Citation: Xiaokang JIANG, Junliang MA, Yan ZHAO, Feng GAO, Changli LIU, Xingshen ZHAO, Hengwei ZHOU. Preparation and luminescent properties of Sm3+-doped La2MgZrO6 phosphors[J]. Chinese Journal of Inorganic Chemistry, ;2026, 42(2): 263-270. doi: 10.11862/CJIC.20250236 shu

Preparation and luminescent properties of Sm3+-doped La2MgZrO6 phosphors

  • Corresponding author: Hengwei ZHOU, zhw33221@163.com
  • Received Date: 17 July 2025
    Revised Date: 4 January 2026

Figures(9)

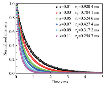
  • A series of orange-red phosphors based on La2(1-x)MgZrO6:2xSm3+ double perovskite (x=0.01-0.11) were successfully synthesized via the sol-gel method. X-ray diffraction (XRD) and scanning electron microscopy (SEM) characterizations confirmed that the as-prepared samples crystallize in a pure double perovskite structure, with Sm3+ ions homogeneously dispersed within the La2MgZrO6 host lattice without detectable impurity phases. Under 405 nm near-ultraviolet excitation, the phosphors exhibited characteristic emission spectra of Sm3+ ions. The optimum photoluminescence intensity was achieved at a Sm3+ doping concentration of 0.03, beyond which significant concentration quenching occurred. The CIE chromaticity coordinates and correlated color temperature for the optimal phosphor were determined to be (0.536 1, 0.452 6) and 2 177 K, respectively. Furthermore, the phosphor demonstrated excellent thermal stability: its emission intensity at 473 K retained 81% of the initial value measured at room temperature. The activation energy for thermal quenching, calculated to be 0.156 5 eV, further corroborated its superior thermal stability.
  • 加载中
    1. [1]

      HUANG X J, ZHANG G H, DENG C Y, ZHANG M. Synthesis and photoluminescence characterization of Sm3+/Eu3+ single‑doped Gd2MgTiO6 phosphor for LEDs[J]. J. Mol. Struct., 2025, 1339: 142407

    2. [2]

      ZHAO H W, LU G J, YU M X, CHEN X T, YAO W, CAO C Y, XIE A. Exploring thermal enhancing of luminescence in Y2(WO4)3·3H2O:xmol%Eu3+ phosphors[J]. J. Solid State Chem., 2025, 348: 125377  doi: 10.1016/j.jssc.2025.125377

    3. [3]

      KEMPAIAH A, SHIVALINGASWAMY T, PRATIBHA S, MANJUNATHA C R. Facile fabrication and characterization of Sm3+ doped LaAlO3 nanophosphors for enhanced luminescence and photocatalytic dye degradation[J]. Solid State Commun., 2025, 402: 115960  doi: 10.1016/j.ssc.2025.115960

    4. [4]

      RAFIQ H, FAROOQ M, RASOOL M H, WANI A B, HAMEED Y. Deep dive into structural and optical study of stuffed-tridymite rare earth (Sm3+, Eu3+) doped CsZnPO4[J]. Opti. Mater. 2025, 163: 116963  doi: 10.1016/j.optmat.2025.116963

    5. [5]

      WANG R, XIE J T, HAIDER A A, ZHANG H Z, LI Y T, LI Z Y, XU Y J, JIANG M C, ZHANG J, QIAN W, ZHU J. Remarkable role of lanthanide substitution on luminescence chromaticity and thermostability of Sm3+-activated tellurate phosphors synthesized via microwave- assisted method[J]. J. Alloy. Compd., 2025, 1026: 180511

    6. [6]

      MHASHAKHETRI S T, YERPUDE A N, NANDANWAR C M, NANDE A V, DHOBLE S J. Investigation of structural, microstructural and optical properties of Ca3B2O6:Sm3+ downshifting phosphor[J]. Opti. Mater., 2025, 165: 117121  doi: 10.1016/j.optmat.2025.117121

    7. [7]

      YE H C, ZHANG W, CHENG X X, PAN C H, LI Y N, FENG Z Y, KONG H P, HU Z F. Novel red-light-excitable Sm3+-doped Gd2MgTiO6 phosphor for plant growth lighting[J]. Solid State Sciences, 2025, 165: 107957  doi: 10.1016/j.solidstatesciences.2025.107957

    8. [8]

      GUPTA I, KUMAR P, SINGH S, BHAGWAN S, KUMAR V, SINGH D. Phase recognition, structural measurements and photoluminescence studies of reddish-orange-emissive YAlO3:Sm3+ perovskite nanophosphors for NUV energized WLEDs[J]. J. Mol. Struct., 2022, 1267: 133567

    9. [9]

      YU Y, LI K J, DAI M M, XU H Y, WEI Y L, WANG R, FU Z L. Toward ultra-high sensitivity optical thermometers and bright yellow LEDs based on phonon-assisted energy transfer in rare earth-doped La2ZnTiO6 double perovskite[J]. Inorg. Chem., 2024, 63(30): 14142-14151  doi: 10.1021/acs.inorgchem.4c01929

    10. [10]

      ZHANG W K, DENG C Y, ZHANG M. Synthesis, structural and optical properties of a novel double perovskite Gd2MgTiO6:Dy3+ phosphors for LED applications[J]. Mater. Res. Bull., 2024, 179: 112982  doi: 10.1016/j.materresbull.2024.112982

    11. [11]

      YANG C, FAN C L, HUSSAIN F, SHENG W Q, SONG K X, WU J, HUANG Q M, SU W T, XU J M, SUN S K, WANG D W. Luminescent ionic lattice occupation and wide tunable emission spectra of La2MgZrO6:Bi3+, Eu3+ double perovskite phosphors for white light LED[J]. J. Rare Earths, 2023, 41(4): 489-497  doi: 10.1016/j.jre.2022.04.008

    12. [12]

      WEI X B, HUANG S, XU Z, WANG Y N, XING X L, SHANG M M. Photoluminescence properties of Ni2+-doped double perovskite A2MgTiO6 (A=La/Lu) phosphor with NIR-Ⅱ emission for spectral analysis application[J]. Opti. Mater., 2025, 160: 116792  doi: 10.1016/j.optmat.2025.116792

    13. [13]

      ZHAO S Q, CHEN Y J, GE Y M, ZHANG H B, YANG K, XU S Q, YANG X L, BAI G X. Multicolored luminescence in double perovskite Gd2ZnTiO6 phosphors with Tb3+/Eu3+ codoping and energy transfer[J]. J. Solid State Chem., 2025, 344: 125178  doi: 10.1016/j.jssc.2025.125178

    14. [14]

      LI H, NIU Y F, HAIDER A A, LIU C L, YOU C Y, ZHANG H Z, JIANG H M, LI J P, HUANG Y T, WANG S B, GAO D D, HUANG S P, ZHU J. Remarkable role of B site regulation on a highly heat- resistant double-perovskite phosphor with versatile NIR utilizations[J]. Chem. Eng. J., 2025, 510: 161635  doi: 10.1016/j.cej.2025.161635

    15. [15]

      ZENG H, ZHOU T, WANG L, XIE R J. Two-site occupation for exploring ultra-broadband near-infrared phosphor double-perovskite La2MgZrO6:Cr3+[J]. Chem. Mater., 2019, 31(14): 5245-5253  doi: 10.1021/acs.chemmater.9b01587

    16. [16]

      YANG C, FAN C L, HUSSAIN F, YE Z J, SHENG W Q, SONG K X, MUHAMMAD R, WU J, HUANG Q M, WANG H P, SU W T, XU J M, SUN S K, WANG D W. Sn4+ induced Bi3+ multi-lattice selective occupation and its color-tunable emission of La2MgZrO6:Bi3+, Sn4+ double perovskite phosphors[J]. J. Alloy. Compd., 2022, 902: 163724  doi: 10.1016/j.jallcom.2022.163724

