Citation: Zhengqi SHEN, Hanxue LIU, Lin HOU, Meng REN, Xiangyu DAI, Yating ZHANG, Zhi SU, Chao GE, Xuling XUE, Hongke LIU. A dual-pathway synergistic inhibition strategy based on ruthenium/iridium metal complexes targeting GPX4 and DHODH: Mechanism of directly activating ferroptosis in leukemia cells[J]. Chinese Journal of Inorganic Chemistry, ;2026, 42(2): 271-283. doi: 10.11862/CJIC.20250230 shu

A dual-pathway synergistic inhibition strategy based on ruthenium/iridium metal complexes targeting GPX4 and DHODH: Mechanism of directly activating ferroptosis in leukemia cells

Figures(7)

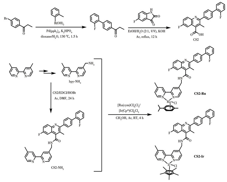
  • Developing metal-based drugs that exhibit tumor selectivity, exert anti-proliferative effects, and minimize physiological toxicity remains a major challenge in leukemia therapy. In this study, two novel ruthenium- and iridium-based complexes (CS2-Ru and CS2-Ir) were synthesized by conjugating ruthenium/iridium metal precursors with the DHODH (dihydroorotate dehydrogenase) inhibitor CS2. CS2-Ru and CS2-Ir disrupt the intracellular redox balance in human acute promyelocytic leukemia cells (NB-4 cells) by elevating the levels of reactive oxygen species (ROS) and inducing mitochondrial membrane depolarization. In addition to these effects, the complexes also exert a dual-pathway inhibition (GPX4/DHODH) (GPX4=glutathione peroxidase 4), which leads to the abnormal accumulation of lipid peroxides to a lethal threshold and increases the sensitivity of NB-4 cells to ferroptosis.
  • 加载中
    1. [1]

      YU J F, JIANG P Y Z, SUN H, ZHANG X, JIANG Z X, LI Y M, SONG Y P. Advances in targeted therapy for acute myeloid leukemia[J]. Biomark. Res., 2020, 8(1): 17  doi: 10.1186/s40364-020-00196-2

    2. [2]

      LO-COCO F, DONATO L D, SCHLENK R F. Targeted therapy alone for acute promyelocytic leukemia[J]. N. Engl. J. Med., 2016, 374(12): 1197-1198  doi: 10.1056/NEJMc1513710

    3. [3]

      LI K, WANG F, CAO W B, LV X X, HUA F, CUI B, YU J J, ZHANG X W, SHANG S, LIU S S, YU J M, HAN M Z, HUANG B, ZHANG T T, LI X, JIANG J D, HU Z W. TRIB3 promotes APL progression through stabilization of the oncoprotein PML-RARα and inhibition of p53-mediated senescence[J]. Cancer Cell, 2017, 31(5): 697-710  doi: 10.1016/j.ccell.2017.04.006

    4. [4]

      LIN J, ZHANG W, NIU L T, ZHU Y M, WENG X Q, SHENG Y, ZHU J, XU J. TRIB3 stabilizes high TWIST1 expression to promote rapid APL progression and ATRA resistance[J]. Clin. Cancer Res., 2019, 25(20): 6228-6242  doi: 10.1158/1078-0432.CCR-19-0510

    5. [5]

      MANI R, GOSWAMI S, GOPALAKRISHNAN B, RAMASWAMY R, WASMUTH R, TRAN M, MO X, GORDON A, BUCCI D, LUCAS D, BROOKS C, WALKER A R, BLUM W, BYRD JC, LOZANSKI G, VASU S, MUTHUSAMY N. SL-401 mediates potent cytotoxicity against CD123+ AML and MDS with excess blasts and demonstrates therapeutic benefit in PDX model[J]. Blood, 2016, 128(22): 580  doi: 10.1182/blood.V128.22.580.580

    6. [6]

      CARMODY R, KEESHAN K. The tribble with APL: A new road to therapy[J]. Cancer Cell, 2017, 31(5): 612-613  doi: 10.1016/j.ccell.2017.04.011

    7. [7]

      WANG X H, WANG X Y, JIN S X, MUHAMMAD N, GUO Z J. Stimuli-responsive therapeutic metallodrugs[J]. Chem. Rev., 2019, 119(2): 1138-1192  doi: 10.1021/acs.chemrev.8b00209

    8. [8]

      PENG K, ZHENG Y, XIA W, MAO Z W. Organometallic anti-tumor agents: Targeting from biomolecules to dynamic bioprocesses[J]. Chem. Soc. Rev., 2023, 52(8): 2790-2832  doi: 10.1039/D2CS00757F

    9. [9]

      LIU Z, SADLER P J. Organoiridium complexes: Anticancer agents and catalysts[J]. Accounts Chem. Res., 2014, 47(4): 1174-1185  doi: 10.1021/ar400266c

    10. [10]

      LIU H K, SADLER P J. Metal complexes as DNA intercalators[J]. Accounts Chem. Res., 2011, 44(5): 349-359  doi: 10.1021/ar100140e

    11. [11]

      LIU H K, BERNERS P S J, WANG F Y, PARKINSON J A, XU J J, BELLA J, SADLER P J. Diversity in guanine-selective DNA binding modes for an organometallic ruthenium arene complex[J]. Angew. Chem. ‒Int. Edit., 2006, 45(48): 8153-8156  doi: 10.1002/anie.200602873

    12. [12]

      SHEN J, REES T W, JI L, CHAO H. Recent advances in ruthenium(Ⅱ) and iridium(Ⅲ) complexes containing nanosystems for cancer treatment and bioimaging[J]. Coord. Chem. Rev., 2021, 443: 214016  doi: 10.1016/j.ccr.2021.214016

    13. [13]

      BARRY N P E, SADLER P J. Dicarba-closo-dodecarborane-containing half-sandwich complexes of ruthenium, osmium, rhodium and iridium: Biological relevance and synthetic strategies[J]. Chem. Soc. Rev., 2012, 41(8): 3264-3279  doi: 10.1039/c2cs15300a

    14. [14]

      FU Q F, ZHANG S R, SHEN S Y, GU Z, CHEN J Y, SONG D F, SUN P W, WANG C H, GUO Z B, XIAO Y L, GAO Y Q, GUO Z J, LIU Z B. Radiotherapy-triggered reduction of platinum-based chemotherapeutic prodrugs in tumours[J]. Nat. Biomed. Eng., 2024, 8(11): 1425-1435  doi: 10.1038/s41551-024-01239-x

    15. [15]

      PENG K, LIANG B B, LIU W, MAO Z W. What blocks more anticancer platinum complexes from experiment to clinic: Major problems and potential strategies from drug design perspectives[J]. Coord. Chem. Rev., 2021, 449: 214210  doi: 10.1016/j.ccr.2021.214210

    16. [16]

      HUANG H, CAO K M, KONG Y Q, YUAN S M, LIU H K, WANG Y C, LIU Y Z. A dual functional ruthenium arene complex induces differentiation and apoptosis of acute promyelocytic leukemia cells[J]. Chem. Sci., 2019, 10(42): 9721-9728  doi: 10.1039/C9SC03110C

    17. [17]

      LIU L, CHEN J, WANG M M, HUANG Y L, QIAN Y, XUE X L, SU Z, LIU H K. The cyclometalated iridium(Ⅲ) complex based on 9- anthracenecarboxylic acid as a lysosomal-targeted anticancer agent[J]. J. Inorg. Biochem., 2022, 235: 111913  doi: 10.1016/j.jinorgbio.2022.111913

    18. [18]

      LIU H K, PARKINSON J A, BELLA J, WANG F Y, SADLER P J. Penetrative DNA intercalation and G-base selectivity of an organometallic tetrahydroanthracene Ru anticancer complex[J]. Chem. Sci., 2010, 1(2): 258-270  doi: 10.1039/c0sc00175a

    19. [19]

      XUE X L, QIAN C G, FANG H B, LIU H K, YUAN H, GUO Z J, BAI Y. Photoactivated lysosomal escape of a monofunctional Pt complex Pt-BDPA for nucleus access[J]. Angew. Chem. ‒Int. Edit., 2019, 58(36): 12661-12666  doi: 10.1002/anie.201906203

    20. [20]

      LV M D, ZHENG Y, WU J, SHEN Z Q, GUO B L, HU G J, HUANG Y L, ZHAO J Y, QIAN Y, SU Z, WU C, XUE X L, LIU H K, MAO Z W. Evoking ferroptosis by synergistic enhancement of a cyclopentadienyl iridium-betulin immune agonist[J]. Angew. Chem. ‒Int. Edit., 2023, 62(48): e202312897  doi: 10.1002/anie.202312897

    21. [21]

      XUE X L, QIAN C G, TAO Q, DAI Y X, LV M D, DONG J W, SU Z, QIAN Y, ZHAO J, LIU H K, GUO Z J. Using bio-orthogonally catalyzed lethality strategy to generate mitochondria-targeting anti-tumor metallodrugs in vitro and in vivo[J]. Natl. Sci. Rev., 2021, 8(9): nwaa286  doi: 10.1093/nsr/nwaa286

    22. [22]

      LV M D, ZHENG Y, DAI X Y, ZHAO J Y, HU G J, REN M, SHEN Z Q, SU Z, WU C, LIU H K, XUE X L, MAO Z W. Ruthenium(Ⅱ)-arene complex triggers immunogenic ferroptosis for reversing drug resistance[J]. J. Med. Chem., 2024, 67(22): 20156-20171  doi: 10.1021/acs.jmedchem.4c01467

    23. [23]

      XUE X L, FU Y, HE L, SALASSA L, HE L F, HAO Y Y, KOH M J, SOULIE C, NEEDHAM R J, HABTEMARIM A, GARINO C, LOMAHENKO K A, SU Z, QIAN Y, PATERSON M J, MAO Z W, LIU H K, SADLER P J. Photoactivated osmium arene anticancer complexes[J]. Inorg. Chem., 2021, 60(23): 17450-17461  doi: 10.1021/acs.inorgchem.1c00241

    24. [24]

      LI S J, QIAN X T, HUANG Y L, XUE X L, QIAN Y, SU Z, LIU H K. Click-chemistry synthesis and antitumor properties of cyclometalated iridium(Ⅲ) complex based on oleanolic acid[J]. Chinese J. Inorg. Chem., 2023, 39(2): 317-326  doi: 10.11862/CJIC.2022.289

    25. [25]

      TAO Q, WU J, GE C, WANG M M, LÜ M D, XUE X L, LIU H K. Synthesis, characterization, fluorescence and interactions with DNA/BSA properties of ruthenium ferulate complexes[J]. Chinese J. Inorg. Chem., 2020, 36(10): 1853-1864  doi: 10.11862/CJIC.2020.214

    26. [26]

      ZENG Y L, LIU L Y, MA T Z, LIU Y, LIU B, LIU W T, SHEN Q H, WU C, MAO Z W. Iridium(Ⅲ) photosensitizers induce simultaneous pyroptosis and ferroptosis for multi-network synergistic tumor immunotherapy[J]. Angew. Chem. ‒Int. Edit., 2024, 63(49): e202410803  doi: 10.1002/anie.202410803

    27. [27]

      LI J, CHEN H M, ZENG L L, REES T W, XIONG K, CHEN Y, JI L N, CHAO H. Mitochondria-targeting cyclometalated iridium(Ⅲ) complexes for tumor hypoxic imaging and therapy[J]. Inorg. Chem. Front., 2019, 6(4): 1003-1010  doi: 10.1039/C9QI00081J

    28. [28]

      LAI Y D, LU N, OUYANG A, ZHANG Q L, ZHANG P Y. Ferroptosis promotes sonodynamic therapy: A platinum(Ⅱ)-indocyanine sonosensitizer[J]. Chem. Sci., 2022, 13(34): 9921-9926  doi: 10.1039/D2SC02597C

    29. [29]

      YUAN H, HAN Z, CHEN Y C, QI F, FANG H B, GUO Z J, ZHANG S R, HE W J. Ferroptosis photoinduced by new cyclometalated iridium(Ⅲ) complexes and its synergism with apoptosis in tumor cell inhibition[J]. Angew. Chem. ‒Int. Edit., 2021, 133(15): 8255-8262  doi: 10.1002/ange.202014959

    30. [30]

      ALVES F, LANE D, NGUYEN T P M, BUSH A I, AYTON S. In defence of ferroptosis[J]. Signal Transduct. Target. Ther., 2025, 10(1): 2  doi: 10.1038/s41392-024-02088-5

    31. [31]

      YANG W S, SRIRAMARATNAM R, WELSCH M E, SHIMADA K, SKOUTA R, VISWANATHAN V S, CHEAH J H, CLEMONS P A, SHAMJI A F, CLISH C B, BROWN L M, GIROTTI A W, CORNISH V W, SHREIBER S L, STOCKWELL B R. Regulation of ferroptotic cancer cell death by GPX4[J]. Cell, 2014, 156(1): 317-331

    32. [32]

      TENG D, SWANSON K D, WANG R H, ZHUANG A J, WU H F, NIU Z X, CAI L, AVRITT F R, GU L, ASARA J M, ZHANG Y Q, ZHENG B. DHODH modulates immune evasion of cancer cells via CDP-choline dependent regulation of phospholipid metabolism and ferroptosis[J]. Nat. Commun., 2025, 16(1): 3867  doi: 10.1038/s41467-025-59307-y

    33. [33]

      MAO C, LIU X G, ZHANG Y L, LEI G, YAN Y L, LEE H M, KOPPULA P, WU S Q, ZHUANG L, FANG B L, POYUROVSKY M V, OLSZEWSKI K, GAN B Y. DHODH-mediated ferroptosis defence is a targetable vulnerability in cancer[J]. Nature, 2021, 593(7860): 586-590  doi: 10.1038/s41586-021-03539-7

    34. [34]

      NAYLOR M R, LY A M, HANDFORD M J, RAMOS D P, PYE C R, FURUWAKA A, KLEIN V J, NOLAND R P, EDMONDSON Q, TURMON A C, HEWITT W M, SCHWOCHERT J, TOWNSEND C E, KELLY C N, BLANCO M J, LOKEY R S. Lipophilic permeability efficiency reconciles the opposing roles of lipophilicity in membrane permeability and aqueous solubility[J]. J. Med. Chem., 2018, 61(1): 11169-11182

    35. [35]

      LI Z, ZOU J H, CHEN X Y. In response to precision medicine: Current subcellular targeting strategies for cancer therapy[J]. Adv. Mater., 2023, 35(21): 2209529  doi: 10.1002/adma.202209529

    36. [36]

      CHENG D B, ZHANG X H, GAO Y J, LI L, HOU D Y, WANG Z Q, XU W H, QIAN H W. Endogenous reactive oxygen species-triggered morphology transformation for enhanced cooperative interaction with mitochondria[J]. J. Am. Chem. Soc., 2019, 141(18): 7235-7239  doi: 10.1021/jacs.8b07727

  • 加载中
    1. [1]

      Jing JINZhuming GUOZhiyin XIAOXiujuan JIANGYi HEXiaoming LIU . Tuning the stability and cytotoxicity of fac-[Fe(CO)3I3]- anion by its counter ions: From aminiums to inorganic cations. Chinese Journal of Inorganic Chemistry, 2024, 40(5): 991-1004. doi: 10.11862/CJIC.20230458

    2. [2]

      Ke QIAOYanlin LIShengli HUANGGuoyu YANG . Advancements in asymmetric catalysis employing chiral iridium (ruthenium) complexes. Chinese Journal of Inorganic Chemistry, 2024, 40(11): 2091-2104. doi: 10.11862/CJIC.20240265

    3. [3]

      Yihui Song Shangshang Qin Kai Wu Chengyun Jin Bin Yu . 生物化学在高水平创新型药学人才培养中的交叉融合应用——以去甲基化酶LSD1抑制剂的活性评价为例. University Chemistry, 2025, 40(6): 341-352. doi: 10.12461/PKU.DXHX202406018

    4. [4]

      Qingjun PANZhongliang GONGYuwu ZHONG . Advances in modulation of the excited states of photofunctional iron complexes. Chinese Journal of Inorganic Chemistry, 2025, 41(1): 45-58. doi: 10.11862/CJIC.20240365

    5. [5]

      Linjie ZHUXufeng LIU . Electrocatalytic hydrogen evolution performance of tetra-iron complexes with bridging diphosphine ligands. Chinese Journal of Inorganic Chemistry, 2025, 41(2): 321-328. doi: 10.11862/CJIC.20240207

    6. [6]

      Jinfeng Chu Yicheng Wang Ji Qi Yulin Liu Yan Li Lan Jin Lei He Yufei Song . Comprehensive Chemical Experiment Design: Convenient Preparation and Characterization of an Oxygen-Bridged Trinuclear Iron(III) Complex. University Chemistry, 2024, 39(7): 299-306. doi: 10.3866/PKU.DXHX202310105

    7. [7]

      Wenke ZHENGCe LIUWei CHENHongshan KEFanlong ZENGYibo LEIAnyang LIWenyuan WANG . Synthesis and bonding analysis of low-coordinate Fe and Cr complexes with ultra-bulky silylamino groups. Chinese Journal of Inorganic Chemistry, 2025, 41(7): 1285-1293. doi: 10.11862/CJIC.20250095

    8. [8]

      Qiaowen CHANGKe ZHANGGuangying HUANGNuonan LIWeiping LIUFuquan BAICaixian YANYangyang FENGChuan ZUO . Syntheses, structures, and photo-physical properties of iridium phosphorescent complexes with phenylpyridine derivatives bearing different substituting groups. Chinese Journal of Inorganic Chemistry, 2025, 41(2): 235-244. doi: 10.11862/CJIC.20240311

    9. [9]

      Wenjing ZHANGXiaoqing WANGZhipeng LIU . Recent developments of inorganic metal complex-based photothermal materials and their applications in photothermal therapy. Chinese Journal of Inorganic Chemistry, 2024, 40(12): 2356-2372. doi: 10.11862/CJIC.20240254

    10. [10]

      Yuanpei ZHANGJiahong WANGJinming HUANGZhi HU . Preparation of magnetic mesoporous carbon loaded nano zero-valent iron for removal of Cr(Ⅲ) organic complexes from high-salt wastewater. Chinese Journal of Inorganic Chemistry, 2024, 40(9): 1731-1742. doi: 10.11862/CJIC.20240077

    11. [11]

      Linjie ZHUXufeng LIU . Synthesis, characterization and electrocatalytic hydrogen evolution of two di-iron complexes containing a phosphine ligand with a pendant amine. Chinese Journal of Inorganic Chemistry, 2025, 41(5): 939-947. doi: 10.11862/CJIC.20240416

    12. [12]

      Fa Wang Yu Chen Hui Chao . Ruthenium(II) Complexes as Photoactivated Chemo-Prodrugs for Hypoxic Tumor Therapy. University Chemistry, 2025, 40(7): 200-212. doi: 10.12461/PKU.DXHX202410024

    13. [13]

      Bin SUNHeyan JIANG . Glucose-modified bis-Schiff bases: Synthesis and bio-activities in Alzheimer′s disease therapy. Chinese Journal of Inorganic Chemistry, 2025, 41(7): 1338-1350. doi: 10.11862/CJIC.20240428

    14. [14]

      Hanxue LIUShijie LIMeng RENXuling XUEHongke LIU . Design and antitumor properties of dehydroabietic acid functionalized cyclometalated iridium(Ⅲ) complex. Chinese Journal of Inorganic Chemistry, 2025, 41(8): 1483-1494. doi: 10.11862/CJIC.20250031

    15. [15]

      Xinxin YUYongxing LIUXiaohong YIMiao CHANGFei WANGPeng WANGChongchen WANG . Photocatalytic peroxydisulfate activation for degrading organic pollutants over the zero-valent iron recovered from subway tunnels. Chinese Journal of Inorganic Chemistry, 2025, 41(5): 864-876. doi: 10.11862/CJIC.20240438

    16. [16]

      Wang WangYucheng LiuShengli Chen . Use of NiFe Layered Double Hydroxide as Electrocatalyst in Oxygen Evolution Reaction: Catalytic Mechanisms, Electrode Design, and Durability. Acta Physico-Chimica Sinica, 2024, 40(2): 2303059-0. doi: 10.3866/PKU.WHXB202303059

    17. [17]

      Jiahao Zeng Hui Chao . 诱导程序性细胞死亡的金属抗肿瘤药物研究. University Chemistry, 2025, 40(6): 145-159. doi: 10.12461/PKU.DXHX202406019

    18. [18]

      Xiaotian ZHUFangding HUANGWenchang ZHUJianqing ZHAO . Layered oxide cathode for sodium-ion batteries: Surface and interface modification and suppressed gas generation effect. Chinese Journal of Inorganic Chemistry, 2025, 41(2): 254-266. doi: 10.11862/CJIC.20240260

    19. [19]

      Xiaowei TANGShiquan XIAOJingwen SUNYu ZHUXiaoting CHENHaiyan ZHANG . A zinc complex for the detection of anthrax biomarker. Chinese Journal of Inorganic Chemistry, 2024, 40(10): 1850-1860. doi: 10.11862/CJIC.20240173

    20. [20]

      Hongling Liu Yue Xia Guang Xu Yafei Yang Chunhua Qu . Bitter Cold Medicine, Good for Healing. University Chemistry, 2025, 40(3): 328-332. doi: 10.12461/PKU.DXHX202405039

Metrics
  • PDF Downloads(0)
  • Abstract views(891)
  • HTML views(68)

通讯作者: 陈斌, bchen63@163.com
  • 1. 

    沈阳化工大学材料科学与工程学院 沈阳 110142

  1. 本站搜索
  2. 百度学术搜索
  3. 万方数据库搜索
  4. CNKI搜索
Address:Zhongguancun North First Street 2,100190 Beijing, PR China Tel: +86-010-82449177-888
Powered By info@rhhz.net

/

DownLoad:  Full-Size Img  PowerPoint
Return