A bifunctional three-dimensional Eu-MOF fluorescent probe for highly sensitive detection of 2, 4, 6-trinitrophenol and tetracycline

Bangdi GE Xiaowei SONG Zhiqiang LIANG

Citation:  Bangdi GE, Xiaowei SONG, Zhiqiang LIANG. A bifunctional three-dimensional Eu-MOF fluorescent probe for highly sensitive detection of 2, 4, 6-trinitrophenol and tetracycline[J]. Chinese Journal of Inorganic Chemistry, 2025, 41(10): 2165-2174. doi: 10.11862/CJIC.20250190 shu

用于高灵敏度检测2,4,6-三硝基苯酚和四环素的双功能三维Eu-MOF荧光探针

    通讯作者: 宋晓伟, xiaoweisong@jlu.edu.cn
    梁志强, liangzq@jlu.edu.cn
  • 基金项目:

    国家自然科学基金 22341602

    国家自然科学基金 22375070

    "111计划" B17020

摘要: 合成了一种用于环境污染物双功能检测的发光铕基金属有机骨架(Eu-MOF, [Eu3(L)(HL)(NO3)2(DMF)2]·4DMF·5H2O, H4L=5,5′-(吡嗪-2,6-二基)二间苯二甲酸, DMF=N,N-二甲基甲酰胺)。其作为传感器可以通过荧光猝灭机制, 对2,4,6-三硝基苯酚(TNP)和四环素(TC)均表现出优异的灵敏度, 检测限分别为1.96×10-6和1.71×10-7 mol·L-1。该传感器对TC表现出99%的荧光猝灭效率, 表明其对分析物的识别效率极高。由于荧光共振能量转移(FRET)和光诱导电子转移(PET)的协同机制, 该传感器的检测性能超过了大多数已报道的发光MOF传感器。

English

  • The continuous monitoring of social security and environmental pollutants has emerged as a global challenge[1-2], with nitroaromatic compounds[3-5] and antibiotics[6-8] being of particular concern due to their persistence, bioaccumulation potential, and multiscale ecotoxicity. As a pivotal nitroaromatic compound, 2,4,6-trinitrophenol (TNP) is extensively employed in strategic applications such as propellant formulation and explosive manufacturing[9]. The nitro and phenolic hydroxyl groups in its molecular structure confer strong electron-withdrawing capability and environmental persistence, leading to irreversible damage to hepatic and renal functions through bioaccumulation. Tetracycline (TC), one of the most widely used broad-spectrum antibiotics, not only disrupts microbial homeostasis through environmental accumulation but also facilitates the horizontal transfer of antibiotic resistance genes (ARGs), posing a severe threat to public health[10-12]. However, current analytical techniques (e.g., chromatography-mass spectrometry[13]) are limited by cumbersome pretreatment procedures and expensive instrumentation, failing to meet the urgent demand for on-site, rapid screening[14].

    In this context, fluorescence sensing technology has demonstrated unique advantages for environmental monitoring[15-16]. Luminescent metal-organic frameworks (MOFs) exhibit exceptional advantages for pollutant detection, combining high porosity and tunable chemical structures[17-18] for selective target adsorption with intrinsic luminescence properties enabling highly sensitive fluorescence sensing[19-21]. The modular design of MOFs permits tailored synthesis of specific recognition sites for different pollutants[22-23], where fluorescence quenching[24-25] or enhancement[26-29] effects facilitate rapid and selective detection, overcoming the time-consuming and costly limitations of conventional analytical methods.

    Particularly, Ln-MOFs have emerged as superior luminescent sensors due to their unique lanthanide-centered emission mechanisms and structural advantages[30-34]. The characteristic antenna effect in Ln-MOFs facilitates efficient energy transfer from organic ligands to lanthanide ions (e.g., Eu3+, Tb3+), yielding sharp, line-like emissions with exceptionally long lifetimes (microsecond level to millisecond level)[35-37]. This time-resolved luminescence enables effective discrimination against short-lived background fluorescence through gated detection. The well-defined coordination geometry of lanthanide centers creates highly sensitive chemical environments, where changes in the 5D07F2 transition intensity serve as an excellent indicator of local chemical variations[38-40].

    In this study, we investigate a novel Eu-MOF as a dual-functional fluorescent sensor for the simultaneous detection of TNP and TC in environmental samples. By leveraging the intrinsic luminescence properties of the Eu-MOF, through systematic evaluation of the sensor′s performance across varying pollutant concentrations, we demonstrate its high sensitivity and selectivity, showcasing its potential for environmental monitoring. This work not only advances the development of MOF-based sensors for hazardous pollutants but also underscores the versatility of Eu-MOFs in addressing pressing challenges in environmental chemistry, providing an effective solution for on-site detection of trace pollutants in complex matrices.

    Powder X-ray diffraction (PXRD) patterns were collected on a Rigaku D-Max 2550 diffractometer operating at 40 kV and 30 mA, using Cu radiation (λ=0.154 056 nm) in a 2θ range of 3°-30° at room temperature. Fourier transform infrared (FTIR) spectrum was recorded in the range of 400-4 000 cm-1 on a Nicolet 6700 FTIR spectrometer with KBr pellets. Thermogravimetric analyses (TGA) were performed on a Perkin-Elmer TGA-7 thermogravimetric analyzer from room temperature to 800 ℃ in a nitrogen atmosphere with a heating rate of 10 ℃·min-1. 1H NMR and 13C NMR spectra were collected on a Varian 300 MHz NMR spectrometer. All gas adsorption-desorption measurements at different temperatures were carried out on a BSD-660M-0060 instrument. The testing samples were degassed at 100 ℃ under vacuum for 10 h. Elemental microanalyses (EA) were performed by using an Elementar vario MICRO elemental analyzer. Fluorescence excitation and emission spectra of the material were measured on a FluoroMax-4 spectrofluorometer (HORIBA Scientific), and the fluorescence lifetime was determined using an FLS1000 fluorescence spectrometer (Edinburgh Instruments).

    2,6-Dibromopyrazine and [3,5-bis(methoxycarbonyl)phenyl]boronic acid were purchased from Innochem (China). K2CO3 was purchased from Beijing Chemical Works (China). N,N-dimethylformamide (DMF, 99.5%), ethanol (99.7%), acetonitrile (99.0%), and tetrahydrofuran (THF, 99.0%) were purchased from Sinopharm Chemical Reagent Co., Ltd (China). The aforementioned reagents were used as received without any further purification.

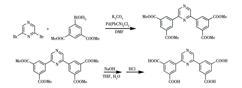
    5,5′-(Pyrazine-2,6-diyl)diisophthalic acid (H4L): as shown in Fig.1, under N2 atmosphere, 2,6-dibromopyrazine (2.00 g, 8.40 mmol), (3,5-bis(methoxycarbonyl)phenyl)boronic acid (4.60 g, 19.32 mmol), K2CO3 (9.28 g, 67.20 mmol), and Pd(PhCN)2Cl2 (50.0 mg) were added to 30 mL DMF. After being heated at reflux conditions for 10 h at 120 ℃, the mixture was cooled to room temperature. Then, the solvent was evaporated under vacuum, and the residue was purified by column chromatography on silica gel to afford the product as a white solid. The white solid was freeze-dried for 12 h to obtain the product. The white solid was dried and added to a solution of NaOH (1.60 g, 40.0 mmol) in 5 mL THF and 5 mL water, then reacted at reflux temperature for 8 h. Finally, the desired product was obtained by acidification with hydrochloric acid in a 2 mol·L-1 aqueous solution, filtration, and drying (yield: 75.6%). 1H NMR (DMSO-d6, 300 MHz, Fig.S1a, Supporting information): δ 8.60 (t, J=3.0 Hz, 2H), 8.94 (d, J=1.5 Hz, 4H), 9.41 (s, 2H), 13.51 (br, 4H). 13C NMR (DMSO-d6, 75 MHz, Fig.S1b): δ 131.11, 131.42, 132.32, 136.84, 141.59, 149.05, 166.25.

    Figure 1

    Figure 1.  Schematic of the synthesis of H4L

    Eu(NO3)2·6H2O (12 mg, 0.017 mmol) and H4L (3 mg, 0.005 mmol) were dissolved in 1 mL DMF by ultrasound. Then, 2-fluorobenzoic acid (2-FBA, 175 μL, 4.3 mol·L-1 in DMF) and HNO3 (100 μL, 3.3 mol·L-1 in DMF) were added. Light yellow square single crystals of Eu-MOF ([Eu3(L)(HL)(NO3)2(DMF)2]·4DMF·5H2O) were obtained when the mixture was heated at 120 ℃ for 72 h and collected by filtration. Elemental analysis Calcd. (C58H69N12O33Eu3, %) for Eu-MOF: C, 36.32; H, 3.63; N, 8.76; Found: C, 37.32; H, 3.71; N, 8.54. Yield: 82% (based on Eu). FTIR (KBr, cm-1, Fig.S2): 3 422(s), 2 931(m), 1 663(s), 1 554(w), 1 385(s), 1 251(w), 1 100(w), 930(w), 788(m).

    Crystallographic data were harvested using a Bruker D8 Venture diffractometer through a graphite monochromated Ga (λ=0.134 139 nm) radiation at 193 K. Data processing was obtained using the SAINT processing program. The structures were solved through the direct method and refined on F2 by full-matrix least squares with the SHELX-2016 program package. All the non-hydrogen atoms were refined with anisotropic thermal parameters, while hydrogen atoms on the aromatic rings were placed geometrically with isotropic thermal parameters 1.2 times that of the attached carbon atoms. Due to the existence of highly disordered solvent molecules in the cavities, some Q peaks with high-electron density for Eu-MOF in the final structure refinement cannot be confirmed accurately. Therefore, the SQUEEZE routine was used for the removal of diffused electron densities. Detailed refinement information could be checked from the CIF file. Table S1-S3 list the structural analysis data and selected bond angles and bond distances.

    Results of single-crystal X-ray diffraction analysis show that the Eu-MOF ([Eu3(L)(HL)(NO3)2(DMF)2]·4DMF·5H2O) crystallizes in the orthorhombic Im$ \overline{3} $ space group. The asymmetric unit analysis reveals an octa-coordination geometry for Eu ions, where Eu2 coordinates with four carboxylate groups and one DMF molecule, while further bridging to Eu1 via a nitrate anion (Fig.2a). Eu1 exhibits a distinct coordination environment, binding to four carboxylates and two nitrate anions (Fig.2b). This unique connectivity generates a trinuclear Eu3-cluster ([Eu3(COO)8(NO3)2(DMF)2]-) as a secondary building unit (SBU). Each metal-oxo cluster interconnects with six distinct ligands, and each tetradentate carboxylate linker bonds to three separate clusters (Fig.2c), collectively constructing a 3D framework featuring exceptionally large spherical cages (2.35 nm diameter, 0.39 nm apertures, Fig.2e and 2f). Due to the distinct orientations of the V-shaped ligands, an additional smaller cavity structure is formed (1.22 nm diameter, Fig.S3). For charge balance, protonation occurred at the pyridinic nitrogen of one ligand[23, 41-43] (Fig.S4). Topologically, the trinuclear Eu3-cluster can be simplified as a 6-connected hexagonal prismatic node, while the L4- ligand acts as a 3-connected trigonal node (Fig.2d). Topological analysis identifies this as a novel 3D net with the point symbol (4·62)2 (42·67·86) (Fig.2g).

    Figure 2

    Figure 2.  (a) Asymmetric unit of the Eu-MOF; Coordination environments of (b) the tetradentate carboxylate ligand and (c) 6-connected Eu3-cluster; (d) Schematic of Eu3-cluster and ligand; (e) Molecular cage structure and spherical cavities embedded in the coordination network; (f) 3D framework of Eu-MOF; (g) Topological schematic of the Eu-MOF

    Symmetry codes: A: y, -z+1, -x+1; B: z+1/2, -x+3/2, y-1/2, ; C: x, -y+1, z; All hydrogen atoms are omitted in the structural diagrams.

    The simulated PXRD patterns of Eu-MOF were consistent with the experimental results at the major peak positions (Fig.3a), confirming the phase purity of the bulk sample. To evaluate the physicochemical stability of Eu-MOF, the material was immersed in H2O and common organic solvents [DMF, CH3CN, EtOH, MeOH, and N-methylformamide (NMP)] at room temperature for 3 d. The PXRD patterns of Eu-MOF before and after treatment (Fig.3b) indicate minimal changes in crystallinity and characteristic diffraction peaks upon exposure to DMF, CH3CN, and MeOH, while it is difficult to maintain a stable structure in H2O and NMP. Although the framework contains large cavities, the restricted pore openings lead to virtually no detectable nitrogen adsorption under cryogenic conditions at 77 K (Fig.S5).

    Figure 3

    Figure 3.  (a) PXRD patterns of Eu-MOF; (b) PXRD patterns of Eu-MOF before and after immersion in water and various organic solvents

    TGA curves indicated that the guest molecules within the pores of activated Eu-MOF were effectively removed. Under a nitrogen atmosphere, the weight loss of Eu-MOF was less than 3% before 120 ℃ (Fig.S6a). The PXRD pattern after calcination at 100 ℃ showed that the intensity of the characteristic diffraction peaks of Eu-MOF changed significantly, but their positions remained largely unchanged, further confirming that Eu-MOF could remain stable at 100 ℃ (Fig.S6b).

    Under specific excitation, both the aggregated (λex=354 nm) and dispersed (λex=343 nm) states of Eu-MOF exhibited a strong emission peak at 591 and 614 nm, which is characteristic of Eu(Ⅲ) luminescence (Fig.4a). As clearly shown in the inset of Fig.4a, intense red fluorescence was observed. Time-resolved fluorescence decay analysis (Fig.4b and Table S4) reveals a long-lived excited state with a lifetime of 1.05 ms. The Eu-MOF exhibited an exceptionally high photoluminescence quantum yield (PLQY) of 6.99% (Fig.S7).

    Figure 4

    Figure 4.  (a) Fluorescence emission spectra of Eu-MOF in aggregated state and dispersed in DMF; (b) Fluorescence lifetime decay profiles and fitting results of Eu-MOF

    Inset: optical microscopy images of Eu-MOF crystals and corresponding fluorescence emission photographs.

    Given the strong luminescent properties of Eu-MOF and the high stability of its trinuclear Eu3+ clusters in DMF, we investigated the capability of Eu-MOF for fluorescent sensing of nitroaromatic explosives in DMF. Gradient volumes of aromatic compounds (10 mmol·L-1), including 4-nitrotoluene (4-NT), TNP, 4-chlorophenoxyacetic acid (4-CPA), 5-nitrosalicylic acid (5-NSA), and 4-nitrobenzoic acid (4-NBA), were separately introduced into a DMF suspension of Eu-MOF (2.0 mg), and their fluorescence quenching effects were monitored at 343 nm (Fig.5a and S8). Upon the addition of equivalent volumes of nitroaromatic solutions in ethanol, 4-NT, 4-CPA, and 4-NBA exhibited weak quenching (less than 20%), whereas TNP demonstrated the most significant fluorescence quenching (89%).

    Figure 5

    Figure 5.  (a) Luminescence intensity changes and quenching efficiencies of Eu-MOF suspension in DMF upon addition of different analytes; (b) Fluorescence quenching process of Eu-MOF suspension in DMF with TNP solution; (c) Fluorescence spectra of Eu-MOF suspension in DMF before and after adding TNP solution (0.500 mmol·L-1); (d) S-V plot for Eu-MOF suspension in DMF

    In panel b: cTNP=0, 0.005, 0.010, 0.015, 0.020, 0.024, 0.034, 0.038, 0.043, 0.048, 0.057, 0.071, 0.095, 0.118, 0.140, 0.190, 0.230, 0.280, 0.320, 0.410, 0.500, 0.710 mmol·L-1; Inset in panel c: optical photographs before (left) and after (right) quenching; Inset in panel d: linear relationship between different I0/I and low concentrations of TNP.

    To further explore the sensing capability of Eu-MOF toward TNP, fluorescence titration experiments were conducted. The fluorescence intensity of Eu-MOF decreased markedly with increasing TNP concentration (Fig.5b and 5c). At low concentrations, the relationship between fluorescence intensity and analyte concentration was analyzed using the Stern-Volmer (S-V) equation, the formula of which is I0/I=1+KSVcTNP, where I0 is the initial fluorescence intensity of the Eu-MOF suspension in DMF; I is the fluorescence intensity after adding quantitative TNP to the Eu-MOF suspension in DMF, cTNP is the concentration of TNP (mol·L-1), and KSV (L·mol-1) is the quenching constant.

    In the low concentration range, I0/I and cTNP can be well fitted by the S-V equation (R2=0.996) (Fig.5d). The KSV value was 1.52×104 L·mol-1, and the limit of detection (LOD) of Eu-MOF for TNP in DMF was determined to be 1.96×10-6 mol·L-1. The LOD was calculated by LOD=3σ/k, where σ is the standard deviation of the initial fluorescence intensity of Eu-MOF (Fig.S9), k is the slope obtained from linear fitting of the low-concentration region versus fluorescence intensity.

    To further investigate the antibiotic detection capability of Eu-MOF, gradient volumes of TC in aqueous solution (10 mmol·L-1) was introduced into a Eu-MOF suspension in DMF (2.0 mg), with fluorescence monitored at 343 nm, resulting in a 99% decrease in the fluorescence efficiency of Eu-MOF (Fig.6a). Fluorescence titration experiments were subsequently performed to evaluate the TC sensing performance. As shown in Fig.6b, the fluorescence intensity of Eu-MOF decreased significantly with increasing TC concentration. At low concentrations, the quenching behavior followed the S-V equation, yielding the KSV of 3.00×104 L·mol-1 and LOD of 1.71×10-7 mol·L-1 (Fig.6c and 6d). This dual-functional platform exhibited significantly enhanced sensitivity over conventional MOF-based fluorescent probes (Table S5), showcasing remarkable promise for advanced luminescence sensing.

    Figure 6

    Figure 6.  (a) Fluorescence spectra of Eu-MOF suspension in DMF before and after adding TC solution; (b) Fluorescence quenching process of Eu-MOF suspension in DMF with TC solution; (c) S-V plot (I0/I vs cTC) for Eu-MOF suspension in DMF; (d) Linear relationship between I0/I and low concentrations of TC

    In panel b: cTC=0, 0.005, 0.010, 0.015, 0.020, 0.024, 0.029, 0.038, 0.048, 0.100, 0.148, 0.200, 0.244, 0.291, 0.338, 0.390 mmol·L-1; Inset in panel a: optical photographs before (left) and after (right) quenching; Inset in panel c: linear relationship between I0/I and cTC.

    The fluorescence quenching mechanism in Ln-MOFs primarily stems from synergistic interactions between their unique luminescent properties and organic pollutants. When organic molecules (TNP and TC) approach Eu-MOF systems, they initially adsorb within the pores through π-π stacking or hydrogen bonding interactions, subsequently triggering multiple potential quenching pathways (Fig.S10): (1) the overlap between the absorption band of the detecting substance and the excitation spectrum of the Eu-MOF may lead to fluorescence resonance energy transfer (FRET), causing fluorescence quenching of the Eu-MOF; (2) partial displacement of original ligands around Eu3+ alters the coordination microenvironment, thereby suppressing the characteristic f-f transitions (e.g., 5D07F2 of Eu3+) that are normally protected by organic linkers; (3) competitive light absorption through the inner filter effect (IFE) further diminishes luminescence intensity. These cooperative effects collectively manifest as significant fluorescence attenuation.

    In summary, we developed a highly sensitive Eu-MOF sensor for the dual detection of TNP and TC. The material demonstrates remarkable fluorescence quenching efficiency of 89% for TNP and 99% for TC, with detection limits reaching 1.96×10-6 and 1.71×10-7 mol·L-1, demonstrating superior sensitivity compared to most reported luminescent MOFs. The sensor maintains excellent performance in DMF suspension, featuring rapid response time and high selectivity against competing antibiotics and nitroaromatic compounds. These outstanding characteristics position the Eu-MOF sensor as a promising candidate for practical applications in environmental monitoring and pharmaceutical quality control.


    Supporting information is available at http://www.wjhxxb.cn
    1. [1]

      SUZUKI T, HIDAKA T, KUMAGAI Y, YAMAMOTO M. Environmental pollutants and the immune response[J]. Nat. Immunol., 2020, 21(12): 1486-1495 doi: 10.1038/s41590-020-0802-6

    2. [2]

      LI Y, CHEN B Q, YANG S F, JIAO Z, ZHANG M C, YANG Y M, GAO Y H. Advances in environmental pollutant detection techniques: Enhancing public health monitoring and risk assessment[J]. Environ. Int., 2025, 197: 109365 doi: 10.1016/j.envint.2025.109365

    3. [3]

      DENG W H, YAO M S, ZHANG M Y, TSUJIMOTO M, OTAKE K, WANG B, LI C S, XU G, KITAGAWA S. Non-contact real-time detection of trace nitro-explosives by MOF composites visible-light chemiresistor[J]. Natl. Sci. Rev., 2022, 9(10): nwac143 doi: 10.1093/nsr/nwac143

    4. [4]

      LI M, MA J Y, WANG J L, WEI X F, LU W W. Conjugated microporous polymer-based fluorescent probe for selective detection of nitro-explosives and metal nitrates[J]. ACS Appl. Mater. Interfaces, 2025, 17(2): 4033-4043 doi: 10.1021/acsami.4c19789

    5. [5]

      ZHONG Z Q, YANG S W, CHEN F, DU Z H, LIU N, ZHANG H. Molecular engineering strategies of cationic oligo(p-phenyleneethynylene)s for enhancing sensitive discrimination of multiple hazardous explosives[J]. Chem. Eng. J., 2025, 510: 161558 doi: 10.1016/j.cej.2025.161558

    6. [6]

      MIAO S, ZHANG Y Y, LI B C, YUAN X, MEN C, ZUO J E. Antibiotic intermediates and antibiotics synergistically promote the development of multiple antibiotic resistance in antibiotic production wastewater[J]. J. Hazard. Mater., 2024, 479: 135601 doi: 10.1016/j.jhazmat.2024.135601

    7. [7]

      ZHANG R, YANG S, AN Y W, WANG Y Q, LEI Y, SONG L Y. Antibiotics and antibiotic resistance genes in landfills: A review[J]. Sci. Total Environ., 2022, 806: 150647 doi: 10.1016/j.scitotenv.2021.150647

    8. [8]

      MACLEAN R C, SAN MILLAN A. The evolution of antibiotic resistance[J]. Science, 2019, 365(6458): 1082-1083 doi: 10.1126/science.aax3879

    9. [9]

      MURUGAN K, NATARAJAN A, SRIDEVI V M. Molecularly imprinted optical probe based on in-situ CoFe2O4/CNDs for monitoring 2, 4, 6-para trinitrophenol in aqueous medium with integrated smartphone detection[J]. J. Water Process. Eng., 2025, 74: 107879 doi: 10.1016/j.jwpe.2025.107879

    10. [10]

      WANG H Y, WANG L J, LI D, FAN K Q, YANG Y Z, CAO H L, SUN J N, REN J W, LIU Y, XIANG L J, LI W S, PAN M H, HU H T, CHEN Y H, XU Z R, HUANG Y, WANG W S, PAN G H. Uncovering the molecular landscape of tetracycline family natural products through bacterial genome mining[J]. J. Am. Chem. Soc., 2025, 147(18): 15100-15114 doi: 10.1021/jacs.4c17551

    11. [11]

      OUYANG B W, LV Z Y, GAN C, YANG C, TONG L, SHI J B. Molecular mechanisms of antibiotic inhibition on microbial dissimilatory iron reduction[J]. J. Hazard. Mater., 2025, 493: 138348 doi: 10.1016/j.jhazmat.2025.138348

    12. [12]

      HE X H, KAI T H, DING P. Heterojunction photocatalysts for degradation of the tetracycline antibiotic: A review[J]. Environ. Chem. Lett., 2021, 19(6): 4563-4601 doi: 10.1007/s10311-021-01295-8

    13. [13]

      LI D Z, HUANG W X, HUANG R F. Analysis of environmental pollutants using ion chromatography coupled with mass spectrometry: A review[J]. J. Hazard. Mater., 2023, 458: 131952 doi: 10.1016/j.jhazmat.2023.131952

    14. [14]

      LIU X G, HUANG D L, LAI C, ZENG G M, QIN L, ZHANG C, YI H, LI B S, DENG R, LIU S Y, ZHANG Y J. Recent advances in sensors for tetracycline antibiotics and their applications[J]. Trac-Trends Anal. Chem., 2018, 109: 260-274 doi: 10.1016/j.trac.2018.10.011

    15. [15]

      KUSWANDI B. Nanobiosensor approaches for pollutant monitoring[J]. Environ. Chem. Lett., 2018, 17(2): 975-990

    16. [16]

      FAHEEM M, AZIZ S, JING X F, MA T T, DU J Y, SUN F X, TIAN Y Y, ZHU G S. Dual luminescent covalent organic frameworks for nitro-explosive detection[J]. J. Mater. Chem. A, 2019, 7(47): 27148-27155 doi: 10.1039/C9TA09497K

    17. [17]

      PAN X R, HOU X X, DU Y H, PANG Z X, HE S Y, WANG L, YANG J X, MAO L F, QIN J H, WU H X, LIU B Z, ZHOU Z, MA L F, TAN C L. Solvent-mediated synthesis of 2D In-TCPP MOF nanosheets for enhanced photodynamic antibacterial therapy[J]. Chin. Chem. Lett., 2024, DOI: 10.1016/j.cclet.2024.110536

    18. [18]

      何世央, 储丹丹, 庞志鑫, 杜雨航, 王嘉怡, 陈雨鸿, 苏雨蒙, 秦建华, 潘湘蓉, 周战, 李景果, 马录芳, 谭超良. 铂单原子功能化的二维Al-TCPP金属-有机框架纳米片用于增强光动力抗菌治疗[J]. 物理化学学报, 2025, 41(5): 100046HE S Y, CHU D D, PANG Z X, DU Y H, WANG J Y, CHEN Y H, SU Y M, QIN J H, PAN X R, ZHOU Z, LI J G, MA L F, TAN C L. Pt single-atom-functionalized 2D Al-TCPP MOF nanosheets for enhanced photodynamic antimicrobial therapy[J]. Acta Phys.‒Chim. Sin., 2025, 41(5): 100046

    19. [19]

      GHORAI P, MONDAL U, HAZRA A, BANERJEE P. Luminescent metal organic frameworks (LMOFs) and allied composites for the unveiling of organic environmental contaminants (explosive NACS, PAHS and EDCS) sensing through 'Molecular Recognition': A chronicle of recent penetration and future modelling[J]. Coord. Chem. Rev., 2024, 518: 216085 doi: 10.1016/j.ccr.2024.216085

    20. [20]

      GAO P, MUKHERJEE S, HUSSAIN M Z, YE S, WANG X S, LI W J, CAO R, ELSNER M, FISCHER R A. Porphyrin-based MOFs for sensing environmental pollutants[J]. Chem. Eng. J., 2024, 492: 152377 doi: 10.1016/j.cej.2024.152377

    21. [21]

      YANG G L, JIANG X L, XU H, ZHAO B. Applications of MOFs as luminescent sensors for environmental pollutants[J]. Small, 2021, 17(22): 2005327 doi: 10.1002/smll.202005327

    22. [22]

      LI Q, WU Z Q, LI D, LIU T H, YIN H Y, CAI X B, ZHU W, FAN Z L, LI R Z. A Tb3+-anchored Zr(Ⅳ)-bipyridine MOF to promote photo-induced electron transfer and simultaneously enhance photoluminescence ability and photocatalytic reduction efficiency towards Cr2O72-[J]. J. Mater. Chem. A, 2023, 11(6): 2957-2968 doi: 10.1039/D2TA07769H

    23. [23]

      LIU A G, MENG X Y, CHEN Y, CHEN Z T, LIU P D, LI B. Introducing a pyrazinoquinoxaline derivative into a metal-organic framework: Achieving fluorescence-enhanced detection for Cs+ and enhancing photocatalytic activity[J]. ACS Appl. Mater. Interfaces, 2023, 16(1): 669-683

    24. [24]

      ZHU N F, YUAN K J, XIONG D H, AI F X, ZENG K, ZHAO B Y, ZHANG Z, ZHAO H J. A high-throughput fluorescence immunoassay based on conformational locking strategy of MOFs to enhance AIE effect of CuNCs-CS for bisphenol S analysis in food samples[J]. Chem. Eng. J., 2023, 462: 142129 doi: 10.1016/j.cej.2023.142129

    25. [25]

      JIANG Y S, CHANG W X, LI Z H, ZHOU X, ZHANG P J, HUANG X H, PAN X Y, HE Z D, WANG Y, TIAN Z Q. Synergistic aggregation-induced emissive linkers in metal-organic frameworks for ultrasensitive and quantitative visual sensing[J]. JACS Au, 2025, 5(4): 1875-1883 doi: 10.1021/jacsau.5c00092

    26. [26]

      TAN F C, DONG N, HE J D, YUAN L H, LIN Z T, LIU X Y, YANG X G, LI B J. Morphology engineering of aggregation-induced emission-based metal-organic frameworks templated with cellulose nanocrystals for lactic acid detection[J]. ACS Mater. Lett., 2025, 7: 2041-2048 doi: 10.1021/acsmaterialslett.4c02575

    27. [27]

      LI W B, WU Y, ZHONG X F, CHEN X H, LIANG G, YE J W, MO Z W, CHEN X M. Fluorescence enhancement of a metal-organic framework for ultra-efficient detection of trace benzene vapor[J]. Angew. Chem.‒Int. Edit., 2023, 62(24): e202303500 doi: 10.1002/anie.202303500

    28. [28]

      WEI Q, WANG K, HE C, WEI L, LI X F, ZHANG S, AN X T, LI J H, WANG G M. Linear and nonlinear optical properties of centrosymmetric SB4O5SO4 and noncentrosymmetric SB4O4(SO4)(OH)2 induced by lone pair stereoactivity[J]. Inorg. Chem., 2021, 60(15): 11648-11654 doi: 10.1021/acs.inorgchem.1c01653

    29. [29]

      ZHU Z H, LI Y L, WANG H L, ZOU H H, LIANG F P, ZHOU L. Designing pillar-layered metal-organic frameworks with photo-induced electron transfer interactions between ligands for enhanced photodynamic sterilization and photocatalytic degradation of dyes and antibiotics[J]. J. Colloid Interface Sci., 2025, 685: 458-467 doi: 10.1016/j.jcis.2025.01.148

    30. [30]

      DING S P, WANG X F. Terbium-based metal organic framework and its immobilized nanofibrous membrane for selective detection and efficient removal of phosphate[J]. Chem. Eng. J., 2023, 464: 142751 doi: 10.1016/j.cej.2023.142751

    31. [31]

      GAO C, LIU L Y, TAN Z Q, WANG X M, YANG T, ZHOU X H, XIAO H P, YOU Y J. An ultrasensitive self-calibrating terbium metal organic framework for the detection of amphotericin B[J]. Appl. Organomet. Chem., 2024, 39(3): e7892

    32. [32]

      CHEN L T, LI Z J, DOU Y M, WANG H L, CHEN C Y, WANG X D. Ratiometric fluoroprobe based on Eu-MOF@Tb3+ for detecting tetracycline hydrochloride in freshwater fish and its application in rapid visual detection[J]. J. Hazard. Mater., 2024, 469: 134045 doi: 10.1016/j.jhazmat.2024.134045

    33. [33]

      ZHANG Y H, WEI P H, LI Z W, SUN Y Z, LIU Y N, HUANG S Y. Advancements in rare earth metal-organic frameworks: Harnessing the power of photonics and beyond[J]. Coord. Chem. Rev., 2024, 514: 215905 doi: 10.1016/j.ccr.2024.215905

    34. [34]

      HAN S D, LIU A U, WEI Q, HU J X, PAN J, WANG G M. Quadruple photoresponsive functionality in a crystalline hybrid material: Photochromism, photomodulated fluorescence, magnetism and nonlinear optical properties[J]. Chem.‒Eur. J., 2021, 27(29): 7842-7846 doi: 10.1002/chem.202100696

    35. [35]

      ZHANG W J, SUN W Z, XU J T, OU B Q, ZHOU W Q, CHEN L, YE J W, PAN M. Lanthanide antenna amplifier multiplies the optical sensing efficiency in phototautomeric metal-organic frameworks[J]. J. Am. Chem. Soc., 2025, 147(20): 17486-17496 doi: 10.1021/jacs.5c04171

    36. [36]

      CHEN J, GUO T T, GAO H Y, HE T, LI J, LI H J, LIU X Y, LI A. Eu3+-doped mixed-ligand UIO-66-type metal-organic framework for ratiometric fluorescence sensing fluoride ions with ultralow detection limit[J]. ACS Appl. Mater. Interfaces, 2024, 16(44): 60278-60287 doi: 10.1021/acsami.4c13284

    37. [37]

      AMEEN S S M, OMER K M. Merging dual antenna effect with target-insensitive behavior in bimetal biligand MOFs to form efficient internal reference signal: Color tonality-ratiometric designs[J]. ACS Mater. Lett., 2024, 6(6): 2339-2349 doi: 10.1021/acsmaterialslett.4c00845

    38. [38]

      CHEN Q Q, CHENG J H, WANG J, LI L, LIU Z P, ZHOU X H, YOU Y J, HUANG W. A fluorescent Eu(Ⅲ) MOF for highly selective and sensitive sensing of picric acid[J]. Sci. China‒Chem., 2018, 62(2): 205-211

    39. [39]

      WANG H L, LI Y L, ZOU H H, LIANG F P, ZHU Z H. Smart lanthanide metal-organic frameworks with multicolor luminescence switching induced by the dynamic adaptive antenna effect of molecular rotors[J]. Adv. Mater., 2025, 37(29): 2502742 doi: 10.1002/adma.202502742

    40. [40]

      WU S Y, LIN Y N, LIU J W, SHI W, YANG G M, CHENG P. Rapid detection of the biomarkers for carcinoid tumors by a water stable luminescent lanthanide metal-organic framework sensor[J]. Adv. Funct. Mater., 2018, 28(17): 1707169 doi: 10.1002/adfm.201707169

    41. [41]

      ZHU Y, WANG Y M, LIU P, XIA C K, WU Y L, LU X Q, XIE J M. Two chelating-amino-functionalized lanthanide metal-organic frameworks for adsorption and catalysis[J]. Dalton Trans., 2015, 44(4): 1955-1961 doi: 10.1039/C4DT02048K

    42. [42]

      WANG Y X, LU Y, ZHANG W S, DANG T Y, YANG Y L, BAI X, LIU S X. Construction of hydrogel composites with superior proton conduction and flexibility using a new POM-based inorganic-organic hybrid[J]. Polyoxometalates, 2022, 1(1): 9140005 doi: 10.26599/POM.2022.9140005

    43. [43]

      CUI Y B, CAO J D, LIN J W, LI C X, YAO J Y, LIU K J, HOU A, GUO Z N, ZHAO J, LIU Q L. Advancing nonlinear optics: Discovery and characterization of new non-centrosymmetric phenazine-based halides[J]. Dalton Trans., 2024, 53(24): 10235-10243 doi: 10.1039/D4DT01096E

  • Figure 1  Schematic of the synthesis of H4L

    Figure 2  (a) Asymmetric unit of the Eu-MOF; Coordination environments of (b) the tetradentate carboxylate ligand and (c) 6-connected Eu3-cluster; (d) Schematic of Eu3-cluster and ligand; (e) Molecular cage structure and spherical cavities embedded in the coordination network; (f) 3D framework of Eu-MOF; (g) Topological schematic of the Eu-MOF

    Symmetry codes: A: y, -z+1, -x+1; B: z+1/2, -x+3/2, y-1/2, ; C: x, -y+1, z; All hydrogen atoms are omitted in the structural diagrams.

    Figure 3  (a) PXRD patterns of Eu-MOF; (b) PXRD patterns of Eu-MOF before and after immersion in water and various organic solvents

    Figure 4  (a) Fluorescence emission spectra of Eu-MOF in aggregated state and dispersed in DMF; (b) Fluorescence lifetime decay profiles and fitting results of Eu-MOF

    Inset: optical microscopy images of Eu-MOF crystals and corresponding fluorescence emission photographs.

    Figure 5  (a) Luminescence intensity changes and quenching efficiencies of Eu-MOF suspension in DMF upon addition of different analytes; (b) Fluorescence quenching process of Eu-MOF suspension in DMF with TNP solution; (c) Fluorescence spectra of Eu-MOF suspension in DMF before and after adding TNP solution (0.500 mmol·L-1); (d) S-V plot for Eu-MOF suspension in DMF

    In panel b: cTNP=0, 0.005, 0.010, 0.015, 0.020, 0.024, 0.034, 0.038, 0.043, 0.048, 0.057, 0.071, 0.095, 0.118, 0.140, 0.190, 0.230, 0.280, 0.320, 0.410, 0.500, 0.710 mmol·L-1; Inset in panel c: optical photographs before (left) and after (right) quenching; Inset in panel d: linear relationship between different I0/I and low concentrations of TNP.

    Figure 6  (a) Fluorescence spectra of Eu-MOF suspension in DMF before and after adding TC solution; (b) Fluorescence quenching process of Eu-MOF suspension in DMF with TC solution; (c) S-V plot (I0/I vs cTC) for Eu-MOF suspension in DMF; (d) Linear relationship between I0/I and low concentrations of TC

    In panel b: cTC=0, 0.005, 0.010, 0.015, 0.020, 0.024, 0.029, 0.038, 0.048, 0.100, 0.148, 0.200, 0.244, 0.291, 0.338, 0.390 mmol·L-1; Inset in panel a: optical photographs before (left) and after (right) quenching; Inset in panel c: linear relationship between I0/I and cTC.

  • 加载中
计量
  • PDF下载量:  0
  • 文章访问数:  94
  • HTML全文浏览量:  10
文章相关
  • 发布日期:  2025-10-10
  • 收稿日期:  2025-06-07
  • 修回日期:  2025-08-26
通讯作者: 陈斌, bchen63@163.com
  • 1. 

    沈阳化工大学材料科学与工程学院 沈阳 110142

  1. 本站搜索
  2. 百度学术搜索
  3. 万方数据库搜索
  4. CNKI搜索

/

返回文章