    17. [17]

      CHEN Z H, TANG Q, ZENG J A, XIE H J, ZOU R, WANG J, LIU B M. Radiochromic perovskite La2MgZrO6:Pr for X-ray imaging and ionizing radiation detection[J]. Chem. Eng. J., 2025, 512: 162512  doi: 10.1016/j.cej.2025.162512

    18. [18]

      LEI Y Q, ZHANG M X, ZHANG M K, YU H X, TAN W H, MU Z L, WANG C Y, SHENG K, XIE M B, YU R J. The application of w-LEDs and latent fingerprint visualization with a newly developed reddish-orange YNb2VO9:Eu3+ phosphor[J]. J. Lumin., 2025, 283: 121274  doi: 10.1016/j.jlumin.2025.121274

    19. [19]

      JIANG Z L, HU T, MEN F, YANG H, LV W, WEN D W, ZENG Q G, GAO Y. An efficient and thermally stable red emitting Eu2+ doped oxide for rechargeable portable flashlight[J]. Chem. Eng. J., 2024, 482: 149086  doi: 10.1016/j.cej.2024.149086

    20. [20]

      CHEN Y L, WU H Y, LI Y M, LIU Z P, WAN J Y, HU Y H. Synthesis of Sr2Ta2O7:Eu3+ red phosphor and its luminescence characteristics[J]. J. Mater. Sci. ‒Mater. Electron., 2023, 34(24): 1740-1751  doi: 10.1007/s10854-023-11187-y

    21. [21]

      LI L H, SUN H P, ZHANG A L, ZHONG M, DENG B. Synthesis and optical characterization of novel orange-red emitting La3Ga5SnO14:Sm3+ phosphors with abnormal thermal quenching and application to w-LEDs[J]. J. Fluoresc., 2025, 35: 10431-10444  doi: 10.1007/s10895-025-04311-0

    22. [22]

      KONG X M, AI Y P, WEI M P, REN S T, WANG Z Y. A Ce3+-activated germanate blue phosphor for indoor plant lighting and temperature sensing[J]. J. Alloy. Compd., 2025, 1026: 180523

    23. [23]

      LIEN N T Q, VI N H, DAT T N, TRAC N N, TUYEN H V. Effect of Bi3+ on crystal structure and optical properties of Gd3PO7: Eu3+ phosphors[J]. Ceram. Int., 2023, 51(12): 16577-16583

    24. [24]

      DENG W J, HUANG D C, HE P H, YANG F L, PENG J Q, YOU W X, YE X Y. An efficient violet-excited and cyan-green/near-infrared dual emitting phosphor for full-spectrum lighting[J]. Ceram. Int., 2025, 51(12): 16710-16718  doi: 10.1016/j.ceramint.2024.08.395

    25. [25]

      NI J W, CHEN X, XIAO W Q, SONG X Y. A novel mixed metal orthoborate Ba2ZnTb2(BO3)4: Crystal structure and multicolor emitting properties introduced by Eu3+ doping[J]. Ceram. Int., 2025, 51(12): 16736-16748  doi: 10.1016/j.ceramint.2024.08.150

    26. [26]

      ZHAO Y, JIANG X K, LI Z H, WANG J X, ZHOU H W, GUO H. Preparation and fluorescence properties of Eu3+-doped CaLaGaO4 red phosphors[J]. Chinese J. Inorg. Chem., 2024, 40(10): 1861-1868  doi: 10.11862/CJIC.20240242

  • 加载中
    1. [1]

      Yan ZHAOJiaxu WANGZhonghu LIChangli LIUXingsheng ZHAOHengwei ZHOUXiaokang JIANG . Gd3+-doped Sc2W3O12: Eu3+ red phosphor: Preparation and luminescence performance. Chinese Journal of Inorganic Chemistry, 2025, 41(3): 461-468. doi: 10.11862/CJIC.20240316

