Metal-organic framework-templated construction of FeOOH@CoMoO4/nickel foam heterostructure for enhanced oxygen evolution reaction

Shaohua YANG Na'na GAO Yaqiong GONG

Citation:  Shaohua YANG, Na'na GAO, Yaqiong GONG. Metal-organic framework-templated construction of FeOOH@CoMoO4/nickel foam heterostructure for enhanced oxygen evolution reaction[J]. Chinese Journal of Inorganic Chemistry, 2025, 41(10): 2175-2185. doi: 10.11862/CJIC.20250218 shu

以金属有机骨架为模板构建FeOOH@CoMoO4/泡沫镍异质结构用于高效析氧反应

    通讯作者: 弓亚琼, gyq@nuc.edu.cn
  • 基金项目:

    国家自然科学基金 22271262

    先进炭基电极材料山西省重点实验室开放基金 202104010910019

摘要: 以沸石咪唑酯骨架-67(ZIF-67)为模板, 结合水热法与电沉积技术, 在泡沫镍(NF)表面成功构建了FeOOH@CoMoO4异质结构。所制备的FeOOH@CoMoO4/NF-400s具有显著的多孔性特征和较大的比表面积, 这使得其既能促进电子快速传输, 又可以通过暴露丰富的活性位点来增强催化反应效率。FeOOH的引入促进了电子从FeOOH到CoMoO4的定向转移, 表明二者之间存在强烈的电子相互作用, 从而显著加速了表面催化反应动力学过程。实验结果表明, FeOOH@CoMoO4/NF-400s展现出卓越的析氧反应(OER)活性: 在10 mA·cm-2的电流密度下, 过电位仅为199 mV, 塔菲尔斜率为49.56 mV·dec-1。此外, 在10和100 mA·cm-2的电流密度下, FeOOH@CoMoO4/NF-400s在20 h的稳定性测试中均表现出突出的耐久性。

English

  • Energy crises and environmental challenges have emerged as crucial issues, prompting the exploration of renewable resources as viable alternatives to the increasingly scarce fossil fuels[1-3]. Hydrogen (H2), regarded as a promising alternative, has garnered considerable research interest due to its zero-emission characteristics and high-energy density nature[4-6]. Electrochemical water splitting, which involves two half-cell reactions, presents a feasible method for generating H2[7-8]. Specifically, the oxygen evolution reaction (OER), characterized by a four-electron redox process and inherently sluggish kinetics, poses significant limitations[9-11].

    While RuO2 and IrO2 are acknowledged as activity-enhanced materials that can enhance OER reaction kinetics, their practical deployment on a broad scale is constrained by material scarcity and operational instability, particularly in large-scale industrial production[12-13]. Recently, transition metal catalysts have been proven to be ideal candidates for OER catalysts due to their prominent activity and high abundance [14-16]. CoMoO4, a bimetallic oxide characterized by strong redox behavior, is considered an alternative candidate for OER catalysts[17-18]. However, the relatively low conductivity, poor cycling life, and unremarkable catalytic activity compared to noble-metal-based catalysts remain major bottlenecks for its widespread application[19-20]. Metal-organic frameworks (MOFs) are ordered 3D porous crystal materials constructed from organic ligands coordinated with metal ions. Their numerous adjustable active sites, structural controllability, and excellent mechanical stability make them a remarkable presence in the field of electrocatalytic research, enabling enhanced ionic diffusion coupled with accelerated electron transfer during catalytic reaction[21-23]. Using MOFs as templates allows precise control of the porosity and structure of the resulting catalyst. Consequently, various transition metal-based catalysts have been fabricated by employing MOFs as precursors to possess their structural characteristics. Liu et al.[24] designed a/c-CoCu+Rux-LDH/NF for OER catalyst using CoCu-MOF as precursor and template, achieving the minimal overpotential of 214 mV at 10 mA·cm-2. Zeng et al.[25] prepared hollow multilayer heterogeneous material (CoFeP/CoFeP/NP-C) through a template sacrifice approach using MIL-88A, exhibiting outstanding OER catalytic activity with an overpotential of 272 mV at 10 mA·cm-2.

    Notably, zeolitic imidazolate framework-67 (ZIF-67), constructed by Co2+ and dimethylimidazole through coordination interactions with a specific morphology, superior chemical stability, and a porous architecture, has been explored to promote OER kinetic process[26-29]. Therefore, the conversion of Co2+ in ZIF-67 was utilized to fabricate CoMoO4, and the derived CoMoO4 began to generate on the template surface. The nanosheet array of the ZIF-67 template acted as a guide to assist its formation while maintaining the original structural integrity. The MOF-derived CoMoO4 exhibits advantages such as abundant electron diffusion channels, a remarkable specific surface area, and outstanding stability. To further optimize the catalytic activity, iron oxyhydroxide (FeOOH) was introduced as a secondary phase and coupled with MOF-derived CoMoO4 to regulate the absorption and desorption energies of intermediates, thus boosting catalytic reaction[30].

    Motivated by these findings, a novel heterostructure FeOOH@CoMoO4 composite (FeOOH@CoMoO4/NF-400s) was synthesized using MOFs as the sacrificial template and supported on nickel foam (NF). In this work, to synthesize FeOOH@CoMoO4/NF-400s, ZIF-67 nanosheet array not only served as the Co2+ source, but also functioned as the structural template to dictate its morphology. The specific structure of FeOOH@CoMoO4/NF-400s facilitated the exposure of maximized active site accessibility and enhanced electrolyte permeation, which promoted its OER performance.

    2-Methylimidazole (C4H6N2, 98%), cobalt nitrate hexahydrate (Co(NO3)2·6H2O, 99%), and ferric nitrate nonahydrate (Fe(NO3)3·9H2O, 99%) were purchased from Shanghai Macklin Biochemistry Co., Ltd (China). Hydrogen chloride (HCl, 37%), potassium hydroxide (KOH, ≥85%), iridium oxide (99.9% metal basis, Ir: ≥84.5%), Nafion solution (5%), and NF were obtained from Shanghai Hesen Co., Ltd (China). Ultrapure water was exclusively employed in all experimental procedures.

    The NF (3 cm×4 cm) underwent cleaning with 3 mol·L-1 HCl solution, ethanol, and deionized (DI) water for 10 min, respectively. Meanwhile, 18 mmol of 2-methylimidazole and 2 mmol of Co(NO3)2·6H2O were separately dissolved in 40 mL DI water. A piece of surface-treated NF was immersed in a 2-methylimidazole solution and ultrasonicated for 10 min. After that, the Co(NO3)2·6H2O solution was quickly poured into the C4H6N2 solution, and the NF underwent 4-hour immersion in the mixture solution under ambient conditions. Finally, the obtained ZIF-67/NF was rinsed with DI water and ethanol, and vacuum-dried at 60 ℃ overnight.

    The as-prepared ZIF-67/NF was placed in the mixed solution containing 0.05 mol·L-1 Co(NO3)2·6H2O and 0.05 mol·L-1 Na2MoO4·2H2O in a 20 mL Teflon-lined autoclave, which was sealed and heated at 120 ℃ for 4 h. The obtained sample was then annealed at 350 ℃ for 2 h under an air atmosphere to achieve CoMoO4/NF-120℃.

    In a three-electrode cell system, the CoMoO4/NF-120℃, Ag/AgCl, and platinum (Pt) were used as the working electrode, reference electrode, and counter electrode for electrodeposition, respectively. The CoMoO4/NF-120℃ was treated in the Fe(NO3)3·9H2O solution (30 mmol·L-1) at the constant potential of -1 V for 400 s.

    First, 10 mg of IrO2 was dispersed in 1 mL of a mixture containing 50 μL of Nafion solution and 950 μL of ethanol, followed by 30 min of ultrasonication. The catalyst ink, with a mass loading of 2 mg·cm-2, was dropped onto the NF substrate and then dried in air, resulting in the formation of IrO2/NF.

    The surface morphology and structure of the sample were analyzed using a scanning electron microscope (SEM, JEOL JSM-6700F, 15 kV) and transmission electron microscopy (TEM, JEOL 2100 FEF, 200 kV). X-ray diffraction (XRD) patterns were obtained with a Bruker AXS D8 Advance X-ray diffraction instrument using Cu Κα radiation (λ=0.154 056 nm) under the working voltage of 40 kV, the working current of 30 mA, and the scanning range of 20°-90° to analyse the crystallinity of catalysts. X-ray photoelectron spectroscopy (XPS) measurements were carried out on a Thermo Fisher ESCALAB 250XI X-ray photoelectron spectroscopy equipped with monochromatic X-ray generated by an Al (1 486.6 eV) source.

    The catalytic properties of the as-prepared catalysts were evaluated in a conventional three-electrode configuration setup on a CHI 760E electrochemical workstation. The product was served as a working electrode, with Hg/HgO as a reference electrode and a graphite rod as a counter electrode. The electrochemical tests were all conducted in 1 mol·L-1 KOH solution. Linear sweep voltammetry (LSV) curves were recorded in a potential gradient of 0-1 V at the scan rate of 2 mV·s-1. The potential (E′) related to the Hg/HgO electrode was converted into the potential (E) related to the reversible hydrogen electrode (RHE) via the Nernst equation (E=E′+0.098+0.059pH), and the polarization curve was corrected for ohmic drop with 90% iR compensation. Cyclic voltammetry (CV) curves of the materials were collected within the potential window of 0.1-0.2 V at 50 mV·s-1 to evaluate the double-layer capacitance (Cdl) values. Electrochemical impedance spectrum (EIS) was acquired with a frequency range from 10-2 to 105 Hz at 1.5 V (vs RHE).

    As illustrated in Fig.1, the growth of ZIF-67 nanosheet array was realized via leveraging the confinement induced by NF. Subsequently, the released Co2+ from ZIF-67 compacted coordination with MoO42- by the hydrothermal method to form ultra-thin nanosheet CoMoO4/NF-120℃. Following an electrodeposition treatment, the FeOOH@CoMoO4/NF-400s with a like-biscuits nanosheet structure composed of nanoparticles was successfully prepared.

    Figure 1

    Figure 1.  Schematic of the synthesis strategy of FeOOH@CoMoO4/NF-400s

    The uniform ZIF-67 nanosheet array (Fig.2a and 2b) with an average thickness of 340 nm (Fig.S2a, Supporting information) grew vertically on bare NF, where NF (Fig.S1a and S1b), possessing a 3D framework structure, served as substrate. The smooth-surface nanosheets enhanced the interfacial contact area between the catalyst and electrolyte. Following a hydrothermal reaction with an annealing step, ZIF-67 was decomposed to transform into CoMoO4, while maintaining the inherent 2D layered morphology of ZIF-67 (Fig.2c and 2d). Concurrently, tiny and ultrathin nano-sheets were regularly distributed on the surface of the ZIF-67 template, and the average thickness of CoMoO4 nanosheets and the ZIF-67 template after loading CoMoO4 were approximately 70 nm and 1.6 μm, respectively (Fig.S2b and S2c). The 2D CoMoO4 nanosheet features a large specific surface area, thereby providing ample exposed active sites for OER. The CoMoO4/NF-90℃ and CoMoO4/NF-150℃ catalysts with different hydrothermal temperatures of 90 and 150 ℃ were prepared, respectively, and the different morphologies are displayed in Fig.S3. CoMoO4/NF-90℃ in Fig.S3a and S3b showed a 2D crossover nanosheet structure like a beehive, retaining the backbone structure of ZIF-67. As a comparison, the CoMoO4/NF-150℃ formed a larger beehive-shaped nanosheet structure, which was wrapped around the entire ZIF-67 framework (Fig.S3c and S3d). After that, the electrodeposition of FeOOH onto the CoMoO4 surfaces resulted in a distinctive morphology, where CoMoO4 nanosheets were systematically encapsulated by FeOOH nanoparticles layer by layer in a hierarchical manner (Fig.2e and 2f). The ordered arrangement of FeOOH nanoparticles effectively mitigated the stacking of CoMoO4 nanosheets, ensuring exceptional long-term stability. For comparison, the SEM images of FeOOH@CoMoO4/NF-200s and FeOOH@CoMoO4/NF-600s prepared with different electrodeposition times of 200 and 400 s are illustrated in Fig.S4, respectively. FeOOH@CoMo4/NF-200s (Fig.S4a) exhibited nearly identical morphology to pristine CoMoO4, confirming insufficient electrodeposition of FeOOH nanoparticals within the short duration. Conversely, the FeOOH@CoMoO4/NF-600s (Fig.S4b) with extended electrodeposition time led to the aggregation of nanoparticles, which could reduce the specific surface area.

    Figure 2

    Figure 2.  SEM images of (a, b) ZIF-67/NF, (c, d) CoMoO4/NF-120℃, and (e, f) FeOOH@CoMoO4/NF-400s

    XRD patterns were acquired to determine the crystalline structure of FeOOH@CoMoO4/NF-400s. As displayed in Fig.S5, the XRD pattern of ZIF-67/NF exhibited obvious diffraction peaks at 10.26°, 12.74°, 14.97°, 16.40°, and 17.94°, which correspond to (002), (112), (022), (013), and (222) planes. To avoid interference from strong diffraction peaks of NF during XRD analysis, the FeOOH@CoMoO4 was collected by ultrasonically dispersing the FeOOH@CoMoO4/NF-400s in ethanol to collect FeOOH@CoMoO4 powder for XRD analysis. The diffraction peaks at 23.24°, 25.34°, 26.66°, 33.72°, and 53.35° belong to (021), (201), (002), (222), and (441) planes of the monoclinic CoMoO4 (PDF No.21-0868). The XRD pattern of electrodeposited FeOOH revealed a hexagonal crystal structure, with main peaks centered at 28.09°, 38.36°, 55.22°, 56.99°, and 56.20° attributed to (301), (303), (414), (315), and (522) planes of FeOOH (PDF No.22-0353). The electrodeposition process is facilitated by the reduction of NO3- to generate hydroxide ions, thus promoting the formation of FeOOH[31-32].

    $ \mathrm{NO}_3^{-}+7 \mathrm{H}_2 \mathrm{O}+8 \mathrm{e}^{-} \rightarrow \mathrm{NH}_4^{+}+10 \mathrm{OH}^{-}$

    (1)

    $ \mathrm{Fe}^{3+}+3 \mathrm{OH}^{-} \rightarrow \mathrm{FeOOH}+\mathrm{H}_2 \mathrm{O} $

    (2)

    Additionally, the residual NF with two peaks centered at 44.53° and 51.81° can be assigned to (111) and (200) planes of NF (PDF No.04-0850). The XRD analysis conclusively verified the precise synthesis of FeOOH@CoMoO4/NF-400s, and ZIF-67 was utilized via a template sacrifice approach and cobalt source for the fabrication of CoMoO4. The TEM image in Fig.3b demonstrated that the nanosheet structure of CoMoO4 consisted of FeOOH nanoparticles anchored on its surface. Furthermore, the generation of heterointerface between FeOOH and CoMoO4 marked by white dashed line was supported by the high-resolution TEM (HRTEM) image in Fig.3c. The lattice distances of 0.218 and 0.389 nm can be assigned to (411) plane of FeOOH (PDF No.22-0353) and (021) plane of CoMoO4 (PDF No.21-0868), respectively. Meanwhile, the selected area electron diffraction (SAED) image confirmed the yellow rings are corresponded to (422) and (222) planes of CoMoO4 (PDF No.21-0868), and the blue rings are attributed to (505) and (428) planes of FeOOH (PDF No.22-0353), which suggests the coexistence of CoMoO4 and FeOOH in FeOOH@CoMoO4/NF-400s (Fig.3d). The element mapping images in Fig.3e and energy dispersive X-ray spectrum (EDS) in Fig.S6 verified the presence of Co, Mo, Fe, O, and C elements, which were evenly dispersed on FeOOH@CoMoO4/NF-400s.

    Figure 3

    Figure 3.  (a) XRD pattern, (b) TEM image, (c) HRTEM image, (d) SAED pattern, and (e) EDS element mappings of FeOOH@CoMoO4/NF-400s

    XPS results in Fig.4 displayed the individual element chemical state of the as-prepared catalysts, and the C1s (284.80 eV) peak was used to correct all element spectra. As shown in the full XPS spectrum (Fig.S7), the C, Ni, Co, Mo, Fe, and O signals were detected on FeOOH@CoMoO4/NF-400s. The C1s spectra displayed three evident peaks, situated at 284.80, 286.31, and 288.60 eV, which were ascribed to C—C, C—O, and C=O bonds, respectively (Fig.S8). The Ni2p spectra of CoMoO4/NF-120℃ and FeOOH@CoMoO4/NF-400s are presented in Fig.S9. Four significant peaks were observed at the binding energy of 850-890 eV, which are attributed to the nickel source derived from NF participating in the hydrothermal reaction. In the Ni2p spectrum of FeOOH@CoMoO4/NF-400s, two main peaks of 856.05 and 874.00 eV are attributed to Ni2p3/2 and Ni2p1/2, revealing the existence of Ni2+. As for CoMoO4/NF-120℃, the Ni2+ peaks were located at 855.52 and 873.01 eV[33-34]. Therefore, the Ni element mainly existed in the form of Ni2+ doping into the catalyst. In Fig.4a, two main peaks located at 781.40 and 797.06 eV belong to Co2p3/2 and Co2p1/2 of Co2+ ions in CoMoO4/NF-120℃, while other peaks at 786.42 and 803.15 eV correspond to satellite peaks[35-36]. Compared to CoMoO4/NF-120℃, the binding energies at 780.90 eV (Co2p3/2) and 796.81 eV (Co2p1/2) of FeOOH@CoMoO4/NF-400s displayed a negative shift by 0.50 and 0.25 eV, indicating that the existence of Fe increased the electron cloud density around Co atoms. Additionally, another two main peaks at 779.98 and 795.20 eV were detected in FeOOH@CoMoO4/NF-400s, which were indicative of the appearance of Co3+ after electrodepositing FeOOH[37], attributing to the oxidation of Co exposed on the surface of FeOOH@CoMoO4/NF-400s[38]. The Mo3d spectra in Fig.4b of CoMoO4/NF-120℃ were deconvoluted into two peaks at 232.49 (Mo3d5/2) and 235.61 eV (Mo3d1/2), and their difference in binding energy was 3.12 eV, suggesting the presence of Mo6+ ions[39-41]. For FeOOH@CoMoO4/NF-400s, the peaks at 232.03 (Mo3d5/2) and 235.15 eV (Mo3d1/2) were all negatively shifted by 0.46 eV, signifying that Fe tailored the electronic structure of CoMoO4, promoting electron delocalization toward Co. Interestingly, two new peaks at 233.39 and 236.48 eV of FeOOH@CoMoO4/NF-400s are corresponded to Mo5+, indicating that Fe would promote the formation of lower oxidation state of Mo (Mo5+)[42-43]. Additionally, partial reduction of Mo6+ to Mo5+ is driven by a charge compensation effect, maintaining electroneutrality when Co2+ was oxidized to Co3+ during the electrodeposition process. The negative shift of FeOOH@CoMoO4/NF-400s in Co2p and Mo3d XPS spectra revealed the electronic transfer from FeOOH to CoMoO4, indicating a strong electronic coupling between CoMoO4 and FeOOH that modulated the electrocatalytic activity. For Fe2p spectra (Fig.4c), the observed peaks at 711.21 and 724.98 eV are assigned to Fe2p3/2 and Fe2p1/2, respectively, verifying the presence of Fe3+ formed in FeOOH[44]. Four additional peaks at 713.85, 719.32, 728.86, and 733.74 eV are ascribed to shakeup satellite peaks[45]. The deconvoluted O1s XPS spectrum is presented in Fig.4d, and three constituents centered at 530.10, 530.84, and 532.28 eV are assigned to M—O (M=Co, Mo, and Fe), M—O—H, and H2O, respectively[46-47].

    Figure 4

    Figure 4.  XPS spectra of (a) Co2p, (b) Mo3d, (c) Fe2p, and (d) O1s of the samples

    To explore the OER catalytic performance, the as-synthesized catalysts were appraised in 1 mol·L-1 KOH electrolyte. The LSV curves with iR compensation of 90% were recorded in Fig.5a. FeOOH@CoMoO4/NF-400s exhibited exceptional OER performance, requiring merely 199 mV of overpotential to drive the current density of 10 mA·cm-2, which was notably lower than CoMoO4/NF-120℃ (223 mV), ZIF-67/NF (252 mV), NF (409 mV), and IrO2/NF (227 mV), demonstrating its promising catalytic activity. Importantly, the OER performance FeOOH@CoMoO4/NF-400s is superior to most advanced CoMoO4 catalysts (Table S4). An intuitive comparison of the overpotentials for different catalysts at specific current density was displayed in Fig.5b. The LSV curves of CoMoO4/NF-90℃, CoMoO4/NF-120℃, and CoMoO4/NF-150℃ were displayed in Fig.S10, and their overpotentials were 229, 223, and 246 mV at 10 mA·cm-2, further revealing the excellent OER performance of CoMoO4/NF-120℃. FeOOH@CoMoO4/NF-200s, FeOOH@CoMoO4/NF-400s, and FeOOH@CoMoO4/NF-600s catalysts were fabricated by controlling the electrodeposition time, and the corresponding LSV curves are presented in Fig.S11, suggesting that the electrodeposition time of 400 s was the optimal choice. The mass loading of the active substance on NF for FeOOH@CoMoO4/NF-200s, FeOOH@CoMoO4/NF-400s, FeOOH@CoMoO4/NF-600s, CoMoO4/NF-120℃, and ZIF-67/NF were 18.5, 26.9, 32.1, 17.1, and 14.4 mg·cm-2, respectively (Table S1). To probe the fundamental reaction kinetics of all catalysts, the measured Tafel plots are depicted in Fig.5c. The FeOOH@CoMoO4/NF-400s offered a Tafel slope value of 49.56 mV·dec-1, outperforming the controlled counterparts containing CoMoO4/NF-120℃ (60.86 mV·dec-1), ZIF-67/NF (67.62 mV·dec-1), NF (137.15 mV·dec-1), and IrO2/NF (84.89 mV·dec-1), demonstrating its beneficial kinetics towards OER.

    Figure 5

    Figure 5.  (a) LSV curves, (b) overpotentials at different current densities, and (c) Tafel plots of the samples

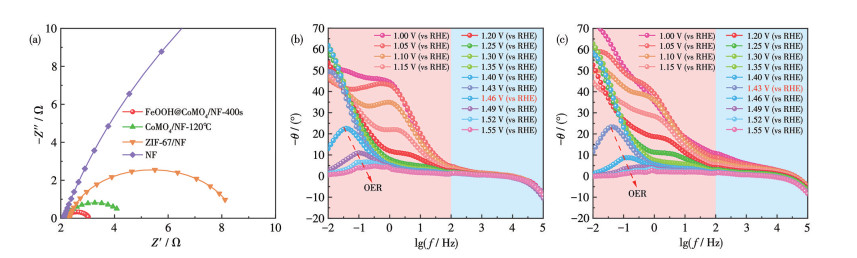
    Compared to other samples, the fitted Nyquist plots in Fig.6a revealed the smallest semicircle diameter of FeOOH@CoMoO4/NF-400s, suggesting the lowest charge conversion resistance (Rct) value (Table S2). The favorable Rct value of FeOOH@CoMoO4/NF-400s further confirms its superior charge transfer by remarkably minimizing the electron transfer barrier. Bode plots of CoMoO4/NF-120℃ and FeOOH@CoMoO4/NF-400s under different potentials were shown in Fig.6b and 6c, which could reveal the charge transfer signals at two areas. The high-frequency phase shift ranging from 102 to 105 Hz indicated the electrocatalytic oxidation[48-49]. Obviously, the phase angle in the low-frequency range of 10-2 to 102 Hz decreased rapidly, representing the OER process. Compared to CoMoO4/NF-120℃ [1.46 V (vs RHE)], FeOOH@CoMoO4/NF-400s exhibited a lower applied potential [1.43 V (vs RHE)] for promoting OER, confirming its enhanced OER activity.

    Figure 6

    Figure 6.  (a) Nyquist plots of the samples at 1.50 V (vs RHE), Bode plots at various potentials of (b) CoMoO4/NF-120℃ and (c) FeOOH@CoMoO4/NF-400s

    CV curves in Fig.S12 were performed in a non-faradic region, and the corresponding Cdl curves in Fig.7a were fitted to calculate the electrochemical specific surface area (ECSA) values of catalysts (Table S3). The Cdl values of designed ZIF-67/NF and CoMoO4/NF-120℃ were 68.04 and 82.21 mF·cm-2, and that of FeOOH@CoMoO4/NF-400s was increased to 136.49 mF·cm-2, indicating the most abundant active sites for FeOOH@CoMoO4/NF-400s. Moreover, the ECSA-normalized LSV curves in Fig.S13 confirmed that the overpotential of FeOOH@CoMoO4/NF-400s was the lowest compared to other catalysts under a given current density. In Fig.7b, FeOOH@CoMoO4/NF-400s demonstrated superior catalytic performance than other samples from multiple perspectives. Additionally, turnover frequency (TOF) value (Fig.S14) of FeOOH@CoMoO4/NF-400s was calculated to be 0.898 s-1 at an overpotential of 300 mV, which exhibited significant improvement relative to CoMoO4/NF-120℃ (0.411 s-1) and ZIF-67/NF (0.368 s-1), suggesting the electrodeposition of FeOOH could elevate the intrinsic OER performance. The accelerated degradation test (ADT) of FeOOH@CoMoO4/NF-400s was conducted at a scan rate of 100 mV·s-1, and the LSV curves were almost overlapped before and after 1 000 cycles, revealing its exceptional stability (Fig.S15). In addition, the chronoamperometric tests under the current densities of 10 and 100 mA·cm-2 were performed in Fig.7c, and FeOOH@CoMoO4/NF-400s also exhibited insignificant attenuation even after 20 h, further confirming its outstanding OER stability.

    Figure 7

    Figure 7.  (a) Cdl curves and (b) performance comparison radar chart of the samples; (c) 20 h chronoamperometric curves of FeOOH@CoMoO4/NF-400s

    In b: η10 and η100 were the overpotentials at 10 and 100 mA·cm-2, respectively.

    The chemical component and morphology of FeOOH@CoMoO4/NF-400s after durability testing are characterized in Fig.S16 and S17. The XRD pattern of FeOOH@CoMoO4/NF-400s after stability is shown in Fig.S16. The corresponding diffraction peaks of FeOOH@CoMoO4/NF-400s post-OER could still be captured, but the intensity was decreased. The SEM image in Fig.S17 demonstrated that the original architectural features were basically maintained, while the FeOOH nanoparticles were partially dissolved after long-time stability, consistent with the XRD results.

    Overall, the superior OER activity of FeOOH@CoMoO4/NF-400s primarily originates from three key determinants: (1) the ZIF-67 template, featuring a well-defined MOF structure, provides a high specific surface area and efficient mass transport channels, which were preserved during the conversion into CoMoO4 nanosheets and subsequent deposition of FeOOH nanoparticles[50-51]; (2) the robust electronic coupling between FeOOH and CoMoO4 accelerated interfacial electron transfer[52]; (3) employing 3D NF as a substrate for MOF growth effectively addressed the critical challenge of their low electrical conductivity.

    The MOF-derived FeOOH@CoMoO4/NF-400s was successfully fabricated via a template sacrifice approach functioning as an exceptional catalyst for OER, which could realize the simultaneous breakthroughs in efficiency and durability. Accordingly, the as-prepared FeOOH@CoMoO4/NF-400s displayed an ultralow overpotential of 199 mV at 10 mA·cm-2, along with robust stability over 20 h at current densities of both 10 and 100 mA·cm-2. Composed of a nanosheet and nanoparticle structure, the FeOOH@CoMoO4/NF-400s retained the characteristic morphology of layered ZIF-67, which manifested a high specific surface area, resulting in substantial exposure of active sites. Moreover, the strong electronic interaction between FeOOH and CoMoO4 could facilitate interfacial charge transfer. This research offers guidance and innovative concepts for the strategic application of MOF-derived OER catalysts, thereby promoting large-scale hydrogen production.


    Acknowledgements: This work was funded by the National Natural Science Foundation of China (Grant No.22271262) and the Opening Foundation of Shanxi Provincial Key Laboratory of Advanced Carbon Electrode Materials (Grant No.202104010910019). Supporting information is available at http://www.wjhxxb.cn
    1. [1]

      SU H, JIANG J, LI N, GAO Y Q, GE L. NiCu alloys anchored defect-rich NiFe layered double-hydroxides as efficient electrocatalysts for overall water splitting[J]. Chem. Eng. J., 2022, 446: 137226 doi: 10.1016/j.cej.2022.137226

    2. [2]

      RADWAN A, JIN H H, LIU B S, CHEN Z B, WU Q, ZHAO X, HE D P, MU S C. 3D-ZIF scaffold derived carbon encapsulated iron nitride as a synergistic catalyst for ORR and zinc-air battery cathodes[J]. Carbon, 2021, 171: 368-375 doi: 10.1016/j.carbon.2020.09.024

    3. [3]

      WANG D K, HUAI X Y, ABDUKADER A, UMAR A, WU X. Highly active and durable NiCoP electrocatalyst through Ga ion intercalation strategy for long-lasting water electrolysis[J]. Appl. Surf. Sci., 2024, 660: 159972 doi: 10.1016/j.apsusc.2024.159972

    4. [4]

      YANG M S, DING J Y, WANG Z W, ZHANG J W, PENG Z M, LIU X J. NiMo-based alloy and its sulfides for energy-saving hydrogen production via sulfion oxidation assisted alkaline seawater splitting[J]. Chin. Chem. Lett., 2025, 36(9): 110861 doi: 10.1016/j.cclet.2025.110861

    5. [5]

      LIU Y D, LI L, WANG L, LI N, ZHAO X X, CHEN Y, SAKTHIVEL T, DAI Z F. Janus electronic state of supported iridium nanoclusters for sustainable alkaline water electrolysis[J]. Nat. Commun., 2024, 15(1): 2851 doi: 10.1038/s41467-024-47045-6

    6. [6]

      ZHENG Y W, CHEN B, YE P, FENG K, WANG W G, MENG Q Y, WU L Z, TUNG C H. Photocatalytic hydrogen-evolution cross-couplings: Benzene C—H amination and hydroxylation[J]. J. Am. Chem. Soc., 2016, 138: 10080-10083 doi: 10.1021/jacs.6b05498

    7. [7]

      YIN R L, WANG Z W, ZHANG J, LIU W X, HE J, HU G Z, LIU X J. Tunable NiSe-Ni3Se2 heterojunction for energy-efficient hydrogen production by coupling urea degradation[J]. Small Methods, 2025, 9(7): 2401976 doi: 10.1002/smtd.202401976

    8. [8]

      KANG W J, FENG Y, LI Z, YANG W Q, CHENG C Q, SHI Z Z, YIN P F, SHEN G R, YANG J, DONG C K, LIU H, YE F X, DU X W. Strain-activated copper catalyst for pH-universal hydrogen evolution reaction[J]. Adv. Funct. Mater., 2022, 32(18): 2112367 doi: 10.1002/adfm.202112367

    9. [9]

      WANG M D, LIU X Y, WU X. Realizing efficient electrochemical overall water electrolysis through hierarchical CoP@NiCo-LDH nanohybrids[J]. Nano Energy, 2023, 114: 108681 doi: 10.1016/j.nanoen.2023.108681

    10. [10]

      ZHOU Y S, WANG Z T, CUI M G, WU H Y, LIU Y J, OU Q R, TIAN X L, ZHANG S Y. NiFe-based electrocatalysts for alkaline oxygen evolution: Challenges, strategies, and advances toward industrial-scale deployment[J]. Adv. Funct. Mater., 2024, 34(52): 2410618 doi: 10.1002/adfm.202410618

    11. [11]

      ZHANG L, ZHU Y X, NIE Z C, LI Z Y, YE Y, LI L H, HONG J, BI Z H, ZHOU Y T, HU G Z. Co/MoC nanoparticles embedded in carbon nanoboxes as robust trifunctional electrocatalysts for a Zn-air battery and water electrocatalysis[J]. ACS Nano, 2021, 15(8): 13399-13414 doi: 10.1021/acsnano.1c03766

    12. [12]

      DENG Y P, JIANG Y, LIANG R L, CHEN N, CHEN W W, YIN Z W, KING G, SU D, WANG X, CHEN Z W. Reconstructing 3d-metal electrocatalysts through anionic evolution in zinc-air batteries[J]. J. Am. Chem. Soc., 2023, 145(37): 20248-20260 doi: 10.1021/jacs.3c03214

    13. [13]

      SULTAN S, TIWARI J N, SINGH A N, ZHUMAGALI S, HA M, MYUNG C W, THANGAVEL P, KIM K S. Single atoms and clusters based nanomaterials for hydrogen evolution, oxygen evolution reactions, and full water splitting[J]. Adv. Energy Mater., 2019, 9(22): 1900624 doi: 10.1002/aenm.201900624

    14. [14]

      GONG C, ZHAO L, LI D M, HE X, CHEN H, DU X, WANG D H, FANG W, ZENG X H, LI W X. In-situ interfacial engineering of Co(OH)2/Fe7Se8 nanosheets to boost electrocatalytic water splitting[J]. Chem. Eng. J., 2023, 466: 143124 doi: 10.1016/j.cej.2023.143124

    15. [15]

      KARMAKAR A, KARTHICK K, SANKAR S S, KUMARAVEL S, RAGUNATH M, KUNDU S. Oxygen vacancy enriched NiMoO4 nanorods via microwave heating: A promising highly stable electrocatalyst for total water splitting[J]. J. Mater. Chem. A, 2021, 9(19): 11691-11704 doi: 10.1039/D1TA02165F

    16. [16]

      GUO T T, CHEN L Y, LI Y W, SHEN K. Controllable synthesis of ultrathin defect-rich LDH nanoarrays coupled with MOF-derived Co-NC microarrays for efficient overall water splitting[J]. Small, 2022, 18(29): 2107739 doi: 10.1002/smll.202107739

    17. [17]

      HUANG H F, WEI X C, WEI G, YAN F X, YAN L Q, HAN Y, XU S K, LIANG X Q, ZHOU W Z, GUO J. Construction of vertically aligned Ni-Co-Mo hybrid oxides nanosheet array for high-performance hybrid supercapacitors[J]. J. Alloy. Compd., 2022, 899: 163267 doi: 10.1016/j.jallcom.2021.163267

    18. [18]

      GUO Y H, LIU X L, LI Y, MA F H, ZHANG Q Q, WANG Z Y, LIU Y Y, ZHENG Z K, CHENG H F, HUANG B B, DAI Y, WANG P. Anion-modulation in CoMoO4 electrocatalyst for urea-assisted energy-saving hydrogen production[J]. Int. J. Hydrog. Energy, 2022, 47(78): 33167-33176 doi: 10.1016/j.ijhydene.2022.07.219

    19. [19]

      XU Y, XIE L J, LI D, YANG R, JIANG D L, CHEN M. Engineering Ni(OH)2 nanosheet on CoMoO4 nanoplate array as efficient electrocatalyst for oxygen evolution reaction[J]. ACS Sustain. Chem. Eng., 2018, 6(12): 16086-16095 doi: 10.1021/acssuschemeng.8b02663

    20. [20]

      GAO Z Y, CHEN C, CHANG J L, CHEN L M, WANG P Y, WU D P, XU F, JIANG K. Porous Co3S4@Ni3S4 heterostructure arrays electrode with vertical electrons and ions channels for efficient hybrid supercapacitor[J]. Chem. Eng. J., 2018, 343: 572-582 doi: 10.1016/j.cej.2018.03.042

    21. [21]

      ZHANG W D, HU Q T, WANG L L, GAO J, ZHU H Y, YAN X D, GU Z G. In-situ generated Ni-MOF/LDH heterostructures with abundant phase interfaces for enhanced oxygen evolution reaction[J]. Appl. Catal. B‒Environ., 2021, 286: 119906 doi: 10.1016/j.apcatb.2021.119906

    22. [22]

      XU G, XU G C, BAN J J, ZHANG L, LIN H, QI C L, SUN Z P, JIA D Z. Cobalt and cobalt oxides N-codoped porous carbon derived from metal-organic framework as bifunctional catalyst for oxygen reduction and oxygen evolution reactions[J]. J. Colloid Interface Sci., 2018, 521: 141-149 doi: 10.1016/j.jcis.2018.03.036

    23. [23]

      LU X F, FANG Y J, LUAN D Y, LOU X W. Metal-organic frameworks derived functional materials for electrochemical energy storage and conversion: A mini review[J]. Nano Lett., 2021, 21(4): 1555-1565

    24. [24]

      WANG Y A, JING L, JIANG W, WU Y Y, LIU B, SUN Y T, CHU X Y, LIU C B. Rich oxygen vacancy and amorphous/crystalline ruthenium-doped CoCu-layered double hydroxide electrocatalysts for enhanced oxygen evolution reactions[J]. J. Colloid Interface Sci., 2024, 671: 283-293

    25. [25]

      ZHANG H Q, ZHANG Q Q, ZENG X J. Construction of multiple heterogeneous interfaces and oxygen evolution reaction of hollow CoFe bimetallic phosphides derived from MOF template[J]. Prog. Nat. Sci. Mater. Int., 2024, 34(5): 913-920 doi: 10.1016/j.pnsc.2024.09.001

    26. [26]

      LI J T, GADIPELLI S. Synthesis and optimization of zeolitic imidazolate frameworks for the oxygen evolution reaction[J]. Chem. Eur. J., 2020, 26(62): 14167-14172

    27. [27]

      ZHU R M, DING J W, YANG J P, PANG H, XU Q, ZHANG D L, BRAUNSTEIN P. Quasi-ZIF-67 for boosted oxygen evolution reaction catalytic activity via a low temperature calcination[J]. ACS Appl. Mater. Interfaces, 2020, 12(22): 25037-25041

    28. [28]

      LU X F, XIA B Y, ZANG S Q, LOU X W. Metal-organic frameworks based electrocatalysts for the oxygen reduction reaction[J]. Angew. Chem.‒Int. Ed., 2019, 59(12): 4634-4650

    29. [29]

      GU X C, LIU Z, LIU H, PEI C G, FENG L G. Fluorination of ZIF-67 framework templated prussian blue analogue nano-box for efficient electrochemical oxygen evolution reaction[J]. Chem. Eng. J., 2021, 403: 12637

    30. [30]

      LI F, DU J, LI X N, SHEN J Y, WANG Y, ZHU Y, SUN L C. Integration of FeOOH and zeolitic imidazolate framework-derived nanoporous carbon as an efficient electrocatalyst for water oxidation[J]. Adv. Energy Mater., 2018, 8(10): 1702598 doi: 10.1002/aenm.201702598

    31. [31]

      YIN X L, CAI R, DAI XP, NIE F, GAN Y H, YE Y, REN Z T, LIU Y J, WU B Q, CAO Y H, ZHANG X. Electronic modulation and surface reconstruction of cactus-like CoB2O4@FeOOH heterojunctions for synergistically triggering oxygen evolution reactions[J]. J. Mater. Chem. A, 2022, 10(21): 11386-11393 doi: 10.1039/D2TA01929A

    32. [32]

      WANG Y C, GU Y, LI H M, YE M X, QIN W X, ZHANG H M, WANG G Z, ZHANG Y X, ZHAO H J. Electrodeposition of hierarchically amorphous FeOOH nanosheets on carbonized bamboo as an efficient filter membrane for As(Ⅲ) removal[J]. Chem. Eng. J., 2020, 392: 123773 doi: 10.1016/j.cej.2019.123773

    33. [33]

      ZHANG H W, LIU S X, HU E L, YANG Y F, ZHANG H M, ZHU Y T, YAN L J, GAO X H, ZHANG J, LIN Z. Iron-doped Ag/Ni2(CO3)(OH)2 hierarchical microtubes for highly efficient water oxidation[J]. Carbon Energy, 2022, 4(5): 939-949 doi: 10.1002/cey2.210

    34. [34]

      QIAO X S, KANG H J, LI Y, CUI K, JIA X, WU X H, QIN W. Novel FeNi-based nanowires network catalyst involving hydrophilic channel for oxygen evolution reaction[J]. Small, 2022, 18(10): 2106378 doi: 10.1002/smll.202106378

    35. [35]

      GAO P, ZENG Y, TANG P, WANG Z X, YANG J F, HU A P, LIU J L. Understanding the synergistic effects and structural evolution of Co(OH)2 and Co3O4 toward boosting electrochemical charge storage[J]. Adv. Funct. Mater., 2021, 32(6): 2108644

    36. [36]

      WEI X C, CAI M, YUAN F L, LI C, HUANG H F, XU S K, LIANG X Q, ZHOU W Z, GUO J. Construction of CoMoO4 nanosheets arrays modified by Ti3C2Tx MXene and their enhanced charge storage performance for hybrid supercapacitor[J]. Colloid. Surf. A‒ Physicochem. Eng. Asp., 2023, 658: 130637 doi: 10.1016/j.colsurfa.2022.130637

    37. [37]

      CHEN Y X, JING C, FU X, SHEN M, LI K L, LIU X Y, YAO H C, ZHANG Y X, YAO K X. Synthesis of porous NiCoS nanosheets with Al leaching on ordered mesoporous carbon for high-performance supercapacitors[J]. Chem. Eng. J., 2020, 384: 123367 doi: 10.1016/j.cej.2019.123367

    38. [38]

      LI C Z, YANG X L, KOU Y N, SONG H Y, LI X W, WU C Y, FANG T, GOU J M, MA J P, GUAN X L, TONG J H. Low-level Fe doping in CoMoO4 enhances surface reconstruction and electronic modulation creating an outstanding OER electrocatalyst for water splitting[J]. Inorg. Chem., 2025, 64(5): 2508-2517 doi: 10.1021/acs.inorgchem.4c05100

    39. [39]

      ZHANG T, ZHAO H F, WANG K Y, CHEN Z J, LI L, PENG J, PENG X, HUANG Y J, YU H B. Three factors make bulk high-entropy alloys as effective electrocatalysts for oxygen evolution[J]. Mater. Futures, 2023, 2(4): 045101 doi: 10.1088/2752-5724/aceef3

    40. [40]

      HUANG J W, SUN Y H, ZHANG Y D, ZOU G F, YAN C Y, CONG S, LEI T Y, DAI X, GUO J, LU R F, LI Y R, XIONG J. A new member of electrocatalysts based on nickel metaphosphate nanocrystals for efficient water oxidation[J]. Adv. Mater., 2017, 30(5): 1705045

    41. [41]

      YANG M, ZHANG S L, WANG T, SHI B B, LIU J Y, TANG Y L, XU Z L, SARWAR M T, TANG A D, YANG H M. Multiple interface Ni(PO3)2-CoP4/CoMoO4 nanorods for highly efficient hydrogen evolution in alkaline water/seawater electrolysis[J]. ACS Sustain. Chem. Eng., 2022, 10(37): 12423-12432 doi: 10.1021/acssuschemeng.2c04034

    42. [42]

      XIE W W, HUANG J H, HUANG L T, GENG S P, SONG S Q, TSIAKARAS P, WANG Y. Novel fluorine-doped cobalt molybdate nanosheets with enriched oxygen-vacancies for improved oxygen evolution reaction activity[J]. Appl. Catal. B‒Environ., 2022, 303: 120871 doi: 10.1016/j.apcatb.2021.120871

    43. [43]

      VASILOPOULOU M, DOUVAS A M, GEORGIADOU D G, PALILIS L C, KENNOU S, SYGELLOU L, SOULTATI A, KOSTIS I, PAPADIMITROPOULOS G, DAVAZOGLOU D, ARGITIS P. The Influence of hydrogenation and oxygen vacancies on molybdenum oxides work function and gap states for application in organic optoelectronics[J]. J. Am. Chem. Soc., 2012, 134(39): 16178-16187 doi: 10.1021/ja3026906

    44. [44]

      HUANG C Q, ZHOU Q C, DUAN D S, YU L, ZHANG W, WANG Z Z, LIU J, PENG B W, AN P F, ZHANG J, LI L P, YU J G, YU Y. The rapid self-reconstruction of Fe-modified Ni hydroxysulfide for efficient and stable large-current-density water/seawater oxidation[J]. Energy Environ. Sci., 2022, 15(11): 4647-4658 doi: 10.1039/D2EE01478E

    45. [45]

      ZHANG Y, TENG X A, MA Z Q, WANG R M, LAU W M, SHAN A X. Synthesis of FeOOH scaly hollow tubes based on Cu2O wire templates toward high-efficiency oxygen evolution reaction[J]. Rare Met., 2023, 42(6): 1836-1846 doi: 10.1007/s12598-023-02284-2

    46. [46]

      QIAO W, DING P, PAN J, YAN S M, WANG D H, XU X Y. Thermal-driven coordination adaption of metal sites in layered double hydroxides towards high-performance water oxidation[J]. Mater. Today Commun., 2021, 29: 102836 doi: 10.1016/j.mtcomm.2021.102836

    47. [47]

      LI R C, GUO Y G, CHEN H X, WANG K, TAN R T, LONG B, TONG Y X, TSIAKARAS P, SONG S Q, WANG Y. Anion-cation double doped Co3O4 microtube architecture to promote high-valence Co species formation for enhanced oxygen evolution reaction[J]. ACS Sustain. Chem. Eng., 2019, 7(13): 11901-11910 doi: 10.1021/acssuschemeng.9b02558

    48. [48]

      LIANG Z J, SHEN D, WEI Y, SUN F F, XIE Y, WANG L, FU H G. Modulating the electronic structure of cobalt-vanadium bimetal catalysts for high-stable anion exchange membrane water electrolyzer[J]. Adv. Mater., 2024, 36(41): 2408634 doi: 10.1002/adma.202408634

    49. [49]

      WEI K, LIU Z P, FENG G Y, WANG Y Z, ZHANG S F, LI X J, ZHANG M, LI H E, ZHOU J S, LEI S B, GAO F M. Molecular nanojunction catalyst for oxygen evolution reaction[J]. Adv. Energy Mater., 2025, 15: 2405366 doi: 10.1002/aenm.202405366

    50. [50]

      CHENG NY, REN L, XU X, DU Y, DOU S X. Recent development of zeolitic imidazolate frameworks (ZIFs) derived porous carbon based materials as electrocatalysts[J]. Adv. Energy Mater., 2018, 8(25): 1801257 doi: 10.1002/aenm.201801257

    51. [51]

      JAYARAMULU K, MASA J, MORALES D M, TOMANEC O, RANC V, PETR M, WILDE P, CHEN Y T, ZBORIL R, SCHUHMANN W, FISCHER R A. Ultrathin 2D cobalt zeolite-imidazole framework nanosheets for electrocatalytic oxygen evolution[J]. Adv. Sci., 2018, 5(11): 1801029 doi: 10.1002/advs.201801029

    52. [52]

      WANG T T, WANG P Y, ZANG W J, LI X, CHEN D, KOU Z K, MU S C, WANG J. Nanoframes of Co3O4-Mo2N heterointerfaces enable high-performance bifunctionality toward both electrocatalytic HER and OER[J]. Adv. Funct. Mater., 2021, 32(7): 2107382

  • Figure 1  Schematic of the synthesis strategy of FeOOH@CoMoO4/NF-400s

    Figure 2  SEM images of (a, b) ZIF-67/NF, (c, d) CoMoO4/NF-120℃, and (e, f) FeOOH@CoMoO4/NF-400s

    Figure 3  (a) XRD pattern, (b) TEM image, (c) HRTEM image, (d) SAED pattern, and (e) EDS element mappings of FeOOH@CoMoO4/NF-400s

    Figure 4  XPS spectra of (a) Co2p, (b) Mo3d, (c) Fe2p, and (d) O1s of the samples

    Figure 5  (a) LSV curves, (b) overpotentials at different current densities, and (c) Tafel plots of the samples

    Figure 6  (a) Nyquist plots of the samples at 1.50 V (vs RHE), Bode plots at various potentials of (b) CoMoO4/NF-120℃ and (c) FeOOH@CoMoO4/NF-400s

    Figure 7  (a) Cdl curves and (b) performance comparison radar chart of the samples; (c) 20 h chronoamperometric curves of FeOOH@CoMoO4/NF-400s

    In b: η10 and η100 were the overpotentials at 10 and 100 mA·cm-2, respectively.

  • 加载中
计量
  • PDF下载量:  1
  • 文章访问数:  77
  • HTML全文浏览量:  10
文章相关
  • 发布日期:  2025-10-10
  • 收稿日期:  2025-06-29
  • 修回日期:  2025-09-02
通讯作者: 陈斌, bchen63@163.com
  • 1. 

    沈阳化工大学材料科学与工程学院 沈阳 110142

  1. 本站搜索
  2. 百度学术搜索
  3. 万方数据库搜索
  4. CNKI搜索

/

返回文章