碳量子点修饰的氯氧铋/硅藻土复合材料可见光降解环丙沙星的机理

贾泽慧 文斌 张舒婷 赵正亮 韩红斐 王春涛 樊彩梅

引用本文: 贾泽慧, 文斌, 张舒婷, 赵正亮, 韩红斐, 王春涛, 樊彩梅. 碳量子点修饰的氯氧铋/硅藻土复合材料可见光降解环丙沙星的机理[J]. 无机化学学报, 2026, 42(2): 317-330. doi: 10.11862/CJIC.20250199 shu
Citation:  Zehui JIA, Bin WEN, Shuting ZHANG, Zhengliang ZHAO, Hongfei HAN, Chuntao WANG, Caimei FAN. Mechanism of carbon quantum dots-modified BiOCl/diatomite composites for ciprofloxacin degradation under visible light irradiation[J]. Chinese Journal of Inorganic Chemistry, 2026, 42(2): 317-330. doi: 10.11862/CJIC.20250199 shu

碳量子点修饰的氯氧铋/硅藻土复合材料可见光降解环丙沙星的机理

    通讯作者: 王春涛, E-mail:tsyj1992@126.com; 樊彩梅, E-mail:fancm@163.com
  • 基金项目:

    国家自然科学基金 21978187

    山西省自然科学基金青年项目 202103021223330

    山西省自然科学基金青年项目 202203021222252

    山西省高校科技创新项目 2021L440

    山西省高校科技创新项目 2024L293

摘要: 为提升氯氧铋/硅藻土(BiOCl/D)的可见光催化性能,引入了碳量子点(CQDs),以温和水解法成功构建了CQDs/BiOCl/D三元复合体系,并研究了其在可见光下对水中抗生素环丙沙星(CIP)的光降解性能。结果表明,当CQDs加入量为催化剂总质量的3%时,所制备的3%CQDs/BiOCl/D在90 min可见光照射后,对CIP的降解率为90.1%,同时发现在80 min照射后,CIP的抑菌活性可消除。捕获剂实验和电子顺磁共振(EPR)结果证实,3%CQDs/BiOCl/D光降解反应中主要活性物种为空穴(h+)、羟基自由基(·OH)和超氧自由基(·O2-)。通过超高效液相色谱-质谱联用(UPLC-MS/MS)数据确认了CIP降解过程的中间产物并推测其降解路径。CQDs的上转换荧光性能、催化剂的稳态和瞬态荧光光谱及其相应的光电化学测试证明,3%CQDs/BiOCl/D光催化性能提升归功于CQDs的上转换作用、电子接收性能、转移性能和光热效应以及CQDs、硅藻土与BiOCl之间的协同作用。

English

  • 随着经济的快速发展,环境污染尤其是水体污染问题凸显,水中残留的各类有机物,如药品和个人护理用品、激素、杀虫剂等,已经成为环境生物领域关注的热点[1-3]。环丙沙星(CIP)是一种用于治疗细菌感染的第三代氟喹诺酮类抗生素,因在生物体内无法完全代谢而随排泄物进入环境,即使在水体中处于痕量水平也会导致微生物产生耐药性,严重威胁生态环境与人类健康[4]。目前应用广泛的污水处理方法有吸附法[5]、膜分离法[6]、生物处理法[7]、高级氧化法[8]和光催化法等。其中,光催化法可利用太阳能,具有能耗低、条件温和、无二次污染等特点[9],是降解水中痕量有机污染物的有效方法。

    氯氧铋(BiOCl)是一种n型半导体光催化剂,具有优异的光催化性能,已应用于有机污染物降解[10]、CO2还原[11]、水分解[12]等领域,但其带隙较大[(3.2±0.2) eV]、光生载流子易复合和纳米颗粒易团聚的特性使其在光催化领域的应用存在一定局限[13-14]。为了拓宽BiOCl光响应范围并有效抑制光生载流子复合,研究者们提出了多种策略,如金属或非金属掺杂、构建缺陷、异质结或不同材料复合等[15-18]。近年来,将光催化剂负载于硅藻土、沸石或高岭土等无机物表面的技术受到了广泛关注。该技术能有效提升催化剂纳米粒的分散性、光生载流子的分离效率和抑制晶粒增长[19-22]。其中,硅藻土作为一种生物成因构造的非晶质SiO2沉积岩,具有高孔隙度、亲水性、无毒、化学惰性、热稳定性好和价格低廉等优点[23]。我们前期工作[24]已证实,将BiOCl负载于硅藻土表面可获得高效BiOCl/硅藻土(命名为BiOCl/D)复合光催化剂,硅藻土作为固体分散剂使得BiOCl晶体分散均匀且能暴露出更多反应活性位点,同时硅藻土与BiOCl之间的协同效应有利于界面的电子传输,可有效提升光生载流子的分离效率。

    碳量子点(CQDs)由尺寸小于10 nm的准球形碳核组成,具有良好的生物相容性和明显的上转换功能,同时作为电子媒介,易于光生电子(e-)的传输和存储[25-26]。Si等[27]通过CQDs与尿素前驱体热共聚的方法制备出具有侧向异质结构的CQDs/g-C3N4复合材料,用于可见光降解盐酸四环素(TC),这种侧向异质结构能有效地促进光吸收、光生载流子分离和传输,使CQDs/g-C3N4光催化活性比g-C3N4提高了14倍。Xu等[28]以水葫芦粉为原料采用溶剂热法原位制备了CQDs/OVs-BiOCl催化剂,该材料具有比纯BiOCl更快的光生载流子分离速率,其中1%CQDs/OVs-BiOCl在可见光下对罗丹明B的降解率是纯BiOCl的2.6倍;1%CQDs/OVs-BiOCl在紫外光下对全氟辛酸(PFOA)的除氟率是纯BiOCl的1.4倍。因此,在催化剂的制备过程中引入CQDs不仅可拓宽催化剂光响应范围,还能促进e-迁移,进一步增强光催化活性,具有良好的应用前景。

    我们将CQDs引入到BiOCl/D催化剂中,采用温和的水解法构建CQDs/BiOCl/D复合光催化剂,评估其对CIP的可见光降解性能,同时对所制备催化剂的结构、形貌等进行表征,对CIP降解中间产物进行鉴定与识别,以揭示CQDs/BiOCl/D降解CIP的路径及机理。

    实验中使用的主要材料包括抗坏血酸(天津市光复科技发展有限公司)、尿素(科密欧化学试剂有限公司)、五水合硝酸铋(Bi(NO3)3·5H2O,国药集团化学试剂有限公司)、乙二醇(C2H6O2,EG,国药集团化学试剂有限公司)、氯化钾(KCl,天津市光复科技发展有限公司)、硅藻土(临江北峰硅藻土有限公司)。

    1.2.1   CQDs的制备

    取1.0 g抗坏血酸溶于25 mL去离子水中,再加入0.5 g尿素,溶解后转移至50 mL装有聚四氟乙烯内衬的高压反应釜中,160 ℃反应6 h,冷却后将所得液体以9 000 r·min-1离心10 min,取上清液放入透析袋中透析2~3 d,可得深褐色CQDs水溶液,将该液体进一步冷冻干燥后可得深褐色CQDs粉末。

    1.2.2   BiOCl/D的制备

    称取2.425 5 g(5 mmol) Bi(NO3)3·5H2O于20 mL EG中,超声溶解形成溶液A;称取0.373 0 g KCl(5 mmol)和0.325 0 g硅藻土于20 mL去离子水中形成悬浮液B。将溶液A逐滴加入悬浮液B中,搅拌1 h后离心,分别用乙醇、去离子水洗涤,60 ℃干燥8 h,得到BiOCl/D的粉末状复合光催化剂。

    1.2.3   CQDs/BiOCl/D的制备

    称取2.425 5 g Bi(NO3)3·5H2O和适量的CQDs (0.013 0、0.026 0、0.039 1、0.052 1 g)于20 mL EG中,超声至溶解形成溶液C;称取0.373 0 g KCl和0.325 0 g硅藻土于20 mL去离子水中形成悬浮液D。将C溶液逐滴加入悬浮液D中,搅拌1 h,将产物离心、洗涤、60 ℃下干燥8 h,分别制得CQDs质量分数为1%、2%、3%和4%的CQDs/BiOCl/D粉末状复合光催化剂,记为1%CQDs/BiOCl/D、2%CQDs/BiOCl/D、3%CQDs/BiOCl/D和4%CQDs/BiOCl/D。

    催化剂晶体结构采用X射线衍射仪(XRD,DX-2700,丹东方圆仪器有限公司,中国,Cu 辐射,波长为0.154 nm,扫描范围为10°~80°,工作电压和电流分别为40 kV和30 mA)分析。催化剂表面分子、官能团或基团的振动或转动频率通过傅里叶变换红外光谱仪(FTIR,Tensor 27,布鲁克,德国)分析。催化剂的元素组成和价态等信息通过X射线光电子能谱仪(XPS,Thermo K-Alpha+/ESCALAB 250Xi,赛默飞世尔,美国)分析。催化剂样品的微观形貌采用扫描电子显微镜(SEM,JSM-7001F,JEOL,日本)观察,电压为10.0 kV。催化剂样品微观结构、尺寸、晶格条纹以及暴露晶面等通过透射电子显微镜(TEM,JEM-2100F,JEOL,日本)和高倍透射电子显微镜(HRTEM)分析,工作电压为200 kV。催化剂Brunauer-Emmett-Teller(BET)比表面积(SBET)及孔径分布信息采用氮气吸附脱附装置(ASAP 2020,微电子仪器公司,美国)来确定。CIP不同时间降解液的矿化率采用总有机碳分析仪(TOC,LiquidTOC,元素,德国)分析。催化剂吸光特性通过固体紫外可见漫反射光谱仪(UV-Vis DRS,UH4150,日立,Japan)确定,同时还可间接测定半导体光催化剂的能带结构。催化剂光生载流子分离情况通过稳态荧光光谱(steady-state PL,F7000,日立,日本)和稳态瞬态荧光光谱(PL,FLS980,爱丁堡,英国)分析。光催化剂的电化学性能如光电流(PC)、电化学阻抗谱(EIS)、莫特-肖特基(Mott-Schottky)曲线测试采用电化学工作站(squid stat plus 1271,Admiral instruments,美国)分析,测试过程中采用标准三电极体系,其中Pt丝作为对电极,甘汞电极为参比电极,涂覆催化剂样品的导电玻璃为工作电极,在电解质为0.5 mol·L-1 Na2SO4溶液中进行测定。

    选用CIP溶液(10 mg·L-1)作为目标降解物,考察一系列光催化剂的吸附和光降解性能。称取0.04 g催化剂,加入100 mL CIP溶液中,避光条件下搅拌30 min,使CIP与催化剂达到吸附-脱附平衡。开启氙灯光源(PLS-SXE300,功率为300 W,光密度为0.2 W·cm-2,模拟太阳光波长范围为320~780 nm,可见光波长范围为420~780 nm),每10 min取3 mL悬浮液,经离心分离后,采用紫外可见分光光度计(Cary-50,安捷伦科技有限公司,美国)测定其上清液的吸光度值。催化剂相应的降解率(R)可由下式计算获得:

    $ R=(ρ_{0}-ρ)/ρ_{0}×100% $

    其中,ρ0ρ分别代表CIP的初始质量浓度和光照t时间后的质量浓度。

    循环稳定性测试:每次光降解CIP完成后,将3%CQDs/BiOCl/D光催化剂进行回收后再降解,如此循环4次。

    捕获剂实验:在3%CQDs/BiOCl/D降解CIP体系中,分别加入草酸铵(AO,1.6 mmol·L-1)、对苯醌(BQ,1 mmol·L-1)和异丙醇(IPA,130 mmol·L-1)作为空穴(h+)、超氧自由基(·O2-)和羟基自由基(·OH)的捕获剂。

    采用超高效液相色谱仪(UPLC,1290 Infinity Ⅱ,Agilent,美国)和电喷雾串联质谱(ESI-MS/MS,QTOF6550,Agilent,美国)联用仪,以阳离子模式分析CIP及其中间产物。UPLC包含一根C18柱(waters,2.1 mm×100 mm,1.7 μm)、梯度洗脱装置和紫外检测器(波长为273 nm)。色谱流速为0.3 mL·min-1。流动相A为体积分数为0.1%的甲酸的水溶液,B为乙腈。梯度洗脱程序设置如下:0~1 min内保持90% A和10% B的比例不变;1~3 min内B从10%线性增加到25%;3~7 min内B继续从25%增加到80%;7~10 min内一直保持20% A和80% B比例不变;10~11 min内,B快速下降到10%;11~13 min内保持90% A和10% B的比例不变。联用质谱仪的操作参数:气体温度为150 ℃,气体流量为15 L·min-1,护套气体温度为350 ℃,护套气体流量为12 L·min-1,毛细管电压为4 000 V,质谱扫描范围为m/z 100~500。

    以大肠杆菌(DH5α,革兰氏阴性菌)为微生物模型进行抑菌活性分析。具体实验过程:先将大肠杆菌接种到含有4 mL Luria-Bertani(LB)液体培养基试管中,在37 ℃的恒温振荡培养箱中培育10 h,然后稀释104倍,取100 μL涂抹到琼脂板上(放4个直径为10 mm的滤纸片),将一定体积不同光降解时间的CIP液体经0.22 μm滤膜过滤后滴入滤纸片中,再放入37 ℃恒温培养箱培养11 h。以抑菌圈直径作为半定量指标,评估可见光催化降解过程中CIP及其中间产物的抑菌活性变化。

    利用XRD对CQDs、纯硅藻土、BiOCl以及CQDs/BiOCl/D复合材料进行分析,结果如图 1a所示。CQDs在2θ=22.2°处有一个比较宽的衍射峰信号,纯硅藻土在2θ=23.8°处也有一个比较宽的衍射峰。在粉末BiOCl样品的XRD图中,2θ=12.02°、24.11°、25.88°、32.54°、33.47°和46.67°处的特征衍射峰与BiOCl标准卡(PDF No.06-0249)的(001)、(002)、(101)、(110)、(102)和(200)晶面一一对应,同时复合催化剂中BiOCl的衍射峰位置没有发生偏移,这说明CQDs或硅藻土没有对BiOCl晶相结构产生影响。而且,所有材料中BiOCl的(110)、(102)和(110)、(001)晶面衍射峰强度比(I110/I102I110/I001)显著高于BiOCl标准卡中对应值,说明制备BiOCl的暴露面以(102)、(001)晶面为主。但由于制备过程中溶剂EG会选择性吸附在(102)晶面,从而抑制了(102)晶面生长,使得制备的BiOCl主要暴露面为(001)晶面[29]。硅藻土、BiOCl、BiOCl/D和3%CQDs/BiOCl/D的FTIR谱图结果如图 1b所示。473、797和1 113 cm-1处的峰分别对应硅藻土中Si—O—Si的弯曲振动、对称伸缩振动和不对称伸缩振动[30-31],527 cm-1处的峰对应BiOCl中Bi—O对称伸缩振动[32],1 637 cm-1处的峰对应CQDs中C=O键伸缩振动,3 416 cm-1处的峰对应CQDs中O—H键伸缩振动[33],1 622和3 445 cm-1处的峰分别对应催化剂表面吸附水分子或者羟基中O—H键弯曲振动和对称伸缩振动[34]

    图 1

    图 1.  制备样品的(a) XRD图和(b) FTIR谱图
    Figure 1.  (a) XRD patterns and (b) FTIR spectra of the as-prepared samples

    图 2为3%CQDs/BiOCl/D的XPS谱图,从中可获得催化剂化学元素组成和价态的相关信息。其中,图 2a为全谱图,包含Bi、O、Cl、Si和C元素等。图 2b~2f分别为Bi4f、O1s、Cl2p、Si2p和C1s的高分辨XPS谱图,图 2b中159.48和164.83 eV的峰分别对应Bi3+的4f7/2和4f5/2图 2c中529.94、531.76和532.98 eV的峰分别对应Bi—O键中晶格氧、氧空位和表面吸附氧,图 2d中198.09和199.75 eV的峰分别对应Cl-的2p3/2和2p1/2[16, 35]图 2e中103.20 eV的峰对应硅藻土中Si—O键[19]图 2f中284.70、286.31和288.11 eV的峰分别对应CQDs的C—C或者C=C、C—O和C=O键[34, 36-39]。贾泽慧等:碳量子点修饰的氯氧铋/硅藻土复合材料可见光降解环丙沙星的机理

    图 2

    图 2.  3%CQDs/BiOCl/D的XPS谱图: (a) 全谱图、(b) Bi4f、(c) O1s、(d) Cl2p、(e) Si2p、(f) C1s
    Figure 2.  XPS spectra of 3%CQDs/BiOCl/D: (a) Survey, (b) Bi4f, (c) O1s, (d) Cl2p, (e) Si2p, (f) C1s

    图S1(Supporting information)为BiOCl、BiOCl/D和3%CQDs/BiOCl/D的N2吸附-脱附等温线和孔径分布图。从图中可以看出,所有样品的吸附-脱附等温线都是Ⅳ型且具有H3型磁滞回线[30, 35]。BiOCl的SBET和孔体积(Vm)分别为33 m2·g-1和0.23 cm3·g-1,加入硅藻土后BiOCl/D的SBETVm分别为23 m2·g-1和0.18 cm3·g-1,引入CQDs后,3%CQDs/BiOCl/D的SBETVm分别为48 m2·g-1和0.23 cm3·g-1

    图 3为硅藻土、BiOCl、BiOCl/D和3%CQDs/ BiOCl/D复合催化剂的SEM图。图 3a显示,经硫酸处理和煅烧后,硅藻土的整体结构和多孔通道保持良好。图 3b显示BiOCl为多层纳米片自组装形成的不规则微球,直径约为1 μm。图 3c显示,在BiOCl/D复合催化剂中,大量BiOCl微球分布在硅藻土表面。3%CQDs/BiOCl/D复合催化剂的形貌与BiOCl/D复合催化剂形貌相似(图 3d)。采用TEM进一步观察3%CQDs/BiOCl/D复合催化剂的微观形貌,如图 3e3f所示,BiOCl纳米片以自组装形式构建成不规则微球后分布在硅藻土表面,从图 3e中能清晰地观察到硅藻土上的孔,孔径约为100 nm。BiOCl纳米片具有很好的结晶度,图 3g中0.738 nm的晶格条纹间距对应于BiOCl的(001)晶面,这说明其纳米片的增长沿着(001)晶面进行,主要暴露面为(001)晶面[17, 30, 34, 40]图 3h显示CQDs为直径6 nm左右的黑色点状物,0.325 nm的晶格条纹间距对应CQDs的(002)晶面[28, 34-35]

    图 3

    图 3.  (a) 硅藻土、(b) BiOCl、(c) 局部和完整(插图)的BiOCl/D和(d) 局部和完整(插图)的3%CQDs/BiOCl/D的SEM图; 3%CQDs/BiOCl/D的(e、f) TEM图和(g) HRTEM图; (h) CQDs的HRTEM图
    Figure 3.  SEM images of (a) diatomite, (b) BiOCl, (c) partial and complete (Inset) of BiOCl/D, and (d) partial and complete (Inset) of 3%CQDs/BiOCl/D; (e, f) TEM images and (g) HRTEM image of 3%CQDs/BiOCl/D; (h) HRTEM image of CQDs

    称取40 mg催化剂加入到100 mL、10 mg·L-1的CIP溶液中,可见光照射下对比CIP降解效果,结果如图 4a所示。CIP在可见光下无光解,硅藻土对CIP只有吸附,暗反应30 min后吸附率为9.5%,但无降解行为。BiOCl暗反应30 min后吸附率为47.3%,可见光照射90 min后降解率为59.2%。随着硅藻土加入,BiOCl/D吸附率为41.7%,降解率为54.7%。引入CQDs后,3%CQDs/BiOCl/D吸附率为55.0%,降解率提升至90.1%,3%CQDs/BiOCl/D对CIP的高效光催化性能归功于其较高的吸附和降解能力。

    图 4

    图 4.  (a) 制备样品在可见光下降解CIP的曲线图; 3%CQDs/BiOCl/D的(b) 循环性能和(c) 降解前后的FTIR谱图; (d) CIP溶液的TOC
    Figure 4.  (a) Photodegradation curves of as-prepared samples for CIP under visible light; (b) Cyclic performance and (c) FTIR spectra of 3%CQDs/BiOCl/D before and after photodegradation; (d) TOC of CIP solution

    通过循环实验和FTIR可验证吸附在催化剂表面的CIP是否被完全降解。图 4b为3%CQDs/BiOCl/D的循环降解图,结果显示,每次循环后其吸附性能均可恢复到初始水平,且经历4次循环后,CIP降解率仍能达到84.5%,催化剂表现出良好的稳定性和循环性。图 4c显示降解前后3%CQDs/BiOCl/D的FTIR谱图基本相同,这证实了催化剂上吸附的CIP分子能被有效降解。图 4d显示可见光照射下3%CQDs/BiOCl/D对CIP溶液的矿化效果,反应2和4 h时对应的TOC移除率分别为16.7%和26.8%。图S2显示可见光照射4 h时BiOCl和BiOCl/D对CIP溶液的TOC移除率分别为9.8%和12.7%。

    图 5a显示了加入适量捕获剂的降解结果,当加入AO时,3%CQDs/BiOCl/D光催化活性明显被抑制,CIP降解率由原来的90.1%降至74.9%。加入IPA和BQ也会使降解活性受到抑制,CIP降解率分别为83.1%和84.7%。这表明h+、·OH和·O2-在光催化降解过程中都发挥了作用,且h+为主要活性物种,·OH和·O2-为次要活性物种。此外,3%CQDs/BiOCl/D的ESR实验也揭示了·OH(图 5b)和·O2-(图 5c)的存在。图 5d显示BiOCl在3%CQDs/BiOCl/D制备过程中会产生氧空位。

    图 5

    图 5.  3%CQDs/BiOCl/D的(a) 捕获实验、(b) •OH和(c) •O2-的ESR谱图以及(d) 氧空位的EPR谱图
    Figure 5.  (a) Trapping agent experiments, ESR spectra for (b) •OH and (c) •O2-, and (d) EPR spectra for the oxygen vacancy of 3%CQDs/BiOCl/D

    选取大肠杆菌作为微生物模型,开展抑菌活性分析实验。实验过程中,采用纸片法进行抑菌测试,每个纸片上加入的溶液体积固定为100 µL。通过测量纸片周围大肠杆菌生长所形成的抑菌圈直径大小,来评估不同溶液的抑菌性能。具体评估的溶液包括:CIP原液,其质量浓度为10 mg·L-1,在图中用“I”表示;在100 mL CIP原液中加入40 mg 3%CQDs/BiOCl/D催化剂,待溶液达到吸附-脱附平衡后所得到的溶液,在图中用“A”表示;以及3%CQDs/BiOCl/D催化剂在可见光照射下,对CIP进行不同时间降解后所得到的溶液,降解时间分别设定为20、40、60、80、100和120 min,在图中分别用对应的时间进行标注。最终,抑菌性能的变化结果如图 6所示。CIP原液和吸附平衡液都具有明显的抑菌性能,其对应的抑菌圈直径分别为33和30 mm。CIP经历可见光下降解20 min后抑菌圈减小到24 mm,降解40和60 min后分别减至22和17 mm,反应80 min后抑菌圈直径为10 mm,与纸片范围重合,说明抑菌效果基本消除。继续光照至120 min,抑菌圈直径无变化。可见光降解CIP溶液抑菌活性的消除主要是由于CIP或某些具有抑菌活性的中间产物浓度的降低,即使图 4d显示光降解2 h时其矿化率不高,但能产生抑菌效果的物质基本消除或浓度已降至较低水平[41]

    图 6

    图 6.  3%CQDs/BiOCl/D降解CIP溶液的抑菌活性
    Figure 6.  Antibacterial activity of treated CIP solution over 3%CQDs/BiOCl/D

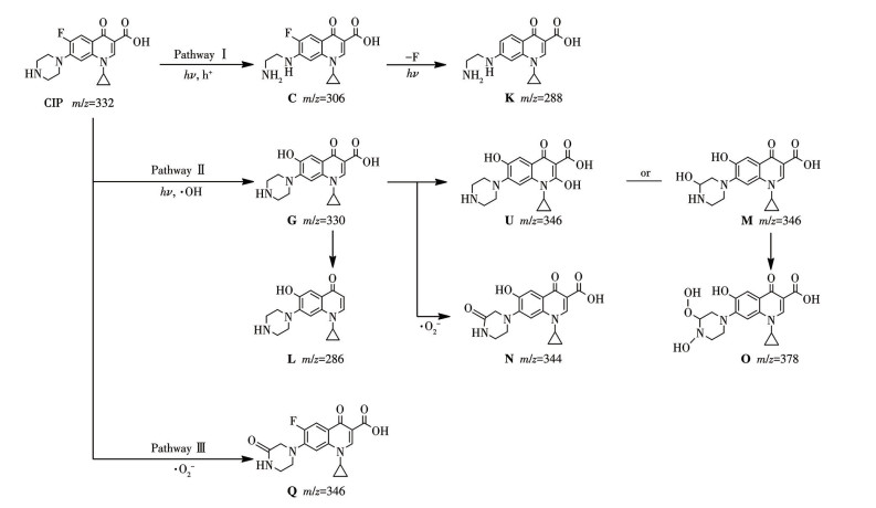
    分别收集3%CQDs/BiOCl/D可见光照射条件下降解CIP(C17H18FN3O3m/z 332)20、40、60、80和100 min的反应液,经冷冻干燥后样品的质量浓度浓缩至原浓度的10倍,利用超高效液相色谱-质谱联用技术(UPLC-MS/MS)分析反应液中可能存在的中间产物。结合色谱流出曲线(图 7)和一级质谱图(图S3),最终确认出9个可能的中间产物,分别为C15H16FN3O3(C, m/z 306)、C17H19N3O4(G, m/z 330)、C15H17 N3O3(Km/z 288)、C16H19N3O2(Lm/z 286)、C17H19N3O5(Mm/z 346)、C17H17N3O5(Nm/z 344)、C17H19N3O7(Om/z 378)、C17H16FN3O4(Qm/z 346)、C17H19N3O5(Um/z 346)。每种物质相应的结构式列入表S1中。

    图 7

    图 7.  3%CQDs/BiOCl/D降解不同时间CIP溶液色谱图
    Figure 7.  Chromatogram of CIP solutions over 3%CQDs/ BiOCl/D at different photodegradation times

    图 7可观察出,随着光照进行,CIP色谱峰面积(保留时间为4.77 min)逐渐减小,80 min后基本可忽略不计。同时,随着CIP峰的减小,出现C(4.53 min)、N(5.44 min)、O(6.61 min)、K(7.99 min)、G(8.29 min)和L(10.09 min)中间产物的峰,其变化趋势均先增大后减小,说明CIP在可见光下能被有效降解或向中间产物转化,且大部分中间产物浓度都会变小。图S4a和S4b显示中间产物CK对应的质谱峰面积较大,均在106级别,最大峰面积均出现在降解40 min时,分别为6.6×106和3.1×106,然后浓度快速下降,到80 min时基本可忽略不计。产物N的最大峰面积为1.9×106,出现在降解20 min时。其余产物如GUMLOQ的最大峰面积分别为0.8×105(20 min)、3.8×105(60 min)、3.5×105(60 min)、6.5×105(60 min)和6.9×105(20 min)。

    根据UPLC-MS/MS的分析结果和捕获剂实验可预测可见光下3%CQDs/BiOCl/D光降解CIP的3种不同路径(图 8)。路径Ⅰ为主要降解路径,光照过程中h+氧化CIP使其哌嗪环开环,先得到产物C(m/z 306),光照下C脱氟得到产物K(m/z 288)。路径Ⅱ为光照过程中·OH作用过程,首先·OH取代喹诺环的氟变成产物G(m/z 330),G经历喹诺环脱羧得到产物L(m/z 286),G也能在·OH的继续作用下在喹诺环加入一个羟基得到产物U(m/z 346),或者在哌嗪环加入羟基得到产物M(m/z 346),M在哌嗪环上继续加入羟基得到产物O(m/z 378),同时G也能在·O2-作用下氧化得到产物N(m/z 344)。路径Ⅲ为·O2-直接作用CIP哌嗪环得到产物Q(m/z 346)。由上可知,3%CQDs/BiOCl/D复合催化剂可见光降解CIP的路径是h+、·OH和·O2-占主导的降解过程。

    图 8

    图 8.  3%CQDs/BiOCl/D可见光下降解CIP的主要路径
    Figure 8.  Main photodegradation pathways for CIP over 3%CQDs/BiOCl/D under visible light irradiation

    图S5a显示一系列催化剂的光学性能分析结果,纯BiOCl的吸收带边为362 nm,随着硅藻土的加入,BiOCl/D的吸收带边为363 nm,基本保持不变。引入CQDs后,3%CQDs/BiOCl/D的吸收带边为436 nm,光吸收边缘发生红移,光响应区域明显拓宽[25, 42]。Kubelka-Munk公式为αhν=A(-Eg)n/2 [43],其中αhνAEgn分别为光吸收系数、普朗克常数、光频率、吸光度常数、带隙值和指数项(用来区分直接和间接带隙半导体跃迁类型,BiOCl为间接带隙半导体,n=4),据此可计算半导体催化剂BiOCl的Eg为3.32 eV(图S5b)。

    图 9a显示CQDs的上转换性能,CQDs接受可见光区550~900 nm的长波长、低能量光激发后,可以发射出275~475 nm的短波长、高能量光,这一发射范围涵盖了紫外区部分波段。CQDs的上转换荧光效应有利于在可见光照射下激活对紫外光有响应的BiOCl光催化剂。图 9b为BiOCl、BiOCl/D和3%CQDs/BiOCl/D的PL谱图,较弱的信号对应较高的光生载流子分离程度[44-45],其中3%CQDs/BiOCl/D的PL信号明显低于其他2种催化剂信号。图 9c的PC响应信号和图 9d的EIS结果表明,3%CQDs/ BiOCl/D具有最大的瞬态光电流响应和最小的电弧半径。图S6为BiOCl、BiOCl/D和3%CQDs/BiOCl/D的瞬态荧光光谱,结果表明,它们对应的平均荧光寿命分别为1.08、1.72和3.52 ns。一般来说,瞬态荧光的平均寿命越短,光生载流子分离效果越好。然而,当催化剂中含有氧空位时,由于氧空位易于捕获e-的特性,氧空位含量的增多(图S7和S8)会导致瞬态荧光的平均寿命变长和光生载流子分离效果更佳[34, 46]。以上几种表征说明,在BiOCl/D的制备过程中引入CQDs能更好促进光生载流子的分离,从而提升复合催化剂的光催化降解性能[47]

    图 9

    图 9.  (a) CQDs的上转换性能; BiOCl、BiOCl/D和3%CQDs/BiOCl/D的(b) PL谱图、(c) PC谱图和(d) EIS谱图
    Figure 9.  (a) Up‑conversion properties of CQDs; (b) PL spectra, (c) PC spectra, and (d) EIS spectra of BiOCl, BiOCl/D, and 3%CQDs/BiOCl/D

    图S9a为BiOCl的莫特-肖特基曲线。结果显示,在3种不同频率下,BiOCl都展现出正斜率,说明BiOCl为n型半导体,根据切线法得出BiOCl相对于Ag/AgCl电极的平带电势(EFB)为-0.5 V,换算成BiOCl相对于标准氢电极的EFB为-0.28 V[48]。图S9b显示了由XPS分析得到的BiOCl的价带(VB)能量(EVB)与费米能级(Ef)之间的能级间距(Evf=2.38 eV)[49]。由于n型半导体的Ef数值可近似等于EFB数值,根据EVB=Evf+Ef可计算得到BiOCl的EVB为2.10 eV。再根据经验公式ECB=EVB-Eg,可得BiOCl的导带(CB)能量(ECB)为-1.22 eV。

    图S10为催化剂光热性能测试结果,可以看出,3%CQDs/BiOCl/D在470 nm光照射后会产生光热效应,90 s内从28.7 ℃升至39.5 ℃。BiOCl本身没有光热性能,其温度在相同的照射条件下虽会升高,但数值变化很小。CQDs在470 nm光照射90 s后温度从28.7 ℃升至44.6 ℃,CQDs是复合催化剂产生光热效果的主要原因。光热效应的贡献在于增强催化剂对长波长光的吸收效率,并将其转化为热能后能提升催化剂表面的传质速率,如e-转移、气体扩散速率等[17, 50]

    基于以上分析讨论,我们推测出3%CQDs/ BiOCl/D降解CIP的机理(图 10)。在可见光照射下,复合催化剂中的CQDs可将波长大于550 nm的可见光转换为波长范围为275~475 nm的高能量紫外光和部分可见光,正是这部分高能光的存在激活了BiOCl,将e-激发至CB(-1.22 eV),h+则留在VB(2.10 eV)。处于CB的部分e-能与催化剂表面吸附的O2发生反应形成·O2-(O2/·O2-,-0.33 eV);另一部分e-能被氧空位捕获,转移给催化剂表面的O2形成·O2- [51];还有一部分e-则被传递给CQDs,与其表面吸附的O2也形成·O2- [25]。CQDs的光热效应能确保e-和O2快速扩散至催化剂表面参与反应。在VB上的h+可直接氧化CIP变成其它中间产物,也可以氧化OH-使其变成·OH(OH-/·OH,1.99 eV)。BiOCl在硅藻土上的高分散性以及硅藻土表面的羟基也在同时发挥作用。最终,在复合催化剂中CQDs、BiOCl和硅藻土的协同作用下,提升了e-和h+的分离效率,产生的活性基团h+、·OH和·O2-与吸附的CIP分子作用,发生哌嗪环开环、喹诺环脱氟及脱羧等。随着CIP分子含量减小和结构不断转化,降解液逐渐失去其抑菌性能。

    图 10

    图 10.  3%CQDs/BiOCl/D可见光下降解CIP的机理图
    Figure 10.  Photodegradation mechanism for CIP over 3%CQDs/BiOCl/D under visible light irradiation

    我们在BiOCl/D的制备过程中引入CQDs,得到一种对可见光有响应的CQDs/BiOCl/D三元复合光催化剂。该催化剂保留了BiOCl/D二元催化剂中BiOCl和硅藻土的协同作用,同时具备CQDs的吸收长波长光能力、上转换功能、接受和转移电子功能及光热效应,三者相互协同促进了可见光的吸收和利用,体现出较好的可见光光催化降解CIP性能。3%CQDs/BiOCl/D对CIP吸附率为55.0%,可见光照射90 min的降解率可达90.1%。大肠杆菌测试结果表明,CIP经3%CQDs/BiOCl/D可见光降解80 min后抑菌活性即可消除。采用UPLC-MS/MS分析确认了不同降解时间的反应中间产物,结合捕获剂实验、ESR、EPR等结果揭示了CQDs/BiOCl/D光催化降解CIP的机理,证实反应过程中光生载流子获得很好的分离效果,产生的活性基团h+、·OH和·O2-等为CIP的降解发挥了作用。

    Supporting information is available at http://www.wjhxxb.cn


    1. [1]

      董金涛, 季赛楠, 张屹, 季梦夏, 王彬, 李英杰, 陈志刚, 夏杰祥, 李华明. 构筑Z型MnO2/BiOBr异质结用于光催化环丙沙星去除和CO2还原[J]. 物理化学学报, 2023, 39(11): 81-94.DONG J T, JI S N, ZHANG Y, JI M X, WANG B, LI Y J, CHEN Z G, XIA J X, LI H M. Construction of Z-Scheme MnO2/BiOBr heterojunction for photocatalytic ciprofloxacin removal and CO2 reduction[J]. Acta Phys. ‒Chim. Sin., 2023, 39(11): 81-94

    2. [2]

      SUN X F, ZHANG J Q, MA J Y, XIAN T, LIU G R, YANG H. Synthesis of strongly interactive FeWO4/BiOCl heterostructures for efficient photoreduction of CO2 and piezo-photodegradation of bisphenol A[J]. Chem. Eng. J., 2024, 496: 153961 doi: 10.1016/j.cej.2024.153961

    3. [3]

      LIU Q Y, YANG Y X, YUAN H M, DAI A B, NI C Y. Photocatalytic degradation of methoxychlor by diatomite@Bi2WO6 under visible irradiations[J]. J. Mol. Struct., 2023, 1275: 134597

    4. [4]

      杨波, 张永丽, 郭洪光. 腐植酸与环丙沙星结合机制的多维光谱学解析研究[J]. 化学学报, 2021, 79(12): 1494-1501.YANG B, ZHANG Y L, GUO H G. Multi-spectroscopic investigation on mechanism of binding interaction between humic acid and ciprofloxacin[J]. Acta Chim. Sinica, 2021, 79(12): 1494-1501

    5. [5]

      ZHOU X S, LI X K, CHEN W R, LI L S. Efficient removal of typical perfluorinated compounds using NH2-MCM-41: Insights into adsorption mechanisms[J]. Chem. Eng. J., 2025, 513: 163108 doi: 10.1016/j.cej.2025.163108

    6. [6]

      RAJGURU P, DIHINGIA K D, KONWAR A, BORA P, BHUYAN C, SASTRY G N, HAZARIKA S. Carbon nanotube/Fe2O3 nanocomposites for optimizing membrane-based separation of antibiotics: Experimental and computational approach[J]. Mater. Today Commun., 2025, 44: 111951 doi: 10.1016/j.mtcomm.2025.111951

    7. [7]

      WANG H, CHEN Y D, LIU X G, XU H L, YANG D H, HUA Y, DAI X H. Diatomite powder carrier improved nitrogen and phosphorus removal from real municipal wastewater: Insights into micro-granule formation and enhancement mechanism[J]. Chem. Eng. J., 2024, 484: 149482 doi: 10.1016/j.cej.2024.149482

    8. [8]

      ZHANG Q, ZHENG D, BAI B, MA Z Y, ZONG S C. Insight into antibiotic removal by advanced oxidation processes (AOPs): Performance, mechanism, degradation pathways, and ecotoxicity assessment[J]. Chem. Eng. J., 2024, 500: 157134 doi: 10.1016/j.cej.2024.157134

    9. [9]

      赵莹鑫, 胡豪, 周鑫, 杨水金, 杨赟. MOF-808/BiOCl复合材料的制备及其光催化性能[J]. 无机化学学报, 2023, 39(8): 1553-1563. doi: 10.11862/CJIC.2023.114ZHAO Y X, HU H, ZHOU X, YANG S J, YANG Y. Preparation and photocatalytic degradation performance of MOF-808/BiOCl composites[J]. Chinese J. Inorg. Chem., 2023, 39(8): 1553-1563 doi: 10.11862/CJIC.2023.114

    10. [10]

      LIU C, REN Y H, WANG Z W, SHI Y Z, GUO B B, YU Y, WU L. Flowerlike BiOCl nanospheres fabricated by an in situ self-assembly strategy for efficiently enhancing photocatalysis[J]. J. Colloid Interface Sci., 2022, 607: 423-430 doi: 10.1016/j.jcis.2021.09.002

    11. [11]

      ZHANG Y J, XU Z F, WANG Q, HAO W C, ZHAI X P, FEI X, HUANG X J, BI Y P. Unveiling the activity origin of ultrathin BiOCl nanosheets for photocatalytic CO2 reduction[J]. Appl. Catal. B‒ Environ., 2021, 299: 120679 doi: 10.1016/j.apcatb.2021.120679

    12. [12]

      ZHANG J W, SHAN L W, XU H Y, LI X J, FANG Z L, WU H T, LI D, DONG L M, CHENG C, SURIYAPRAKASH J, ZHANG F M. Multiscale understand the tuning photocatalytic hydrogen evolution performances of BiOCl stemmed from engineered crystal facet[J]. Appl. Surf. Sci., 2024, 652: 159321 doi: 10.1016/j.apsusc.2024.159321

    13. [13]

      YU G L, SUN Q F, YANG Y, CHEN S, LONG Y N, LI Y F, GE S Y, ZHENG D. BiOCl-based composites for photocatalytic degradation of antibiotics: A review of synthesis method, modification, factors affecting photodegradation and toxicity assessment[J]. J. Alloy Compd., 2024, 981: 173733 doi: 10.1016/j.jallcom.2024.173733

    14. [14]

      严鹏程, 王鹏, 黄婧, 莫曌, 徐丽, 陈芸, 张瑜, 齐志冲, 许晖, 李赫楠. 多策略提升卤化氧铋活性材料的光电性能及其在光电化学领域的应用进展[J]. 物理化学学报, 2025, 41(2): 100014.YAN P C, WANG P, HUANG J, MO Z, XU L, CHEN Y, ZHANG Y, QI Z C, XU H, LI H N. Engineering multiple optimization strategy on bismuth oxyhalide photoactive materials for efficient photoelectrochemical applications[J]. Acta Phys. ‒Chim. Sin., 2025, 41(2): 100014

    15. [15]

      LI W J, ZHANG Y P, RAN W G, WANG Y H, TIAN F, ZHANG F Z, XU M, ZHANG D P, LI N, YAN T J. Spin polarization regulates photocatalytic CO2 into hydrocarbons by Co doped BiOCl[J]. Appl. Catal. B‒Environ., 2024, 351: 123978 doi: 10.1016/j.apcatb.2024.123978

    16. [16]

      DENG Y C, XU M Y, JIANG X Y, WANG J T, TREMBLAY P, ZHANG T. Versatile iodine-doped BiOCl with abundant oxygen vacancies and (110) crystal planes for enhanced pollutant photodegradation[J]. Environ. Res., 2023, 216: 114808 doi: 10.1016/j.envres.2022.114808

    17. [17]

      WANG F, GUO J C, HAN L H, SHEN H X, ZHU L L, CHEN S. Oxygen vacancy-engineered BiOCl nanoflake with silver decoration for enhanced photocatalytic CO2 reduction at solid-gas interface[J]. Chem. Eng. J., 2023, 478: 147365 doi: 10.1016/j.cej.2023.147365

    18. [18]

      SUN B J, HUANG C, YANG C Y, KE D, LIU Y, LU Q, LIU X F, XIONG X Y, CHEN Y Z, JIANG Q Q, HU J C, ZHOU T F. Atomic interfacial charge and energy transfer paths at MoS2/Pd bonded defect-rich BiOCl interfaces for efficient photocatalysis[J]. Appl. Catal. B‒Environ., 2024, 345: 123720

    19. [19]

      ZHANG X W, DUAN J J, TAN Y, DENG Y Q, LI C Q, SUN Z M. Insight into peroxymonosulfate assisted photocatalysis over Fe2O3 modified TiO2/diatomite composite for highly efficient removal of ciprofloxacin[J]. Sep. Purif. Technol., 2022, 293: 121123

    20. [20]

      YUAN F, YANG R F, LI C Q, ZHANG X W, SUN Z M. Enhanced visible-light properties of TiO2/diatomite composite over varied bismuth semiconductors modification for formaldehyde photodegradation: A comparative study[J]. Sep. Purif. Technol., 2022, 297: 121477 doi: 10.1016/j.seppur.2022.121477

    21. [21]

      LIAQUAT I, MUNIR R, ABBASI N A, SADIA B, MUNEER A, YOUNAS F, SARDAR M F, ZAHID M, NOREEN S. Exploring zeolite-based composites in adsorption and photocatalysis for toxic wastewater treatment: Preparation, mechanisms, and future perspectives[J]. Environ. Pollut., 2024, 349: 123922 doi: 10.1016/j.envpol.2024.123922

    22. [22]

      LAKSHMI S J S, JOEL C, BENNIE R B, RAJ A N P, KUMAR Y A, KHAN M S. Synergistic adsorption and photocatalytic degradation of tetracycline using a Z-scheme kaolin/g-C3N4/MoO3 nanocomposite: A sustainable approach for water treatment[J]. J. Environ. Manage., 2024, 360: 121086 doi: 10.1016/j.jenvman.2024.121086

    23. [23]

      SRIRAM G, KIGGA M, UTHAPPA U T, REGO R M, THENDRAL V, KUMERIA T, JUNG H, KURKRUI M D. Naturally available diatomite and their surface modification for the removal of hazardous dye and metal ions: A review[J]. Adv. Colloid Interface Sci., 2020, 282: 102198 doi: 10.1016/j.cis.2020.102198

    24. [24]

      JIA Z H, LI T, ZHENG Z F, ZHANG J D, LIU J X, LI R, WANG Y W, ZHANG X C, WANG Y F, FAN C M. The BiOCl/diatomite composites for rapid photocatalytic degradation of ciprofloxacin: Efficiency, toxicity evaluation, mechanisms and pathways[J]. Chem. Eng. J., 2020, 380: 122422 doi: 10.1016/j.cej.2019.122422

    25. [25]

      QU Y N, LI X Y, ZHANG H L, HUANG R L, QI W, SU R X, HE Z M. Controllable synthesis of a sponge-like Z-scheme N, S-CQDs/Bi2MoO6@TiO2 film with enhanced photocatalytic and antimicrobial activity under visible/NIR light irradiation[J]. J. Hazard. Mater., 2022, 429: 128310 doi: 10.1016/j.jhazmat.2022.128310

    26. [26]

      MENG X Z, SHEN F, WANG D H, ZHANG S, HOU J, DING L, SUN J. Carbon dots-based hybrid materials: Synthesis, properties and applications in environmental pollution control[J]. Chem. Eng. J., 2025, 503: 158278 doi: 10.1016/j.cej.2024.158278

    27. [27]

      SI Q S, GUO W Q, WANG H Z, LIU B H, ZHENG S S, ZHAO Q, LUO H C, REN N Q, YU T. Difunctional carbon quantum dots/ g-C3N4 with in-plane electron buffer for intense tetracycline degradation under visible light: Tight adsorption and smooth electron transfer[J]. Appl. Catal. B‒Environ., 2021, 299: 120694

    28. [28]

      XU Z D, LI H, RAN Y, ZHONG J B, LI M J, ZHU Y B. Water hyacinth powder-assisted in-situ fabrication of visible light responsive CQDs/BiOCl heterojunctions with exceptional photocatalytic detoxification performance[J]. Ceram. Int., 2023, 49(17): 28988-29000 doi: 10.1016/j.ceramint.2023.06.170

    29. [29]

      JIA Z H, LV R, GUO L J, ZHANG J D, LI R, LIU J X, FAN C M. Rapid degradation of ciprofloxacin over BiOCl: Insight into the molecular structure transformation and antibacterial activity elimination[J]. Sep. Purif. Technol., 2021, 257: 117872 doi: 10.1016/j.seppur.2020.117872

    30. [30]

      CHEN J, REN Q F, DING Y, XIONG C Y, GUO W M. Synthesis of bifunctional composites Ag/BiOCl/diatomite: Degradation of tetracycline and evaluation of antimicrobial activity[J]. J. Environ. Chem. Eng., 2021, 9(6): 106476 doi: 10.1016/j.jece.2021.106476

    31. [31]

      TUNA Ö, MERT H H, MERT M S, BILGIN S E. Tubular graphitic carbon nitride-anchored on porous diatomite for enhanced solar energy efficiency in photocatalytic remediation and energy storage performance[J]. J. Environ. Manage., 2024, 366: 121891 doi: 10.1016/j.jenvman.2024.121891

    32. [32]

      WANG C, YAN W C, RAN X, PU Z W, SHI W D. Experimental and numerical study of photocatalysis in Taylor photoreactors with carbon-quantum-dots/BiOCl as catalysts[J]. Chem. Eng. Sci., 2024, 294: 120114 doi: 10.1016/j.ces.2024.120114

    33. [33]

      HE Z J, LIANG R W, ZHOU C, YAN G Y, WU L. Carbon quantum dots (CQDs)/noble metal co-decorated MIL-53(Fe) as difunctional photocatalysts for the simultaneous removal of Cr􀃱 and dyes[J]. Sep. Purif. Technol., 2021, 255: 117725 doi: 10.1016/j.seppur.2020.117725

    34. [34]

      ZHOU Q, HUANG W Y, XU C, LIU X, YANG K, LI D, HOU Y, DIONYSIOU D D. Novel hierarchical carbon quantum dots-decorated BiOCl nanosheet/carbonized eggshell membrane composites for improved removal of organic contaminants from water via synergistic adsorption and photocatalysis[J]. Chem. Eng. J., 2021, 420: 129582 doi: 10.1016/j.cej.2021.129582

    35. [35]

      LAI C X, ZHONG J B, CHEN J F, ZHU Y B. Mint powder assisted synthesis of CQDs/BiOCl with tunable OVs and improved photocatalytic property[J]. J. Ind. Eng. Chem., 2023, 128: 306-316 doi: 10.1016/j.jiec.2023.07.063

    36. [36]

      LI F, LIU G Y, LIU F Q, WU J Y, YANG S Q. Synergetic effect of CQD and oxygen vacancy to TiO2 photocatalyst for boosting visible photocatalytic NO removal[J]. J. Hazard. Mater., 2023, 452: 131237 doi: 10.1016/j.jhazmat.2023.131237

    37. [37]

      WANG N, LIN J Y, LI Y, LI T, CHEN Y M, LI J, SHUAI S Y, CHEN L, CHU Z Y. One-pot synthesis of high performance CQDs/TiO2 nanocomposites without carbon source addition[J]. J. Water Process Eng., 2024, 65: 105833 doi: 10.1016/j.jwpe.2024.105833

    38. [38]

      LIU J X, JI L L, HE Q R, ZANG S H, SUN J X, YANG H, DONG T, LIU T X, WU H H, CHEN X Y, ZHONG Z B, DENG X. Algal carbon quantum dots/Bi2MoO6 S-scheme heterojunction with enhanced visible-light photocatalytic degradation for ciprofloxacin[J]. Sep. Purif. Technol., 2025, 363: 132196 doi: 10.1016/j.seppur.2025.132196

    39. [39]

      ZHAO B X, XING Y X, XUE Y R, CHEN N, SUN C J, LI M F, SHI H X, MA B R, WANG S X, TANG Y Z, LIU J. Efficient degradation of dye wastewater with a novel tribocatalytic process initiated by CQDs-Bi2MoO6 catalyst: Preparation, degradation, kinetics, DFT calculations and mechanism[J]. Chem. Eng. J., 2025, 511: 161852 doi: 10.1016/j.cej.2025.161852

    40. [40]

      CAO P, ZHANG Z C, BAI X, HE Y F, SONG P F, WANG R M. Complecting the BiOCl nano-roundels based hollow microbasket induced by chitosan for dramatically enhancing photocatalytic activity[J]. J. Mol. Struct., 2022, 1254: 132339

    41. [41]

      WANG C C, RONG K, LIU Y P, YANG F, LI S J. Carbon quantum dots-modified tetra (4-carboxyphenyl) porphyrin/BiOBr S-scheme heterojunction for efficient photocatalytic antibiotic degradation[J]. Sci. China‒Mater., 2024, 67(2): 562-572

    42. [42]

      刘欢, 李京哲, 李平, 张广智, 徐迅, 张豪, 邱灵芳, 齐晖, 多树旺. 2D/3D ZnIn2S4/TiO2复合物的原位构筑及其提高的光催化性能[J]. 化学学报, 2021, 79(10): 1293-1301.LIU H, LI J Z, LI P, ZHANG G Z, XU X, ZHANG H, QIU L F, QI H, DUO S W. In-situ construction of 2D/3D ZnIn2S4/TiO2 with enhanced photocatalytic performance[J]. Acta Chim. Sinica, 2021, 79(10): 1293-1301

    43. [43]

      胡国伟, 王晓欢, 原志鹏, 新巴雅尔, 乌力吉贺希格. Ag掺杂对铁酸铋系化合物光催化性能的影响[J]. 化学学报, 2025, 83: 1-10.HU G W, WANG X H, YUAN Z P, XINBA Y, WULIJI H. Effect of Ag doping on the photocatalytic performance of bismuth ferrite-based compounds[J]. Acta Chim. Sinica, 2025, 83: 1-10

    44. [44]

      应霞薇, 浮建军, 曾敏, 刘文, 张天宇, 沈培康, 张信义. 基于BiOCl-Fe2O3@TiO2介孔复合材料的光电化学合成氨性能研究[J]. 化学学报, 2022, 80(4): 503-509.YING X W, FU J J, ZENG M, LIU W, ZHANG T Y, SHEN P K, ZHANG X Y. BiOCl-Fe2O3@TiO2 mesoporous composite for photoelectrochemical synthesis of ammonia[J]. Acta Chim. Sinica, 2022, 80(4): 503-509

    45. [45]

      周鑫, 张志, 陈飘, 杨水金, 杨赟. Br掺杂Bi2WO6微球的制备及其光催化性能[J]. 无机化学学报, 2022, 38(9): 1716-1728. doi: 10.11862/CJIC.2022.177ZHOU X, ZHANG Z, CHEN P, YANG S J, YANG Y. Preparation and photocatalytic degradation performance of Br-doped Bi2WO6 microsphere[J]. Chinese J. Inorg. Chem., 2022, 38(9): 1716-1728 doi: 10.11862/CJIC.2022.177

    46. [46]

      DAI X, HUANG C F, YANG S, ZHOU Y W, ZOU L, AN X, ZHANG S S, SONG Y X, ZHOU Y B, MA L, TIAN C C. Regulating oxygen vacancy of perovskites via A-site substitution to promote activity for photocatalytic HCHO oxidation under visible light[J]. Sep. Purif. Technol., 2025, 376: 133919 doi: 10.1016/j.seppur.2025.133919

    47. [47]

      黄信哲, 徐丽慧, 杨悦, 王黎明, 刘章勇, 王忠坚. BiSbO4/BiOBr的制备及其可见光响应光催化性能[J]. 无机化学学报, 2025, 41(2): 284-292.HUANG X Z, XU L H, YANG Y, WANG L M, LIU Z Y, WANG Z J. Preparation and visible light responsive photocatalytic properties of BiSbO4/BiOBr[J]. Chinese J. Inorg. Chem., 2025, 41(2): 284-292

    48. [48]

      ZHANG L L, LI R, CUI L Y, SUN Z J, GUO L J, ZHANG X C, WANG Y F, WANG Y W, YU Z B, LEI T, JIAN X, GAO X M, FAN C M, LIU J X. Boosting photocatalytic ammonia synthesis performance over OVs-rich Ru/W18O49: Insights into the roles of oxygen vacancies in enhanced hydrogen spillover effect[J]. Chem. Eng. J., 2023, 461: 141892 doi: 10.1016/j.cej.2023.141892

    49. [49]

      CHANG K, HAI X, PANG H, ZHANG H B, SHI L, LIU G G, LIU H M, ZHAO G X, LI M, YE J H. Targeted synthesis of 2H- and 1T-phase MoS2 monolayers for catalytic hydrogen evolution[J]. Adv. Mater. 2016, 28: 10033-10041

    50. [50]

      MA Z Y, KUANG X J, PENG S Q, LI Y X. Manipulating precursor to anchor Mo3S9 cluster onto carbon nitride for photocatalytic H2 production[J]. Adv. Funct. Mater. 2025, 35, 2425117

    51. [51]

      王国景, 陈永辉, 张秀芹, 张俊笙, 徐俊敏, 王静. 氧空位控制BiVO4晶面异质结的磁性和光电催化性能[J]. 化学学报, 2024, 82(4): 409-415.WANG G J, CHEN Y H, ZHANG X Q, ZHANG J S, XU J M, WANG J. Magnetic and photoelectrocatalytic properties of BiVO4 surface heterojunctions controlled by oxygen vacancies[J]. Acta Chim. Sinica, 2024, 82(4): 409-415

  • 图 1  制备样品的(a) XRD图和(b) FTIR谱图

    Figure 1  (a) XRD patterns and (b) FTIR spectra of the as-prepared samples

    图 2  3%CQDs/BiOCl/D的XPS谱图: (a) 全谱图、(b) Bi4f、(c) O1s、(d) Cl2p、(e) Si2p、(f) C1s

    Figure 2  XPS spectra of 3%CQDs/BiOCl/D: (a) Survey, (b) Bi4f, (c) O1s, (d) Cl2p, (e) Si2p, (f) C1s

    图 3  (a) 硅藻土、(b) BiOCl、(c) 局部和完整(插图)的BiOCl/D和(d) 局部和完整(插图)的3%CQDs/BiOCl/D的SEM图; 3%CQDs/BiOCl/D的(e、f) TEM图和(g) HRTEM图; (h) CQDs的HRTEM图

    Figure 3  SEM images of (a) diatomite, (b) BiOCl, (c) partial and complete (Inset) of BiOCl/D, and (d) partial and complete (Inset) of 3%CQDs/BiOCl/D; (e, f) TEM images and (g) HRTEM image of 3%CQDs/BiOCl/D; (h) HRTEM image of CQDs

    图 4  (a) 制备样品在可见光下降解CIP的曲线图; 3%CQDs/BiOCl/D的(b) 循环性能和(c) 降解前后的FTIR谱图; (d) CIP溶液的TOC

    Figure 4  (a) Photodegradation curves of as-prepared samples for CIP under visible light; (b) Cyclic performance and (c) FTIR spectra of 3%CQDs/BiOCl/D before and after photodegradation; (d) TOC of CIP solution

    图 5  3%CQDs/BiOCl/D的(a) 捕获实验、(b) •OH和(c) •O2-的ESR谱图以及(d) 氧空位的EPR谱图

    Figure 5  (a) Trapping agent experiments, ESR spectra for (b) •OH and (c) •O2-, and (d) EPR spectra for the oxygen vacancy of 3%CQDs/BiOCl/D

    图 6  3%CQDs/BiOCl/D降解CIP溶液的抑菌活性

    Figure 6  Antibacterial activity of treated CIP solution over 3%CQDs/BiOCl/D

    图 7  3%CQDs/BiOCl/D降解不同时间CIP溶液色谱图

    Figure 7  Chromatogram of CIP solutions over 3%CQDs/ BiOCl/D at different photodegradation times

    图 8  3%CQDs/BiOCl/D可见光下降解CIP的主要路径

    Figure 8  Main photodegradation pathways for CIP over 3%CQDs/BiOCl/D under visible light irradiation

    图 9  (a) CQDs的上转换性能; BiOCl、BiOCl/D和3%CQDs/BiOCl/D的(b) PL谱图、(c) PC谱图和(d) EIS谱图

    Figure 9  (a) Up‑conversion properties of CQDs; (b) PL spectra, (c) PC spectra, and (d) EIS spectra of BiOCl, BiOCl/D, and 3%CQDs/BiOCl/D

    图 10  3%CQDs/BiOCl/D可见光下降解CIP的机理图

    Figure 10  Photodegradation mechanism for CIP over 3%CQDs/BiOCl/D under visible light irradiation

  • 加载中
计量
  • PDF下载量:  0
  • 文章访问数:  1
  • HTML全文浏览量:  0
文章相关
  • 发布日期:  2026-02-10
  • 收稿日期:  2025-06-11
  • 修回日期:  2025-12-21
通讯作者: 陈斌, bchen63@163.com
  • 1. 

    沈阳化工大学材料科学与工程学院 沈阳 110142

  1. 本站搜索
  2. 百度学术搜索
  3. 万方数据库搜索
  4. CNKI搜索

/

返回文章