    2. [2]

      Yan ZHAOXiaokang JIANGZhonghui LIJiaxu WANGHengwei ZHOUHai GUO . Preparation and fluorescence properties of Eu3+-doped CaLaGaO4 red-emitting phosphors. Chinese Journal of Inorganic Chemistry, 2024, 40(10): 1861-1868. doi: 10.11862/CJIC.20240242

    3. [3]

      Shuhao FENGFeibing XIONGYaqing LINHan SUXu HAN . Preparation and luminescent properties of alkaline metal doped Cd3Al2Ge3O12: Pr3+ orange phosphors. Chinese Journal of Inorganic Chemistry, 2026, 42(2): 284-296. doi: 10.11862/CJIC.20250171

    4. [4]

      Cuiping HEZhuxuan LIYuqing SUNJie LIUShicheng XUZhanchao WU . Ca2+ doping induced crystal phase transition and spectral regulation of Ba3P4O13: Eu2+ phosphor. Chinese Journal of Inorganic Chemistry, 2025, 41(11): 2299-2306. doi: 10.11862/CJIC.20250074

    5. [5]

      Han ZHANGJianfeng SUNJinsheng LIANG . Hydrothermal synthesis and luminescent properties of broadband near-infrared Na3CrF6 phosphor. Chinese Journal of Inorganic Chemistry, 2025, 41(2): 349-356. doi: 10.11862/CJIC.20240098

    6. [6]

      Xuewei BACheng CHENGHuaikang ZHANGDeqing ZHANGShuhua LI . Preparation and luminescent performance of Sr1-xZrSi2O7xDy3+ phosphor with high thermal stability. Chinese Journal of Inorganic Chemistry, 2025, 41(2): 357-364. doi: 10.11862/CJIC.20240096

    7. [7]

      Nian LIUBiao ZHENGKun WANGChunbao ZHENGQingyan HANEnjie HESaidong XUE . Synthesis and spectroscopic performance of double perovskite Li0.5La0.5MgSrWO6∶Mn4+ phosphors for plant growth lighting. Chinese Journal of Inorganic Chemistry, 2026, 42(1): 129-140. doi: 10.11862/CJIC.20250069

    8. [8]

      Ming ZHENGYixiao ZHANGJian YANGPengfei GUANXiudong LI . Energy storage and photoluminescence properties of Sm3+-doped Ba0.85Ca0.15Ti0.90Zr0.10O3 lead-free multifunctional ferroelectric ceramics. Chinese Journal of Inorganic Chemistry, 2024, 40(4): 686-692. doi: 10.11862/CJIC.20230388

    9. [9]

      Hui PengXiao WangWeiguo HuangShuiyue YuLinghang KongQilin WeiJialong ZhaoBingsuo Zou . Efficient tunable visible and near-infrared emission in Sb3+/Sm3+-codoped Cs2NaLuCl6 for near-infrared light-emitting diode, triple-mode fluorescence anti-counterfeiting and information encryption. Chinese Chemical Letters, 2024, 35(11): 109462-. doi: 10.1016/j.cclet.2023.109462

    10. [10]

      Lin Song Dourong Wang Biao Zhang . Innovative Experimental Design and Research on Preparing Flexible Perovskite Fluorescent Gels Using 3D Printing. University Chemistry, 2024, 39(7): 337-344. doi: 10.3866/PKU.DXHX202310107

    11. [11]

      Mi Wen Baoshuo Jia Yongqi Chai Tong Wang Jianbo Liu Hailong Wu . Improvement of Fluorescence Quantitative Analysis Experiment: Simultaneous Determination of Rhodamine 6G and Rhodamine 123 in Food Using Chemometrics-Assisted Three-Dimensional Fluorescence Method. University Chemistry, 2025, 40(4): 390-398. doi: 10.12461/PKU.DXHX202405147

    12. [12]

      Wenlong LIXinyu JIAJie LINGMengdan MAAnning ZHOU . Photothermal catalytic CO2 hydrogenation over a Mg-doped In2O3-x catalyst. Chinese Journal of Inorganic Chemistry, 2024, 40(5): 919-929. doi: 10.11862/CJIC.20230421

    13. [13]

      Tong WANGXuefang ZHUQi GAOHongbo ZHANGChao RENLixia GE . Luminescence and thermal stability of Tb3+-Eu3+ doped glass-ceramics containing Na8.12Y1.293Si6O18 crystal phase. Chinese Journal of Inorganic Chemistry, 2025, 41(11): 2237-2250. doi: 10.11862/CJIC.20250137

    14. [14]

      Liuyun ChenWenju WangTairong LuXuan LuoXinling XieKelin HuangShanli QinTongming SuZuzeng QinHongbing Ji . Soft template-induced deep pore structure of Cu/Al2O3 for promoting plasma-catalyzed CO2 hydrogenation to DME. Acta Physico-Chimica Sinica, 2025, 41(6): 100054-0. doi: 10.1016/j.actphy.2025.100054

    15. [15]

      Hailang JIAYujie LUPengcheng JI . Preparation and properties of nitrogen and phosphorus co-doped graphene carbon aerogel supported ruthenium electrocatalyst for hydrogen evolution reaction. Chinese Journal of Inorganic Chemistry, 2025, 41(11): 2327-2336. doi: 10.11862/CJIC.20250021

    16. [16]

      Qiang Zhou Pingping Zhu Wei Shao Wanqun Hu Xuan Lei Haiyang Yang . Innovative Experimental Teaching Design for 3D Printing High-Strength Hydrogel Experiments. University Chemistry, 2024, 39(6): 264-270. doi: 10.3866/PKU.DXHX202310064

    17. [17]

      Wei ZhongDan ZhengYuanxin OuAiyun MengYaorong Su . Simultaneously Improving Inter-Plane Crystallization and Incorporating K Atoms in g-C3N4 Photocatalyst for Highly-Efficient H2O2 Photosynthesis. Acta Physico-Chimica Sinica, 2024, 40(11): 2406005-0. doi: 10.3866/PKU.WHXB202406005

    18. [18]

      Xiaorui ChenXuan LuoTongming SuXinling XieLiuyun ChenYuejing BinZuzeng QinHongbing Ji . Ga-doped Cu/γ-Al2O3 bifunctional interface sites promote the direct hydrogenation of CO2 to DME. Acta Physico-Chimica Sinica, 2025, 41(10): 100126-0. doi: 10.1016/j.actphy.2025.100126

    19. [19]

      Zhuo WangXue BaiKexin ZhangHongzhi WangJiabao DongYuan GaoBin Zhao . MOF-Templated Synthesis of Nitrogen-Doped Carbon for Enhanced Electrochemical Sodium Ion Storage and Removal. Acta Physico-Chimica Sinica, 2025, 41(3): 100026-0. doi: 10.3866/PKU.WHXB202405002

    20. [20]

      Tengyue ZHANGJingjing FENGZili LIANGJia′nan DAIJing MA . Optimization of C-doped BiVO4 performance for tetracycline degradation using response surface methodology-assisted orthogonal experiments. Chinese Journal of Inorganic Chemistry, 2025, 41(12): 2561-2574. doi: 10.11862/CJIC.20250104

Metrics
  • PDF Downloads(2)
  • Abstract views(764)
  • HTML views(62)

通讯作者: 陈斌, bchen63@163.com
  • 1. 

    沈阳化工大学材料科学与工程学院 沈阳 110142

  1. 本站搜索
  2. 百度学术搜索
  3. 万方数据库搜索
  4. CNKI搜索
Address:Zhongguancun North First Street 2,100190 Beijing, PR China Tel: +86-010-82449177-888
Powered By info@rhhz.net

/

DownLoad:  Full-Size Img  PowerPoint
Return