Citation: Zhen FAN, Jiayan WANG, Wenhao ZHU, Xiuchun ZHANG, Yang WANG, Hao LI, Zeyuan WANG, Songzhi ZHENG, Weihai SUN. Fabrication of CsPbBr3 perovskite solar cells using buried polyvinylidene fluorideinterface modification method[J]. Chinese Journal of Inorganic Chemistry, 2025, 41(12): 2464-2478. doi: 10.11862/CJIC.20250191
CsPbBr3钙钛矿太阳能电池的聚偏二氟乙烯埋底界面修饰法制备
-
关键词:
- 全无机钙钛矿太阳能电池
- / CsPbBr3
- / 聚合物
- / 聚偏二氟乙烯
- / 埋底界面修饰
English
Fabrication of CsPbBr3 perovskite solar cells using buried polyvinylidene fluorideinterface modification method
-
0. 引言
钙钛矿太阳能电池(perovskite solar cells,PSCs)作为新一代光伏技术的代表器件,因其优异的光电性能和简便的制备工艺,在过去十几年中迅速发展。其中有机-无机杂化PSCs凭借高载流子迁移率、高吸收率、低激子结合能和可调带隙等独特优势[1-5],其能量转换效率(power conversion efficiency,PCE)已从最初的3.8%[6]提升至26%以上[7]。然而,由于有机-无机PSCs中的有机成分如甲胺(MA+)、甲脒(FA+)等有机阳离子在光照、高温和高湿环境下容易分解,导致电池性能衰减[8-10],严重影响了器件的长期稳定性和可靠性。相比之下,全无机钙钛矿(CsPbX3,X=Cl、Br、I),特别是CsPbBr3具有更好的热稳定性和湿度稳定性,发展前景十分广阔。
2015年,CsPbBr3首次被应用于太阳能电池的光吸收层,所制备的PSCs在恶劣条件下具有优异的湿、热和氧稳定性[11-13]。虽然CsPbBr3在稳定性方面具有明显优势,但其PCE仍受到界面缺陷和载流子复合的限制,器件性能并不理想。近年来,界面工程[14-16]在钝化钙钛矿薄膜缺陷方面已取得显著发展,该方法通过引入功能性界面层,可以有效地钝化缺陷态密度,减少界面电荷积累,抑制载流子复合,从而提高PSCs的效率和稳定性[17-18]。
聚合物具有大量官能团,可以与钙钛矿层建立相互作用,如与钙钛矿薄膜中的卤素离子和铅离子配位。而且,由于聚合物是高分子,其在薄膜的退火过程中很难蒸发,因此能够分布在薄膜的晶界处来钝化薄膜缺陷,同时,聚合物的大分子或长链结构能够提高PSCs的疏水性,从而提高器件的稳定性[19-21]。Wang等将P3HT(poly(3-hexylthiophene-2,5-diyl))用作CsPbBr3/carbon界面改性材料,通过钝化CsPbBr3钙钛矿薄膜的表面缺陷态,抑制电荷复合并增强空穴提取能力,最终得到器件的PCE为6.49%[22]。Tan等通过在CsPbBr3/carbon界面添加聚环氧乙烷(polyethylene oxide,PEO),提高了CsPbBr3晶粒的结晶性,实现了8.84%的PCE[23]。Tong等通过在CsPbBr3/carbon界面引入聚甲基丙烯酸甲酯(polymethyl methacrylate,PMMA),通过钝化非配位的Pb2+使对应电池的PCE达到9.60%[24]。聚偏二氟乙烯(polyvinylidene fluoride,PVDF)易于合成,具有优异的压电响应、柔韧性和疏水性等优势,可提高PSCs的器件性能[25]。Yang等将PVDF引入钙钛矿前驱体溶液中,调节了钙钛矿薄膜的结晶质量,将器件的PCE提高到了8.17%[26]。Zarenezhad等利用顺序沉积法将PVDF添加至CH3NH3PbI3-xClx中,形成了具有大晶体尺寸的致密均匀的钙钛矿层,PCE达到16.51%[27]。Zheng等采用一种简单有效的方法,将富含疏水F的PVDF聚合物添加到钙钛矿薄膜中,促进了钙钛矿晶体的生长,提高了结晶度,完善了薄膜形貌,降低了缺陷密度并抑制了载流子复合,实现了21.42%的高PCE[28]。
基于此,我们在TiO2/CsPbBr3之间引入不同质量浓度的PVDF以提高其电池性能。实验结果表明,当引入的PVDF质量浓度为1.0 mg·mL-1时,CsPbBr3钙钛矿薄膜的形貌得到有效改善,晶粒尺寸明显增大,CsPbBr3的结晶性显著增强,薄膜中的缺陷密度减小且非辐射复合现象得到抑制,载流子的传输效率提高,对应器件的光伏性能最佳,开路电压(open-circuit voltage,VOC)达到1.59 V,短路电流密度(short circuit current density,JSC)达到7.43 mA·cm-2,填充因子(fill factor,FF)达到79.69%,PCE达到9.41%。此外,器件稳定性也有较大的提高,在大气环境中暴露30 d后器件的PCE仍保持初始值的99.4%。
1. 实验部分
1.1 原料
氟掺杂的氧化锡(F-doped tin dioxide,FTO)导电玻璃(14 Ω·cm-2)、溴化铯(CsBr,AR)、溴化铅(PbBr2,AR)、富勒烯衍生物((6,6)-phenyl-C61-butyric acid methyl ester, PCBM)均购自辽宁优选新能源科技有限公司。甲醇(CH4O,AR)、无水乙醇(C2H6O,AR)、丙酮(C3H6O,AR)、环己酮(C6H10O,AR)、N,N-二甲基甲酰胺(DMF,AR)、二甲基亚砜(DMSO,AR)均购自上海国药集团化学试剂有限公司。PVDF购自上海麦克林生化科技股份有限公司。四氯化钛(TiCl4,AR)购自上海阿拉丁试剂有限公司。低温导电碳浆(carbon,50%)购自上海迈拓崴化工新材料科技有限公司。除特别说明外,所有材料无须进一步纯化即可直接使用。
TiCl4前驱体溶液的配制:在冰浴搅拌下,缓慢将9 mL TiCl4滴加到400 mL去离子水中。滴加完后,继续在冰浴条件下搅拌5 min,溶液冷藏后备用。
PbBr2溶液及CsBr溶液的配制:在真空手套箱中将7.38 g PbBr2置于装有20 mL DMF的透明玻璃瓶中,100 ℃下加热搅拌至完全溶解。然后将0.595 8 g CsBr置于装有40 mL甲醇的透明玻璃瓶中,40 ℃下加热搅拌至完全溶解,过滤处理后备用。
PVDF溶液的配制:分别将0.5、1.0、1.5 mg的PVDF置于装有2 mL DMF的洁净玻璃瓶中,100 ℃下加热搅拌至完全溶解,过滤处理后得到0.5、1.0和1.5 mg·mL-1的PVDF溶液。
1.2 PSC器件的制备
首先,用激光刻蚀机对尺寸为1.5 cm×1.5 cm的FTO导电玻璃进行刻蚀,在玻璃两侧得到2个尺寸为15.00 mm×4.45 mm的矩形刻蚀区域,然后用洗涤剂清洗,再用去离子水(1次)、无水乙醇(2次)各超声清洗20 min,吹干冷却后导电面朝上放入紫外臭氧清洗机中清洗15 min,接着将其放入等离子气体清洗机中清洗6 min。将清洗完成的玻璃导电面朝上放置于干净的透明玻璃培养皿中,再倒入110 mL TiCl4前驱体溶液,用保鲜膜封好扎孔后放入电热恒温鼓风干燥箱中,70 ℃沉积40 min后取出。将沉积好的FTO导电玻璃依次在水和乙醇中静置清洗3 s,然后在匀胶机中甩干,具体参数为4 000 r·min-1、25 s。接着在120 ℃热台上退火10 min后将玻璃转移至马弗炉中,500 ℃煅烧1 h。降至室温后,将沉积完TiO2的玻璃放入等离子气体清洗机中清洗6 min,清洗结束后进行PVDF埋底界面和钙钛矿层的制备。将FTO基底和PVDF溶液置于100 ℃热台上预热10 min,设置匀胶机参数为2 000 r·min-1、30 s。用移液枪吸取120 μL PVDF溶液并滴加于TiO2层表面,旋涂后100 ℃退火10 min。在相同的匀胶机参数下,用移液枪吸取100 μL PbBr2溶液并滴加在已完成沉积PVDF埋底界面并退火后的玻璃表面,旋涂后100 ℃退火30 min。待玻璃基底冷却至室温,在相同的匀胶机参数下,用移液枪吸取120 μL CsBr溶液并滴加在PbBr2层表面,旋涂后250 ℃退火5 min。CsBr溶液旋涂过程重复8次,即可得到经PVDF埋底界面修饰的CsPbBr3钙钛矿薄膜。最后,用DMSO与甲醇的混合溶液(体积比4∶1)对器件进行擦边处理,通过丝网印刷法沉积碳电极,并120 ℃退火15 min。至此,完成CsPbBr3 PSCs的制备。后文如无特别指出,所使用的PVDF质量浓度均为1.0 mg·mL-1。
1.3 表征方法
在光强为1 000 W·m-2的AM 1.5G模拟光源(Newport,PVIV-94043)下,测量器件的J-V特性曲线,采用KeithLey-2400 Source Meter型数字源表记录测试结果。使用场发射扫描电子显微镜(SEM,Hitachi SU8081)对不同质量浓度PVDF修饰的PbBr2与CsPbBr3钙钛矿薄膜的形貌进行表征,并使用Nano Measurer 1.2软件对薄膜晶粒尺寸进行统计分析,以探究PVDF质量浓度对两者形貌的影响。使用傅里叶变换红外光谱仪(Fourier transform infrared spectroscopy,FTIR)分析PVDF和PbBr2之间的相互作用。使用X射线衍射仪(XRD,Bruker D8 Advance)在Cu Kα(λ=0.154 05 nm)辐射、工作电压为40 kV、工作电流为40 mA、扫描速度为10 (°)·min-1、扫描范围为5°~55°的测试条件下,分析有无PVDF埋底界面修饰的PbBr2薄膜、CsPbBr3钙钛矿薄膜的晶体结构。使用稳态荧光分光光谱仪(steady-state photoluminescence spectrometer)分析PVDF对CsPbBr3钙钛矿薄膜光致发光特性的影响。使用时间分辨光致发光光谱仪(time-resolution photoluminescence spectrometer,TRPL)探究有无PVDF埋底界面修饰组器件的载流子传输和复合情况。在一定波长范围内使用紫外可见分光光度计(Perkin Elmer,Lamda950)测量有无PVDF埋底界面修饰组CsPbBr3钙钛矿薄膜吸光能力的强弱。使用水接触角测量仪对CsPbBr3钙钛矿薄膜疏水性进行测试,以探究其长期稳定性。采用德国ZAHNER公司的Zahner型电化学工作站进行电导率曲线、电化学阻抗谱(electrochemical impedance spectra,EIS)、电容-电压(capacitance-voltage,C-V)曲线、莫特-肖特基(Mott-Schottky,M-S)曲线、瞬态光电流(transient photocurrent,TPC)、瞬态光电压(transient photovoltage,TPV)、光电压-光强依赖性测试,从而探究器件内部载流子的传输、积累、复合等动力学过程。
2. 结果与讨论
2.1 PVDF的引入对CsPbBr3钙钛矿薄膜形貌与结构的影响
图 1a为采用多步旋涂法制备CsPbBr3 PSCs的流程图。第一步制备的PbBr2薄膜为CsPbBr3提供了成核中心和晶体生长骨架[29],因此PbBr2薄膜的质量一定程度上影响了PbBr2与CsBr反应生成的CsPbBr3钙钛矿薄膜的质量。首先,分别对有无PVDF埋底界面修饰的PbBr2薄膜和CsPbBr3钙钛矿薄膜进行了SEM测试,如图 1b~1e所示,图中空白组(Control)指未经PVDF埋底界面修饰组(PVDF的质量浓度为0 mg·mL-1)。由图可知,经过PVDF埋底界面修饰后,PbBr2薄膜的空洞数量和大小都有所减少,这也使得在该薄膜上生成的CsPbBr3钙钛矿薄膜质量提高,初步确认了PVDF埋底界面修饰对薄膜表面形貌的改善作用。
图 1
图 1. (a) CsPbBr3 PSCs的制备流程图; (b、d) PbBr2和(c、e) CsPbBr3钙钛矿薄膜的SEM图Figure 1. (a) Schematic illustration of fabrication process of CsPbBr3 PSCs; SEM images of (b, d) PbBr2 and (c, e) CsPbBr3 perovskite films为了进一步探究PVDF对PbBr2和CsPbBr3钙钛矿薄膜生长及表面形貌的影响,制备了不同质量浓度(0、0.5、1.0和1.5 mg·mL-1)的PVDF溶液。图 2a~2d为经不同质量浓度PVDF处理的PbBr2薄膜的SEM图,由图可知,空白组的PbBr2薄膜表面孔洞数量较多,且孔洞沿着晶界相互连接,导致晶界间产生裂缝,薄膜的表面形貌较差。随着PVDF质量浓度的增大,PbBr2薄膜表面的孔洞数量明显减少,孔径变小,晶界紧密结合,薄膜的表面形貌得到了显著改善。推测可能是因为两者之间的键合作用为PbBr2提供了均匀的晶体生长成核位点,进一步改善了其薄膜形貌[26]。
图 2
图 2e~2h为不同质量浓度PVDF条件下CsPbBr3钙钛矿薄膜的SEM图。由图可知,空白组的CsPbBr3钙钛矿薄膜(图 2e)表面存在孔洞,表面不平整,晶界较大且晶粒大小不均,导致器件性能较低。与空白组相比,不同质量浓度PVDF埋底界面修饰组的CsPbBr3钙钛矿薄膜(图 2f~2h)晶粒覆盖更完全,表面逐渐变得平整,晶界更小,晶粒更大且更加均匀,更大的晶粒尺寸和更有序的晶体结构将促进电荷传输,并抑制非辐射复合损失[30-31]。图 2i~2l统计了不同PVDF质量浓度条件下CsPbBr3钙钛矿薄膜的晶粒尺寸,随着PVDF质量浓度的升高,CsPbBr3钙钛矿薄膜晶粒的平均尺寸(Dave)出现先上升后下降的趋势。当PVDF质量浓度为1.0 mg·mL-1时,CsPbBr3钙钛矿薄膜的平均晶粒尺寸最大,达到1 023.0 nm,并且表面形貌最平整。而当PVDF质量浓度继续增大到1.5 mg·mL-1时,薄膜平均晶粒尺寸下降到938.0 nm,并且晶界处亮斑明显增多,这可能是由于富Cs杂相(Cs4PbBr6)比例的升高[32],相纯度的降低将会使得薄膜光伏性能减弱,这将在后续表征测试中得到证明。
采用1.2节中相同的参数,在FTO导电玻璃基底上直接旋涂1.0 mg·mL-1的PVDF溶液,100 ℃退火后得到纯PVDF薄膜。图 3a展示了纯PbBr2薄膜、纯PVDF薄膜和经PVDF埋底界面修饰的PbBr2薄膜的FTIR测试结果。由图可知,纯PVDF薄膜在1 255 cm-1左右处出现特征峰,对应PVDF中C—F的特征吸收峰。该特征峰在纯PbBr2薄膜的FTIR谱图中没有出现,却出现在PVDF埋底界面修饰的PbBr2薄膜的FTIR谱图中,有力地证明了PVDF成功引入到PbBr2薄膜中。值得注意的是,PVDF埋底界面修饰后,PVDF的C—F特征峰显著位移至1 266 cm-1左右,这可能是因为Pb2+与PVDF中电负性较强的F原子形成了Pb—F配位键,降低了C—F键的电子云密度,使得其FTIR特征峰值向高波数移动。这也验证了上述SEM表征测试中,我们关于PVDF与PbBr2发生相互作用的推测。
图 3
图 3. (a) PVDF薄膜、PbBr2薄膜和PVDF界面修饰的PbBr2薄膜的FTIR谱图; (b) 有无PVDF埋底界面修饰的PbBr2薄膜的XRD图; (c) 不同PVDF质量浓度条件下制备的CsPbBr3钙钛矿薄膜的XRD图Figure 3. (a) FTIR spectra of PVDF film, PbBr2 film, and PVDF interface medicated PbBr2 film; (b) XRD patterns of the PbBr2 films with or without PVDF buried interface modification; (c) XRD patterns of the CsPbBr3 perovskite films prepared with different PVDF mass concentrations为了进一步探究PVDF对PbBr2和CsPbBr3钙钛矿结构及结晶性的影响,对制备好的薄膜进行XRD测试[33]。如图 3b所示,与空白组的PbBr2薄膜相比,PVDF埋底界面修饰组的PbBr2薄膜衍射峰未发生偏移,说明PVDF不改变PbBr2的晶体结构。此外,18.7°和38.0°处的(020)和(002)晶面[34]衍射峰显著增强,这表明PVDF的引入有助于优化PbBr2晶体的排列,使其呈现出优先取向,增强其结晶性,从而显著提升薄膜的结晶质量[35]。
采用多步旋涂法生成CsPbBr3钙钛矿薄膜的过程中,由于CsBr和PbBr2的反应量不同,随着CsBr旋涂次数的增多,会相继形成CsPb2Br5、CsPbBr3和Cs4PbBr6三种相,而且这3种相在反应过程中相互转换。图 3c显示了不同PVDF质量浓度条件下CsPbBr3钙钛矿薄膜的XRD图,图中在13°~33°的变化范围内观察到了不同相的衍射峰。其中,15.6°、21.9°和31.0°左右的衍射峰分别对应CsPbBr3相的(100)、(110)和(200)晶面[32],24.5°左右的衍射峰属于CsPb2Br5相,25.8°和26.8°左右的衍射峰则代表了Cs4PbBr6相。4组CsPbBr3薄膜显示出了相同的衍射峰位,说明引入PVDF埋底界面的处理并未改变CsPbBr3薄膜的晶体结构。但是,对比不同条件下的衍射峰强度可以发现,PVDF的埋底界面修饰作用使得CsPbBr3相的衍射峰强度有所增强,特别是在1.0 mg·mL-1的条件下。同时,随着PVDF质量浓度的升高,代表CsPb2Br5相和Cs4PbBr6相的衍射峰强度几乎都呈现出先减弱后增强的趋势。以上结果表明,引入适当质量浓度的PVDF可以使PbBr2薄膜与CsBr的反应更加充分,提高CsPbBr3薄膜的相纯度,获得更高质量的CsPbBr3钙钛矿薄膜。但是,过量的PVDF可能会影响PbBr2与CsBr的反应活性,其通过Pb—F配位作用形成稳定配合物,使得部分未反应的PbBr2残留在薄膜中,而薄膜上方却存在较多的CsBr,最终导致Cs4PbBr6相的比例提高[28]。这一结果也与前文SEM和FTIR的分析结果相符。
2.2 PVDF的引入对CsPbBr3 PSC器件光伏性能的影响
采用1.2节中相同的步骤,在纯玻璃基底上制备CsPbBr3钙钛矿薄膜,得到结构为Glass/CsPbBr3的薄膜;在纯玻璃基底上先旋涂质量浓度为1.0 mg·mL-1的PVDF溶液,退火后在其上方再制备CsPbBr3钙钛矿薄膜,得到结构为Glass/PVDF/CsPbBr3的薄膜。对上述2种薄膜样品进行稳态荧光光谱(PL)和时间分辨荧光光谱(TRPL)测试。PL测试结果如图 4a所示,实线为在空气侧(air side,AS)激发的PL光谱,虚线为在玻璃侧(glass side,GS)激发的PL光谱。由于薄膜样品中不存在电子传输层(electron transport layer,ETL)和空穴传输层(hole transport layer,HTL),测试所得AS激发的PL光谱强度能够直接反映薄膜的非辐射复合情况。可以看出,PVDF埋底界面修饰组AS激发的PL光谱强度明显增强,这证明了CsPbBr3钙钛矿薄膜内非辐射复合位点的减少[36-38],表明PVDF埋底界面层的引入有助于提高CsPbBr3钙钛矿薄膜的质量。除此之外,PL测试所得的AS和GS的光谱强度大小能够反映出薄膜的均一程度[39]。对比发现,对于Glass/CsPbBr3的薄膜样品,其GS激发的PL光谱强度明显低于AS激发的PL光谱强度,这可能因为多步旋涂法制备的薄膜底部易存在残留的PbBr2[40],Glass/CsPbBr3的薄膜样品残留的PbBr2量较大且倾向集中于薄膜底部,更靠近玻璃。而PVDF埋底界面修饰组的薄膜样品GS激发的PL光谱强度反而略高于AS,这说明PVDF埋底界面层的引入有效地钝化了界面缺陷,并且优化了纵向尺度上CsPbBr3钙钛矿薄膜的均一性。此外,引入PVDF埋底界面层后,薄膜样品的PL峰发生了轻微蓝移,这表明PVDF/CsPbBr3界面间的非辐射复合受到抑制[41]。图 4b为对应样品的TRPL谱图,相关参数列于表 1中。我们通过双指数函数R(t)=R0+A1
+A2$ {\mathrm{e}}^{-t/{\tau }_{1}} $ 对薄膜的衰减过程进行了拟合,其中R(t)代表测试过程中t时刻的薄膜荧光强度,R0为拟合过程中的常数,t代表测试时间(ns),A1与A2分别对应快衰减与慢衰减常数,τ1(ns)为快衰减寿命(与非辐射复合有关),τ2(ns)为慢衰减寿命(与辐射复合有关)[9, 42]。载流子的平均衰减寿命(τave)可以通过式τave=A1τ1+A2τ1计算得到。结果表明,经过PVDF埋底界面修饰后,CsPbBr3钙钛矿薄膜的τave由22.85 ns增至26.13 ns,说明PVDF的引入使得CsPbBr3钙钛矿薄膜的载流子复合过程受到了抑制,减少了钙钛矿薄膜的缺陷数量,得到了更高结晶质量的CsPbBr3钙钛矿薄膜。$ {\mathrm{e}}^{-t/{\tau }_{2}} $ 图 4
图 4. Glass/CsPbBr3和Glass/PVDF/CsPbBr3(a) 不同激发方向的PL光谱和(b) TRPL光谱; 有无PVDF埋底界面修饰组CsPbBr3钙钛矿薄膜的(c) UV-Vis吸收光谱和(d) Tauc曲线Figure 4. (a) PL spectra with different excitation directions and (b) TRPL spectra of Glass/CsPbBr3 and Glass/PVDF/CsPbBr3; (c) UV-Vis absorption spectra and (d) Tauc curves of the CsPbBr3 perovskite films with or without PVDF buried interface modification表 1
表 1 Glass/CsPbBr3和Glass/PVDF/CsPbBr3钙钛矿薄膜的TRPL光谱拟合参数Table 1. Fitting parameters of the TRPL spectra for Glass/CsPbBr3 and Glass/PVDF/CsPbBr3Sample τave / ns τ1 / ns A1 / % τ2 / ns A2 / % Glass/CsPbBr3 22.85 6.06 68.42 59.25 31.58 Glass/PVDF/CsPbBr3 26.13 7.54 69.02 67.57 30.97 为了探究引入PVDF对CsPbBr3钙钛矿薄膜吸光度的影响,对1.2节中引入前后的CsPbBr3钙钛矿薄膜进行了紫外可见(UV-Vis)吸收光谱的表征。如图 4c所示,在钙钛矿材料对应的吸光范围内,PVDF埋底界面修饰组的CsPbBr3钙钛矿薄膜对入射光的吸收强度更高,这说明引入PVDF后,CsPbBr3钙钛矿薄膜的结晶度提高,对可见光的吸收能力增强,有利于器件性能的提升。CsPbBr3钙钛矿薄膜的带隙(Eg)可用Tauc公式计算[43]:(αhν)n=α0(hν-Eg),其中,α表示吸收系数(cm-1),hν表示入射光子能量(eV),α0为常量,n与材料的半导体类型有关[34, 44],相应的Tauc曲线如图 4d所示。经计算得到空白组和PVDF埋底界面修饰组CsPbBr3钙钛矿薄膜的带隙均约为2.33 eV[45],表明引入PVDF并不能通过生成其他物质改变CsPbBr3钙钛矿薄膜的吸光性能,而是通过提高薄膜的结晶度,进而增强CsPbBr3钙钛矿薄膜对可见光的吸收能力。
根据以上SEM、FTIR和XRD的表征结果,推测PVDF在CsPbBr3钙钛矿薄膜中的作用机理如图 5a所示。PVDF作为埋底界面被引入后,其中电负性较强的F原子会与后续沉积的PbBr2薄膜中的Pb2+形成Pb—F配位键,为PbBr2晶体的生长提供了足够的成核位点,使得埋底界面上PbBr2薄膜的形貌得到改善,从而促进了PbBr2与CsBr的反应,为CsPbBr3钙钛矿薄膜的生长提供骨架,最终获得高质量CsPbBr3钙钛矿薄膜。除此之外,由于大量疏水F和PVDF长链的存在,1.2节中所制备的PVDF埋底界面修饰的CsPbBr3钙钛矿薄膜的疏水性能有所增强,水接触角从空白组的42.5°(图 5b)增大到55.0°(图 5c), 有效地降低了湿度对CsPbBr3钙钛矿薄膜的影响。
图 5
图 5. (a) PVDF埋底界面修饰示意图; (b) 空白组和(c) PVDF埋底界面修饰组CsPbBr3钙钛矿薄膜的水接触角; (d) FTO/TiO2/Ag和FTO/TiO2/PVDF/Ag的电导率曲线; (e) 不同质量浓度PVDF制备的CsPbBr3 PSC器件的J-V曲线Figure 5. (a) Schematic diagram of the PVDF buried interface modification; Water contact angles of the CsPbBr3 perovskite films in (b) the control group and (c) PVDF buried interface modified group; (d) Electronic conductivity curves of the FTO/TiO2/Ag and FTO/TiO2/PVDF/Ag; (e) J-V curves of CsPbBr3 PSC devices prepared with the different mass concentrations of PVDF为了探究其作为埋底界面层对ETL的影响,采用1.2节中相同的步骤,在FTO导电玻璃基底上沉积了TiO2层,之后蒸镀80 nm厚度的Ag电极,得到结构为FTO/TiO2/Ag的样品;在沉积了TiO2层的FTO导电玻璃上先旋涂质量浓度为1.0 mg·mL-1的PVDF溶液,退火后在其上方再蒸镀80 nm厚度的Ag电极,得到结构为FTO/TiO2/PVDF/Ag的样品。对上述2种样品进行了电导率测试,结果如图 5d所示。PVDF埋底界面修饰使TiO2 ETL的电导略微下降,这主要由于PVDF本身的电绝缘性(其本征电导率低至10-14 S·cm-1)。当PVDF在TiO2 ETL表面形成连续的薄膜后,会阻碍电子在TiO2晶粒间的传导路径,从而降低整个ETL的电导。但是,PVDF埋底界面层在改善CsPbBr3钙钛矿薄膜形貌、提高薄膜相纯度和增强可见光吸光能力等方面发挥了重要的作用。这种略微“牺牲电导”的方法是一种权衡策略,是为了换取更好的界面钝化和更优异的光伏性能参数。
为探究不同质量浓度PVDF对器件光伏性能的影响,对1.2节中制备的器件进行J-V测试。图 5e为所制备器件的光伏特性曲线。通过图 5e和表 2可知,PVDF埋底界面层将有效提升器件的光伏性能。其中,经质量浓度为1.0 mg·mL-1的PVDF埋底界面修饰得到的PSCs光伏性能最佳,其VOC为1.59 V,JSC为7.43 mA·cm-2,FF为79.69%,PCE为9.41%,均超过空白组器件(VOC为1.48 V,JSC为6.97 mA·cm-2,FF为77.73%,PCE为8.02%)。结合上述表征结果可知,PVDF埋底界面层的引入使得CsPbBr3钙钛矿薄膜的质量得到提高,主要表现为具有更加平整的薄膜形貌、更高的薄膜相纯度和更优异的可见光吸收能力等,这也使得CsPbBr3钙钛矿薄膜中的电荷传输效率提高,载流子在迁移过程中复合损失减少,提升了电池器件的整体性能。但是,过量(超过1.0 mg·mL-1)的PVDF会导致薄膜中Cs4PbBr6相[32]的比例增长,这是由于其为0D结构,带隙达到近4 eV,不能有效吸收可见光,并且会阻碍载流子传输,增加电荷复合数量,从而减少电池的光生电荷载流子数量,最终使器件光伏性能变差。
表 2
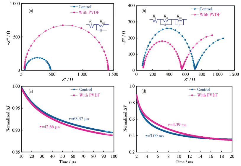
表 2 不同质量浓度PVDF制备的CsPbBr3 PSC器件的光伏参数Table 2. Photovoltaic parameters of the CsPbBr3 PSC devices prepared with different mass concentrations of PVDFρPVDF / (mg·mL-1) VOC / V JSC / (mA·cm-2) FF / % PCE / % 0 1.48 6.97 77.73 8.02 0.5 1.50 7.05 77.90 8.24 1.0 1.59 7.43 79.69 9.41 1.5 1.55 7.19 79.13 8.81 为了研究器件在ETL和CsPbBr3界面处的电化学特性,我们对空白组和PVDF埋底界面修饰组器件在偏压为0 V的条件下进行了EIS测试,测试结果使用ZSimDemo 3.30d软件进行拟合计算,所提取的各电阻参数列在表 3和4中。图 6a和6b为由相关数据所作的Nyquist图和对应拟合的等效电路图。图 6a为器件在暗态条件的EIS,器件内部电荷的复合电阻(Rrec)与该半圆的半径相关,半圆半径越大,器件内部电子和空穴复合难度越大,器件性能越优异[46-47]。从图 6a中可以看出,PVDF埋底界面修饰组器件的串联电阻(Rs)无明显变化,但其Rrec(1 363.52 Ω)远大于空白组器件的Rrec(420.86 Ω)。这在一定程度上说明,经PVDF修饰后ETL与CsPbBr3界面之间的载流子复合得到抑制,这有利于载流子的提取和传输,从而提高JSC和FF[22, 48],提升器件的光伏性能。图 6b是器件在100 mW·cm-2条件下的EIS,由图 6和表 4可知,修饰前后Rs也没有明显变化,而PVDF埋底界面修饰组的接触电阻(Rct,471.57 Ω)显著低于空白组(641.19 Ω),Rrec(740.84 Ω)约是空白组的1.08倍(687.57 Ω)。更低的接触电阻表明在ETL与CsPbBr3界面之间引入PVDF埋底界面层后,载流子的重组受到抑制,电荷转移得到改善,更高的复合电阻则表明PVDF埋底界面修饰的钙钛矿薄膜表面缺陷减少,器件的暗重组受到抑制[49-51]。
表 3
表 3 有无PVDF埋底界面修饰组PSC器件的暗态EIS参数Table 3. Dark-state EIS parameters of PSC devices with or without PVDF buried interface modificationPSC Rs / Ω Rrec / Ω Control 55.72 420.86 With PVDF 50.75 1 363.52 表 4
表 4 有无PVDF埋底界面修饰组PSC器件的光态EIS参数Table 4. Light-state EIS parameters of PSC devices with or without PVDF buried interface modificationPSC Rs / Ω Rct / Ω Rrec / Ω Control 74.77 641.19 687.57 With PVDF 84.97 471.57 740.84 图 6
同时,我们对器件进行了TPC和TPV测试,进一步研究了PVDF埋底界面层的引入对载流子的复合和传输行为产生的影响。图 6c为TPC曲线,由图可知,经PVDF埋底界面修饰器件的载流子提取寿命由63.37 μs下降为42.66 μs,说明经PVDF埋底界面修饰后,ETL和CsPbBr3界面处电荷陷阱密度降低,光生载流子的分离效率更高,使得载流子能够更为有效地被提取至ETL中。图 6d为TPV曲线,通过对比可以发现,PVDF埋底界面修饰组器件的载流子重组寿命为4.39 ms,相比于空白组的3.09 ms有显著增长,说明PVDF埋底界面修饰能够减少非辐射复合位点,抑制载流子的复合速率,有利于减少CsPbBr3钙钛矿薄膜中载流子复合的现象[52],进而提高器件的VOC。
为了表征薄膜的缺陷态密度,采用1.2节中相同的步骤,在FTO导电玻璃基底上沉积了TiO2层,之后旋涂制备了CsPbBr3钙钛矿薄膜,并在其上方旋涂质量浓度为10 mg·mL-1的PCBM的氯苯溶液,得到PCBM薄膜,印刷碳电极后得到结构为FTO/TiO2/CsPbBr3/PCBM/carbon的器件;在沉积了TiO2层的FTO导电玻璃上先旋涂质量浓度为1.0 mg·mL-1的PVDF溶液,退火后在其上方再完成上述后续步骤得到结构为FTO/TiO2/PVDF/CsPbBr3/PCBM/carbon的器件。对上述2种纯电子器件进行了空间电荷限制电流(space-charge-limited current,SCLC)测试,进而计算缺陷态密度(Nt,cm-3),相应的计算公式为Nt=2ε0εrVTFL/(eL2),其中,ε0为真空介电常数(F·m-1),εr为钙钛矿材料的介电常数(F·m-1),VTFL为陷阱填充极限电压(V),e为元电荷(C),L为钙钛矿薄膜厚度(m)[53]。如图 7a所示,经PVDF埋底界面修饰后,VTFL由1.330 V下降至1.265 V,Nt由1.53×1016 cm-3降低至1.45×1016 cm-3,说明PVDF埋底界面修饰组器件的缺陷态得到改善,较低的缺陷态密度能够减少缺陷引起的电荷复合。
图 7
图 7. FTO/TiO2/CsPbBr3/PCBM/carbon和FTO/TiO2/PVDF/CsPbBr3/PCBM/carbon的(a) SCLC曲线; 有无PVDF埋底界面修饰组PSC器件的(b) VOC与Plight的相关性曲线、(c) C-V曲线和(d) M-S曲线Figure 7. (a) SCLC curves of FTO/TiO2/CsPbBr3/PCBM/carbon and FTO/TiO2/PVDF/CsPbBr3/PCBM/carbon; (b) Correlation curves of VOC with Plight, (c) C-V curves, and (d) M-S curves of PSC devices with or without PVDF buried interface modificationInset: the magnified C-V curves within the voltage range of 1.20-1.52 V.
为了探究VOC与光照强度(Plight)的相关性,从而探究钙钛矿器件中双分子重组情况,我们测试了2种器件在不同光强下的VOC。如图 7b所示,VOC与Plight遵循对数线性函数方程[54-55]:Voc∝(nkT/e)ln Plight,其中nkT/e表示对数线性函数的斜率,k为玻尔兹曼常数(J·K-1),T为热力学温度(K)。空白组和PVDF埋底界面修饰组PSCs的斜率分别为1.99kT/e和1.56kT/e。n越接近于1,表明器件中的双分子电荷重组增多,意味着陷阱辅助重组减少,有助于器件VOC和PCE的提高。
为了反映界面处的电荷积累,在暗态条件下测得了偏压范围为-1.0~2.0 V的C-V曲线,如图 7c所示。PVDF埋底界面修饰组的电容低于空白组,说明PSCs界面处的电荷积累被有效地抑制[56]。图 7d则反映了M-S曲线,根据曲线中线性区域的切线与直线y=0的交点可以得到器件的内建电场(Vbi)。由图可知,PVDF埋底界面修饰组的Vbi从1.20 V增大到了1.56 V,表明引入的PVDF可增强解离光生载流子的驱动力并有效地抑制重组。载流子浓度(Nd)可由以下公式计算得到[57-58]:1/C2=2(Vbi-V)/(A2eεε0Nd),其中A为电极面积(m2),ε为样品的介电常数(F·m-1)。计算得到PVDF埋底界面修饰组器件的载流子浓度为2.13×1014 cm-3,高于空白组(1.50×1014 cm-3),说明经PVDF埋底界面修饰后器件的缺陷态及界面载流子复合情况得到有效改善[59-61]。
2.3 PVDF埋底界面修饰策略的可重复性与器件性能稳定性
为了验证J-V曲线数据的重复性,我们统计并绘制了20组空白组和PVDF埋底界面修饰组器件的光伏参数箱线图,如图 8a~8d所示。可以看出,PVDF埋底界面修饰组器件的各项参数均大于空白组的各项参数,且标准偏差较小,重现性更好。图 8e展示了空白组器件在1.26 V偏压下与PVDF埋底界面修饰组器件在1.32 V偏压下的稳态输出曲线。在第10 s时突然施加光照,可以观察到2组器件的JSC均迅速达到最大值,并在一定时间内保持稳定输出,没有下降,并且经PVDF埋底界面修饰后器件的稳态JSC由6.03 mA·cm-2提高至6.75 mA·cm-2。
图 8
图 8. 器件的(a) VOC、(b) JSC、(c) FF和(d) PCE箱线图; 有无PVDF埋底界面修饰组PSC器件的(e) 稳态输出曲线和(f) PCE归一化稳定性曲线Figure 8. (a) VOC, (b) JSC, (c) FF, and (d) PCE box diagrams of the devices; (e) Steady-state output curves and (f) PCE normalized stability curves of PSC devices with or without PVDF buried interface modification为了探究PVDF埋底界面层对器件长期稳定性的影响,将未封装的空白组与PVDF埋底界面修饰组器件放置在大气环境下,记录其PCE随时间的变化,绘制稳定性曲线,结果如图 8f所示。在大气环境中暴露30 d后,PVDF埋底界面修饰组器件归一化后的PCE仍保持初始值的99.4%,高于空白组器件的97.3%,展现出更好的稳定性,这可归因于引入的PVDF埋底界面层提高了CsPbBr3钙钛矿薄膜的质量,使薄膜的晶粒尺寸更大,晶界变小,同时PVDF独特的疏水性增强了CsPbBr3钙钛矿薄膜的疏水性能,使器件在空气中的长期稳定性更优异。
3. 结论
基于聚合物PVDF的埋底界面修饰工程策略来提高CsPbBr3钙钛矿太阳能电池的性能。通过在ETL/CsPbBr3之间引入PVDF来钝化界面缺陷,改善薄膜形貌,实现晶体的紧凑堆叠和择优取向,从而显著提升器件的光伏性能。最终实验结果表明,当引入的PVDF质量浓度为1.0 mg·mL-1时,CsPbBr3钙钛矿薄膜的形貌得到了有效改善,晶粒尺寸明显增大,CsPbBr3的结晶性显著增强,薄膜中的缺陷密度减小且非辐射复合现象得到抑制,从而提高了载流子的传输效率,器件性能相比空白组有明显提升。经PVDF埋底界面修饰后,器件的VOC从1.48 V提升至1.59 V,JSC从6.97 mA·cm-2提升至7.43 mA·cm-2,FF从77.73%提升至79.69%,PCE从8.02%提升至9.41%,器件稳定性也有较大的提高,在大气环境中暴露30 d后器件的PCE仍保持初始值的99.4%。此外,20组器件的箱线图数据表明PVDF埋底界面修饰策略具有良好的重复性及可行性。
-
-
[1]
SHAO Y C, WANG Q, DONG Q F, YUAN Y B, HUANG J S. Vacuum-free laminated top electrode with conductive tapes for scalable manufacturing of efficient perovskite solar cells[J]. Nano Energy, 2015, 16: 47-53 doi: 10.1016/j.nanoen.2015.06.010
-
[2]
SAPAROV B, MITZI D B. Organic-inorganic perovskites: Structural versatility for functional materials design[J]. Chem. Rev., 2016, 116(7): 4558-4596 doi: 10.1021/acs.chemrev.5b00715
-
[3]
JEON N J, NOH J H, YANG W S, KIM Y C, RYU S, SEO J, SEOK S I. Compositional engineering of perovskite materials for high-performance solar cells[J]. Nature, 2015, 517(7535): 476-480 doi: 10.1038/nature14133
-
[4]
DE WOLF S, HOLOVSKY J, MOON S J, LÖPER P, NIESEN B, LEDINSKY M, HAUG F J, YUM J H, BALLIF C. Organometallic halide perovskites: Sharp optical absorption edge and its relation to photovoltaic performance[J]. J. Phys. Chem. Lett., 2014, 5(6): 1035-1039 doi: 10.1021/jz500279b
-
[5]
LIU N M, DUAN J L, ZHANG C L, ZHANG J Y, BI Y Y, MA L Z, XU D M, GAO J, DUAN X X, DOU J, GUO Q Y, HE B L, ZHAO Y Y, TANG Q W. SN2-reaction-bonding-heterointerface strengthens buried adhesion and orientation for advanced perovskite solar cells[J]. Angew. Chem.‒Int. Edit., 2025, 64(15): e202424046 doi: 10.1002/anie.202424046
-
[6]
KOJIMA A, TESHIMA K, SHIRAI Y, MIYASAKA T. Organometal halide perovskites as visible-light sensitizers for photovoltaic cells[J]. J. Am. Chem. Soc., 2009, 131(17): 6050-6051 doi: 10.1021/ja809598r
-
[7]
ZHENG Y T, LI Y, ZHUANG R S, WU X Y, TIAN C C, SUN A X, CHEN C, GUO Y S, HUA Y, MENG K, WU K, CHEN C C. Towards 26% efficiency in inverted perovskite solar cells via interfacial flipped band bending and suppressed deep-level traps[J]. Energy Environ. Sci., 2024, 17(3): 1153-1162 doi: 10.1039/D3EE03435F
-
[8]
WANG R, MUJAHID M, DUAN Y, WANG Z K, XUE J, YANG Y. A review of perovskites solar cell stability[J]. Adv. Funct. Mater., 2019, 29(47): 1808843 doi: 10.1002/adfm.201808843
-
[9]
NIU G D, GUO X D, WANG L D. Review of recent progress in chemical stability of perovskite solar cells[J]. J. Mater. Chem. A, 2015, 3(17): 8970-8980 doi: 10.1039/C4TA04994B
-
[10]
SUN S H, HE B L, WANG Z Y, LIU W L, LIU Y, ZHU J W, WEI M, JIAO W J, CHEN H Y, TANG Q W. Integration of SWCNT and WO3 for efficient charge extraction in all-inorganic perovskite solar cells[J]. Chem. Eng. J., 2024, 483: 149425 doi: 10.1016/j.cej.2024.149425
-
[11]
LIU X Y, LIU Z Y, TAN X H, YE H B, SUN B, XI S, SHI T L, TANG Z R, LIAO G L. Novel antisolvent-washing strategy for highly efficient carbon-based planar CsPbBr3 perovskite solar cells[J]. J. Power Sources, 2019, 439: 227092 doi: 10.1016/j.jpowsour.2019.227092
-
[12]
WANG Q R, ZHU J W, ZHAO Y Y, CHANG Y J, HAO N N, XIN Z, ZHANG Q, CHEN C, HUANG H, TANG Q W. Cross-layer all-interface defect passivation with pre-buried additive toward efficient all-inorganic perovskite solar cells[J]. Carbon Energy, 2024, 6(9): e566 doi: 10.1002/cey2.566
-
[13]
XIN Z, DING Y, ZHAO Y Y, PENG Y, ZHANG Q, CAO Y S, GUO Q Y, DUAN J L, DOU J, SUN L Q, ZHANG Q, TANG Q W. Colloidal stabilizer-mediated crystal growth regulation and defect healing for high-quality perovskite solar cells[J]. Adv. Energy Mater., 2025, 15(6): 2403018 doi: 10.1002/aenm.202403018
-
[14]
LIU X P, WU J H, GUO Q Y, YANG Y Q, LUO H, LIU Q Z, WANG X B, HE X, HUANG M L, LAN Z. Pyrrole: An additive for improving the efficiency and stability of perovskite solar cells[J]. J. Mater. Chem. A, 2019, 7(19): 11764-11770 doi: 10.1039/C9TA02916H
-
[15]
MA Z W, HE B L, TUI R, ZHANG X Y, CHENG Q H, LIU C Q, CHEN H Y, DUAN J L, TANG Q W. Multifunctional molecular bridge enabled interface passivation and strain release for stable and efficient all-inorganic perovskite solar cells[J]. Chem. Eng. J., 2024, 498: 155396 doi: 10.1016/j.cej.2024.155396
-
[16]
LIU F H, GENG J D, ZHANG W, DOU J, GUO Q Y, DUAN J L, TANG Q W. A multifunctional phenylphosphinamide additive for stable flexible inverted perovskite solar cells[J]. Chem. Commun., 2024, 60(80): 11335-11338 doi: 10.1039/D4CC03491K
-
[17]
ZHOU C C, WANG T, XU J Q, WU J, TANG T W, SHI Q, WANG Y N, PENG L, LIU X L, LIN J, CHEN X F. Regulating molecular stacking to construct a superior interfacial contact for highly efficient and stable perovskite solar cells[J]. Chem. Eng. J., 2023, 472: 144975 doi: 10.1016/j.cej.2023.144975
-
[18]
GENG S W, DUAN J L, LIU N M, LI H, ZHU X X, DUAN X X, GUO Q Y, DOU J, HE B L, ZHAO Y Y, TANG Q W. Influence of donor skeleton on intramolecular electron transfer amount for efficient perovskite solar cells[J]. Angew. Chem.‒Int. Edit., 2024, 63(32): e202407383 doi: 10.1002/anie.202407383
-
[19]
YANG M J, ZHOU Y Y, ZENG Y N, JIANG C S, PADTURE N P, ZHU K. Square-centimeter solution-processed planar CH3NH3PbI3 perovskite solar cells with efficiency exceeding 15%[J]. Adv. Mater., 2015, 27(41): 6363-6370 doi: 10.1002/adma.201502586
-
[20]
CHEN Y, LI B B, HUANG W, GAO D Q, LIANG Z Q. Efficient and reproducible CH3NH3PbI3-x(SCN)x perovskite based planar solar cells[J]. Chem. Commun., 2015, 51(60): 11997-11999 doi: 10.1039/C5CC03615A
-
[21]
BRENES R, GUO D Y, OSHEROV A, NOEL N K, EAMES C, HUTTER E M, PATHAK S K, NIROUI F, FRIEND R H, ISLAM M S, SNAITH H J, BULOVIC V, SAVENIJE T J, STRANKS S D. Metal halide perovskite polycrystalline films exhibiting properties of single crystals[J]. Joule, 2017, 1(1): 155-167 doi: 10.1016/j.joule.2017.08.006
-
[22]
WANG G Q, DONG W N, GURUNG A, CHEN K, WU F, HE Q Q, PATHAK R, QIAO Q Q. Improving photovoltaic performance of carbon-based CsPbBr3 perovskite solar cells by interfacial engineering using P3HT interlayer[J]. J. Power Sources, 2019, 432: 48-54 doi: 10.1016/j.jpowsour.2019.05.075
-
[23]
TAN J, DOU J, DUAN J L, ZHAO Y Y, HE B L, TANG Q W. A trifunctional polyethylene oxide buffer layer for stable and efficient all-inorganic CsPbBr3 perovskite solar cells[J]. Dalton Trans., 2023, 52(13): 4038-4043 doi: 10.1039/D3DT00169E
-
[24]
TONG A L, ZHU C W, YAN H Y, ZHANG C H, JIN Y N, WU Y J, CAO F X, WU J H, SUN W H. Defect control for high-efficiency all-inorganic CsPbBr3 perovskite solar cells via hydrophobic polymer interface passivation[J]. J. Alloy. Compd., 2023, 942: 169084 doi: 10.1016/j.jallcom.2023.169084
-
[25]
AGHAYARI S. PVDF composite nanofibers applications[J]. Heliyon, 2022, 8(11): e11620 doi: 10.1016/j.heliyon.2022.e11620
-
[26]
羊美丽, 邹丽, 程佳杰, 王佳明, 江钰帆, 郝会颖, 邢杰, 刘昊, 樊振军, 董敬敬. 聚偏氟乙烯添加剂提高CsPbBr3钙钛矿太阳能电池性能[J]. 物理学报, 2023, 72(6): 168101YANG M L, ZOU L, CHENG J J, WANG J M, JIANG Y F, HAO H Y, XING J, LIU H, FAN Z J, DONG J J. Improvement of performance of CsPbBr3 perovskite solar cells by polyvinylidene fluoride additive[J]. Acta Phys. Sin., 2023, 72(16): 168101
-
[27]
ZARENEZHAD H, ASKARI M, HALALI M, SOLATI N, BALKAN T, KAYA S. Enhanced electron transport induced by a ferroelectric field in efficient halide perovskite solar cells[J]. Sol. Energy Mater. Sol. Cells, 2020, 206: 110318 doi: 10.1016/j.solmat.2019.110318
-
[28]
ZHENG H Y, LIU G Z, WU W W, XU H F, PAN X. Highly efficient and stable perovskite solar cells with strong hydrophobic barrier via introducing poly(vinylidene fluoride) additive[J]. J. Energy Chem., 2021, 57: 593-600 doi: 10.1016/j.jechem.2020.09.026
-
[29]
PAEK S, SCHOUWINK P, ATHANASOPOULOU E N, CHO K T, GRANCINI G, LEE Y, ZHANG Y, STELLACCI F, NAZEERUDDIN M K, GAO P. From nano-to micrometer scale: The role of antisolvent treatment on high performance perovskite solar cells[J]. Chem. Mat., 2017, 29(8): 3490-3498 doi: 10.1021/acs.chemmater.6b05353
-
[30]
ZHAO Y Y, WANG Y D, DUAN J L, YANG X Y, TANG Q W. Divalent hard Lewis acid doped CsPbBr3 films for 9.63%-efficiency and ultra-stable all-inorganic perovskite solar cells[J]. J. Mater. Chem. A, 2019, 7(12): 6877-6882 doi: 10.1039/C9TA00761J
-
[31]
ZHANG J S, LI J B, DUAN J L, ZHANG X Y, DOU J, GUO Q Y, JIANG C, ZHAO Y Y, HUANG H, TANG Q W. Ionic-rich vermiculite tailoring dynamic bottom-up gradient for high-efficiency perovskite solar cells[J]. Adv. Funct. Mater., 2024, 34(33): 2401662 doi: 10.1002/adfm.202401662
-
[32]
DUAN J L, ZHAO Y Y, HE B L, TANG Q W. High-purity inorganic perovskite films for solar cells with 9.72% efficiency[J]. Angew. Chem.‒Int. Edit., 2018, 57(14): 3787-3791 doi: 10.1002/anie.201800019
-
[33]
SAIDAMINOV M I, KIM J, JAIN A, QUINTERO-BERMUDEZ R, TAN H, LONG G, TAN F, JOHNSTON A, ZHAO Y, VOZNYY O, SARGENT E H. Suppression of atomic vacancies via incorporation of isovalent small ions to increase the stability of halide perovskite solar cells in ambient air[J]. Nat. Energy, 2018, 3(8): 648-654 doi: 10.1038/s41560-018-0192-2
-
[34]
LIANG K B, WU Y J, ZHEN Q S, ZOU Y, ZHANG X C, WANG C H, SHI P Y, ZHANG Y Y, SUN W H, LI Y L, WU J H. Solvent vapor annealing-assisted mesoporous PbBr2 frameworks for high-performance inorganic CsPbBr3 perovskite solar cells[J]. Surf. Interfaces, 2023, 37: 102707 doi: 10.1016/j.surfin.2023.102707
-
[35]
JONES T W, OSHEROV A, ALSARI M, SPONSELLER M, DUCK B C, JUNG Y K, SETTENS C, NIROUI F, BRENES R, STAN C V, LI Y, ABDI-JALEBI M, TAMURA N, MACDONALD J E, BURGHAMMER M, FRIEND R H, BULOVIC V, WALSH A, WILSON G J, LILLIU S, STRANKS S D. Lattice strain causes non-radiative losses in halide perovskites[J]. Energy Environ. Sci., 2019, 12(2): 596-606 doi: 10.1039/C8EE02751J
-
[36]
FU S, ZHANG W X, LI X D, WAN L, WU Y L, CHEN L J, LIU X H, FANG J F. Dual-protection strategy for high-efficiency and stable CsPbI2Br inorganic perovskite solar cells[J]. ACS Energy Lett., 2020, 5(2): 676-684 doi: 10.1021/acsenergylett.9b02716
-
[37]
WU Y L, WAN L, FU S, ZHANG W X, LI X D, FANG J F. Liquid metal acetate assisted preparation of high-efficiency and stable inverted perovskite solar cells[J]. J. Mater. Chem. A, 2019, 7(23): 14136-14144 doi: 10.1039/C9TA04192C
-
[38]
LIU C Q, CHEN H Y, HE B L, BAO F L, CHENG Q H, YANG Z, WEI M, MA Z W, DUAN J L, TANG Q W. Influence of p-π conjugation in π-π stacking molecules on passivating defects for efficient and stable perovskite solar cells[J]. J. Energy Chem., 2025, 102: 282-289 doi: 10.1016/j.jechem.2024.11.009
-
[39]
SHIH Y C, LAN Y B, LI C S, HSIEH H C, WANG L, WU C I, LIN K F. Amino-acid-induced preferential orientation of perovskite crystals for enhancing interfacial charge transfer and photovoltaic performance[J]. Small, 2017, 13(22): 1604305 doi: 10.1002/smll.201604305
-
[40]
马书鹏, 林飞宇, 罗媛, 朱刘, 郭学益, 杨英. 多步旋涂过程中CsPbBr3无机钙钛矿成膜机理[J]. 物理学报, 2022, 71(15): 158101MA S P, LIN F Y, LUO Y, ZHU L, GUO X Y, YANG Y. Formation mechanism of CsPbBr3 in multi-step spin-coating process[J]. Acta Phys. Sin., 2022, 71(15): 158101
-
[41]
FU S, LI X D, WAN L, ZHANG W X, SONG W J, FANG J F. Effective surface treatment for high-performance inverted CsPbI2Br perovskite solar cells with efficiency of 15.92%[J]. Nano-Micro Lett., 2020, 12(1): 170 doi: 10.1007/s40820-020-00509-y
-
[42]
LI H, DUAN J L, LIU N M, MA L Z, DOU J, ZHANG X Y, GUO Q Y, ZHAO Y Y, HE B L, TANG Q W. Effective n-type de-doping of perovskite surface via defect passivation and improved film crystallization for high-efficiency inorganic solar cells[J]. J. Mater. Chem. A, 2024, 12(34): 23067-23075 doi: 10.1039/D4TA03811H
-
[43]
URBACH F. The long-wavelength edge of photographic sensitivity and of the electronic absorption of solids[J]. Phys. Rev., 1953, 92(5): 1324-1324
-
[44]
JIAO W J, HE B L, SUN S H, WEI M, LIU W L, SUN M R, CHEN H Y, LI H Y, DUAN J L, TANG Q W. Reducing oxygen vacancies of MoO3 by polyaniline functionalization for stable and efficient inorganic tri-brominated perovskite solar cells[J]. Mater. Today Phys., 2024, 46: 101514 doi: 10.1016/j.mtphys.2024.101514
-
[45]
KULBAK M, CAHEN D, HODES G. How important is the organic part of lead halide perovskite photovoltaic cells? Efficient CsPbBr3 cells[J]. J. Phys. Chem. Lett., 2015, 6(13): 2452-2456 doi: 10.1021/acs.jpclett.5b00968
-
[46]
WANG S B, CAO F X, SUN W H, WANG C Y, YAN Z L, WANG N, LAN Z, WU J H. A green Bi-solvent system for processing high-quality CsPbBr3 films in efficient all-inorganic perovskite solar cells[J]. Mater. Today Phys., 2022, 22: 100614 doi: 10.1016/j.mtphys.2022.100614
-
[47]
ZHAO Y Y, GAO L, WANG Q R, ZHANG Q, YANG X Y, ZHU J W, HUANG H, DUAN J L, TANG Q W. Reinforced SnO2 tensile-strength and "buffer-spring" interfaces for efficient inorganic perovskite solar cells[J]. Carbon Energy, 2024, 6(6): e468 doi: 10.1002/cey2.468
-
[48]
XIN Z, ZHAO Y Y, BIAN L Q, CAO Y S, DUAN J L, GUO Q Y, DOU J, ZHANG Q, TANG Q W. Achieving precise control of defect states and residual strain in perovskite solar cells using π-conjugated dual-anchor molecules[J]. ACS Mater. Lett., 2024, 6(8): 3327-3334 doi: 10.1021/acsmaterialslett.4c00874
-
[49]
LUO P F, ZHOU Y G, ZHOU S W, LU Y W, XU C X, XIA W, SUN L. Fast anion-exchange from CsPbI3 to CsPbBr3 via Br2-vapor-assisted deposition for air-stable all-inorganic perovskite solar cells[J]. Chem. Eng. J., 2018, 343: 146-154 doi: 10.1016/j.cej.2018.03.009
-
[50]
DING J, DUAN J L, GUO C Y, TANG Q W. Toward charge extraction in all-inorganic perovskite solar cells by interfacial engineering[J]. J. Mater. Chem. A, 2018, 6(44): 21999-22004 doi: 10.1039/C8TA02522C
-
[51]
DUAN X X, DUAN J L, LIU N M, LI J B, DOU J, ZHANG X Y, GUO Q Y, WANG Y L, WANG Z, ZHAO Y Y, JIANG C, LI J Z, TANG Q W. Inhibited superoxide-induced halide oxidation with a bioactive factor for stabilized inorganic perovskite solar cells[J]. SusMat, 2024, 4(4): e233 doi: 10.1002/sus2.233
-
[52]
LUO D Y, SU R, ZHANG W, GONG Q H, ZHU R. Minimizing non-radiative recombination losses in perovskite solar cells[J]. Nat. Rev. Mater., 2020, 5(1): 44-60
-
[53]
JIANG S, WU C C, LI F, ZHANG Y Q, ZHANG Z H, ZHANG Q H, CHEN Z J, QU B, XIAO L X, JIANG M L. Machine learning (ML)-assisted optimization doping of KI in MAPbI3 solar cells[J]. Rare Metals, 2021, 40(7): 1698-1707
-
[54]
LUO Y X, CHEN J D, HOU H Y, YE Y C, SHEN K C, LU L Y, LI Y Q, SONG F, GAO X Y, TANG J X. Hierarchically manipulated charge recombination for mitigating energy loss in CsPbI2Br solar cells[J]. ACS Appl. Mater. Interfaces, 2020, 12(37): 41596-41604
-
[55]
BIAN L Q, JIA Y, ZHAO Y Y, DOU Z, GUO Q Y, DUAN J L, DOU J, SUN L Q, ZHANG Q, TANG Q W. Target therapy at buried interfaces toward efficient and stable inorganic perovskite solar cells[J]. Chem. Eng. J., 2024, 496: 154189
-
[56]
ZHANG W N, ZHANG X Z, WU T Y, SUN W H, WU J H, LAN Z. Interface engineering with NiO nanocrystals for highly efficient and stable planar perovskite solar cells[J]. Electrochim. Acta, 2019, 293: 211-219
-
[57]
ZHOU S J, TANG R, YIN L W. Slow-photon-effect-induced photoelectrical-conversion efficiency enhancement for carbon-quantum-dot-sensitized inorganic CsPbBr3 inverse opal perovskite solar[J]. Adv. Mater., 2017, 29(43): 1703682
-
[58]
LIU N M, DUAN J L, LI H, MA L Z, WANG B, LI J B, DUAN X X, GUO Q Y, DOU J, GENG S W, LIU Y, ZHANG C L, LIU Y J, HE B L, YANG X Y, TANG Q W. Columnar macrocyclic molecule tailored grain cage to stabilize inorganic perovskite solar cells with suppressed halide segregation[J]. Adv. Energy Mater., 2024, 14(48): 2402443
-
[59]
YANG G, WANG C L, LEI H W, ZHENG X L, QIN P L, XIONG L B, ZHAO X Z, YAN Y F, FANG G J. Interface engineering in planar perovskite solar cells: energy level alignment, perovskite morphology control and high performance achievement[J]. J. Mater. Chem. A, 2017, 5(4): 1658-1666
-
[60]
LI H, DUAN J L, ZHANG C L, LIU N M, MA L Z, DUAN X X, DOU J, GUO Q Y, HE B L, ZHAO Y Y, TANG Q W. Idealizing air-processed perovskite film competitive by surface lattice etching-reconstruction for high-efficiency solar cells[J]. Angew. Chem.‒Int. Edit., 2025, 64(7): e202419061
-
[61]
GUO Q Y, DOU J, MEI Y H, PENG Y, LIU F H, LIU Y J, CHEN Q, ZHAO Y Y, WANG Y L, ZHANG X Y, DUAN J L, TANG Q W. Toward α-phase stabilization of formamidinium lead iodide perovskites with dual-trivalent metal regulation[J]. Chem. Eng. J., 2025, 504: 158875
-
[1]
-
图 3 (a) PVDF薄膜、PbBr2薄膜和PVDF界面修饰的PbBr2薄膜的FTIR谱图; (b) 有无PVDF埋底界面修饰的PbBr2薄膜的XRD图; (c) 不同PVDF质量浓度条件下制备的CsPbBr3钙钛矿薄膜的XRD图
Figure 3 (a) FTIR spectra of PVDF film, PbBr2 film, and PVDF interface medicated PbBr2 film; (b) XRD patterns of the PbBr2 films with or without PVDF buried interface modification; (c) XRD patterns of the CsPbBr3 perovskite films prepared with different PVDF mass concentrations
图 4 Glass/CsPbBr3和Glass/PVDF/CsPbBr3(a) 不同激发方向的PL光谱和(b) TRPL光谱; 有无PVDF埋底界面修饰组CsPbBr3钙钛矿薄膜的(c) UV-Vis吸收光谱和(d) Tauc曲线
Figure 4 (a) PL spectra with different excitation directions and (b) TRPL spectra of Glass/CsPbBr3 and Glass/PVDF/CsPbBr3; (c) UV-Vis absorption spectra and (d) Tauc curves of the CsPbBr3 perovskite films with or without PVDF buried interface modification
图 5 (a) PVDF埋底界面修饰示意图; (b) 空白组和(c) PVDF埋底界面修饰组CsPbBr3钙钛矿薄膜的水接触角; (d) FTO/TiO2/Ag和FTO/TiO2/PVDF/Ag的电导率曲线; (e) 不同质量浓度PVDF制备的CsPbBr3 PSC器件的J-V曲线
Figure 5 (a) Schematic diagram of the PVDF buried interface modification; Water contact angles of the CsPbBr3 perovskite films in (b) the control group and (c) PVDF buried interface modified group; (d) Electronic conductivity curves of the FTO/TiO2/Ag and FTO/TiO2/PVDF/Ag; (e) J-V curves of CsPbBr3 PSC devices prepared with the different mass concentrations of PVDF
图 7 FTO/TiO2/CsPbBr3/PCBM/carbon和FTO/TiO2/PVDF/CsPbBr3/PCBM/carbon的(a) SCLC曲线; 有无PVDF埋底界面修饰组PSC器件的(b) VOC与Plight的相关性曲线、(c) C-V曲线和(d) M-S曲线
Figure 7 (a) SCLC curves of FTO/TiO2/CsPbBr3/PCBM/carbon and FTO/TiO2/PVDF/CsPbBr3/PCBM/carbon; (b) Correlation curves of VOC with Plight, (c) C-V curves, and (d) M-S curves of PSC devices with or without PVDF buried interface modification
Inset: the magnified C-V curves within the voltage range of 1.20-1.52 V.
图 8 器件的(a) VOC、(b) JSC、(c) FF和(d) PCE箱线图; 有无PVDF埋底界面修饰组PSC器件的(e) 稳态输出曲线和(f) PCE归一化稳定性曲线
Figure 8 (a) VOC, (b) JSC, (c) FF, and (d) PCE box diagrams of the devices; (e) Steady-state output curves and (f) PCE normalized stability curves of PSC devices with or without PVDF buried interface modification
表 1 Glass/CsPbBr3和Glass/PVDF/CsPbBr3钙钛矿薄膜的TRPL光谱拟合参数
Table 1. Fitting parameters of the TRPL spectra for Glass/CsPbBr3 and Glass/PVDF/CsPbBr3
Sample τave / ns τ1 / ns A1 / % τ2 / ns A2 / % Glass/CsPbBr3 22.85 6.06 68.42 59.25 31.58 Glass/PVDF/CsPbBr3 26.13 7.54 69.02 67.57 30.97 表 2 不同质量浓度PVDF制备的CsPbBr3 PSC器件的光伏参数
Table 2. Photovoltaic parameters of the CsPbBr3 PSC devices prepared with different mass concentrations of PVDF
ρPVDF / (mg·mL-1) VOC / V JSC / (mA·cm-2) FF / % PCE / % 0 1.48 6.97 77.73 8.02 0.5 1.50 7.05 77.90 8.24 1.0 1.59 7.43 79.69 9.41 1.5 1.55 7.19 79.13 8.81 表 3 有无PVDF埋底界面修饰组PSC器件的暗态EIS参数
Table 3. Dark-state EIS parameters of PSC devices with or without PVDF buried interface modification
PSC Rs / Ω Rrec / Ω Control 55.72 420.86 With PVDF 50.75 1 363.52 表 4 有无PVDF埋底界面修饰组PSC器件的光态EIS参数
Table 4. Light-state EIS parameters of PSC devices with or without PVDF buried interface modification
PSC Rs / Ω Rct / Ω Rrec / Ω Control 74.77 641.19 687.57 With PVDF 84.97 471.57 740.84 -
扫一扫看文章
计量
- PDF下载量: 5
- 文章访问数: 2211
- HTML全文浏览量: 174

下载:
下载: