为56处的峰可归属于正弦通道或直通道处的AlF位点。表 5列出了分峰拟合后的结果。由此可见,随着Mg的引入,x-MgHZ5在δ为54处的峰所占的峰面积比(29.4%~40.1%)远小于HZ5(48.6%),说明x-MgHZ5中有更多的AlF分布在直通道或正弦通道中,且随着Mg含量的增加,更多的Al分布在了直通道或正弦通道中。
图 8
表 5
Sample Peak area percentage / % R54/56a δ=0 δ=54 δ=56 HZ5 16.1 48.6 35.3 1.40 1-MgHZ5 15.9 40.1 44.0 0.91 2-MgHZ5 15.7 30.9 53.4 0.58 4-MgHZ5 12.9 29.4 57.7 0.51 aThe relative peak area ratio of Al at δ=54 to Al at δ=56. 以二价过渡金属阳离子Co2+为探针分子,通过系统的离子交换实验来探究Mg引入HZSM-5分子筛对AlF的邻近度和分布情况的影响。基于脱水后的Co2+仅通过静电作用与AlF配对,可有效排除AlEF的干扰[51],同时所有Co-ZSM-5分子筛样品均通过了电荷平衡验证,即(2cCo2+ +cNa+ )/cAl3+≈1,其中c表示对应物质在分子筛中的物质的量浓度),确保达到完全交换状态[36]。在与Co2+进行离子交换过程中,只有位于分子筛骨架上邻近的Alpair可以提供酸性位进行结合,相距较远的Al原子不能容纳脱水后的Co2+,因此被视为Alsingle。可通过式3和4计算得到Alsingle和Alpair的含量(分别为xAlsingle和 xAlpair,对应物质的量分数),其中xAltotal和xCo分别为Co-ZSM-5中的Al和Co的物质的量分数,由ICP-OES获得。由表 6可知,在未引入Mg的HZ5中,分子筛上Alsingle和Alpair的含量分别为27.6%和72.4%,随着引入Mg含量的增加,Alpair含量显著下降(62.6%~56.3%),说明分子筛骨架中AlF的邻近度受到Mg的影响显著。
$ x_{\mathrm{Al}_{\text {single }}}=x_{\mathrm{Al}_{\text {total }}}-x_{\mathrm{Al}_{\text {pair }}} $ (3) $ x_{\mathrm{Al}_{\mathrm{pair}}}=2 x_{\mathrm{Co}} $ (4) 表 6
Sample xAlpair / %a xAlsingle / %a Alpair content / % Rβ/(α+γ)b α β γ HZ5-Co 72.4 27.6 12.6 70.2 17.2 2.4 1-MgHZ5-Co 62.6 37.4 16.6 54.9 28.5 1.2 2-MgHZ5-Co 60.9 39.1 18.4 46.5 35.1 0.9 4-MgHZ5-Co 56.3 43.7 20.3 40.7 39.0 0.7 aCalculated from the ICP analysis of Co-exchanged samples using Eq.3 and 4; bThe ratio of Alpair content that can accommodate β-type to α- and γ-type Co2+ ions. 对不同Mg含量的Co-ZSM-5分子筛进行了UV-Vis DRS表征,结果如图 9所示。在13 000~24 000 cm-1的范围内可以观察到一个宽峰,这归因于Co2+离子在分子筛骨架中不同阳离子位点的d-d跃迁。为了获得这些不同阳离子位点的比例,对光谱进行分峰处理:位于15 100 cm-1左右的单峰归因于直通道中的α型阳离子位点,位于16 100、17 100、18 500和21 000 cm-1处的峰与直通道和正弦通道交叉处的β型阳离子位点有关,19 800和22 000 cm-1处的峰与正弦通道中的γ型阳离子位点有关[52]。不同类型Co2+离子的峰面积数据如表 6所示。与HZ5(70.2%)相比,x-MgHZ5位于孔道交叉处的Alpair含量(40.7%~54.9%)明显降低,而在直通道(16.6%~20.3%)和正弦通道(28.5%~39.0%)中,Alpair的含量均有所增加,这与由27Al MAS NMR得到的AlF的分布一致。
图 9
综上所述,Mg的掺杂显著改变了Al在ZSM-5分子筛中的邻近度和位置。与HZ5相比,x-MgHZ5中Alpair的含量明显较少,且随着镁硅比的提高而逐渐降低(图 10a)。同时,由于UV-Vis DRS仅能反映出Alpair的落位信息,而27Al MAS NMR可以反映所有AlF的信息,包括未被Co2+配位的Alsingle。因此,将所有样品在27Al MAS NMR中得到的R54/56与UV-Vis DRS中Rβ/(α+γ)做线性拟合,两者的关系如图 10b所示。结果显示,AlF(包括Alpair和Alsingle)在孔道交叉处的含量与Mg在分子筛中的含量具有较好的相关性,即随着Mg含量的增加而逐渐降低,这可能是由于在凝胶化和晶化过程中,由于热力学或动力学因素,Mg会优先抢占通道交叉点中的一些骨架T位点,迫使Al向直通道或正弦通道迁移。而引入Mg作为一种不相容的竞争性杂原子,会破坏原有的Alpair,促使更多的Alsingle生成。
图 10
2.4 HZSM-5分子筛的ETP催化性能
通过固定床微反应器在常压、500 ℃、WHSV为2.5 h-1的反应条件下,考察了Mg含量对HZSM-5分子筛催化剂上ETP反应的影响。实验过程中,乙醇(体积分数为90%)的转化率始终维持在100%。表 7列出了不同样品在乙醇进料40 min时C2~C4烯烃、C1~C4烷烃、C5+脂肪烃及C6+芳烃的初始选择性(质量分数)。在反应初期,分子筛的酸性对乙醇转化路径起到了决定性作用,较强的酸性位点更倾向于促进芳构化反应和氢转移反应,从而导致较多芳烃和烷烃的选择性生成[53]。4-MgHZ5因强酸量最少(根据NH3-TPD表征已知),抑制了氢转移和芳构化,表现出最高的C2~C4烯烃初始选择性和最低的初始烷烃/芳烃选择性。HZ5、1-MgHZ5和2-MgHZ5因总酸量相近且强酸比例较高,初始选择性相似,均倾向于生成C1~C4烷烃、C5+脂肪烃和C6+芳烃。
表 7
表 7 在ETP反应中不同样品的各产物初始质量选择性Table 7. Initial product selectivities of different samples in ETP reactionSample Selectivity / % Ethylene Propylene Butylene C1-C4 paraffin+C5+ aliphatic C6+ aromatic HZ5 18.0 17.1 4.0 30.2 30.7 1-MgHZ5 17.5 16.7 3.8 31.3 30.7 2-MgHZ5 18.1 16.6 3.7 32.4 29.2 4-MgHZ5 32.9 29.2 6.7 16.5 14.7 图 11为不同样品上C2~C4烯烃和C6+芳烃的选择性随着反应进行的变化情况。由图 11b可见,各催化剂催化ETP反应所得丙烯选择性均呈现先增大后逐渐减小的趋势,但是丙烯的最高选择性和催化寿命(以保持丙烯选择性不低于10%的反应时间计)各不相同。HZ5催化ETP反应经过2.3 h后达到丙烯选择性的最高值(26.8%),之后快速下降,维持丙烯选择性高于10%的时间仅为15 h。Mg引入HZSM-5分子筛使其催化ETP的丙烯最高选择性和催化寿命都有所提高,其中2-MgHZ5催化ETP反应在3.9 h后达到29.5%的最高丙烯选择性,且催化寿命显著延长(30 h)。继续提高Mg含量对4-MgHZ5的丙烯最高选择性(29.3%)影响不大,但稳定性明显下降,催化寿命下降至23.5 h。丁烯的选择性随反应时间的变化与丙烯相似(图 11c),这可能与两者生成路径的同步性有关[8]。图 11a显示所有样品的乙烯选择性随着反应进行逐渐提高,而C6+芳烃的选择性则恰好相反(图 11d),随着反应时间的延长,所有样品的C6+芳烃选择性都迅速下降。研究表明[54-55],HZSM-5催化乙醇转化初期,强酸位点主导乙醇脱水及乙烯芳构化生成芳烃(伴随积碳);反应中期积碳覆盖强酸位,中强酸位通过乙烯低聚-裂解使丙烯和丁烯的选择性升高;后期强/中强酸位失活后,弱酸位仅维持乙醇脱水,乙烯选择性持续升高。
图 11
大量研究表明,ETP的丙烯选择性和催化寿命可能与HZSM-5分子筛的酸性质、孔结构和Al分布有关[56-58]。图 12a分析了催化寿命、Vmeso/Vtotal、强酸量与总酸量的比值(ASAS/ATotal)三者之间的关系。结合表 3和图 12a分析表明,相较于其他样品,2-MgHZ5的强酸量明显下降,但保持较高的中强酸量,随着反应的进行,少量的强酸位点被积碳覆盖,较弱的中强酸环境有利于乙烯低聚-裂解生成丙烯,同时提高抗积碳能力,维持较长时间的活性。除此之外,得益于2-MgHZ5的介孔孔容和外比表面积的显著增大,丙烯等小分子产物更容易从孔道中扩散出来,降低了与强酸位点继续接触的概率,从而减少了积碳的生成。同时,介孔结构是积碳的主要沉积场所[59],通过扩大介孔体积,催化剂可提供更多的积碳存储空间,显著增强催化剂的抗积碳性能。尽管4-MgHZ5有着相似的孔结构,但其最低的酸量难以支撑乙烯的二次反应,表现出丙烯的初始选择性较高,后随着反应进行持续下降。相比之下,未引入Mg的HZ5和低含量的1-MgHZ5均具有较多的强酸位点和较少的介孔孔容,表现出较差的稳定性。
图 12
此外,27Al MAS NMR和UV-Vis DRS表征结果显示,Mg对HZSM-5分子筛的AlF分布的影响较大,即Mg的引入使AlF更倾向落位于正弦或直通道。因此,进一步对AlF分布与ETP反应的丙烯最高选择性之间的构效关系进行探究。结果如图 12b所示,相较于交叉通道的Al位点,直通道和正弦通道的Al位点因空间限制阻碍高碳烯烃环化,减少了烷烃、芳烃和积碳等副产物的生成,一定程度上提高了丙烯的选择性。值得注意的是,4-MgHZ5尽管具有最低的交叉位点AlF含量,但其最高丙烯选择性有所下降,表明空间限域效应随着酸密度降低而减弱。
催化剂经反应后颜色从白色转变为黑色,表明积碳的生成是导致催化剂失活的主要原因,因此通过TG-DTG对失活催化剂进行分析。图 13为不同样品反应后的TG-DTG曲线:在100~200 ℃范围内出现失重,这个阶段(Type Ⅰ)主要是表面吸附的低碳烯烃和水的挥发;在200~800 ℃范围内出现明显失重,这个阶段(Type Ⅱ)主要是失活分子筛上积碳物种的燃烧[60]。根据积碳燃烧阶段的质量损失计算可知,HZ5(4.96%)和2-MgHZ5(5.12%)的相对积碳量(质量分数)相近,但是联系两者不同的反应时间可知,2-MgHZ5的平均积碳速率(每小时的积碳量为0.17%)远低于HZ5(每小时的积碳量为0.33%)。这可归因于Mg引入后对催化剂孔结构和Al分布的协同优化:其一,新产生的介孔结构提高了孔道内的扩散速率,使积碳前驱体能更快地扩散离开活性位点,减少深度反应的机会;其二,Al分布优化(更多Al位点位于直通道/正弦通道)所带来的空间限制效应,本身就不利于导致积碳的高碳烯烃环化和芳构化副反应的发生。
图 13
ETP反应在HZSM-5分子筛上通过“烃池”机理和三循环机制进行,涉及烯烃循环、环戊二烯循环和芳烃循环并生成烃类产物[8]。其中,芳烃循环需要强酸位点促进烯烃环化和氢转移反应以生成芳烃(如甲苯);烯烃循环则依赖中等强度的B酸位点,催化乙烯齐聚(C2→C4+)及后续裂解反应(C4+→C3+C2);而环戊二烯循环需要适中的酸强度结合孔道限域效应,通过优化调控可有效提高丙烯选择性。需要强调的是,这3个循环并非孤立进行,而是通过共同的中间体(如乙烯、丙烯、C4+烯烃及环戊二烯类物种)紧密交织、相互转化,共同构成了一个复杂的反应网络,从而决定了最终的产物分布。因此,基于本文的研究结果,推测了HZSM-5分子筛酸性质和Al分布的协同效应对乙醇转化路径的影响(图 14)。Mg的引入使x-MgHZ5具有较少的交叉位AlF占比,同时有效削弱了强酸强度,显著抑制了芳烃循环和积碳形成。在正弦/直孔道内,Mg-Al协同效应优化了酸性质(保持弱酸和中强酸量),同步促进了烯烃-环戊二烯循环,最终获得比HZ5更高的丙烯选择性和更长的催化寿命。
图 14
3. 结论
通过水热合成法在ZSM-5分子筛中引入杂原子Mg,实现了对ZSM-5分子筛织构性质、酸性质、Al分布的调控,并探究了其对生物乙醇制丙烯(ETP)催化性能的影响。结果发现,随着引入的Mg含量提高,分子筛的介孔孔容明显变大。同时,在杂原子Mg作用下,分子筛总酸量降低,尤其是强酸量显著降低,弱酸和中强酸则略有降低,但分子筛B酸/L酸的比例(即RB/L)显著提高。同时,Mg的掺杂对分子筛的AlF分布也有显著影响,27Al MAS NMR和UV-Vis DRS表征结果均显示,随着杂原子Mg含量的提高,分子筛骨架中铝对(Alpair)的配位环境被影响,分解成更多的孤立Al(Alsingle)。此外,Mg与AlF竞争分子筛骨架通道交叉处的落位,使x-MgHZ5样品在正弦通道或直通道处的AlF含量提高。ETP评价结果显示,随着Mg含量提高,丙烯选择性和催化寿命明显增加,特别是2-MgHZ5表现出最高的丙烯选择性(29.5%)和最长的催化寿命(30 h)。同时发现,ETP反应路径受到Al分布-孔结构的协同影响,提高ZSM-5分子筛的中强酸比例和正弦通道/直通道处的AlF含量,可以有效促进ETP反应的烯烃-环戊二烯循环,从而提高丙烯的选择性。
-
-
[1]
PHUNG T K, PHAM T L M, VU K B, BUSCA G. (Bio)propylene production processes: A critical review[J]. J. Environ. Chem. Eng., 2021, 9(4): 105673 doi: 10.1016/j.jece.2021.105673
-
[2]
ACHAKULWISUT P, ERICKSON P, GUIVARCH C, SCHAEFFER R, BRUTSCHIN E, PYE S. Global fossil fuel reduction pathways under different climate mitigation strategies and ambitions[J]. Nat. Commun., 2023, 14(1): 5425 doi: 10.1038/s41467-023-41105-z
-
[3]
CHERWOO L, GUPTA I, FLORA G, VERMA R, KAPIL M, ARYA S K, RAVINDRAN B, KHOO K S, BHATIA S K, CHANG S W, NGAMCHARUSSRIVICHAI C, ASHOKKUMAR V. Biofuels an alternative to traditional fossil fuels: A comprehensive review[J]. Sustain. Energy Technol. Assess., 2023, 60: 103503
-
[4]
MORAD M H. Current status and future perspectives of efficient catalytic conversion of bioethanol to value-added chemicals and fuels[J]. Arab. J. Chem., 2024, 17(2): 105560
-
[5]
XIA W, WANG F F, MU X C, CHEN K, WANG L X. Ethanol conversion reaction over M/ZrO2 (M=Mg, Ca, Sr, and Ba) catalysts: Effect of alkaline earth metal introduction[J]. React. Kinet. Mech. Catal., 2018, 124(1): 363-374 doi: 10.1007/s11144-018-1353-9
-
[6]
VAN DER BORGHT K, BATCHU R, GALVITA V V, ALEXOPOULOS K, REYNIERS M F, THYBAUT J W, MARIN G B. Insights into the reaction mechanism of ethanol conversion into hydrocarbons on H-ZSM-5[J]. Angew. Chem. ‒Int. Edit., 2016, 55(41): 12817-12821 doi: 10.1002/anie.201607230
-
[7]
XIA W, WANG X, LI S S, JIANG Z H, CHEN K, LIU D. Multiple synergistic roles of Zr modification on ZSM-5 in performant and stable catalyst for ethanol conversion to propene[J]. Energy, 2024, 288: 129910 doi: 10.1016/j.energy.2023.129910
-
[8]
LIN Y Y, YIN H T, CHEN S, WANG J Q, LI W, GAO Y N, SHENG M Y, JIANG N Z. Research and progress in catalyst modification for ZSM-5 zeolite catalyzed ethanol-to hydrocarbon reaction[J]. J. Ind. Eng. Chem., 2025, 146: 87-108 doi: 10.1016/j.jiec.2024.11.031
-
[9]
PHUNG T K, LAGAZZO A, RIVERO CRESPO M Á, ESCRIBANO V S, BUSCA G. A study of commercial transition aluminas and of their catalytic activity in the dehydration of ethanol[J]. J. Catal., 2014, 311: 102-113 doi: 10.1016/j.jcat.2013.11.010
-
[10]
PHUNG T K, HERNÁNDEZ L P, BUSCA G. Conversion of ethanol over transition metal oxide catalysts: Effect of tungsta addition on catalytic behaviour of titania and zirconia[J]. Appl. Catal. A‒Gen., 2015, 489: 180-187 doi: 10.1016/j.apcata.2014.10.025
-
[11]
XIA W, WANG J G, WANG L X, QIAN C, MA C, HUANG Y X, FAN Y, HOU M D, CHEN K. Ethylene and propylene production from ethanol over Sr/ZSM-5 catalysts: A combined experimental and computational study[J]. Appl. Catal. B‒Environ., 2021, 294: 120242 doi: 10.1016/j.apcatb.2021.120242
-
[12]
DUAN C, ZHANG X, ZHOU R, HUA Y, ZHANG L, CHEN J. Comparative studies of ethanol to propylene over HZSM-5/SAPO-34 catalysts prepared by hydrothermal synthesis and physical mixture[J]. Fuel Process. Technol., 2013, 108: 31-40 doi: 10.1016/j.fuproc.2012.03.015
-
[13]
XUE F Q, MIAO C X, YUE Y H, HUA W M, GAO Z. Direct conversion of bio-ethanol to propylene in high yield over the composite of In2O3 and zeolite beta[J]. Green Chem., 2017, 19(23): 5582-5590 doi: 10.1039/C7GC02400B
-
[14]
XUE F Q, MIAO C X, YUE Y H, HUA W M, GAO Z. Sc2O3-promoted composite of In2O3 and Beta zeolite for direct conversion of bio-ethanol to propylene[J]. Fuel Process. Technol., 2019, 186: 110-115 doi: 10.1016/j.fuproc.2018.12.024
-
[15]
IWAMOTO M. Selective catalytic conversion of bio-ethanol to propene: A review of catalysts and reaction pathways[J]. Catal. Today, 2015, 242: 243-248 doi: 10.1016/j.cattod.2014.06.031
-
[16]
TREPS L, GOMEZ A, DE BRUIN T, CHIZALLET C. Environment, stability and acidity of external surface sites of silicalite-1 and ZSM-5 micro and nano slabs, sheets, and crystals[J]. ACS Catal., 2020, 10(5): 3297-3312 doi: 10.1021/acscatal.9b05103
-
[17]
DĚDEČEK J, TABOR E, SKLENAK S. Tuning the aluminum distribution in zeolites to increase their performance in acid-catalyzed reactions[J]. ChemSusChem, 2019, 12(3): 556-576 doi: 10.1002/cssc.201801959
-
[18]
YOKOI T, MOCHIZUKI H, NAMBA S, KONDO J N, TATSUMI T. Control of the Al distribution in the framework of ZSM-5 zeolite and its evaluation by solid-state NMR technique and catalytic properties[J]. J. Phys. Chem. C, 2015, 119(27): 15303-15315 doi: 10.1021/acs.jpcc.5b03289
-
[19]
EZENWA S, MONTALVO-CASTRO H, HOFFMAN A J, LOCHT H, ATTEBERY J, JAN D Y, SCHMITHORST M, CHMELKA B, HIBBITTS D, GOUNDER R. Synthetic placement of active sites in MFI zeolites for selective toluene methylation to para-xylene[J]. J. Am. Chem. Soc., 2024, 146(15): 10666-10678 doi: 10.1021/jacs.4c00373
-
[20]
李知行, 代卫炯, 刘相洋, 王飞, 李瑞丰. ZSM-5分子筛结构与反应性的研究进展[J]. 化工进展, 2025, 44(2): 788-808.LI Z X, DAI W J, LIU X Y, WANG F, LI R F. Insight into structure and reactivity of ZSM-5[J]. Chem. Ind. Eng. Prog., 2025, 44(2): 788-808
-
[21]
LIANG T Y, CHEN J L, QIN Z F, LI J F, WANG P F, WANG S, WANG G F, DONG M, FAN W B, WANG J G. Conversion of methanol to olefins over H-ZSM-5 zeolite: Reaction pathway is related to the framework aluminum siting[J]. ACS Catal., 2016, 6(11): 7311-7325 doi: 10.1021/acscatal.6b01771
-
[22]
TANG X M, CHEN W, DONG W J, LIU Z Q, YUAN J M, XIA H Q, YI X F, ZHENG A M. Framework aluminum distribution in ZSM-5 zeolite directed by organic structure-directing agents: A theoretical investigation[J]. Catal. Today, 2022, 405-406: 101-110 doi: 10.1016/j.cattod.2022.06.027
-
[23]
BILIGETU T, WANG Y, NISHITOBA T, OTOMO R, PARK S, MOCHIZUKI H, KONDO J N, TATSUMI T, YOKOI T. Al distribution and catalytic performance of ZSM-5 zeolites synthesized with various alcohols[J]. J. Catal., 2017, 353: 1-10
-
[24]
KIM S, PARK G, WOO M H, KWAK G, KIM S K. Control of hierarchical structure and framework-Al distribution of ZSM-5 via adjusting crystallization temperature and their effects on methanol conversion[J]. ACS Catal., 2019, 9(4): 2880-2892 doi: 10.1021/acscatal.8b04493
-
[25]
TUO J, FAN S B, YANG N W, CHENG S P, WANG D, ZHANG J L. Direct synthesis of [B, H]ZSM-5 by a solid-phase method: AlF siting and catalytic performance in the MTP reaction[J]. Catal. Sci. Technol., 2020, 10(20): 7034-7045 doi: 10.1039/D0CY01056A
-
[26]
冯锐, 胡晓燕, 闫新龙, 武建军. 硼和氟掺杂ZSM-5分子筛的制备及其甲醇制丙烯反应性能[J]. 无机化学学报, 2020, 36(9): 1791-1803. doi: 10.11862/CJIC.20240026FENG R, HU X Y, YAN X L, WU J J. Preparation of boron and fluorine doped ZSM-5 zeolites for methanol to propylene reaction[J]. Chinese J. Inorg. Chem., 2020, 36(9): 1791-1803 doi: 10.11862/CJIC.20240026
-
[27]
LI J L, GAO M K, YAN W F, YU J H. Regulation of the Si/Al ratios and Al distributions of zeolites and their impact on properties[J]. Chem. Sci., 2023, 14(8): 1935-1959 doi: 10.1039/D2SC06010H
-
[28]
XING M J, ZHANG L, CAO J, HAN Y L, WANG F, HAO K, HUANG L H, TAO Z C, WEN X D, YANG Y, LI Y W. Impact of the aluminum species state on Al pairs formation in the ZSM-5 framework[J]. Microporous Mesoporous Mater., 2022, 334: 111769 doi: 10.1016/j.micromeso.2022.111769
-
[29]
冯锐, 申家铭, 刘豹, 李天泊, 胡晓燕, 闫新龙, 张忠东. 低硅铝比ZSM-5分子筛的合成及其正庚烷裂化反应性能[J]. 无机化学学报, 2023, 39(11): 2042-2054. doi: 10.11862/CJIC.2023.183FENG R, SHEN J M, LIU B, LI T B, HU X Y, YAN X L, ZHANG Z D. Synthesis of ZSM-5 zeolites with low silica-to-alumina ratio and its performance in the cracking of n-heptane[J]. Chinese J. Inorg. Chem., 2023, 39(11): 2042-2054 doi: 10.11862/CJIC.2023.183
-
[30]
SHAMZHY M, OPANASENKO M, CONCEPCIÓN P, MARTÍNEZ A. New trends in tailoring active sites in zeolite-based catalysts[J]. Chem. Soc. Rev., 2019, 48(4): 1095-1149 doi: 10.1039/C8CS00887F
-
[31]
CUI N, GUO H L, ZHOU J, LI L H, GUO L M, HUA Z L. Regulation of framework Al distribution of high-silica hierarchically structured ZSM‑5 zeolites by boron‑modification and its effect on materials catalytic performance in methanol‑to‑propylene reaction[J]. Microporous Mesoporous Mater., 2020, 306: 110411 doi: 10.1016/j.micromeso.2020.110411
-
[32]
LIU X H, YAN C, WANG Y L, ZHANG P, YAN S Y, ZHUANG J G, ZHU X D, YANG F. Simultaneously enhanced aromatics selectivity and catalyst lifetime in methanol aromatization over [Zn, Al]-ZSM-5 via isomorphous substitution with optimized acidic properties and pore structure[J]. Fuel, 2023, 349: 128758 doi: 10.1016/j.fuel.2023.128758
-
[33]
TONG S L, SHI H B, JIANG H Y, ZHAO D M, CHEN X G, FENG X, ZHOU X, ZHAO H, YAN H, CHEN X B, LIU Y B, YANG C H. Tuning the framework Al distribution of ZSM-5 by Sn to enhance the catalytic performance in 1-hexene cracking[J]. Ind. Eng. Chem. Res., 2025, 64(6): 3204-3216 doi: 10.1021/acs.iecr.4c03883
-
[34]
CHEN X S, JIANG R L, HOU H L, ZHOU Z H, WANG X W. Facile synthesis of an Mg-incorporated ZSM-5 zeolite from dual silicon sources and its application for conversion of methanol to olefins[J]. ChemistrySelect, 2021, 6(28): 7056-7061 doi: 10.1002/slct.202100802
-
[35]
CHEN K, WU X Q, ZHAO J Y, ZHAO H J, LI A H, ZHANG Q, XIA T, LIU P, MENG B, SONG W Y, ZHU X C, LIU H H, GAO X H, XU C M, SHEN B J. Organic-free modulation of the framework Al distribution in ZSM-5 zeolite by magnesium participated synthesis and its impact on the catalytic cracking reaction of alkanes[J]. J. Catal., 2022, 413: 735-750 doi: 10.1016/j.jcat.2022.07.032
-
[36]
DĚDEČEK J, TABOR E, SKLENAK S. Tuning the aluminum distribution in zeolites to increase their performance in acid-catalyzed reactions[J]. ChemSusChem, 2018, 12(3): 556-576
-
[37]
GOŁĄBEK K, TABOR E, PASHKOVA V, DEDECEK J, TARACH K, GÓRA-MAREK K. The proximity of aluminium atoms influences the reaction pathway of ethanol transformation over zeolite ZSM-5[J]. Commun. Chem., 2020, 3(1): 25 doi: 10.1038/s42004-020-0268-3
-
[38]
BORADE R, SAYARI A, ADNOT A, KALIAGUINE S. Characterization of acidity in ZSM-5 zeolites: An X-ray photoelectron and IR spectroscopy study[J]. J. Phys. Chem., 1990, 94(15): 5989-5994 doi: 10.1021/j100378a068
-
[39]
HUANG F T, MIAO L, LI L, JIA W Z, HONG Z, ZHAO G Q, ZHU Z R. Fabrication of hierarchical ZSM-5 with tailorable AlF distribution by metal‑containing anions participating in synthesis and their impacts on the alkylation of toluene with ethanol[J]. Ind. Eng. Chem. Res., 2023, 62(29): 11367-11377 doi: 10.1021/acs.iecr.3c01073
-
[40]
LI C G, VIDAL-MOYA A, MIGUEL P J, DEDECEK J, BORONAT M, CORMA A. Selective introduction of acid sites in different confined positions in ZSM-5 and its catalytic implications[J]. ACS Catal., 2018, 8(8): 7688-7697 doi: 10.1021/acscatal.8b02112
-
[41]
MENG B, REN S Y, LIU X Y, ZHANG L, HU Q X, WANG J J, GUO Q X, SHEN B J. Synthesis of USY zeolite with a high mesoporous content by introducing Sn and enhanced catalytic performance[J]. Ind. Eng. Chem. Res., 2020, 59(13): 5712-5719 doi: 10.1021/acs.iecr.0c00051
-
[42]
FURUMOTO Y, HARADA Y, TSUNOJI N, TAKAHASHI A, FUJITANI T, IDE Y, SADAKANE M, SANO T. Effect of acidity of ZSM-5 zeolite on conversion of ethanol to propylene[J]. Appl. Catal. A‒Gen., 2011, 399(1/2): 262-267
-
[43]
GAO J, GUO J Z, LIANG D, HOU Z Y, FEI J H, ZHENG X M. Production of syngas via autothermal reforming of methane in a fluidized-bed reactor over the combined CeO2-ZrO2/SiO2 supported Ni catalysts[J]. Int. J. Hydrog. Energy, 2008, 33(20): 5493-5500 doi: 10.1016/j.ijhydene.2008.07.040
-
[44]
NIE R F, LEI H, PAN S Y, WANG L N, FEI J H, HOU Z Y. Core-shell structured CuO-ZnO@H-ZSM-5 catalysts for CO hydrogenation to dimethyl ether[J]. Fuel, 2012, 96: 419-425 doi: 10.1016/j.fuel.2011.12.048
-
[45]
SANG J C, WANG Y Q, ZHANG X, SU X M, LI Y N, WEN M H, REN G M. One-pot synthesis of Mg-incorporated ZSM-5 nanosheet via EDTA-MgNa2 as an efficient catalyst for methanol-to-propylene reaction[J]. Chem. Eng. J., 2025, 520: 165918 doi: 10.1016/j.cej.2025.165918
-
[46]
JONES A J, IGLESIA E. The strength of Brønsted acid sites in microporous aluminosilicates[J]. ACS Catal., 2015, 5(10): 5741-5755 doi: 10.1021/acscatal.5b01133
-
[47]
EMEIS C A. Determination of integrated molar extinction coefficients for infrared absorption bands of pyridine adsorbed on solid acid catalysts[J]. J. Catal., 1993, 141(2): 347-354 doi: 10.1006/jcat.1993.1145
-
[48]
MAO D S, YANG W M, XIA J C, ZHANG B, SONG Q Y, CHEN Q L. Highly effective hybrid catalyst for the direct synthesis of dimethyl ether from syngas with magnesium oxide-modified HZSM-5 as a dehydration component[J]. J. Catal., 2005, 230(1): 140-149 doi: 10.1016/j.jcat.2004.12.007
-
[49]
CHEN K Z, GAN Z H, HORSTMEIER S, WHITE J L. Distribution of aluminum species in zeolite catalysts: 27Al NMR of framework, partially-coordinated framework, and non-framework moieties[J]. J. Am. Chem. Soc., 2021, 143(17): 6669-6680 doi: 10.1021/jacs.1c02361
-
[50]
YU Z W, LI S H, WANG Q, ZHENG A M, JUN X, CHEN L, DENG F. Brønsted/Lewis acid synergy in H-ZSM-5 and H-MOR zeolites studied by 1H and 27Al DQ-MAS solid-state NMR spectroscopy[J]. J. Phys. Chem. C, 2011, 115(45): 22320-22327 doi: 10.1021/jp203923z
-
[51]
DEDECEK J, KAUCKY D, WICHTERLOVA B. Al distribution in ZSM-5 zeolites: An experimental study[J]. Chem. Commun., 2001(11): 970-971 doi: 10.1039/b009589n
-
[52]
WANG S, WANG P F, QIN Z F, CHEN Y Y, DONG M, LI J F, ZHANG K, LIU P, WANG J G, FAN W B. Relation of catalytic performance to the aluminum siting of acidic zeolites in the conversion of methanol to olefins, viewed via a comparison between ZSM-5 and ZSM-11[J]. ACS Catal., 2018, 8(6): 5485-5505 doi: 10.1021/acscatal.8b01054
-
[53]
TAKAHASHI A, XIA W, WU Q, FURUKAWA T, NAKAMURA I, SHIMADA H, FUJITANI T. Difference between the mechanisms of propylene production from methanol and ethanol over ZSM-5 catalysts[J]. Appl. Catal. A‒Gen., 2013, 467: 380-385 doi: 10.1016/j.apcata.2013.07.064
-
[54]
MENG T, MAO D S, GUO Q S, MA Z. Effect of the Si/Al ratios of nanocrystalline HZSM-5 zeolite on the performance in catalytic conversion of ethanol to propylene[J]. J. Nanosci. Nanotechnol., 2017, 17(6): 3779-3785 doi: 10.1166/jnn.2017.13992
-
[55]
ZHOU J, ZHANG N, MENG T, GUO Q S, XUE Z T, MAO D S. Fluoride-treated nano-HZSM-5 zeolite as a highly stable catalyst for the conversion of bioethanol to propylene[J]. Nanomaterials, 2024, 14(19): 1558 doi: 10.3390/nano14191558
-
[56]
SOUSA Z S B, VELOSO C O, HENRIQUES C A, TEIXEIRA DA SILVA V T. Ethanol conversion into olefins and aromatics over HZSM-5 zeolite: Influence of reaction conditions and surface reaction studies[J]. J. Mol. Catal. A‒Chem., 2016, 422: 266-274 doi: 10.1016/j.molcata.2016.03.005
-
[57]
HUANGFU J J, MAO D S, ZHAI X L, GUO Q S. Remarkably enhanced stability of HZSM-5 zeolite co-modified with alkaline and phosphorous for the selective conversion of bio-ethanol to propylene[J]. Appl. Catal. A‒Gen., 2016, 520: 99-104 doi: 10.1016/j.apcata.2016.04.016
-
[58]
HUANG H B, FANG T, LIU H, ZHOU H, CHEN D F, JIA W Z, LIU M, LI J H, ZHU Z R. Ethanol-to-hydrocarbons reaction over HZSM-5: Enhanced ethanol/ethylene into C3+ hydrocarbons conversion by pristine external Brönsted acid sites[J]. Microporous Mesoporous Mater., 2022, 335: 111824 doi: 10.1016/j.micromeso.2022.111824
-
[59]
ZHANG N, MAO D S, ZHAI X L. Selective conversion of bio-ethanol to propene over nano-HZSM-5 zeolite: Remarkably enhanced catalytic performance by fluorine modification[J]. Fuel Process. Technol., 2017, 167: 50-60 doi: 10.1016/j.fuproc.2017.06.028
-
[60]
SADEGHPOUR P, HAGHIGHI M, KHALEDI K. High-temperature efficient isomorphous substitution of boron into ZSM-5 nanostructure for selective and stable production of ethylene and propylene from methanol[J]. Mater. Chem. Phys., 2018, 217: 133-150 doi: 10.1016/j.matchemphys.2018.06.048
-
[1]
-
表 1 不同HZSM-5样品的化学组成和相对结晶度
Table 1. Chemical composition and relative crystallinity of various HZSM-5 samples
Sample Designed Synthesized Relative crystallinity / %c nSi/nAl nMg/nAl Bulk nSi/nAla Surface nSi/nAlb nMg/nAla HZ5 15 — 12 25 — 100 1-MgHZ5 15 1 13 25 0.5 98 2-MgHZ5 15 2 14 26 1.2 95 4-MgHZ5 15 4 14 24 2.8 96 aMeasured by XRF; bCalculated by XPS; cCalculated by the peak area within XRD. 表 2 不同HZSM-5样品的织构性质
Table 2. Textural properties of various HZSM-5 samples
Sample Surface area / (m2·g-1) Pore volume / (cm3·g-1) Vmeso/Vtotal Totala Micropore Externalb Totalc Microporeb Mesopore HZ5 347 227 120 0.18 0.12 0.06 0.33 1-MgHZ5 344 208 136 0.19 0.12 0.07 0.37 2-MgHZ5 339 190 149 0.23 0.07 0.16 0.70 4-MgHZ5 336 193 143 0.22 0.09 0.13 0.59 aCalculated based on the multi-point Brunauer-Emmett-Teller (BET) equation; bDetermined by the t-plot method; cSingle point desorption total pore volume of pores, p/p0=0.99. 表 3 不同HZSM-5样品的NH3-TPD脱附峰温度和面积
Table 3. NH3-TPD desorption peak temperatures and areas of various HZSM-5 samples
Sample Weak acid site Medium acid site Strong acid site Total area / a.u. Temperature / ℃ Area / a.u. Temperature / ℃ Area / a.u. Temperature / ℃ Area / a.u. HZ5 184 142 296 31 388 56 229 1-MgHZ5 187 136 313 30 386 41 207 2-MgHZ5 176 129 293 44 384 39 212 4-MgHZ5 186 117 305 28 395 34 179 表 4 不同HZSM-5样品的B酸和L酸的酸量及RB/L
Table 4. Acid amounts of B acid and L acid and RB/L of various HZSM-5 samples
Sample Weak acid amount / a.u. Strong acid amount / a.u. Total acid amount / a.u. RB/L B L B L B L HZ5 1.20 1.50 0.78 1.04 1.98 2.54 0.78 1-MgHZ5 1.05 1.36 0.54 0.49 1.59 1.85 0.86 2-MgHZ5 1.17 1.52 0.67 0.53 1.84 2.05 0.90 4-MgHZ5 0.85 0.69 0.70 0.87 1.55 1.56 0.99 表 5 不同HZSM-5样品的Al物种分布情况
Table 5. Distribution of Al species in various HZSM-5 samples
Sample Peak area percentage / % R54/56a δ=0 δ=54 δ=56 HZ5 16.1 48.6 35.3 1.40 1-MgHZ5 15.9 40.1 44.0 0.91 2-MgHZ5 15.7 30.9 53.4 0.58 4-MgHZ5 12.9 29.4 57.7 0.51 aThe relative peak area ratio of Al at δ=54 to Al at δ=56. 表 6 不同Co2+交换HZSM-5样品的Al物种分布
Table 6. Al species distribution in various Co-exchanged HZSM-5 samples
Sample xAlpair / %a xAlsingle / %a Alpair content / % Rβ/(α+γ)b α β γ HZ5-Co 72.4 27.6 12.6 70.2 17.2 2.4 1-MgHZ5-Co 62.6 37.4 16.6 54.9 28.5 1.2 2-MgHZ5-Co 60.9 39.1 18.4 46.5 35.1 0.9 4-MgHZ5-Co 56.3 43.7 20.3 40.7 39.0 0.7 aCalculated from the ICP analysis of Co-exchanged samples using Eq.3 and 4; bThe ratio of Alpair content that can accommodate β-type to α- and γ-type Co2+ ions. 表 7 在ETP反应中不同样品的各产物初始质量选择性
Table 7. Initial product selectivities of different samples in ETP reaction
Sample Selectivity / % Ethylene Propylene Butylene C1-C4 paraffin+C5+ aliphatic C6+ aromatic HZ5 18.0 17.1 4.0 30.2 30.7 1-MgHZ5 17.5 16.7 3.8 31.3 30.7 2-MgHZ5 18.1 16.6 3.7 32.4 29.2 4-MgHZ5 32.9 29.2 6.7 16.5 14.7 -
扫一扫看文章
计量
- PDF下载量: 2
- 文章访问数: 1044
- HTML全文浏览量: 121

下载:
下载: