基于联苯四甲酸构筑的镁(Ⅱ)金属有机框架的合成及其CO2吸附和催化转化性能

时文娟 卢瑜珂 李秀媛 侯磊 王尧宇

引用本文: 时文娟, 卢瑜珂, 李秀媛, 侯磊, 王尧宇. 基于联苯四甲酸构筑的镁(Ⅱ)金属有机框架的合成及其CO2吸附和催化转化性能[J]. 无机化学学报, 2025, 41(12): 2455-2463. doi: 10.11862/CJIC.20250220 shu
Citation:  Wenjuan SHI, Yuke LU, Xiuyuan LI, Lei HOU, Yaoyu WANG. Mg(Ⅱ) metal-organic frameworks based on biphenyltetracarboxylic acid: Synthesis and CO2 adsorption and catalytic conversion performance[J]. Chinese Journal of Inorganic Chemistry, 2025, 41(12): 2455-2463. doi: 10.11862/CJIC.20250220 shu

基于联苯四甲酸构筑的镁(Ⅱ)金属有机框架的合成及其CO2吸附和催化转化性能

    通讯作者: 侯磊, E-mail:lhou2009@nwu.edu.cn
  • 基金项目:

    国家自然科学基金 22371226

    陕西省杰出青年科学基金 2024JC-JCQN-18

    陕西省(化学、生物)基础研究院科研计划基金 23JHZ004

摘要: 在溶剂热合成条件下,利用含有胺基基团的有机羧酸配体4,4′-二胺基-[1,1′-联苯]-3,3′,5,5′-四甲酸(H4L)与Mg2+离子反应,制备了一例三维金属有机框架{[Mg2(L)(DMA)(H2O)2]·2DMA·H2O}n(Mg-MOF,DMA=NN-二甲基乙酰胺)。通过X射线单晶衍射、元素分析、热重分析等确定了Mg-MOF的结构和稳定性,并深入探究了其CO2吸附和催化转化性能。结果表明:Mg-MOF属于单斜晶系,P21/n空间群,a=1.399 88(15) nm,b=1.400 49(15) nm,c=1.768 57(19) nm,β=94.307(2)°。Mg-MOF具有4-连接的(42·84)-ant拓扑网,含有胺基基团修饰的一维孔道,而且在298 K和100 kPa条件下表现出优异的CO2/CH4、CO2/CO吸附选择性(分别为18.7~19.9、8.9~9.5),以及高效催化转化CO2与环氧化合物生成环状碳酸酯的性能。

English

  • 随着工业化的快速发展,工业有害气体的释放或泄漏、化石燃料的过度和不合理使用以及人类活动的加剧,导致越来越多的二氧化碳(CO2)气体被排放到大气中,直接或间接引发了许多严重的环境问题[1-3],为此我国于2020年提出了“碳达峰、碳中和”的战略目标。将CO2从其他气体中,特别是从甲烷(CH4)和一氧化碳(CO)中吸附分离是非常重要的[4-6],因为天然气中的CO2会影响其充分燃烧,并带来潜在的安全问题。燃料燃烧不充分产生的CO也会极大地危害人类的健康,而且CO也是重要的工业原料气。此外,将CO2固定并转化为有价值的精细化学品,也符合绿色化学和可持续发展的要求。为有效解决这些问题,研究人员近年来将目光转向多孔材料的开发。金属有机框架(MOF)是一类基于有机配位单元与无机金属离子/簇,通过配位组装形成的晶态多孔材料,在发光、储存、催化、检测等领域具有很大的应用潜力[7-9]。尤其是MOF作为异相催化剂可以将CO2与环氧化合物催化转化为重要的工业原料——环状碳酸酯,然而构筑能在温和条件下具有高效催化性能的MOF材料仍面临巨大挑战[10-13]

    羧酸类配体是合成MOF材料最经典的配体之一,其中的氧原子不仅具有强的配位能力,还可以采用不同的配位模式与金属离子配位形成结构丰富多样的框架。由于CO2分子的弱酸性,路易斯碱性基团(如胺基)可以与CO2形成更强的酸碱相互作用。通过含有胺基的多羧酸类配体构筑胺基功能化的MOF,可以提高MOF对CO2的吸附能力和选择性并加快对CO2的吸附速率,这也使其成为理想的吸附分离材料[14-16]。另一方面,胺基化的MOF还可以促进环氧化合物和CO2的活化,从而进一步提高催化活性,因此开展此类MOF催化剂在温和条件下的CO2选择性吸附与化学转化研究具有重要意义。

    基于此,我们通过在多羧酸配体中引入胺基基团进行修饰,设计了含有双胺基(—NH2)基团的四羧酸配体,即4,4′-二胺基-[1,1′-联苯]-3,3′,5,5′-四甲酸(H4L)。该配体含有丰富的大π键、—NH2和羧基基团;配体中的联苯结构可以提高框架的孔隙率,—NH2基团则有助于提高框架的CO2选择吸附能力。我们利用H4L与Mg2+离子在溶剂热反应条件下合成了一例新型三维框架{[Mg2(L)(DMA)(H2O)2]·2DMA·H2O}n(简称Mg-MOF,DMA=NN-二甲基乙酰胺)。Mg-MOF含有—NH2基团修饰的一维孔道,表现出优异的CO2/CH4、CO2/CO吸附选择性,以及常温常压下高效催化转化CO2与环氧化合物生成环状碳酸酯的性能。

    实验中所用试剂和药品均购自萨恩化学技术(上海)有限公司。

    实验中所用仪器包括X射线单晶衍射仪(Bruker SMART APEX Ⅱ CCD)、X射线粉末衍射仪(PXRD,Bruker D8 ADVANCE,Cu 辐射,λ= 0.154 18 nm,扫描角度范围为5°~50°,工作电压和电流分别为40 kV和40 mA)、元素分析仪(Perkin Elmer 2400C)、热分析仪(Netzsch TG 209,氮气氛围,升温速率为10 ℃·min-1,温度范围为35~800 ℃)、红外光谱仪(Equinox-55,400~4 000 cm-1,KBr压片)、物理吸附仪(ASAP 2020M)和核磁共振波谱仪(Bruker Ascend 400,400 MHz)。

    将Mg(NO3)2·6H2O(25.6 mg,0.10 mmol)、H4L(18.0 mg,0.05 mmol)、DMA(4 mL)和H2O(2 mL)的混合物搅拌均匀,密封于高压反应釜内并在120 ℃加热72 h,反应结束后以5 ℃·h-1的速率缓慢冷却至35 ℃,然后过滤并收集滤渣,得到浅黄色块状晶体(16.6 mg,产率为46.0%)。元素分析(C28H41Mg2N5O14)理论值:C 46.69,H 5.74,N 9.72;实测值:C 47.40,H 5.44,N 9.17。IR(KBr,cm-1):3 441(s),3 316(w),2 930(w),1 629(vs),1 529(s),1 398(vs),1 273(s),1 011(w),915(w),818(m),719(m),588(m)。

    将合成的Mg-MOF样品在150 ℃抽真空条件下加热4 h,去除化合物孔道中的晶格溶剂分子,获得活化后的框架材料。活化后Mg-MOF的结构稳定性使用PXRD进行验证。

    将环氧化合物底物分子(20 mmol)、活化后的Mg-MOF(0.1 mmol)和四丁基溴化铵(TBAB,0.4 mmol)加入到15 mL烧瓶中并持续在100 kPa下通入CO2,在室温下搅拌反应。转化率使用1H NMR检测。

    将实验获得的Mg-MOF置于显微镜下,挑选均匀透明、尺寸合适的晶体于Bruker AXS SMART CCD X射线单晶衍射仪上,用Mo 辐射源(λ=0.071 073 nm)收集数据,测试温度为296(2) K。数据经过Lp因子校正和吸收校正后,利用SHELXL-2014软件通过直接还原法解析,获得晶体结构,并用全矩阵最小二乘法F2对收集到的结构数据进行精修。所有的非氢原子都采用各向异性精修。水分子上的氢原子根据所形成氢键的方向进行指认,配体H4L和DMA中的氢原子被添加到理想的几何位置,所有氢原子进行各向同性精修。结构精修后得到的晶体学数据和部分键长、键角列于表 12

    表 1

    表 1  Mg-MOF的晶体学数据
    Table 1.  Crystallographic data of Mg-MOF
    下载: 导出CSV
    Chemical formula C28H41Mg2N5O14 Chemical formula C28H41Mg2N5O14
    Formula weight 720.28 Dc /(g·cm-3) 1.384
    T /K 296(2) μ /mm-1 0.142
    Crystal system Monoclinic F(000) 1 520
    Space group P21/n Reflection collected 18 345
    a /nm 1.399 88(15) Independent reflection 6 724
    b /nm 1.400 49(15) Rint 0.036 2
    c /nm 1.768 57(19) Goodness-of-fit of F2 1.024
    β /(°) 94.307(2) R1a, wR2b [I > 2σ] 0.061 1, 0.079 0
    V /nm3 3.457 5(6) R1a, wR2b (all data) 0.171 8, 0.191 2
    Z 4
    aR1=∑(||Fo|-|Fc||)/∑|Fo|; bwR2=[∑w(Fo2-Fc2)2/∑w(Fo2)2]1/2.

    表 2

    表 2  Mg-MOF的部分键长(nm)和键角(°)
    Table 2.  Selected bond lengths (nm) and angles (°) of Mg-MOF
    下载: 导出CSV
    Mg1—O1 0.199 0(2) Mg1—O6#2 0.221 3(2) Mg1—O3#1 0.201 7(2)
    Mg1—O5#2 0.208 9(2) Mg1—O8#3 0.223 1(2) Mg1—O7#3 0.212 83(19)
    Mg2—O2 0.203 1(2) Mg2—O9 0.207 3(3) Mg2—O1W 0.207 6(2)
    Mg2—O2W 0.207 7(2) Mg2—O4#1 0.203 7(2) Mg2—O7#3 0.215 14(19)
    O1—Mg1—O3#1 93.70(9) O1—Mg1—O5#2 105.88(8) O1—Mg1—O7#3 101.67(8)
    O1—Mg1—O6#2 166.50(9) O1—Mg1—O8#3 91.76(9) O7#3—Mg1—O8#3 60.25(7)
    O3#1—Mg1—O5#2 100.55(9) O3#1—Mg1—O6#2 90.99(9) O3#1—Mg1—O7#3 98.73(8)
    O5#2—Mg1—O7#3 145.02(8) O3#1—Mg1—O8#3 158.96(8) O5#2—Mg1—O6#2 60.76(7)
    O5#2—Mg1—O8#3 97.45(8) O6#2—Mg1—O8#3 88.34(8) O7#3—Mg1—O6#2 90.09(8)
    O2W—Mg2—O7#3 90.90(9) O2—Mg2—O4#1 98.34(9) O2—Mg2—O9 87.37(10)
    O4#1—Mg2—O9 91.54(11) O2—Mg2—O1W 175.76(10) O4#1—Mg2—O1W 85.29(9)
    O9—Mg2—O1W 94.74(11) O2—Mg2—O2W 91.02(10) O4#1—Mg2—O2W 170.61(10)
    O9—Mg2—O2W 89.57(12) O1W—Mg2—O2W 85.33(10) O2—Mg2—O7#3 87.91(8)
    O4#1—Mg2—O7#3 88.77(8) O9—Mg2—O7#3 175.26(10) O1W—Mg2—O7#3 89.99(9)
    Symmetry codes: #1: -x+1/2, y+1/2, -z+1/2; #2: -x+1, -y+2, -z+1; #3: x+1/2, -y+3/2, z-1/2.

    X射线单晶衍射分析表明,Mg-MOF属于单斜晶系中的P21/n空间群。不对称单元由2个Mg2+离子、1个L4-配体、2个配位水分子、1个配位的DMA分子以及晶格水分子和DMA分子组成。从图 1a所示的配位环境图中可以看出,2个Mg2+离子为近似八面体配位构型,其中Mg1与6个来自L4-配体的羧基氧原子配位,Mg2与3个来自L4-配体的羧基氧原子以及2个H2O分子和1个DMA分子配位;Mg1与Mg2之间通过3个羧基桥联形成双核[Mg2(COO)3]簇单元(Mg…Mg键长为0.348 nm)。L4-配体中的4个羧基基团以双齿螯合、双齿桥联或单齿与双齿桥联的方式与7个Mg2+离子配位。沿着c轴方向,相邻双核簇通过配体L4-中的间苯二甲酸单元交互连接形成21螺旋链,螺距为1.400 5 nm,如图 1b所示。螺旋链通过配体L4-的进一步延伸形成三维框架结构。该框架沿c轴方向存在四方形孔道,如图 1c所示。去除孔道中的溶剂水分子后,其孔隙率为40.5%,其中L4-配体上未配位的胺基基团暴露在孔壁上,可以作为活性位点提高对CO2的选择吸附性能。由拓扑分析可知,每个L4-配体可看作一个平面型的4-连接节点,双核簇可看作一个四面体构型的4-连接节点,整个框架可简化为双节点(4,4)-连接的(42·84)-ant拓扑网,如图 1d所示。

    图 1

    图 1.  (a) Mg-MOF中Mg2+离子和配体L4-的配位环境; (b) Mg-MOF中的螺旋链结构; (c) Mg-MOF沿c轴方向的三维结构; (d) Mg-MOF的拓扑结构
    Figure 1.  (a) Coordination environments of Mg2+ ions and ligand L4- in Mg-MOF; (b) Helical chain structure in Mg-MOF; (c) 3D structure of Mg-MOF viewed along the c-axis; (d) Topology structure of Mg-MOF

    Symmetry codes: #1:-x+1/2, y+1/2, -z+1/2; #2:-x+1, -y+2, -z+1; #3: x+1/2, -y+3/2, z-1/2.

    如图S1(Supporting information)所示,实验得到的Mg-MOF的PXRD图与单晶结构模拟的衍射图一致,证明了合成的化合物具有较高的相纯度。如图S2所示,热重分析(TGA)测试结果表明,在氮气氛围下Mg-MOF在室温到150 ℃范围内具有明显的重量损失,失重率为18.0%,相当于框架释放了所有的溶剂分子(理论值为19.7%),在经历一个短暂的平台后,框架逐渐释放配位溶剂分子,直至分解坍塌。通过活化实验去除Mg-MOF中的晶格溶剂分子,所得到的活化后样品的PXRD图未有明显的变化,表明活化后Mg-MOF仍具有完整的框架结构。

    由于Mg-MOF含有规则的孔道结构,我们对活化后的Mg-MOF的孔特性进行了气体吸附研究。活化后的Mg-MOF在195 K下对CO2表现出可逆的Ⅰ型微孔吸附等温线特征,在100 kPa下的吸附量为71.0 cm3·g-1(图 2a),计算得到的Brunauer-Emmett-Teller(BET)比表面积为218 m2·g-1,表现出良好的微孔孔隙特点。

    图 2

    图 2.  (a) 195 K下Mg-MOF对CO2的吸附-脱附等温线; (b) 273和298 K下Mg-MOF对CO2、CH4和CO的吸附-脱附等温线
    Figure 2.  (a) Adsorption-desorption isotherm of Mg-MOF for CO2 at 195 K; (b) Adsorption-desorption isotherms of Mg-MOF for CO2, CH4, and CO at 273 and 298 K

    由于Mg-MOF孔道表面含有裸露的碱性—NH2基团,我们进一步考察了其对CO2酸性气体分子与CH4和CO分子之间的吸附选择性。如图 2b所示,在273和298 K时,Mg-MOF在100 kPa下的CO2吸附量分别为31.7和21.5 cm3·g-1。其中在298 K下的CO2吸附量与一些经典MOF材料相近,例如BSF-11(20.6 cm3·g-1)[17]、Ca(dtzip)0.5(23.7 cm3·g-1)[18]、SNNU-328(20.0 cm3·g-1)[19]等。然而,在同样温度和压力条件下,Mg-MOF对CH4和CO的吸附量非常低,在273和298 K下对CH4的吸附量分别为9.2和5.5 cm3·g-1,对CO的吸附量分别只有4.8和2.9 cm3·g-1,表现出明显的CO2吸附选择性。

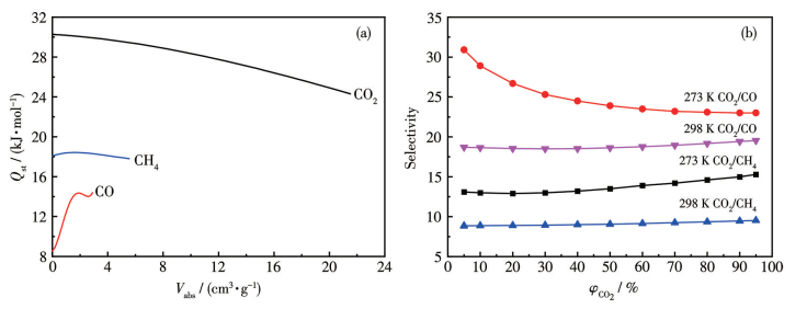
    Mg-MOF对CO2显著的吸附选择性可能与框架中未配位的—NH2基团有关,它导致了孔道的极性,使得框架更容易吸附四极矩大的CO2气体分子;同时,—NH2基团的路易斯碱性使得其对CO2酸性气体分子形成更强的相互作用,导致对CO2具有更大的吸附能力和吸附选择性。根据273和298 K下的吸附-脱附等温线,我们利用位力方程计算了吸附热(Qst)并用来估量框架与气体分子之间的作用力。如图 3所示,对于CO2、CH4和CO,计算得到的初始Qst分别为30.3、18.1和8.6 kJ·mol-1(图 3a),表明Mg-MOF与CO2分子之间存在更强的相互作用。

    图 3

    图 3.  (a) Mg-MOF的吸附热拟合曲线; (b) Mg-MOF对CO2/CO和CO2/CH4双组分混合物的IAST吸附选择性
    Figure 3.  (a) Fitting curves of adsorption heat of Mg-MOF; (b) IAST adsorption selectivity for CO2/CO and CO2/CH4 binary mixtures of Mg-MOF

    基于Mg-MOF对3种气体分子明显不同的吸附量,我们利用理想吸附溶液理论(IAST)模型,分别计算了在100 kPa下其对CO2/CO和CO2/CH4双组分混合物的吸附选择性。如图 3b所示,对于CO2体积分数为5%~95%的不同CO2/CO混合气体,273和298 K下Mg-MOF对CO2/CO的选择性分别介于23.0~30.9和18.7~19.9之间;对于CO2体积分数为5%~95%的不同CO2/CH4混合气体,273和298 K下Mg-MOF对CO2/CH4的选择性分别介于12.9~15.3和8.9~9.5之间。由此可见,Mg-MOF对2种混合气体均表现出高的CO2吸附选择性。在298 K下,对于等体积组分的CO2/CO和CO2/CH4混合物,Mg-MOF的CO2/CO选择性为18.6,CO2/CH4选择性为9.0。通过文献对比可以发现,Mg-MOF的CO2/CO选择性堪比在类似条件下已报道的多种MOF材料,例如HKUST-1(5)[20]、LIMF-10(10)[21]和Ni(3-ain)2(16.5)[22];Mg-MOF的CO2/CH4选择性与一些性能优异的CO2/CH4选择性吸附材料数值相近,例如SNNU-328 (8.5)[19]、BSF-1(7.5)[23]和Cu-OATA(8.4)[24]。高的CO2/CO和CO2/CH4选择性归因于框架中存在未配位的Lewis碱性—NH2基团,它们与CO2形成强的相互作用。高的选择性预示着Mg-MOF材料能够应用于CO2与CO和CH4的分离。

    由于Mg-MOF对CO2优异的选择吸附性能,我们进一步考察了其作为非均相催化剂对CO2与环氧化合物之间环加成反应的催化应用,该反应生成的环状碳酸酯类化合物是具有重要应用价值的化工产品。我们探究了不同类型的环氧化合物底物与CO2反应生成环状碳酸酯的产率的关系。催化反应均在持续搅拌下进行,并且利用核磁共振谱监测了反应的转化产物。

    在常压和室温(28 ℃)条件下,先探究了催化剂类型对反应产率的影响,如表 3(条目1、2、4)所示,使用催化剂Mg-MOF和助催化剂四丁基溴化铵(TBAB)时反应性能最佳。另外,在TBAB存在的情况下,进一步考察了Mg-MOF对CO2与其它不同尺寸/类型取代基修饰的环氧底物(取代基R=—CH3、—C2H5、—CH2Cl、—CH2OC4H9、—CH2Br、—Ph)反应的催化活性。结果表明,生成物的产率略有不同,其中,环氧丙烷转化率为86.2%,环氧丁烷转化率为88.8%,环氧氯丙烷转化率为82.1%,丁氧基甲基环氧乙烷转化率为73.5%,环氧溴丙烷转化率为81.7%(表 3,条目3~7),而尺寸较大的环氧苯乙烷转化率较低(66.0%,表 3,条目8)。这种现象可能是由于尺寸较大的底物在孔道中扩散较为困难导致的。Mg-MOF对环氧丁烷的转化率优于多数已报道的MOFs,如MMPF-9(80.3)%[25]、JUC-1000(81%)[26]、66-Pym-Mel(87.7%)[27]等。此外,以环氧丁烷为例,对Mg-MOF的CO2环加成反应进行了循环实验,结果表明碳酸丁烯的产率在5次循环实验中几乎没有变化(88.8%~87.5%),表明该催化剂具有良好的催化稳定性。

    表 3

    表 3  不同的环氧化合物在Mg-MOF催化下生成的各种环状碳酸酯
    Table 3.  Various cyclic carbonates formed by different epoxides under the catalysis of Mg-MOF*
    下载: 导出CSV
    Entry Catalyst Epoxide Product Yield /%
    1 Mg-MOF 4.9
    2 TBAB 13.0
    3 Mg-MOF+TBAB 86.2
    4 Mg-MOF+TBAB 88.8
    5 Mg-MOF+TBAB 82.1
    6 Mg-MOF+TBAB 73.5
    7 Mg-MOF+TBAB 81.7
    8 Mg-MOF+TBAB 66.0
    *Reaction conditions: epoxides (20 mmol), Mg-MOF (0.1 mmol), CO2 (100 kPa), TBAB (0.4 mmol), 28 ℃, 6 h.

    根据晶体结构和实验得到的催化结果,我们推测了Mg-MOF对CO2与环氧化合物环加成反应的催化机理[28-30]。如图 4所示,首先,Mg-MOF中的Mg2+离子作为Lewis酸活性位点与环氧化合物中的O原子形成Mg…O相互作用以激活环氧环,同时CO2被吸附在孔道中。随后,来自TBAB的亲核试剂Br-离子攻击环氧化合物中受空间位阻较小的β-C原子,导致环氧环开环。接下来被吸附的CO2与开环的环氧阴离子反应形成中间体,该中间体通过闭环步骤进一步转化为环状碳酸酯,最后使催化剂再生。

    图 4

    图 4.  Mg-MOF的催化反应机理
    Figure 4.  Mechanism of catalytic reaction in Mg-MOF

    基于金属离子Mg2+与4,4′-二胺基-[1,1′-联苯]-3,3′,5,5′-四甲酸的配位组装,我们构筑了一例三维框架Mg-MOF材料,并对其单晶结构、热稳定性以及CO2吸附和催化转化性能进行了表征和分析。该Mg-MOF含有胺基基团修饰的一维孔道,导致对CO2/CH4、CO2/CO中的CO2具有优异的吸附选择性,其在298 K和100 kPa下对CO2/CH4和CO2/CO的选择性分别达到8.9~9.5和18.7~19.9。同时Mg-MOF在常温常压下能够高效地催化CO2与不同环氧化合物的环加成反应(转化率在80%以上),生成高附加值的环状碳酸酯。综上所述,采用胺基策略合成的Mg-MOF实现了从混合气体中进行CO2的选择性吸附与催化转化,为相关功能材料的设计与合成提供了有效的策略。


    Supporting information is available at http://www.wjhxxb.cn
    1. [1]

      SUMIDA K, ROGOW D L, MASON J A, McDONALD T M, BLOCH E D, HERM Z R, BAE T H, LONG J R. Carbon dioxide capture in metal-organic frameworks[J]. Chem. Rev., 2012, 112(2): 724-781 doi: 10.1021/cr2003272

    2. [2]

      CHU S. Carbon capture and sequestration[J]. Science, 2009, 325(5948): 1599-1599 doi: 10.1126/science.1181637

    3. [3]

      ANIRUDDHA R, SREEDHAR I, REDDY B M. MOFs in carbon capture-past, present and future[J]. J. CO2 Util., 2020, 42: 101297 doi: 10.1016/j.jcou.2020.101297

    4. [4]

      ZEESHAN M, NOZARI V, YAGCI M B, ISIK T, UNAL U, ORTALAN V, KESKIN S, UZUN A. Core-shell type ionic liquid/metal organic framework composite: An exceptionally high CO2/CH4 selectivity[J]. J. Am. Chem. Soc., 2018, 140(32): 10113-10116 doi: 10.1021/jacs.8b05802

    5. [5]

      LEE G, AHMED I, JHUNG S H. CO2 adsorption using functionalized metal-organic frameworks under low pressure: Contribution of functional groups, excluding amines, to adsorption[J]. Chem. Eng. J., 2024, 481: 148440 doi: 10.1016/j.cej.2023.148440

    6. [6]

      ZHAO X, WANG Y, LI D S, BU X H, FENG P Y. Metal-organic frameworks for separation[J]. Adv. Mater., 2018, 30(37): 1705189 doi: 10.1002/adma.201705189

    7. [7]

      白玉, 王记江, 唐龙, 岳二林, 白超, 王潇, 张玉琦. 基于半刚性四羧酸配体的镉(Ⅱ)配位聚合物对Fe3+和对硝基苯酚的高选择性检测[J]. 无机化学学报, 2025, 41(6): 1217-1226 doi: 10.11862/CJIC.20240457BAI Y, WANG J J, TANG L, YUE E L, BAI C, WANG X, ZHANG Y Q. A cadmium(Ⅱ) coordination polymer based on a semirigid tetracarboxylate ligand for highly selective detection of Fe3+ and 4-nitrophenol[J]. Chinese J. Inorg. Chem., 2025, 41(6): 1217-1226 doi: 10.11862/CJIC.20240457

    8. [8]

      DING M L, FLAIG R W, JIANG H L, YAGHI O M. Carbon capture and conversion using metal-organic frameworks and MOF-based materials[J]. Chem. Soc. Rev., 2019, 48(10): 2783-2828 doi: 10.1039/C8CS00829A

    9. [9]

      盖世鹏, 田金豆, 江飞龙, 陈其辉, 洪茂椿. 一个微孔钴基金属有机骨架的合成及其选择性气体吸附[J]. 无机化学学报, 2023, 39(6): 1014-1022 doi: 10.11862/CJIC.2023.076GAI S P, TIAN J D, JIANG F L, CHEN Q H, HONG M C. A microporous cobalt-based metal-organic framework for selective gas adsorption[J]. Chinese J. Inorg. Chem., 2023, 39(6): 1014-1022 doi: 10.11862/CJIC.2023.076

    10. [10]

      KIM J, KIM S N, JANG H G, SEO G, AHN W S. CO2 cycloaddition of styrene oxide over MOF catalysts[J]. Appl. Catal. A‒Gen., 2013, 453: 175-180 doi: 10.1016/j.apcata.2012.12.018

    11. [11]

      ZHOU Z, HE C, XIU J H, YANG L, DUAN C Y. Metal-organic polymers containing discrete single-walled nanotube as a heterogeneous catalyst for the cycloaddition of carbon dioxide to epoxides[J]. J. Am. Chem. Soc., 2015, 137(48): 15066-15069 doi: 10.1021/jacs.5b07925

    12. [12]

      DONG W Y, WANG Z X, CAI Z X, DENG Y Q, WANG G Y, ZHENG B S. Highly efficient CO2 capture and chemical fixation of a microporous (3,36)-connected txt-type Cu(Ⅱ)-MOF with multifunctional sites[J]. Dalton Trans., 2024, 54(2): 745-753

    13. [13]

      YU C L, HE X L, GONG C X, LI J H, YE K Y. Tailoring of unsaturated metal sites in metal-organic frameworks to promote the conversion of CO2 into high-value-added products[J]. Inorg. Chem., 2025, 64(14): 6977-6986 doi: 10.1021/acs.inorgchem.5c00235

    14. [14]

      LAN J W, LIU M S, LU X Y, ZHANG X, SUN J M. Novel 3D nitrogen-rich metal organic framework for highly efficient CO2 adsorption and catalytic conversion to cyclic carbonates under ambient temperature[J]. ACS Sustain. Chem. Eng., 2018, 6(7): 8727-8735 doi: 10.1021/acssuschemeng.8b01055

    15. [15]

      LIANG L F, LIU C P, JIANG F L, CHEN Q H, ZHANG L J, XUE H, JIANG H L, QIAN J J, YUAN D Q, HONG M C. Carbon dioxide capture and conversion by an acid-base resistant metal-organic framework[J]. Nat. Commun., 2017, 8: 1233 doi: 10.1038/s41467-017-01166-3

    16. [16]

      江梦珍, 王倩, 白俊峰. 面向工业烟道气CO2捕获的基于廉价配体金属有机骨架材料的研究进展[J]. 无机化学学报, 2025, 41(1): 1-13 doi: 10.11862/CJIC.20240355JIANG M Z, WANG Q, BAI J F. Research progress on low-cost ligand-based metal-organic frameworks for carbon dioxide capture from industrial flue gas[J]. Chinese J. Inorg. Chem., 2025, 41(1): 1-13 doi: 10.11862/CJIC.20240355

    17. [17]

      YUAN Y B, WANG L Y, LI J H, JIANG Y J, SUN W Q, HAN Y, LUAN B Q, BAYER J, FERREIRA R N B, STEINER M, CHEN B L, ZHANG Y B. A flexible dihydrogen-bonded organic framework with selective gas adsorption properties[J]. Chem. Mat., 2024, 36(16): 8123-8130

    18. [18]

      MA L N, WANG Z H, ZHANG L, HOU L, WANG Y Y, ZHU Z H. Extraordinary separation of acetylene-containing mixtures in a honeycomb calcium-based MOF with multiple active sites[J]. ACS Appl. Mater. Interfaces, 2023, 15(2): 2971-2978 doi: 10.1021/acsami.2c19321

    19. [19]

      LEI J, YUAN W Y, SHANG J X, XU J, ZHANG P, WANG Y, LI Y P, ZHAI Q G. Development of a mixed multinuclear cluster strategy in metal-organic frameworks for methane purification and storage[J]. Inorg. Chem., 2023, 62(37): 15195-15205 doi: 10.1021/acs.inorgchem.3c02347

    20. [20]

      CHOWDHURY P, MEKALA S, DREISBACH F, GUMMA S. Adsorption of CO, CO2 and CH4 on Cu-BTC and MIL-101 metal organic frameworks: Effect of open metal sites and adsorbate polarity[J]. Microporous Mesoporous Mat., 2012, 152: 246-252 doi: 10.1016/j.micromeso.2011.11.022

    21. [21]

      XIONG Y, FAN Y Z, YANG R, CHEN S, PAN M, JIANG J J, SU C Y. Amide and N-oxide functionalization of T-shaped ligands for isoreticular MOFs with giant enhancements in CO2 separation[J]. Chem. Commun., 2014, 50(93): 14631-14634 doi: 10.1039/C4CC06697A

    22. [22]

      WANG S M, LIU H R, NI S, YANG Q Y. A structured ultramicroporous metal-organic framework for carbon dioxide capture[J]. Chin. J. Chem., 2023, 41(7): 763-768 doi: 10.1002/cjoc.202200658

    23. [23]

      ZHANG Y B, YANG L F, WANG L Y, DUTTWYLER S, XING H B. A microporous metal-organic framework supramolecularly assembled from a Cu dodecaborate cluster complex for selective gas separation[J]. Angew. Chem.‒Int. Edit., 2019, 58(24): 8145-8150 doi: 10.1002/anie.201903600

    24. [24]

      ZHANG L, WANG G D, ZHANG B, YANG G P, ZHANG W Y, HOU L, WANG Y Y, ZHU Z H. Creating a MOF with larger pores and higher stability for gas separation through continuous structure transformation[J]. J. Mater. Chem. A, 2024, 12(38): 25820-25828 doi: 10.1039/D4TA05318D

    25. [25]

      GAO W Y, WOJTAS L, MA S Q. A porous metal-metalloporphyrin framework featuring high-density active sites for chemical fixation of CO2 under ambient conditions[J]. Chem. Commun., 2014, 50(40): 5316-5318 doi: 10.1039/C3CC47542E

    26. [26]

      HE H M, SUN Q, GAO W Y, PERMAN J A, SUN F X, ZHU G S, AGUILA B, FORREST K, SPACE B, MA S Q. A stable metal-organic framework featuring a local buffer environment for carbon dioxide fixation[J]. Angew. Chem.‒Int. Edit., 2018, 57(17): 4657-4662 doi: 10.1002/anie.201801122

    27. [27]

      JI H, NAVEEN K, LEE W, KIM T S, KIM D, CHO D H. Pyridinium-functionalized ionic metal-organic frameworks designed as bifunctional catalysts for CO2 fixation into cyclic carbonates[J]. ACS Appl. Mater. Interfaces, 2020, 12(22): 24868-24876 doi: 10.1021/acsami.0c05912

    28. [28]

      SHAFIQUE A, SALEEM R, KHAN R R M, SAEED Z, PERVAIZ M, LIAQAT M, HUSSAIN T, SUMMER M, SHARIF S. Metal-organic frameworks as heterogeneous catalysts for CO2 cycloaddition: A promising strategy for CO2 mitigation and utilization[J]. Mater. Today Chem., 2024, 41: 102296 doi: 10.1016/j.mtchem.2024.102296

    29. [29]

      QIN X L, YU X Y, SI J C, XIE S Y, SHI Z H, LIU X, LI C B, LI G H, LIU Y L. Two designed bimetallic sod-ZMOFs with ample active sites for CO2 capture and CO2 cycloaddition[J]. Chem. Eng. J., 2025, 516: 163674 doi: 10.1016/j.cej.2025.163674

    30. [30]

      LI X Y, MA L N, LIU Y, HOU L, WANG Y Y, ZHU Z H. Honeycomb metal-organic framework with lewis acidic and basic bifunctional sites: Selective adsorption and CO2 catalytic fixation[J]. ACS Appl. Mater. Interfaces, 2018, 10(13): 10965-10973 doi: 10.1021/acsami.8b01291

  • 图 1  (a) Mg-MOF中Mg2+离子和配体L4-的配位环境; (b) Mg-MOF中的螺旋链结构; (c) Mg-MOF沿c轴方向的三维结构; (d) Mg-MOF的拓扑结构

    Figure 1  (a) Coordination environments of Mg2+ ions and ligand L4- in Mg-MOF; (b) Helical chain structure in Mg-MOF; (c) 3D structure of Mg-MOF viewed along the c-axis; (d) Topology structure of Mg-MOF

    Symmetry codes: #1:-x+1/2, y+1/2, -z+1/2; #2:-x+1, -y+2, -z+1; #3: x+1/2, -y+3/2, z-1/2.

    图 2  (a) 195 K下Mg-MOF对CO2的吸附-脱附等温线; (b) 273和298 K下Mg-MOF对CO2、CH4和CO的吸附-脱附等温线

    Figure 2  (a) Adsorption-desorption isotherm of Mg-MOF for CO2 at 195 K; (b) Adsorption-desorption isotherms of Mg-MOF for CO2, CH4, and CO at 273 and 298 K

    图 3  (a) Mg-MOF的吸附热拟合曲线; (b) Mg-MOF对CO2/CO和CO2/CH4双组分混合物的IAST吸附选择性

    Figure 3  (a) Fitting curves of adsorption heat of Mg-MOF; (b) IAST adsorption selectivity for CO2/CO and CO2/CH4 binary mixtures of Mg-MOF

    图 4  Mg-MOF的催化反应机理

    Figure 4  Mechanism of catalytic reaction in Mg-MOF

    表 1  Mg-MOF的晶体学数据

    Table 1.  Crystallographic data of Mg-MOF

    Chemical formula C28H41Mg2N5O14 Chemical formula C28H41Mg2N5O14
    Formula weight 720.28 Dc /(g·cm-3) 1.384
    T /K 296(2) μ /mm-1 0.142
    Crystal system Monoclinic F(000) 1 520
    Space group P21/n Reflection collected 18 345
    a /nm 1.399 88(15) Independent reflection 6 724
    b /nm 1.400 49(15) Rint 0.036 2
    c /nm 1.768 57(19) Goodness-of-fit of F2 1.024
    β /(°) 94.307(2) R1a, wR2b [I > 2σ] 0.061 1, 0.079 0
    V /nm3 3.457 5(6) R1a, wR2b (all data) 0.171 8, 0.191 2
    Z 4
    aR1=∑(||Fo|-|Fc||)/∑|Fo|; bwR2=[∑w(Fo2-Fc2)2/∑w(Fo2)2]1/2.
    下载: 导出CSV

    表 2  Mg-MOF的部分键长(nm)和键角(°)

    Table 2.  Selected bond lengths (nm) and angles (°) of Mg-MOF

    Mg1—O1 0.199 0(2) Mg1—O6#2 0.221 3(2) Mg1—O3#1 0.201 7(2)
    Mg1—O5#2 0.208 9(2) Mg1—O8#3 0.223 1(2) Mg1—O7#3 0.212 83(19)
    Mg2—O2 0.203 1(2) Mg2—O9 0.207 3(3) Mg2—O1W 0.207 6(2)
    Mg2—O2W 0.207 7(2) Mg2—O4#1 0.203 7(2) Mg2—O7#3 0.215 14(19)
    O1—Mg1—O3#1 93.70(9) O1—Mg1—O5#2 105.88(8) O1—Mg1—O7#3 101.67(8)
    O1—Mg1—O6#2 166.50(9) O1—Mg1—O8#3 91.76(9) O7#3—Mg1—O8#3 60.25(7)
    O3#1—Mg1—O5#2 100.55(9) O3#1—Mg1—O6#2 90.99(9) O3#1—Mg1—O7#3 98.73(8)
    O5#2—Mg1—O7#3 145.02(8) O3#1—Mg1—O8#3 158.96(8) O5#2—Mg1—O6#2 60.76(7)
    O5#2—Mg1—O8#3 97.45(8) O6#2—Mg1—O8#3 88.34(8) O7#3—Mg1—O6#2 90.09(8)
    O2W—Mg2—O7#3 90.90(9) O2—Mg2—O4#1 98.34(9) O2—Mg2—O9 87.37(10)
    O4#1—Mg2—O9 91.54(11) O2—Mg2—O1W 175.76(10) O4#1—Mg2—O1W 85.29(9)
    O9—Mg2—O1W 94.74(11) O2—Mg2—O2W 91.02(10) O4#1—Mg2—O2W 170.61(10)
    O9—Mg2—O2W 89.57(12) O1W—Mg2—O2W 85.33(10) O2—Mg2—O7#3 87.91(8)
    O4#1—Mg2—O7#3 88.77(8) O9—Mg2—O7#3 175.26(10) O1W—Mg2—O7#3 89.99(9)
    Symmetry codes: #1: -x+1/2, y+1/2, -z+1/2; #2: -x+1, -y+2, -z+1; #3: x+1/2, -y+3/2, z-1/2.
    下载: 导出CSV

    表 3  不同的环氧化合物在Mg-MOF催化下生成的各种环状碳酸酯

    Table 3.  Various cyclic carbonates formed by different epoxides under the catalysis of Mg-MOF*

    Entry Catalyst Epoxide Product Yield /%
    1 Mg-MOF 4.9
    2 TBAB 13.0
    3 Mg-MOF+TBAB 86.2
    4 Mg-MOF+TBAB 88.8
    5 Mg-MOF+TBAB 82.1
    6 Mg-MOF+TBAB 73.5
    7 Mg-MOF+TBAB 81.7
    8 Mg-MOF+TBAB 66.0
    *Reaction conditions: epoxides (20 mmol), Mg-MOF (0.1 mmol), CO2 (100 kPa), TBAB (0.4 mmol), 28 ℃, 6 h.
    下载: 导出CSV
  • 加载中
计量
  • PDF下载量:  0
  • 文章访问数:  104
  • HTML全文浏览量:  11
文章相关
  • 发布日期:  2025-12-10
  • 收稿日期:  2025-07-01
  • 修回日期:  2025-09-15
通讯作者: 陈斌, bchen63@163.com
  • 1. 

    沈阳化工大学材料科学与工程学院 沈阳 110142

  1. 本站搜索
  2. 百度学术搜索
  3. 万方数据库搜索
  4. CNKI搜索

/

返回文章