金属有机框架及其衍生物催化α, β-不饱和醛/酮选择性加氢研究进展
English
Advances in selective hydrogenation of α, β-unsaturated aldehydes/ketones catalyzed by metal-organic frameworks and their derivatives: A review
-
0. Introduction
The selective hydrogenation of α, β-unsaturated aldehydes/ketones serves as a pivotal technology in fine chemistry for producing high-value unsaturated alcohols/alkanes, and the products have significant applications in the synthesis of pharmaceutical intermediates, the preparation of fragrances, and the development of functional materials (Fig. 1a). α, β- Unsaturated aldehydes/ketones exhibit dual reactivity and structural diversity, with representative examples including methyl vinyl ketone, citral, benzylacetone, cinnamaldehyde (CAL), crotonaldehyde and furfural (FUR), etc. The selective hydrogenation of these compounds is crucial for the synthesis of specific aldehydes and alcohols. Due to the conjugation effect, the thermodynamic difference between the activation energies of C=O and C=C bonds for hydrogenation is small, and the competitive adsorption effect in the kinetics further aggravates the difficulty in controlling the selectivity, therefore, the design of precise catalytic systems to achieve high selectivity of hydrogenation is one of the most important directions in the current catalytic research (Fig. 1b)[1-2].
Figure 1
Figure 1. (a) Application fields of α, β-unsaturated aldehydes/ketones; (b) Selective hydrogenation pathways of α, β-unsaturated aldehydes/ketonesThis pressing demand has driven the development of diverse catalytic systems, with existing catalysts primarily including metal nanoparticles[3], metal-organic complexes[4-5], metal oxides[6-7], single atoms[8-9], and metal phosphides[10-11]. In terms of designing hydrogenation pathways to enhance the selectivity of C=C and C=O bonds, the key routes focus on hydrogen transfer routes[6, 8, 12-13] and molecular hydrogen (H2) activation routes[14-16]. Furthermore, recent advances have expanded these approaches to photo/electrochemical synergistic catalytic strategies[17-18] to achieve precisely targeted acceleration of catalytic reactions. Among them, the development of novel catalysts with precisely targeted hydrogenation selectivity remains the foremost challenge in chemoselective hydrogenation of α, β- unsaturated aldehydes/ketones in the future. Integrating advanced in situ characterization techniques[18-20] and theoretical calculations[6, 8] can help to reveal the conformational relationships and elucidate the key mechanisms of the hydrogenation reactions, providing a theoretical basis for the design of precise catalytic systems.
Recent years have witnessed groundbreaking advancements in metal-organic frameworks (MOFs) as emerging functional materials. In the catalyst design dimension, the structural programmability of MOFs allows precise manipulation of the coordination environment of the active sites at the atomic scale. Meanwhile, the unique and precisely tunable topology, active sites, and spatial distribution of MOF materials allow researchers to modify the electron cloud density of the metal nodes through ligand functionalization and to endow the active centers with a specific spatial arrangement pattern via secondary building units (SBUs) modulation[6, 21-23]. Furthermore, the materials derived from MOFs through a high-temperature pyrolysis process not only maintain the 3D pore network of the precursor, rationally modulating the electronic state of the metal active centers and their microenvironment, but also significantly enhance the thermal and chemical stability of the materials, successfully solving the structural collapse problem of traditional MOFs under harsh reaction conditions[19, 24]. Regarding hydrogenation pathways, MOF-based catalytic systems exhibit exceptional hydrogen source adaptation advantages. For the molecular hydrogen (H2) activation system, precise regulation of the electronic and geometrical properties of the metal sites realizes the heterolytic dissociation of H2 through Kubas-type interactions, which reduces the activation energy of the reaction[24-25]; In hydrogen donor systems, the well-defined pore architectures and chemical microenvironments of MOFs promote directional adsorption and in situ release of hydrogen carriers[12, 26-27]. In recent years, photocatalysis and electrocatalysis have attracted much attention as green catalytic technologies, and in the photo/electrocatalytic proton reduction pathway, the ordered pore structure and functionalizable surface of MOFs and their derivative systems provide an ideal platform for proton transport and interfacial charge transfer, which expands the boundary of reaction conditions[18, 28]. This makes it possible to precisely design catalysts with targeted catalytic properties.
In this review, we provide a comprehensive analysis of research advancements over the past decade regarding MOFs and their derivatives in the selective hydrogenation of α, β-unsaturated aldehydes/ketones, including catalyst design strategies and hydrogenation pathways, and we will delve into the characteristics and design philosophies of catalysts pertinent to these processes, the systems of catalytic reactions, the performance of these reactions, and the mechanisms underlying them, this critical assessment aims to provide new insights into the targeted catalytic α, β-unsaturated aldehydes/ketones selective hydrogenation by MOFs and their derivatives.
1. Design of the catalytic system
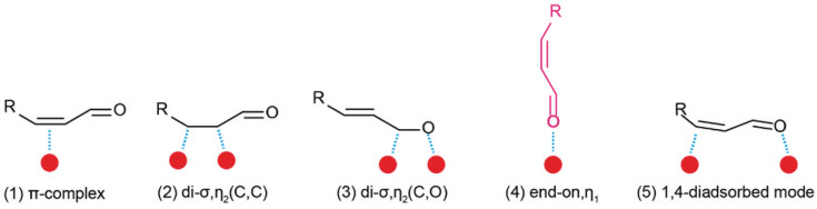
α, β-unsaturated aldehydes/ketones are key raw materials for organic synthesis and industrial production, and their selective hydrogenation is one of the key pathways for the production of a variety of high‑value-added derivatives[9]. It is more difficult to obtain the hydrogenation products with high selectivity, as this process is not only affected by the reaction conditions, but also by the adsorption modes of the reactant molecules on the catalysts. Taking α, β-unsaturated aldehydes/ketones as an example, five distinct adsorption modes can occur on metal nanoparticles and single- atom catalysts (Fig. 2), in which the π-complex and di-σ, η2(C, C) adsorption modes usually lead to preferential hydrogenation of C=C bonds to form saturated aldehydes/ketones, while the di-σ, η2(C, O) and end-on, η1 adsorption modes mainly activate the C=O bonds to produce unsaturated alcohols, and finally the 1, 4-diadsorbed mode yields a fully hydrogenated product called saturated alcohol[29-30]. It is worth noting that conventional metal catalysts often lead to mixed adsorption modes due to the coexistence of polycrystalline surfaces. Therefore, in addition to the factors of substrate and reaction conditions, the rational design of catalysts favoring specific adsorption modes for specific functional groups is crucial for achieving highly selective hydrogenation.
Figure 2
Figure 2. Schematic representations of five adsorption modes of α, β-unsaturated aldehydes on metal nanoparticles and single atoms (Copyright 2024 Elsevier Ltd. All rights reserved)[30]To break through the bottleneck of competitive activation of C=O and C=C bonds in α, β-unsaturated aldehydes/ketones hydrogenation reactions, typically, three catalyst modification strategies are commonly used to improve selectivity (Fig. 3). These include (1) interface regulation of the carrier-active component: selecting high specific surface area carriers (such as metal oxides, carbon materials), and regulating the dispersion degree and chemical state of active components through metal-carrier interactions to promote the specific adsorption of C=O or C=C bonds[31-33]; (2) optimization of the electronic structure of active sites: adding metallic/non-metallic additives to regulate the d-band center position of the active site through electronic effects to reduce the hydrogenation energy barrier of the target bond[34-35]; (3) spatial confinement effect: constructing a microporous/mesoporous confined architecture to control selectivity through steric hindrance effects[36-37].
Figure 3
In recent years, MOFs, as an emerging material, have been widely used in the fields of gas adsorption and separation, chemical sensing, and catalysis due to their advantages of large specific surface area, high porosity, uniform cavities, and tunable components[38-39]. MOFs can not only be used as carriers to achieve high dispersion of active sites and high enrichment of reactant molecules, but also can regulate the pore microenvironment to sieve substrate molecules to achieve targeted adsorption. Precise structural design plays an important role in obtaining catalysts with ideal targeted catalytic functions.
1.1 MOFs and MOF‑encapsulated metal nanoparticles
1.1.1 MOFs ontology catalysis
MOFs are a class of crystalline porous materials formed by metal ions or metal clusters connected with organic ligands. Compared to other microporous materials, MOFs are highly tunable in composition, which can be achieved by using different metal ions and organic ligands[40-41]. Their highly tunable pore structure, considerable specific surface area, and the customizability of their chemical functionality also make them show unique advantages in the selective hydrogenation of α, β-unsaturated aldehydes/ketones (Fig. 4).
Figure 4
The intrinsic catalytic activity of MOFs originates from the unique electronic structure and ligand microenvironment of their metal cluster nodes, which exhibit precise bond selectivity control in the selective hydrogenation of α, β-unsaturated aldehydes/ketones through the redox activity of the metal nodes, the ligand microenvironment modulation, and the nano‑restricted domain effect. The core mechanism can be attributed to three dimensions (Fig. 5). These include (1) electron-geometry synergistic regulation of metal nodes, where the d-orbital electronic structure and ligand configuration of MOF metal clusters cooperatively dictate reaction pathways, so that the d-orbital electronic structure of the transition metal nodes directly affects the substrate adsorption configuration[42]; (2) ligand field effects and remote electron transfer, in which organic ligands in MOFs not only construct the porous structure but also modulate the activity of metal nodes through remote electronic effects, while the functionalization of the ligands introduces Lewis acid sites and Brønsted acid sites that stabilizes reaction intermediates via protonation and effectively suppresses side reactions[25]; (3) structural confinement for transition‑state sieving, through which the pore structure of MOFs realizes molecular-level transition-state screening via a spatial site-distortion effect[26].
Figure 5
For example, in 2020, Cui et al. successfully prepared the hydrophobically modified core-shell structure ZIF-67@SiO2-CPTEOS applied to the CAL transfer hydrogenation reaction by coating a SiO2 shell layer on the surface of ZIF-67 and introducing 3-chloroprop-yltriethoxysilane (CPTEOS) for hydrophobicity via the Stöber method, and the formed metal-N (Co-N) active sites were confined in the core-shell structured nanoreactor. The modified catalyst demonstrated superior catalytic performance and stability compared to pristine ZIF-67, effectively overcoming the recycling problem. Using isopropanol (i-PrOH) as the hydrogen source, the released active hydrogen species was transferred to the C=O bond of CAL through the six-membered transition state, and the Co-N active site activated the C=O bond and stabilized the transition state through the action of a Lewis acid. The hydrophobicity of the catalyst is conducive to the adsorption of CAL. After 12 h of treatment at 453 K, the conversion of CAL was higher than 99% and the selectivity to cinnamyl alcohol (COL) was 93.25%[26]. In 2023, they prepared ZIFs through three methods. Among them, ZIFs (ZIF-67-MW) prepared by microwave-assisted method showed more defects, and its catalytic performance was superior to that of ZIF-67 synthesized by conventional solvothermal method and room-temperature stirring method, which was attributed to the formation of a heterogeneous frustrated Lewis pairs (FLPs) system by independent Lewis acidic sites (uncoordinated Co) and Lewis basic sites (N in 2-methylimidazole) in defective ZIFs. Theoretical calculations showed that the FLPs polarize the H2 molecule through synergistic action, elongating the H—H bond to more than 0.15 nm, and the dissociation energy is only 36.4 kJ·mol-1. Then, by cladding a silica shell layer on the ZIF-67-MW surface as well as grafting dimethyldimethoxysilane (DMDES) on the silica shell surface, silica coating and hydrophobically modified core-shell structure of the ZIF-67-MW@SiO2-DMDES were developed to enhance the stability and selectivity for COL of ZIF-67-MW (Fig. 6a). Co in the defect site adsorbs the C=O bond of unsaturated aldehydes and induce polarization (C=O bond length increases from 0.122 9 to 0.134 nm). The hydrophobic shell layer enhances the selective hydrogenation of C=O by regulating the diffusion path of the substrate/ product. It resulted in high conversion (> 99%) of CAL and 95.3% selectivity for COL. The reaction mechanism was proposed by combining the experimental results with theoretical calculations (Fig. 6b)[42].
Figure 6
Figure 6. (a) Synthetic routes for the hydrophobically modified core-shell ZIF-67-MW@SiO2-DMDES; (b) Proposed mechanism for COL formation over the FLPs sites (Copyright 2023 Elsevier Inc. All rights reserved.)[42]Capitalizing on the decisive role of metal-node coordination microenvironments in material properties, Valekar and Lee et al. synthesized a series of Zr-based MOFs (Zr-MOFs) featuring diverse metal-node/ligand coordination configurations to investigate the role of metal node coordination and modification in Zr-MOFs. Their studies revealed that in Zr-MOF systems, the coordination of metal nodes is more important than porosity, and the connectivity of metal nodes with ligands plays a dominant role in the high porosity of Zr-MOF. The methanol-activated variant (M-MOF-808) exhibited optimal selectivity, attributed to its low metal-node coordination number (6), which enhanced the accessibility of acid-base sites and reactant molecules to the active site (metal node) of MOF-808. Methanol activation substantially modified surface chemistry, as evidenced by CO-FTIR experiments showing increased coordinatively unsaturated site (CUS) density that strengthened substrate adsorption. The modified Zr nodes facilitated hydrogen transfer through an eight-membered transition state, achieving 76.1% FUR conversion with 68.5% furfuryl alcohol (FOL) selectivity at 30 ℃ using isopropanol as hydrogen donor[21].
The unique advantages of pristine MOF-based catalysis lie in their precisely tunable electronic structures and well-defined structure-activity relationships, coupled with well-resolved crystalline architectures that facilitate mechanistic investigations through in situ characterization and theoretical simulations. However, the open-channel structures and coordination-bond-dominated frameworks of MOFs lead to their facing stability defects under harsh reaction conditions. Furthermore, the high specific surface area advantage of MOFs is often offset by their microporous-dominated pore structure, which leads to the limitation of the actual exposure efficiency of the catalytic sites.
1.1.2 MOF-encapsulated metal nanoparticles
MOF materials inherently possess network porosity with pore sizes tailored by the selection of organic ligands and metal centers. By encapsulating metal nanoparticles (MNPs) within MOF matrices to construct core-shell MOF-encapsulated MNPs (MNP@MOF) architectures, one can effectively control the size and distribution of metal nanoparticles while achieving catalyst design with atomic-level precision. Such precise structural engineering is crucial for obtaining catalysts with optimal functionality. Notably, the MNP@MOF catalytic system significantly enhances the hydrogenation selectivity of C=O and C=C bonds in α, β-unsaturated aldehydes/ketones by confining metal nanoparticles, coordinating and activating the reaction substrates, and fine-tuning the microenvironment.
1.1.2.1 Electronic structure modulation of active sites
The synergistic interplay between metal nodes and organic linkers in MOFs provides an ideal molecular platform for precise regulation of catalytically active sites. Through coordinated modulation of ligand coordination and electronic effects, MOFs enable selective control over hydrogenation pathways for C=O versus C=C bonds. Specifically, the metal nodes act as Lewis acid sites that coordinate with the lone electron pairs of oxygen in C=O bonds. This coordination facilitates electron transfer processes that effectively modulate C=O bond energetics, thereby enhancing reaction selectivity[36, 43]. For instance, Liu and Li et al. developed a novel heterogeneous Pt-Lewis acid synergistic catalytic system (Pt/MIL-101 catalyst). The Pt/MIL-101 catalyst was able to efficiently catalyze the selective hydrogenation of cinnamic aldehyde to produce phenylpropanal at atmospheric H2 pressure and room temperature with high selectivity (> 99.9%) and high conversion (> 99.9%). The significantly enhanced catalytic activity and selectivity were attributed to the synergistic interaction between the highly dispersed Pt and Lewis acid sites (Fig. 7). In situ attenuated total reflection infrared spectroscopy (ATR-IR) studies and reaction results indicated that the Lewis acid sites on MIL-101 coordinates with C=O to inhibit the reactivity of the C=O bond in CAL, while enhancing the hydrogenation activity of the conjugated C=C bond through a strong interaction with the C=O bond and inhibiting the sequential hydrogenation of the resulting phenylpropanal[44].
Figure 7
Figure 7. Plausible mechanism for the hydrogenation of CAL over the Pt-Lewis acid collaborative Pt/MIL-101 catalyst (Copyright 2015 American Chemical Society. All rights reserved.)[44]Li et al. synthesized Rh@MIL-101 multiphase catalysts by encapsulating Rh nanoclusters in MIL-101 (Cr) via a dual-solvent approach, which selectively hydrogenated CAL to saturated aldehydes under mild conditions, and were able to achieve more than 98% selectivity and 98% conversion within 5 h. The synergistic enhancement of C=C bond hydrogenation originates from the cooperative effects between Lewis acid sites in MIL-101 and Rh nanoclusters. FTIR spectroscopy confirmed that MIL-101 acted as an aldehyde protectant and inhibited the reactivity of C=O, and the X-ray photoelectron spectroscopy (XPS) data indicated that electropositive Rh preferentially adsorbed C=C over C=O due to the electron transfer from Rh to MIL-101, thus improving the selectivity to saturated aldehydes[43]. Furthermore, Liu et al. synthesized Ir@MIL-101(Fe) composites by growing MIL-101(Fe) in situ with iridium nanoclusters (Ir NCs) in precursor solution, confining Ir NCs within its hollow cavities. They showed high reactivity (93.9%) and high selectivity (96.2%) for the selective hydrogenation of CAL to COL. Due to the electron transfer from Ir to MIL-101(Fe), the Lewis acid site in MIL-101(Fe) can interact strongly with the C=O bond, preferentially adsorb and activate the oxygen lone pair of electrons of the aldehyde group, lowering its hydrogenation energy barrier, and thereby improving the selectivity of COL[36]. Bakuru et al. fabricated Pd%MIL-101(Fe) catalysts by assembling MIL-101(Fe) onto pre-formed Pd NCs. Due to the synergistic effect between the Lewis acid sites present on the MOF and the Pd active sites, the Pd%MIL-101(Fe) heterostructured material showed a significant improvement in activity and selectivity, with a 30% increase in H2 uptake compared to the Pd NCs and the Pd/MOF. The Fe3+ SBUs acted as Lewis acids to change the adsorption configuration of the reactant molecules (such as η2-C=O or σ-C=O) by adsorption of carbonyl oxygen. After C=O is fixed by MOF, the C=C bond is more accessible to the Pd active site, and there may be charge transfer between SBUs and Pd surface, which optimized the position of the center of the d-band of Pd and enhanced the C=C activation ability, these effects collectively boost the turnover frequency (TOF) for CAL hydrogenation to 991.2 h-1 [45].
Zhao et al. reported a sandwich-structured MIL-101(Fe)@Pt@MIL-101(Fe) catalyst with Pt nanoparticles confined between the MOF core and shell (Fig. 8). The porous architecture of the MOF enables efficient diffusion of reactants and products, while the tunable shell thickness modulates mass transfer rates to balance activity and selectivity. The coordinated unsaturated metal sites (CUSs) inside the MOFs can easily adjust the interaction between the MOFs and the reactants. Acting as Lewis acid sites, these CUSs selectively adsorb the C=O bond in α, β-unsaturated aldehydes, thereby altering hydrogenation energy barriers to enhance selectivity toward α, β-unsaturated alcohols. For CAL hydrogenation, the MIL-101(Cr)@Pt@MIL-101(Fe)2.9 catalyst achieves 95.6% selectivity at 99.8% conversion[46].
Figure 8
Figure 8. Synthetic route to generating sandwich MIL-101@Pt@MIL-101 (Copyright 2016 Macmillan Publishers Limited, part of Springer Nature. All rights reserved.)[46]The position of the d-band center of metal NPs directly determines the substrate adsorption strength and reaction pathway, while strong metal-carrier interactions can be formed between the metal nodes and NPs of MOFs to regulate the electronic state of the loaded metal NPs toward highly selective catalysis. For instance, Zahid and Ismail et al. encapsulated Pt nanoparticles within mesopores of amine (—NH2) functionalized MOFs via a polyol reduction method, achieving enhanced selectivity for C=O bond hydrogenation in CAL and FUR. This is mainly attributed to the fact that the N heteroatoms of the amine groups present in the MOFs backbones not only contribute to the highly uniform dispersion and stabilization of small-sized Pt nanoparticles, but also modulate the electronic motion (electron density) through the synergistic effect between the vacant d orbitals of the confined reactive Pt nanoparticles in the MOFs and the N, resulting in the creation of more new interfacial electrophilic and nucleophilic sites, which is conducive to the selectivity of C=O bond hydrogenation[22]. The amine ligands can also further lower the d‑band center of Pt through electron‑donating effects, weakening the adsorption strength of C=C bonds and thereby suppressing their hydrogenation.
In bimetallic MOF systems, the electronic interplay between two distinct metals significantly alters the electronic structure of catalytically active sites, enabling precise modulation of reactant adsorption strength and reaction pathways. Wang and Kang et al. constructed a mixed-metal-node MOF photocatalyst, Pd/MIL-100(FeaCub), for visible-light-driven selective hydrogenation of α, β-unsaturated aldehydes (UALs) to saturated aldehydes (SALs), in which 1% Pd/MIL-100(Fe0.81Cu0.19) could convert a series of UALs into SALs with high efficiency (ca. 100%) and high selectivity (ca. 98%). The results of XPS and in situ diffuse reflectance infrared Fourier transform spectroscopy (DRIFTS) indicated that UAL can be selectively activated by C=C coordination to Cu2+ sites. The electron paramagnetic resonance (EPR) results demonstrated that substantial d-electrons can be transferred to the lowest unoccupied molecular orbital (LUMO) of C=C, weakening the substrate C=C bond strength and favoring C=C activation[17]. Lan et al. developed a Pt-SnOx@ZIF-8 catalyst for the hydrogenation of 2‑ pentenal. In situ FTIR spectroscopy was employed to investigate the surface reaction mechanisms, revealing that SnOx species act as electrophilic sites that preferentially adsorb and activate the C=O bond (Fig. 9). XPS analysis demonstrated electron transfer between SnOx and Pt, which modulated the electronic density of Pt. While Pt provides hydrogen activation sites, hydrogen spillover enables the transfer of active H species to SnOx sites. This electronic synergy enhances the selectivity toward unsaturated alcohols from 4.3% to 61.5%[47].
Figure 9
Figure 9. Reaction patterns on different catalysts: (a) Pt/SiO2, (b) Pt-SnOx/SiO2, (c) Pt@ZIF-8, and (d) Pt-SnOx@ZIF-8 (Copyright 2019 Elsevier Inc. All rights reserved.)[47]Shi et al. constructed a Pt cluster/bimetallic NiMg-MOF-74 (MNM) ultrathin nanosheet via a hybrid solvothermal process for photocatalytic hydrogenation of FUR to FAL with 99.9% selectivity. Electrochemical measurements and in situ EPR results demonstrated that Pt clusters act as functional surface sites for photogenerated electron transfer and H2 dissociation. Mg doping reduced the electron density of coordinatively unsaturated NiⅡ ions on the MNM surface. The in situ ATR-IR results indicated that the optimized surface NiⅡ sites induced a more efficient coordination activation of the FUR molecules via Ni-η1-(O)-furfural coordination[48].
In recent years, the influence of the interface formed by the metal and the carrier on the catalytic reaction performance has attracted great attention from scholars, and the essence of the interfacial effect lies in the synergistic effect between MOFs and metal NPs, which is of great significance for realizing efficient catalysis. In 2021, Lo et al. encapsulated metal NPs in MOFs by the impregnation method, coating method, and one-pot method, and probed the chemical interactions at the interface through IR and Raman spectra. The impregnation-derived Pt@UiO-66-NH2 exhibited the strongest interfacial chemical bonding but suffered from poor control over Pt NP size and distribution. While the coating method improved NP encapsulation precision compared to impregnation, the interface generated by the coating method contains trapped capping agents that hinder the contact of the active site with the reactants. In contrast, the NP-MOF generated by the one-pot method with a well-defined interface provides the highest selectivity for the desired crotonol[33]. After that, Li and Lo et al. utilized the dynamic properties of weakly adsorbed capping agents to mediate MOF growth on the surfaces of metal NPs, in which the capping agents gradually dissociated from the metal surface and were replaced by MOF in situ, producing a well-defined and clean NP-MOF interface without the need for captured capping agents, resulting in a homogeneous core-shell structure encapsulated in a single-crystalline MOF nanocrystal of NPs that with a specific crystallographic arrangement. This interface exhibits over 99.0% selectivity for the desired unsaturated alcohol[49].
1.1.2.2 Channel confinement effect
The porous channel structure and confinement effect of MOFs are also the key factors to achieve selective catalysis by regulating the reactant diffusion path and adsorption configuration. The nano-space of MOFs can precisely regulate the size distribution, exposed crystal facets, lattice strain, and mass transfer path of metal nanoparticles through the physical confinement effect, thereby realizing the precise regulation of catalytic activity and selectivity. For instance, Stephenson et al. encapsulated 2.2 nm gold nanoparticles (Au NPs) within ZIF-8 frameworks to construct Au@ZIF-8 composites for selective hydrogenation of crotonaldehyde to croton alcohol, achieving selectivities of 90%-95%. The porosity of ZIF-8 enables only the end of the permeating molecule to contact the surface of the encapsulated Au nanoparticles, thus showing excellent regional selectivity, while the Au/ZIF-8 catalyst prepared by supporting Au nanoparticles on the outside of ZIF-8 has a significantly lower conversion selectivity than Au@ZIF-8, also demonstrating the confined environment of ZIF[50]. Lan and Huang et al. demonstrated through comprehensive characterizations including high‑resolution transmission electron microscope (HR‑TEM), high-angle annular dark-field scanning transmission electron microscope (HAADF‑STEM), powder X-ray diffraction (PXRD), nitrogen adsorption isotherms, and size-selective reaction assessments that platinum nanoparticles (Pt NPs) in Pt@ZIF-8 catalysts are encapsulated within the porous framework whose dimensions match those of 3‑methylcrotonaldehyde molecules, these narrow pores enforce a linear approach of 3‑methylcrotonaldehyde molecules toward active sites, thus preventing interaction between the central C=C bond and Pt active sites while enabling preferential adsorption and hydrogenation of the terminal C=O bond to form allyl alcohol. Leveraging this geometric confinement effect, the Pt@ZIF‑8 catalyst achieves high selectivity (> 84% for allyl alcohol) while maintaining superior conversion efficiency (> 90%)[51].
The structure of MOFs also has a regulatory effect on the electronic states of metal nanoparticles, which can be effectively regulated through interfacial electronic interactions, including adjustments to Fermi level positioning, d‑band center shifts, and charge redistribution, thereby optimizing their catalytic performance. For example, Yang et al. developed a multicomponent hybrid catalyst Co‑MOF‑74@(Pt@Fe2O3) synthesized from MOF, Pt NCs, and iron oxide. In this system, Co-MOF-74 provides open metal sites and well-defined pore channels, while Fe2O3 enhances adsorption to C=O bonds, and Pt NPs serve as active centers. The synergistic integration of these components facilitates preferential activation of C=O bonds via spatial confinement effects and metal-support interactions, thereby effectively suppressing competing side reactions[52]. Nagendiran and Pascanu et al. reported Pd nanoparticle catalysts based on MOF and silicon-based mesoporous foam (MCF)-loaded Pd nanoparticles in comparison with commercial Pd/C. The pore architectures of both MOF and MCF matrices effectively constrained Pd particle dimensions while suppressing undesired C=O bond side reactions. Both porous substrates were functionalized with amino groups; the interaction of amino-functionalized carriers with Pd particles modulated the electron density and enhanced the selective activation of C=C bonds[53].
Zhang and Shi et al. synthesized three Pt@MOF catalysts with distinct channel environments (Pt@ZIF-8, Pt@ZIF-67, and Pt@UiO-66). Molecular dynamics simulations combined with density functional theory (DFT) calculations revealed that the steric effects of ZIF-67 channels regulate the diffusion behavior of citronellal molecules: the small pore sizes of ZIF-67 (0.33 nm) and ZIF-8 (0.34 nm) restricted the free rotation of citronellal molecules to preferentially diffuse their C=O bonds to the surface of Pt NPs, and the large pore size of UiO-66 (0.6 nm) allowed the molecules to rotate freely, resulting in the competition of the C=C bonds with the C=O bonds for hydrogenation leading to a decrease in selectivity. XPS analysis further demonstrated that metal-N clusters within MOFs modulate the electronic states of Pt NPs to tune their activity. The Co-N cluster in ZIF-67 increased the electron density of the Pt NPs through electron transfer, enhanced H2 adsorption and activation, and boosted the catalytic activity (TOF=42.28 h-1)[37].
Long et al. developed a sodium polystyrenesulfo-nate (PSS)-induced microwave-assisted route (Fig. 10a) to achieve oriented continuous growth of MOF over Pt/CeO2 nanospheres, constructing Pt-CeO2@UiO-66-NH2 catalysts that exhibit exceptional performance in selective hydrogenation of FUR with 99.3% conversion and > 99% selectivity. The UiO-66-NH2 framework comprises tetrahedral cages (0.75 nm), octahedral cages (1.2 nm), and narrow triangular windows (0.6 nm), which forces FUR (0.66 nm×0.49 nm×0.16 nm) to diffuse vertically to the surface of Pt-CeO2 only via C=O along UIO-66-NH2, thus preventing the adsorption and hydrogenation of C=C bonds in the furan ring, the size limitation effect (molecular sieving effect) is the main reason for the improvement of catalytic selectivity[54]. Furthermore, Guo and Xiao et al. synthesized Pt NCs confined in the cavity of UiO-66-NH2 as a template and carrier, which showed more than 90% chemoselectivity for COL during CAL hydrogenation, again due to the confinement of the Pt NCs in the cage of UiO-66-NH2, the access of the reactant molecules is strongly restricted by the tetrahedral and octahedral cages and the 0.6 nm triangular window inside UiO-66-NH2, and this geometric confinement effect makes the molecular-terminal C=O more readily adsorbed onto the surface of the Pt NCs (Fig. 10b)[55]. Subsequently, Tian et al. carried out theoretical studies on the basis of the above-mentioned foundation to demonstrate the exact mechanism of chemoselective hydrogenation of CAL by Pt clusters confined to UiO-66-NH2. Through ab initio molecular dynamics (AIMD) simulation combined with the DFT method, the thermodynamically stable structure of Ptn@UiO-66-NH2 composite was found. AIMD simulation, DFT, and nudged elastic band (NEB) calculations showed that CAL easily formed the O-tail adsorption mode when diffusing from the tetrahedral cage to the octahedral cage. This confined domain space forces the CAL to preferentially contact the Pt surface via aldehyde-group orientation, resulting in a significantly lower energy barrier for the C=O hydrogenation path than the C=C path[25].
Figure 10
Zhou and Dou et al. modulated the spatial localization of Pt NPs through the yolk-shell MOF structure (Fig. 11). By adjusting the addition order of Pt NPs, the selectivity of Ptvoid@MOF(Y) obtained by controlling its spatial distribution during the homogeneous epitaxial growth of Ni/Zn-MOF for COL was as high as 98.2%. The MOF channels (ca. 1.3 nm) impose spatial confinement on CAL molecules (ca. 1.05 nm), promoting the preferential adsorption of C=O bonds on the Pt surface, and the metal-carrier electronic interactions enhance the adsorption of C=O bonds, while the yolk-shell MOF structure void spaces significantly reduce reactant diffusion distances from MOF surfaces to Pt active sites, achieving accelerated reaction rate (TOF=40.5 h-1)[56].
Figure 11
Figure 11. Schematic illustration of regulating the localization of MNPs in Ni/Zn-MOF microspheres (Copyright 2019 Wiley-VCH Verlag GmbH & Co. KGaA, Weinheim. All rights reserved.)[56]Xu′s team used atomic layer deposition (ALD) to deposit alumina on the surface of CeO2/Pd nanosphere as a sacrificial template to grow a MIL-53(Al) shell. MIL-53(Al) can be heterogeneously nucleated on the surface of CeO2/Pd, thus preparing a CeO2/Pd@MIL-53(Al) sandwich structure catalyst. The MIL-53 shell layer restricts the proximity of macromolecules (such as benzene rings and furan rings) to the Pd active site, inhibiting excessive hydrogenation and exhibiting 99.9% selectivity in CAL hydrogenation[57]. Chen and Yang et al. took MIL-88B(Fe) as the core. MIL-88B(Fe) cores were first impregnated with H2PtCl6 precursor and reduced under H2 to form MIL-88B(Fe)@Pt, then were deposited a thin film of Al2O3 through ALD on its surface. Finally, the sandwich structure of MIL-88B (Fe)@Pt@Al-TCPP was prepared by phase transformation (hydrothermal method) with tetrakis(4-carboxyphenyl)porphyrin (H4TCPP) linker to generate the Al-TCPP shell layer (Fig. 12). The thickness of the Al-TCPP shell can be very finely controlled by adjusting the number of ALD cycles and the concentration of the H4TCPP linker, and H4TCPP concentration of 1 g·L-1 and ALD cycles of 10 were the optimal conditions for 85% COL selectivity in CAL hydrogenation. The enhanced catalytic performance is attributed to (1) the Al-TCPP pore size restricting the substrate molecular orientation, forcing the C=O bond to preferentially contact the Pt active site, and (2) the transfer of electrons from the MOF shell layer to the Pt NPs, resulting in the formation of electron-rich Pt, which promoted the adsorption and activation of the C=O bonds (DFT calculation showed C=O bond length extended from 0.122 9 to 0.129 8 nm.)[58] Yang and Gao et al. proposed a partial deligation strategy involving low-temperature calcination (270 ℃) to retain partial organic ligands, combined with atomic layer deposition for Pt nanoparticle loading. The resulting Pt/CeO2-270 catalyst achieved complete FUR conversion within 60 min under mild conditions (80 ℃, 1 MPa H2), with 97.3% selectivity toward FOL. XPS and EPR analyses showed that Ce3+ content and oxygen vacancy concentration in CeO2-270 were 3.36 times higher than those in CeO2-600, which enhanced the anchoring of Pt, while the residual organic ligands optimized the surface hydrophobicity, promoted the selective adsorption, and acted together with the defective sites to accelerate the FOL desorption and inhibit the excessive hydrogenation[59].
Figure 12
Figure 12. (a) Synthesis route of MIL-88B(Fe)@Pt@Al-TCPP; (b) Schematic models showing the phase transformation of alumina to Al-TCPP by reacting alumina with the TCPP linker (Copyright 2022 The Royal Society of Chemistry. All rights reserved.)[58]The precise synthesis of complex core-shell structures is costly, which can be mitigated by developing template methods or self‑assembly strategies. For instance, Ning, Liao, and colleagues fabricated a core-shell structure Gd2O3@Pt@ZIF-8 nanoreactor using a self-assembly strategy. The adsorption of Zn ions on the surface of Gd2O3@Pt by a molecular linker (polystyrene sulfonate, PSS) guided the nucleation and expansion of ZIF around the Gd2O3@Pt nanorods. The pore size of ZIF-8 (1.16 nm) restricts the adsorption of macromolecular substrates through the steric hindrance effect, forcing the reactants to preferentially hydrogenate the C=O bond in the "end-group adsorption" mode[60].
By combining the structural features of porous nanowires (NWs) and MOFs, using organic ligands to capture dissolved Ni2+ during dealloying, and generating MOF shells in situ on the newly generated porous Pt-Ni NWs, Zhang et al. designed and synthesized a unique class of porous Pt‑Ni NWs encapsulated by MOFs in situ (Pt-Ni NWs@Ni/Fex-MOF). The optimized porous PtNi2.20 NWs@Ni/Fe4‑MOF exhibited 99.5% CAL conversion with the highest COL selectivity of 83.3%. This is attributed to the limiting effect of in situ MOF and the introduction of Fe (more Lewis acid sites to activate the carbonyl groups), as well as electron transfer at the surface[35].
Xue and Lan, and others, synthesized a Pt@MAF-6 catalyst by encapsulating pre-synthesized Pt NPs within MAF-6 pores using a "bottle around a ship" strategy, with 94% selectivity for COL at 95% conversion. This high selectivity was attributed to the stereospecific limitation of the MAF-6 pore size in the CAL adsorption mode[61].
For MOFs with large pore sizes, the reactant molecules can rotate freely in the pore channels, and it is difficult to take advantage of the pore confinement effect, so high selectivity can be achieved through the cooperation of electronic effects. For example, Liu, Chang, and co‑workers employed stepwise liquid-phase epitaxial growth to coat Pt/MOFs with MOF shells, creating Pt/MOFs@MOFs core‑shell nanocomposites (Fig. 13), which increased the selectivity of C=O hydrogenation from 55% to 96% during CAL hydrogenation. Pt/MOFs@MOFs not only retains the inherent properties of Pt/MOFs (such as crystal structure, pore texture, and surface area) but also controls the thickness of the MOF shell, and the same core-shell MOF ensures pore connections at the interface, which can promote the diffusion and accessibility of reactants to active MNPs. In Pt/MIL‑100@MIL‑100, as the Pt nanoparticles are surrounded by the aryl groups in MIL-100, electrons are transferred to Pt through π-bonding interactions or ligand interactions. In addition, the CAL molecule and the benzene ring of MIL-100 can also undergo π-π electron stacking, thereby inhibiting the benzene ring and extracyclic C=C bonds from entering the pore, and only the C=O bonds can be oriented to contact the active site[62].
Figure 13
Figure 13. Preparation route of MNPs/MOFs@MOFs nanocomposites (Copyright 2016 WILEY-VCH Verlag GmbH & Co. KGaA, Weinheim. All rights reserved.)[62]On the basis of utilizing the electronic effect, hydrophobic modification of the catalyst surface can further improve the catalyst performance. Recognizing the inherent limitation of hydrophilic MOF shells in adsorbing hydrophobic reactants, Yuan and Song et al. prepared MIL-101@Pt@FeP-CMP by using conjugated micromesoporous polymer iron porphyrins (FeP-CMPs) as a new shell. By replacing the MOFs shells with FeP-CMP, the microenvironment of Pt NPs was successfully modified (reduction of electron density), which not only altered the wettability of the enriched CALs, but also activated the C=O bond at the iron sites and improved the selectivity to COL, with its TOF increased from 203.4 to 1 516.1 h-1[63].
1.1.2.3 Chemical microenvironment regulation
The functional groups (such as —COOH, —OH, and —NH2) in the organic ligands of MOFs can precisely regulate the adsorption configuration of the reagents through multiple non‑covalent interactions (hydrogen bonding, electrostatic interaction, π-π stacking, etc.). For example, Guo′s team used 2, 2′-bipyridine-5, 5′-dicarboxylate (debpy) ligands as organic linkers in MOF-253. The bimetal catalyst MOF-NiH was synthesized by metallization of NiBr2 and reductive activation of NaBHEt3 for Z‑selective semi-hydrogenation of alkyne and selective hydrogenation of C=C bonds of α, β-unsaturated aldehydes/ketones. Its bipyridine moiety (bpy) has a strong coordination ability to chelate metal centers, and each bpy site precisely binds two Ni2+. EPR and XPS studies showed that the bpy ligand undergoes a single-electron transfer during the reduction process to form the ligand radical (bpy•-). This redox activity formed the (bpy•-)Ni2Ⅱ(μ2-H)2NiⅡ(bpy•-) active sites. Extended X-ray absorption fine structure (EXAFS) showed that the ligand modulates the geometrical configuration of the metal centers through precise coordination environments, so that precise site design and electronic modulation achieve higher selectivity and atom economy[64].
Yangcheng et al. designed a Pd/UiO-66-(COOH)2 catalyst for the hydrodeoxygenation of lignin derivatives [such as vanillin (VAN)] at room temperature by introducing unliganded carboxylic acid groups as functionalized ligands and achieved > 99% conversion of VAN and > 99% yield of 2-methoxy-4-methylphenol (MMP), and experiments showed that the uncoordinated carboxylic acid group was linearly and positively correlated with the yield of the target product MMP. FTIR and thermogravimetry analysis (TG/DTG) confirmed that these uncoordinated carboxylic acid groups formed free acidic sites, which enhanced the adsorption of VAN and vanillic alcohol (VAL) on the catalyst surface through hydrogen bonding or electrostatic interaction. In addition, carboxylic acid groups accelerated the conversion of VAL and other intermediates through proton transfer or stabilization of transition states[65].
In the chemical microenvironment, the solvent environment plays an important role in regulating the selective hydrogenation of α, β-unsaturated aldehydes/ketones catalyzed by MOFs. Cai and Liu et al. systematically investigated the effect of solvent environment on the Pt/MIL-100(Fe) catalysts in the selective hydrogenation of CAL to COL reaction. By comparing the reaction results of various solvents, methanol and ethanol were easy to react with CAL due to their small molecular size, resulting in a significant decrease in COL selectivity, acetonitrile and DMF will strongly adsorb Pt or Fe center due to nitrogen or basic groups, inhibiting hydrogenation activity, and the reaction can not proceed, and when water is used as a solvent, even the MIL-100(Fe) skeleton collapses and catalysts are inactivated. Isopropanol was the best solvent, and the conversion of CAL reached 88.3% and the COL selectivity was 84.9% under the optimized conditions, the advantages of which originated from the high solubility of H2 and the good compatibility with the reactants. Water also has a significant effect on the catalytic performance. The results of characterization and static adsorption experiments showed that the removal of free water in the pores by heat activation promoted the enrichment of CAL in the pores, and the conversion increased from 63.2% to 88.3%, while the removal of complexed water on the Fe centers enhanced the adsorption of the C=O groups by the exposed Lewis acid sites, and the COL selectivity increased from 68.5% to 84.9%[16].
1.2 MOFs derived materials
Based on the unique porous structure and highly ordered crystalline properties of MOFs, a series of functionalized carbon‑based nanomaterials, including metal/metal oxide-modified porous carbon (or heteroatom-doped porous carbon), can be prepared by using MOFs as sacrificial templates through pyrolysis or chemical treatments under controlled atmospheres and precise temperatures. These MOFs‑derived porous carbon materials have the following advantages (Fig. 14): (1) high specific surface area and multi‑stage pore structure; (2) tunable electronic and geometric structure; (3) highly dispersed active sites; (4) high chemical and mechanical stability; and (5) scalability and applicability[8, 19].
Figure 14
These structural advantages make them widely studied in catalytic applications. Through precise structural design and performance modulation, they exhibit high efficiency, stability, and tunability in α, β-unsaturated aldehydes/ketones selective hydrogenation, and show broad application prospects in the fields of photocatalysis, electrocatalysis, and thermocatalysis.
1.2.1 Metal/carbon composites
Metal/nitrogen‑doped porous carbon composites derived from MOF pyrolysis have been employed to construct a highly efficient catalytic system for the selective hydrogenation of α, β-unsaturated aldehydes and ketones. The excellent performance of this catalyst is attributed to the synergistic optimization of structural tunability, electronic effects, and mass transfer properties. By meticulously designing the metal nodes and functionalizing the ligands in the MOF precursors, these metal/carbon hybrids enable precise control over the types of metal species (nanoparticles or single-atom sites) and their electronic configurations in the pyrolysis products (Fig. 15). The derived porous carbon skeleton not only enhances the mass transfer efficiency, but also limits the excessive adsorption of reactive intermediates through spatial constraints, thus inhibiting side reactions. In addition, the strong interaction between the metal and the carbon carriers promotes the adsorption pattern of reactant molecules on specific functional groups by optimizing the position of the d-band centers, which in turn modulates the reaction paths.
Figure 15
The structural diversity and periodic frameworks of MOF precursors enable precise regulation of derived materials′ porosity, metal dispersion, and electronic states through strategic selection of metal species, organic linkers, and carbonization parameters (temperature, atmosphere). For example, Wang and Xin et al. developed a ZnNC-X catalyst (X represents the calcination temperature) for the selective deoxygenation of α, β-unsaturated carbonyls to produce olefins by high temperature calcination (500-1 000 ℃) in Ar atmosphere using ZIF-8 as precursor, when the calcination temperature was no less than 600 ℃, the ZIF-8 skeleton collapsed to form a graphitic carbon structure, and the zinc was present as atomically dispersed Zn-Nx species. Systematic characterization revealed that the Lewis acid-base site was responsible for the selective hydrogenation of the C=O bond, and the Zn-Nx site facilitated the subsequent selective hydrodeoxygenation step, in which ZnNC-900 exhibited high activity toward aromatic (such as CAL), furanic, and diaryl ketone substrates[19]. Chen et al. developed Zn-N-C single-atom catalysts (SACs) via a self-templated pyrolysis strategy using ZIF-8 precursors, where calcination temperatures (700-1 000 ℃) precisely modulated Zn coordination environments to achieve 95.5% CAL conversion with 95.4% COL selectivity under mild conditions (80 ℃, ambient pressure). HAADF-STEM showed that Zn was dispersed in single-atom form, and EXAFS and X-ray absorption near edge structure (XANES) analyses indicated that Zn was predominantly Zn-N3 coordinated (bond length 0.195 nm, coordination number 3.2), and the d-band center of Zn-N3 was closer to the Fermi energy level, enhancing substrate adsorption and electron transfer, while the Zn-N4 site had high energy barriers, limiting the activity[8].
Liu and others synthesized a Co@CN bifunctional nanocatalyst for the selective transfer hydrogenation of CAL to generate COL without base additives under mild conditions by employing Co-MOF containing nitrogen ligands ([Co(TPA)(ted)0.5]) as a sacrificial template. As the active center, Co NPs activate the C=O bond of aldehyde groups through strong d‑electron interactions, and the nitrogen‑doped carbon layer provides a basic site to facilitate proton transfer. Alcohol proton donors adsorb onto Co surfaces via O—H bond interactions, releasing protons with the assistance of basic sites to form reactive Co-H species. These Co-H reactive species attack the activated C=O bond and complete the hydrogen transfer to produce COL[27].
Liu and Zhang et al. employed a dual-ligand metal-organic framework strategy to engineer Co-based catalysts, where nitrogen-donor ligands (BMP) coordinated strongly with Co to form CoxN species upon calcination, while carboxylate ligands (BDC) acted as modulating agents to weaken Co—N bonding strength. By hydrothermally assembling Co(NO3)2 with BMP and BDC ligands into a Co-BDC-BMP MOF precursor, followed by optimized calcination under N2 at 1 073 K, they achieved a controlled surface concentration of CoxN phases. During pyrolysis, BMP‑derived nitrogen formed atomically dispersed CoxN surface layers, while carbonized organic ligands generated graphitic carbon matrices that stabilized Co nanoparticles against aggregation. The tailored electronic structure of CoxN significantly reduced the activation energy for C=O hydrogenation (Ea=75.7 kJ·mol-1) compared to the C=C pathway (Ea=94.7 kJ·mol-1), with interfacial electronic synergy between CoxN and metallic Co accelerating hydrogen transfer to carbonyl groups, achieving highly selective generation of geraniol/nerolidol (up to 60% yield)[24].
Gong and Lin et al. used ZIF-67 as a precursor to prepare nitrogen-doped carbon nanotube-limited Co nanoparticles through two-step pyrolysis for selective hydrogenation of FUR (CAL) to FOL (COL), among which the best performance was achieved by the Co@ N-CNTs catalysts treated at 900 ℃. The Co-Nx site optimized the d-band electronic structure of Co and lowered the H2 dissociation energy barrier through the electron-donating effect of nitrogen atoms, while the introduction of graphitic nitrogen enhanced the carrier conductivity, the electronic modulation of Co-Nx, and the confined-domain effect of N-CNT resulted in a high TOF (30.7 h-1) and a low activation energy (68.2 kJ·mol-1)[66].
Zhu and Zhang et al. engineered an enzyme-like catalytic (ELC) Co/CoNx/C‑T system via controlled pyrolysis of ZIF-67 precursors under nitrogen atmosphere, demonstrating exceptional performance in citral hydrogenation with 97.8% conversion and 91.2% selectivity using the Co/CoNx/C-600 variant. The catalyst has an internal layered porous structure and uses enzyme-like Co-Nx as the active site. DFT calculations showed that the N-doped carbon support enriched the Co NPs with electrons through directed electron transfer, which promoted the targeted adsorption of C=O bonds. Kinetic calculations showed that N doping decreased the activation energy of the reaction from 67.1 to 30.86 kJ·mol-1. no significant decrease in activity was observed after six cycles of the catalyst, and the Co NPs were protected by the carbon layer with no metal loss[14].
MOFs-derived hierarchical porous carbon structures (microporous-mesoporous synergism) can optimize the reactant diffusion pathways. For example, Yao and Chen et al. synthesized SOM-ZIF-8 using polystyrene (PS) as a template, and then obtained SOM-ZIF-8@ZIF-67 by epitaxial growth of ZIF-67 nanolayers, which were pyrolyzed under an argon atmosphere to construct cobalt/nitrogen‑doped carbon composites with 3D ordered macropores and hollow-wall structures (H-3DOM-Co/NC) (Fig. 16). The material has a unique microporous-mesoporous-macroporous multistage pore structure, and the 3D ordered macropores provide fast mass transfer channels and reduce diffusion resistance, while the hollow wall shortens the contact distance between the active sites and the reactants, and enhances the local mass transfer through the mesopores in the wall. By adjusting the precursor (PS) template size, catalysts with different macroporous and hollow sizes could be prepared, among which H-3DOM-Co/NC-600 showed a CPL yield of 97.8% in FUR hydrogenation reaction[15].
Figure 16
Figure 16. Schematic diagram of the synthesis process of H-3DOM-Co/NC (Copyright 2021 Wiley-VCH GmbH. All rights reserved.)[15]Zhao and Li et al. coated the surface of ZIF-67 with a SiO2 shell by hydrolyzing tetraethyl orthosilicate (TEOS), and then pyrolysis (600-800 ℃) in N2 atmosphere to obtain a hollow mesoporous Co-N-C@mSiO2 catalyst. The optimized Co-N-C@mSiO2-20-700 variant (20 nm shell, 700 ℃ treatment) demonstrated exceptional performance in FUR hydrogenation, achieving 95.3% conversion with 89.1% FOL selectivity under mild conditions (140 ℃, 1 MPa H2, isopropanol, 4 h), starkly outperforming the unencapsulated Co-N-C-700 (45.2% conversion). Advanced characterization (PXRD/STEM) confirmed that the mSiO2 shell layer inhibited Co particle aggregation through spatial confinement, and provided a high specific surface area and mesoporous channels close to the catalytic site to optimize mass transfer. Co@SiO2‑20 (no N doping) was only 39.5% conversion, confirming that N doping modulates the electronic structure of Co, with Co-Nx as the active site[67].
Chen et al. constructed multilayer heterostructures by a stepwise epitaxial growth method using ZIF-8 or ZIF-67 as the crystalline seeds. By repeating the growth steps, the number of layers of ZIFs could be precisely controlled. Subsequently, when pyrolyzed at high temperatures in an inert atmosphere, the organic ligands in the ZIFs carbonize to form a nitrogen-doped carbon matrix, and the metal ions (e.g., Zn2+, Co2+) are reduced to metal nanoparticles, and Co2+ in the ZIF-67 layer is reduced to Co NPs and embedded in the carbon shell to form a multi-shell structure (Fig. 17). The hollow structure of the multishell layer provided abundant pores and interfaces to accelerate the diffusion of reactants/products, while the high specific surface area increased the exposure of active sites, and the CPL yield of 4LH-Co@NC in the reaction of FUR selective hydrogenation to generate cyclopentanol reached 97%, which was much higher than that of the single-shell layer[68].
Figure 17
Figure 17. Schematic illustration of the fabrication of multishell hollow Co@NC dodecahedrons (Copyright 2019 American Chemical Society. All rights reserved.)[68]The alloy nanoparticles optimize the reaction paths through an intermetallic synergistic mechanism. For example, Lv et al. used ZIF-67 as a precursor to obtain Co@NC by pyrolysis and carbonization, then loaded Fe3+ to Co@NC by the impregnation method, and finally synthesized highly dispersed Fe‑Co alloy nanoparticles (Fig. 18) by reduction heat treatment to serve as an efficient catalyst for the selective hydrogenation of CAL to COL in pure water medium. Fe and Co alloying changed the electron cloud density of the active site through the electron synergistic effect, achieving CAL conversion of 95.1% and COL selectivity of 91.7%. XPS analysis showed that the electron cloud density of Co increased, while that of Fe decreased, and Co with high electron density tended to attack the electrophilic C=O group in CAL rather than the nucleophilic C=C bond, and the pyridine nitrogen and graphitic nitrogen in the carrier enhance the surface hydrophilicity to promote the preferential adsorption of CAL via C=O. In addition, highly polar solvents (such as water) interact with the C=O of CAL through hydrogen bonding to enhance its directed adsorption on the catalyst surface, and water molecules may also participate in the hydrogen exchange pathway, directly lowering the energy barrier for C=O hydrogenation[23].
Figure 18
Figure 18. Illustration of the synthetic procedure of FexCo@NC (Copyright 2020 Wiley-VCH GmbH. All rights reserved.)[23]Hu and Shi et al., using Co-MOF as substrate, uniformly doped Ag+ ions into the MOF skeleton by a one-pot method, and then prepared AgCo alloy nanoparticles by pyolysis of Ag(Ⅰ)-Co-MOF precursor (510 ℃) under N2 atmosphere, the organic ligand was decomposed to form a mesoporous carbon layer, simultaneously Ag+ and Co2+ are reduced in situ to metallic Ag and Co. After Ag and Co formed an alloy, the electrons of Co were partially transferred to Ag, resulting in the electron-rich surface of Ag and the electron-deficient surface of Co, the electron‑rich Ag preferentially adsorbed and activated the C=O double bond of citral by polarizing it, which resulted in the selective hydrogenation of unsaturated alcohols, whereas the mesoporous structure facilitated the diffusion of the reactants and the rapid desorption of the products to reduce the over‑ hydrogenation. The catalyst maintained 100% conversion and selectivity after 10 cycles, attributed to the protection of the carbon layer and the chemical stability of the alloy structure[1].
Recently, Zhu et al. prepared ZIF‑67 by the hydrothermal method and heat‑treated it in N2 at 900 ℃ to produce nitrogen-doped carbon (NC)-loaded cobalt, and then obtained CuCo/NC bimetallic catalysts with different Cu and Co loadings (different Cu/Co mass ratios) by the electrochemical substitution method. Aberration-corrected scanning transmission electron microscope (AC-STEM) and in situ XPS could demonstrate that the nanostructures of the synthesized CuCo/NC bimetallic catalysts were the coexistence of Cu species in the form of single atoms and clusters loaded on Co particles, and then loaded on NC. The CuCoNC-2 (Cu: 9.6%, Co: 29.7%) catalyst, prepared without the use of precious metals, exhibited remarkable catalytic activity under mild reaction conditions for 6 h, achieving 51.3% FUR conversion and 97.6% FOL selectivity, and the DFT calculations further confirmed the formation of electronic synergistic effect between Cu and Co (electron transfer from Co to Cu). On the one hand, the introduction of Cu can significantly reduce the energy required for hydrogenolysis, and the energy required for hydrogenolysis on CuCo/NC-2 is only 0.003 eV, much lower than that of Co/NC, which is 0.82 eV, so the active hydrogen species are more easily involved in the hydrogenation reaction. On the other hand, the activation energy of the FUR hydrogenation reaction on CuCo/NC is lower, making the reaction easier to carry out[69].
1.2.2 Metal oxide/carbon composites
MOF-derived metal oxide/carbon composite catalysts are also a highly active research field. Unlike metal/carbon composites. MOF precursors are usually pyrolyzed at high temperatures in oxygenated or oxidizing atmospheres (e.g., air, O2), and the metal nodes are oxidized to oxides. By choosing different MOFs and ligands, the composition of metal oxides and the pore structure of carbon can be precisely regulated, and by adjusting the pyrolysis temperature and atmosphere, the crystalline shape and size of metal oxides and the degree of graphitization of carbon can be further controlled, which can further optimize the catalytic performance.
For instance, Gui and Liao et al. synthesized oxygen-deficient Co3O4@NC porous nanorods through in situ pyrolysis of Co-MOF@N, achieving a CAL conversion rate exceeding 99% and cinnamalcohol selectivity reaching 93.4%. During pyrolysis, oxygen vacancies on the Co3O4 surface induced low‑coordination states of Co atoms functioning as Lewis acids, while nitrogen dopants in the carbon framework provided lone electron pairs as Lewis bases, and the undercoordinated Co and N species formed FLPs that synergistically activated substrates and hydrogen donors through spatially separated acid‑base sites. DFT calculations revealed that the adsorption energy of C=O bonds at Co…N FLP sites was substantially higher than that of C=C bonds. Moreover, the FLP sites reduced the activation energy of the O—H bond cleavage in isopropanol to 0.17 eV, facilitating hydrogen dissociation. These findings elucidate the critical role of FLP sites in enhancing catalytic performance[6].
The two types of composites derived from the pyrolysis of MOFs have their own advantages: metal oxide/carbon excels in catalytic oxidation, sensing, and energy storage, while metal/carbon is more suitable for reductive catalysis, electromagnetic absorption, and high-conductivity demand scenarios.
1.3 Summary
In summary, significant research progress has been achieved in the selective hydrogenation of α, β- unsaturated aldehydes/ketones using MOFs and their derivatives. Their highly tunable pore structures, well-defined electronic properties of metal nodes, and precise spatial confinement effects provide innovative strategies for targeted regulation of competitive activation between C=O and C=C bonds. Currently, most studies enhance catalytic performance primarily through three approaches: (1) stabilizing metal nanoparticles (MNPs) via structural design to ensure uniform dispersion and prevent aggregation; (2) leveraging MOFs′ nanochannels or core-shell architectures to restrict reactant diffusion pathways, thereby forcing preferential contact of specific functional groups with active sites; (3) modulating the electronic states of active sites through metal-support interactions to optimize reactant adsorption strength and reaction pathways. These studies offer crucial guidance for developing MOF-derived catalysts with precise targeting capabilities in catalytic systems.
However, most MOF materials still face several challenges. Firstly, the stability of MOFs remains a critical issue, as certain frameworks may undergo structural collapse or active site deactivation under practical reaction conditions, limiting their long‑term stability and recyclability. Secondly, while MOFs and their derivatives demonstrate exceptional catalytic performance in model reactions, their application in complex real-world reaction systems requires further investigation, particularly regarding scenarios involving coexisting multiple substrates and dynamically changing reaction parameters. Furthermore, despite significant advances in selective hydrogenation catalysis using MOF-based materials, mechanistic studies continue to encounter substantial obstacles. Current research predominantly relies on indirect characterization methods such as DFT calculations and DRIFTS, which lack direct observation of active sites′ dynamic evolution during reactions. It is necessary to develop time‑ resolved in situ characterization techniques and multi-scale theoretical simulation methods to analyze the real-time changes in the spatial configuration and electronic structure of reaction intermediates with atomic precision so as to provide a scientific basis for establishing the quantitative structure-activity relationship and designing a new generation of catalysts.
To address the above problems, future research should focus on the five directions. The first direction is constructing intrinsically stable frameworks through precise regulation of the coordination chemical environment between metal nodes and organic ligands in MOFs. Meanwhile, post-synthetic modification strategies such as ligand functionalization modification or metal doping can be adopted to significantly enhance the structural integrity of the material under reaction conditions. For MOF derivatives, the graphitization degree of the carbon matrix and the size distribution of metal nanoparticles were precisely regulated by programmed pyrolysis, and the effects of pyrolysis temperature, atmosphere, and other parameters on the multi-level pore structure and active site density of the materials were systematically studied to obtain derivative materials with high stability and excellent catalytic performance.
The second is in-depth research on the synthesis of materials with interfacial effects and exploration of new synthesis methods and strategies, aiming at the precise design of highly selective active sites through defect engineering and interface regulation. This research direction not only provides new ideas for materials science but also lays the foundation for applications in the fields of catalysis, energy storage, and conversion. Through systematic experimental and theoretical analysis, we hope to reveal the key role of interface effects in material properties, to promote the development and application of high-performance materials.
Thirdly, the design of multi-component catalytic systems by introducing metallic or non-metallic elements is also a research direction worthy of in-depth exploration. This method mainly promotes the coupling of hydrogen activation and substrate adsorption through synergistic effects in order to significantly improve the efficiency and selectivity of the reaction. By precisely regulating the composition and proportion of each component, the catalytic performance can be optimized, and the reaction path can be precisely regulated. This strategy not only helps to improve the overall activity of catalysts but also achieves the selective formation of target products in specific reactions, which provides new ideas and methods for the design and application of catalytic reactions.
The fourth is adopting advanced in situ characterization techniques to track the dynamic evolution of active sites during catalytic reactions in real time, and combining with synchrotron radiation techniques to accurately capture the formation and transformation of key reaction intermediates. Through the synergistic analysis of multi-scale characterization and theoretical calculations, we will reveal the reaction pathways of selective hydrogenation of unsaturated aldehydes/ ketones at the atomic/electronic level, and establish quantitative structure-activity relationship models.
The fifth is focusing on the green synthesis and industrial application of MOFs and their derivatives, and is committed to the development of a low-energy and low-pollution MOFs synthesis process, reducing the reliance on toxic reagents, exploring the path of large-scale continuous production, and enhancing the economy and sustainability of catalyst preparation. By optimizing the synthesis process and material selection, we expect to achieve efficient and environmentally friendly catalyst production and lay a solid foundation for future industrial applications.
2. Hydrogenation path analysis
Hydrogenation of α, β-unsaturated aldehydes/ketones is often challenged by over-hydrogenation or side-reaction, and the pathway selectivity directly determines the yield and purity of the products, whereas the structural designability of MOFs promises to achieve precise control of the reaction pathway through rational design. By optimizing the structure and function of MOFs, the selectivity can be effectively improved, thereby improving the overall efficiency of the reaction. By revealing the structure-activity relationship between the structural properties of MOFs and the hydrogenation path, a new perspective can be provided to understand the catalytic reaction mechanism. Through the combination of experiments and theoretical calculations to systematically analyze the energy barriers, transition states, and determining-rate steps in the hydrogenation pathway, it helps to deepen the understanding of the catalytic hydrogenation mechanism of MOFs, and provides new ideas for the development of new catalysts with high selectivity and high stability.
2.1 Molecular hydrogen reduction
The core of the molecular hydrogen route lies in the efficient activation and directed hydrogenation of H2. This process involves the design and optimization of catalysts to facilitate the activation of H2 and selectively direct it to participate in specific hydrogenation reactions. By rationalizing the catalyst structure and reaction conditions, the selectivity and efficiency of the reaction can be improved, leading to the efficient synthesis of the target products. This strategy not only improves the reaction yield and purity but also effectively reduces the occurrence of side reactions and promotes the wide application of molecular hydrogen in organic synthesis. In MOF-mediated selective hydrogenation via this pathway, active metal nanoparticles (MNPs) serve as indispensable components, so the catalysts are mainly in the form of composite MOFs and MNPs (MNPs/MOFs or MNPs@MOFs) or MNP- embedded nitrogen-doped carbon (MNPs/NC)[22, 67]. Firstly, the metal active site can dissociate molecular hydrogen into adsorbed hydrogen (Hads) through the interaction with H2. At this time, the center position of the d-band of the metal node and the coordination environment are the key to determining the adsorption strength and activation energy barrier of H2. The electron-donating/withdrawing characteristics of the ligand can also assist in adjusting the electron density of the metal site, thus affecting the activation efficiency of H2. Subsequently, the C=C or C=O bonds of α, β-unsaturated aldehydes/ketones were preferentially adsorbed on the active sites of the MOFs, guiding the preferential addition of Hads to the target sites, and stabilizing the target intermediates by leveraging the pore-domain-limiting effect with selective adsorption at the metal sites to prevent over-hydrogenation. Finally, the hydrogenation products were desorbed from the active sites and detached from the catalyst surface.
Zahid et al. synthesized Pt/MOF-NH2(x) catalysts by encapsulating Pt nanoparticles within mesopores of NH2-functionalized MOFs via a polyol reduction method. The amine groups (—NH2) in the MOF framework interact with the d-orbitals of Pt through lone electron pairs from nitrogen atoms, enhancing the surface electron density of Pt to form electron-enriched Pt0 active sites. This electron-rich Pt surface facilitates H2 dissociation via electron back-donation to the antibonding orbitals (π*) of H2, generating highly active hydrogen species (H*). This catalyst selectively hydrogenated CAL (FUR) to COL (FOL) at 1 MPa H2 and 60 ℃, exhibiting ≥80% selectivity for the C=O bond[22].
Yuan et al. loaded Ru nanoparticles onto a series of Zr-MOFs and investigated their catalytic performance in the selective hydrogenation of FUR to FOL in the liquid phase, in which Ru/UiO-66 exhibited 94.9% furfuryl aldehyde conversion and close to 100% FOL selectivity under the conditions of room temperature and 500 kPa H2. RuOx in Ru/UiO-66 can be partially reduced to metal Ru in the H2 environment at room temperature, and the surface of Ru0 can effectively dissociate H2 to active hydrogen atoms. Moreover, the high specific surface area and microporous structure of UiO-66 provide an enrichment environment for reactant and H2[34].
Reported cases have demonstrated effective utilization of the hydrogen spillover effect. During catalysis, H2 dissociates into active hydrogen species on the surface of the active center of the catalyst, and these active hydrogen species subsequently migrate to the carrier or other inactive surfaces of the catalyst, and the spilled active hydrogen species can participate in the reaction on the surface of the carrier, expanding the number of active sites, lowering the reaction energy barriers, and increasing the active hydrogen utilization. For example, Liu et al. synthesized Ir@MIL-101(Fe) catalysts by restricting Ir NCs within hollow MIL-101(Fe), which showed high reactivity (93.9%) and high selectivity (96.2%) for the hydrogenation of CAL to COL at 100 kPa H2 and room temperature. The confinement effect of the MOF reduced the electron density of Ir, enhancing its interaction with the σ* antibonding orbitals of H2 to promote H2 dissociation into H*. Simultaneously, the MOF′s high surface area (SBET=42.2 m2·g-1) and mesoporous structure provided channels for hydrogen spillover. After H2 dissociation on Ir surfaces, H* migrated to the MOF surface/internal regions, significantly improving active hydrogen utilization[36].
The pore architecture of MOFs significantly influences hydrogen adsorption behavior. For example, Bakuru et al. assembled MIL-101(Fe) onto pre-formed Pd NCs to prepare Pd%MIL-101(Fe) bifunctional catalyst. Through hydrogen adsorption experiments, it was found that the H2 adsorption capacity of Pd%MIL-101(Fe) was 30% higher than that of pure Pd NCs. This phenomenon was attributed to two reasons. (1) The microporous structure of MIL-101(Fe) can be used as a "nanoreactor" to enrich H2 molecules and increase their local concentration near the Pd active site. (2) Fe3+ Lewis acid sites within the MOF facilitate dissociative hydrogen adsorption, while interfacial charge transfer promotes hydrogen species migration to Pd surfaces, collectively optimizing hydrogen utilization efficiency[45].
Table 1 summarizes the key data of the catalytic hydrogenation reactions of a variety of α, β-unsaturated aldehydes/ketones substrates under different catalysts and reaction conditions. High conversion rates are ubiquitous, but selectivity is significantly affected by substrate structure and catalyst matching. MOFs-derived Co/NC catalysts show high activity on a variety of substrates (e.g., citral, FUR, benzaldehyde), with conversion rates generally exceeding 90%, but selectivity fluctuates depending on the substrate. MOF-supported noble metal catalysts have excellent performance on complex substrates. In addition, the development of special carriers (e.g., ZIF-67-MW@SiO2-DMDES, entry 8) and composite structures (e.g., MIL-88B(Fe)@Pt@ Al-TCPP, entry 12) can effectively improve the reaction efficiency. Most of the reaction pressures were in the range of 1.0-3.0 MPa, but efficient conversion could be achieved at low pressures (0.6 MPa, entry 3), and methanol and isopropanol were commonly used as solvents for most of the MOF catalysts. The data in this table provide an important reference for catalyst design and reaction condition optimization.
Table 1
Table 1. Summary of catalytic performance parameters of representative MOF catalysts for the catalytic hydrogenation of α, β-unsaturated aldehydes/ketonesEntry Substrate Catalyst $ {p}_{{H}_{2}} $ Solvent Time / h Hydrogroup Conv. / % Sel. / % TOF / h-1 Ref. 1 Citral Co/CoNx/C‐600 1.0 MPa MeOH 1.5 C=O >99 78 437.07 [14] 2 FUR Co/CoNx/C‐600 1.0 MPa MeOH 6 C=O 99 97 n.d.a [14] 3 Benzaldehyde Co/CoNx/C‐600 0.6 MPa MeOH 6 C=O 99 96 n.d. [14] 4 CAL Co/CoNx/C‐600 2.0 MPa MeOH 13 C=O 94 93 n.d. [14] 5 VAN Pd/UiO‐66‐(COOH)2 1.0 MPa EtOH 24 C=Ob ca. 100 ca. 100 n.d. [65] 6 CAL Pt/MIL‐100(Fe) 1.0 MPa i‐PrOH 2 C=O 88.3 84.9 n.d. [16] 7 FUR Co‐N‐C@mSiO2‐20‐700 1.0 MPa i‐PrOH 4 C=O 95.3 89.1 12.9 [67] 8 CAL ZIF‐67‐MW@SiO2‐DMDES 1.0 MPa i‐PrOH 6 C=O >99 95.3 16.2 [42] 9 CAL 3‐Pt/MOF‐NH2(2) 1.0 MPa i‐PrOH 2 C=O 72.3 78.9 201 [22] 10 FUR 3‐Pt/MOF‐NH2(2) 1.0 MPa i‐PrOH 6 C=O 89.7 87 373 [22] 11 CAL Ir@MIL‐101(Fe) 100 kPa i‐PrOH 4 C=O 93.9 96.2 5.9 [36] 12 CAL MIL‐88B(Fe)@Pt@Al‐TCPP 3.0 MPa H2O 5 C=O 95 85 48 [58] 13 FUR H‐3DOM‐Co/NC‐600 2.0 MPa i‐PrOH 8 C=Oc 100 97.8 1.8 [15] 14 Citronellal Pt@ZIF‐8 1.0 MPa MeOH 12 C=O 6 100 2.08 [37] 15 Citronellal Pt@ZIF‐67 1.0 MPa MeOH 12 C=O 97 100 42.28 [37] 16 Citronellal Pt@UiO‐66 1.0 MPa MeOH 12 C=C 71 70 103.08 [37] 17 CAL Pt@MAF‐6 3.0 MPa EtOH 48 C=O 95 94 n.d. [61] 18 CAL Gd2O3@Pt@ZIF‐8 2.0 MPa EtOAc 4 C=O ca. 100 96.8 n.d. [60] 19 CAL Fe0.5Co@NC 2.0 MPa H2O 2 C=O 95.1 91.7 n.d. [23] 20 Citral Co@CoxN@C 2.0 MPa EtOH 1.5 C=O 89 61 2 016 [24] 21 CAL Rh@MIL‐101 1.0 MPa EtOH 5 C=C 99 >98 n.d. [43] 22 Citral 6AgCo@C‐510 1.0 MPa EtOH 1 C=O 99 70 n.d. [1] 23 CAL Ptvoid@MOF(Y) 1.0 MPa i‐PrOH 24 C=O 97 98 40.5 [56] 24 FUR CeO2/Pd@MIL‐53(AI) 6.0 MPa H2O 2 C=O 100 85.3 n.d. [57] 25 Cuminaldehyde CeO2/Pd@MIL‐53(AI) 6.0 MPa EtOH 2 C=O 24.6 100 n.d. [57] 26 CAL CeO2/Pd@MIL‐53(AI) 6.0 MPa Octanol 4 C=C 98.4 ca. 100 n.d. [57] 27 2‐Pentenal Pt‐1.5SnOx@ZIF‐8 3.0 MPa Cyclohexane 5 C=O n.d. 80.9 154.8 [47] 28 FUR Co‐900 2.0 MPa H2O 5 C=O 100 100 30.7 [66] 29 Benzaldehyde Co‐900 2.0 MPa H2O 6 C=O 100 100 n.d. [66] 30 VAN Co‐900 2.0 MPa H2O 12 C=O 100 92.1 n.d. [66] 31 CAL Co‐900 2.0 MPa H2O 14 C=O 100 100 n.d. [66] 32 FUR 4LH‐Co@NC 2.0 MPa H2O 8 C=Ob ca. 100 97 0.62 [68] 33 CAL MIL‐101(Cr)@Pt@
MIL‐101(Fe)2.93.0 MPa n.d. 20 C=O 99.8 95.6 16.9 [46] 34 FUR MIL‐101(Cr)@Pt@
MIL‐101(Cr)5.13.0 MPa n.d. 5 C=O 98.5 99.8 66.8 [46] 35 CAL Pt/MIL-100@
MIL-100101 kPa i-PrOH 4 C=O 95 96 n.d. [62] 36 FUR Ru/UiO-66 500 kPa H2O 4 C=O 100 94.9 11 [34] 37 CAL Pt/MIL-101 101 kPa i-PrOH 1 C=C ca. 100 ca. 100 n.d. [44] 38 CAL Pd/MIL-101(Fe) 300 kPa i-PrOH 1.5 C=C 100 86.4 991.2±26.1 [45] 39 CAL Pd0-MIL-101-NH2
(Cr)101 kPa Acetone 1.5 C=C > 99 95 n.d. [53] 40 CAL Pd0-AmP-MCF 101 kPa Acetone 1 C=C > 99 > 99 n.d. [53] 41 Crotonaldehyde Ni@MOF-5 2.0 MPa EtOH 1 C=C 99 90 111.9 [70] 42 CAL Pt@UiO-66-NH2 4 MPa MeOH 44 C=O 98 91 n.d. [55] a n.d.=not described; b Deoxygenative hydrogenation of VAN to 2-methoxy-4-methylphenol; c Hydrogenation, ring opening, and cyclization rearrangement of FUR to cyclopentanol. 2.2 Catalytic transfer hydrogenation
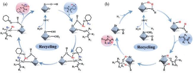
Catalytic transfer hydrogenation (CTH) has emerged as a research hotspot in selective hydrogenation of α, β-unsaturated aldehydes/ketones due to its inherent advantages of ambient-pressure operation, environmental benignity, and process simplicity[26]. Distinct from molecular hydrogen pathways, the CTH mechanism centers on hydrogen donors (e.g., isopropanol, formic acid/formate, ammonia borane, etc.) dissociating into active hydrogen species via catalyst mediation, followed by precise delivery to target unsaturated bonds (C=C or C=O) through proton-coupled electron transfer (PCET) processes. The periodic pore architectures of MOFs stabilize reaction intermediates via spatial confinement effects, effectively suppressing over-hydrogenation while promoting product desorption to maintain catalytic cycle integrity.
Ye and Zhao et al. reported a novel nano-scale Pt/UiO-66 catalyst. Compared with the traditional molecular H2 hydrogenation, isopropanol was used as the hydrogen donor, which significantly improved the target product selectivity (94.6%) and the hydrogen donor utilization rate (92.6%), and the TOF value reached 4 071 h-1. Protonic solvents such as isopropanol increase the polarity of the reaction system and promote hydrogen solubilization and transport, meanwhile, they directly participate in the reaction as a hydrogen donor. Isopropanol dehydrogenates in the Pt active site to form acetone and releases reactive hydrogen (H-) at the same time, and the released hydrogen transfers to the C=O bond of the aldehyde group via the Pt surface (Fig. 19). The authors further propose that Lewis acid sites in UiO-66 may facilitate hydrogen transfer via the Meerwein-Ponndorf-Verley (MPV) mechanism, where isopropanol and aldehyde groups form a six-membered ring transition state to enable direct hydrogen transfer from the O—H bond of isopropanol to the C=O bond. However, this hypothesis currently lacks direct experimental validation, necessitating further verification of the MPV mechanism by in situ characterization[71].
Figure 19
Figure 19. Reaction mechanism for transfer hydrogenation of CAL with isopropanol (Copyright 2020 American Chemical Society. All rights reserved.)[71]Chen et al. reported a novel Zn-N-C single-atom catalyst featuring Zn-N3 sites that efficiently catalyze CAL transfer hydrogenation to COL under mild conditions, achieving > 95% conversion and selectivity. The study combined isotopic labeling, in situ FTIR spectroscopy and DFT calculations to provide direct evidence for the MPV mechanism: the reaction was carried out using D-labeled isopropanol (IPA-d1) and CAL, and it was found that the D atoms in the product COL-d1 were directly derived from the β-H of IPA-d1, which ruled out the involvement of the metal hydride pathway, confirming that the reaction proceeded via the MPV mechanism. In addition, the low coordination structure of Zn-N3 optimized the center position of the d-band and reduced the free energy of the decisive step (0.946 eV, significantly lower than 1.395 eV of Zn-N4 site) to achieve efficient catalysis[8].
Some researchers have started to try to combine the hydrogen transfer route with the molecular hydrogen reduction route. In 2020, Zhou et al. proposed a dual-mechanism strategy combining transfer hydrogenation and catalytic hydrogenation, using aminoborane (AB) as a multifunctional hydrogen donor in combination with Pt-loaded 2D metal-organic-layer (Pt/MOL) catalysts: AB can be directly used as hydrogen donor under the condition of no catalyst, releasing active hydrogen through dehydrogenation reaction, preferentially reducing the C=O bond to form unsaturated alcohol, with no H2 generation in the absence of Pt, achieving 100% conversion and selectivity at room temperature; AB can further dehydrogenate to H2 under the catalysis of Pt/MOL, and synthesize phenylpropanol with nearly 100% conversion rate by selective reduction of C=C bond through catalytic hydrogenation, AB acts as both hydrogen source and reducing agent (in situ reduction of Pt precursor to Pt nanoparticles) in this process[72]. Afterwards, they adjusted the role of AB in transfer and/or catalytic hydrogenation to study three hydrogenation routes of α, β-unsaturated aldehydes (Fig. 20). The first is transfer hydrogenation. AB (NH3-BH3) acts synergistically with protic Hδ+ (from NH3) and hydrogen-negative Hδ- (from BH3) to reduce C=O bonds in a six-membered ring transition state. The second is catalytic hydrogenation. AB was decomposed in situ on Pd/MOL catalyst to release H2, and Pd nanoparticles preferentially activated C=C bonds through planar η4 adsorption mode. The third is transfer + catalytic synergistic hydrogenation. AB preferentially reduces C=O bonds to generate UOLs, and Pt/MOL catalyzes the decomposition of AB to generate H2, which further hydrogenates the C=C bonds in the UOLs to generate the fully saturated SOLs, with AB acting as both a hydrogen donor and a hydrogen source. All three hydrogenation products were precisely controlled in environmentally friendly solvents[12].
Figure 20
Figure 20. Proposed routes for precise control of selective hydrogenation of UALs mediated by AB (Copyright 2022 Elsevier B.V. All rights reserved.)[12]Route Ⅰ: conversion of UALs into UOLs with AB in an open autoclave; Route Ⅱ: conversion of UALs into SALs in an autoclave with inner lining for hydrogen production from AB decomposition by Pd/MOL and outer lining for hydrogenation of UALs catalyzed by Pd/MOL; Route Ⅲ: complete hydrogenation of UALs with AB and Pd/MOL to SOLs in a closed autoclave.
Table 2 summarizes some representative studies on the hydrogen transfer routes of MOFs in the selective hydrogenation of α, β-unsaturated aldehydes/ketones in recent years, and it can be seen that most of the MOF catalysts exhibited high conversion and high unsaturated alcohol selectivity to the reaction substrates, but the required reaction time for some substrates with large spatial site resistance increased significantly. In addition, some special solvent systems exhibit faster reaction rates, which may be related to the influence of the chemical environment on the migration of active hydrogen.
Table 2
Table 2. Summary of catalytic performance parameters of representative MOF catalysts for the CTH of α, β-unsaturated aldehydes/ketonesEntry Substrate Catalyst H donor/solvent Time/h Hydrogroup Conv./% Sel./% TOF/h-1 Ref. 1 CAL UiO‐66‐NO2 i‐PrOH 8 C=O >99 94 n.d.a [39] 2 Citral UiO‐66‐NO2 i‐PrOH 24 C=O >90 91 n.d. [39] 3 Carvone UiO‐66‐NO2 i‐PrOH 24 C=O >99 92 n.d. [39] 4 CAL Co@CN‐900 n‐Hexanol 48 C=O >99 99 n.d. [27] 5 4‐Methoxy‐cinnamaldehyde Co@CN‐900 n‐Hexanol 44 C=O >99 90 n.d. [27] 6 2‐Methoxy‐cinnamaldehyde Co@CN‐900 n‐Hexanol 44 C=O >99 90 n.d. [27] 7 4‐Nitro‐cinnamaldehyde Co@CN‐900 n‐Hexanol 50 C=O >99 85 n.d. [27] 8 2‐Bromo‐acetophenone Co@CN‐900 n‐Hexanol 30 C=O >99 99 n.d. [27] 9 BenzyIaldehyde Co@CN‐900 n‐Hexanol 40 C=O >99 99 n.d. [27] 10 N‐Benzylideneaniline Co@CN‐900 n‐Hexanol 24 C=O >99 99 n.d. [27] 11 Benzaldehyde Pd/MIL‐101(Fe)‐NH2 TEA‐HCOOH 6 C=O 100 77 75 [73] 12 FUR Pd/MIL‐101(Fe)‐NH2 TEA‐HCOOH 6 C=O >99 29 n.d. [73] 13 CAL ZIF‐67@SiO2‐CPTEOS i‐PrOH 12 C=O 84 95 12.9 [26] 14 FUR Pt/UiO‐66 i‐PrOH 12 C=O 99 93 17.6 [21] 15 CAL Pt/UiO‐66 i‐PrOH 12 C=O 90 94 4 071 [21] 16 CAL Pt/MOL AB 3 C=O and C=C 100 100 41.4 [72] 17 CAL Co3O4@NC i-PrOH 12 C=O > 99 > 99 n.d. [6] 18 CAL Zn-N-C SACs i-PrOH 5 C=O 95 95 n.d. [8] 19 CAL MIL-100(Fe1-xAlx) BnOH-MeCN 3 C=O ca. 100 ca. 100 n.d. [28] 20 CAL ZnNC-900 i-PrOH 7 C=Ob ca. 100 73 n.d. [19] a n.d.=not described; b Hydrodeoxygenation of CAL. Based on the above study, Zhong et al. significantly reduced the hydrogen transfer energy barriers by engineering the construction of surface defects in the MOF-808 material induced by monocarboxylic acid modulators (Fig. 21). The strategy involves competitive coordination of monocarboxylic acids (e.g., propionic acid) partially replacing 1, 3, 5-benzenetricarboxylate linkers, generating coordinatively labile Zr-OH2 sites. Removal of ligand water molecules by high-temperature dehydration exposed Zr-CUS (Lewis acid) and retained Zr-OH (Lewis base) to form spatially separated but synergistic FLP sites, and CTH of acrolein to allyl alcohol was achieved through the six-membered ring transition state, using cyclohexanol as the hydrogen source: Zr-CUS adsorbed and polarized the C=O bond through the electron-deficient state, and Zr-OH acted as a base site to activate the —OH of cyclohexanol and promote the release of Hα and Hβ, the Hα of cyclohexanol was transferred to the carbonyl oxygen of acrolein to form the intermediates, and then the Hβ was transferred to the carbonyl carbon to form allylic alcohols and cyclohexanone, and finally desorbed from the FLP site. The rate-determining step (Hα transfer) energy barrier of CTH is only 0.54 eV, while the H2 dissociation energy barrier in direct hydrogenation is as low as 0.15 eV[74].
Figure 21
Figure 21. Possible reaction mechanisms for transfer hydrogenation (a) and direct hydrogenation (b) of α, β-unsaturated aldehydes on Zr-CUS/Zr-OH FLP sites (Copyright 2024 American Chemical Society. All rights reserved.)[74]Han et al. reported a porous composite (POMs/Zr-MOF) based on defect engineering and bimetallic synergistic effect through a microwave-assisted in situ pre-coordination-post-modification strategy, in which defective sites were introduced in Zr-MOF (UiO-66) by benzoic acid induction to form a hierarchical porous structure, and then polyoxometarate (POM) clusters were bound to the defect sites of Zr-MOF via Zr—O—W bonds (pre-coordination), and the defect-compensating ligands further modulated the coordination environment of Zr nodes to enhance substrate adsorption capacity (post-modification). CTH was achieved via an eight-membered ring transition state with isopropanol as the hydrogen donor (Fig. 22): the Zr node adsorbed and polarized the carbonyl group as a Lewis acid, POMs (SiW) activated the hydroxyl group of isopropanol as a Brønsted acid, and the α-C(sp3)-H of isopropanol was transferred to the carbonyl carbon as a hydrogen negative ion to generate the intermediate, followed by the transfer of the hydroxyl H of isopropanol to the carbonyl oxygen as a proton (H+) to form the final alcohol product. The extraction and transfer of α-C(sp3) —H (decisive step, energy barrier 0.39 eV) through the bimetallic center (Zr—O—W) is significantly reduced (compared with 1.94 eV for monometronic Zr—O—Zr), and the transition state of the eight-element ring stabilizes the intermediate[75].
Figure 22
Figure 22. Proposed CTH reaction pathway over 3SiW/HUiO-660.5 (a), HUiO-660.5 (b), and corresponding free energy profiles (c) through DFT calculations (Copyright 2024 Wiley-VCH GmbH. All rights reserved.)[75]In summary, the current research on CTH routes mainly focuses on the design of structural fitness, the optimization of the electron microenvironment, and the synergistic mechanism of hydrogen donor-MOFs.Despite the significant progress made in these research areas, they are still facing the challenge of insufficient analysis of the dynamic mechanism, real-time monitoring of hydrogen transfer trajectories within MOF channels, energy barrier alignment between hydrogen donor dissociation and PCET processes, and structural stability of MOFs under prolonged reaction cycles still require in-depth investigation through advanced in situ characterization and multiscale simulations. In the future, it is necessary to construct a ternary synergistic model of "hydrogen donor-catalyst-substrate" to promote the industrialization of the CTH route in the synthesis of fine chemicals.
2.3 Photocatalysis and electrocatalysis
Developing new reaction systems to meet the growing demand for green and sustainable development is an important task for the future advancement of chemoselective hydrogenation of α, β-unsaturated aldehydes/ketones, and in recent years, photocatalysis and electrocatalysis have attracted much attention as green catalytic technologies.
In the field of photocatalysis, the unique structural properties of MOFs endow them with superior light-absorbing and charge-separating abilities, making them desirable photocatalytic materials. Their high specific surface area and adjustable pore size contribute to the effective adsorption of reactants and guide them toward the active sites, while enhancing the separation and migration of photogenerated electrons and holes, thus significantly improving the selectivity and efficiency of photocatalytic reactions.
Dong and Liu et al. achieved visible-light-induced selective transfer hydrogenation of aromatic aldehydes by in situ reduction of [PdCl4]2- to Pd NPs on amine-functionalized MOF (MIL-101(Fe)-NH2) carriers by photodeposition, using triethylamine (TEA) as an electron donor and formic acid as a proton source (Table 3, entries 1 and 2). In the photodeposition phase, visible light excitation of MIL-101(Fe)-NH2 produced electron-hole pairs, and TEA acted as a sacrificial agent to provide electrons to reduce Pd2+ to Pd0 nanoparticles. In the hydrogenation phase, photogenerated electrons were transferred to the surface of Pd NPs to activate HCOOH to release reactive hydrogen (H-), followed by the aldehyde group adsorbed on the surface of Pd, which was reduced to an alcohol[73].
Table 3
Table 3. Summary of catalytic performance of photocatalysts involving MOFs for selective hydrogenation of α, β⁃unsaturated aldehydes/ketones and their system parametersEntry Substrate Catalyst Solvent Acid or alkali Time / h Hydrogroup Conv. / % Sel. / % Ref. 1 FUR Pd/MIL-101(Fe)-NH2 CH3CN TEA-HCOOH 6 C=O n.d.* 29 [73] 2 5-Hydroxymethylfurfural Pd/MIL-101(Fe)-NH2 CH3CN TEA-HCOOH 6 C=O n.d. 27 [73] 3 CAL Cluster-based MOFs i-PrOH/MeCN NaOH 24 C=O 100 94 [76] 4 p-Methoxycinnamaldehyde Cluster-based MOFs i-PrOH/MeCN NaOH 24 C=O 100 91 [76] 5 p-Methylcinnamaldehyde Cluster-based MOFs i-PrOH/MeCN NaOH 24 C=O 100 94 [76] 6 p-Fluorocinnamaldehyde Cluster-based MOFs i-PrOH/MeCN NaOH 36 C=O 90 91 [76] 7 p-Chlorocinnamaldehyde Cluster-based MOFs i-PrOH/MeCN NaOH 24 C=O 95 93 [76] 8 p-Bromocinnamaldehyde Cluster-based MOFs i-PrOH/MeCN NaOH 24 C=O 95 95 [76] 9 p-Nitrocinnamaldehyde Cluster-based MOFs i-PrOH/MeCN NaOH 36 C=O 92 92 [76] 10 3-Phenylmethacrolein Cluster-based MOFs i-PrOH/MeCN NaOH 24 C=O 93 91 [76] 11 Amylcinnamaldehyde Cluster-based MOFs i-PrOH/MeCN NaOH 24 C=O 88 91 [76] 12 2-Bromo-3-phenylacrylaldehyde Cluster-based MOFs i-PrOH/MeCN NaOH 36 C=O 85 91 [76] 13 2-Furanacrolein Cluster-based MOFs i-PrOH/MeCN NaOH 24 C=O 90 91 [76] 14 Methylpentenal Cluster-based MOFs i-PrOH/MeCN NaOH 36 C=O 92 83 [76] 15 trans-2-Heptenal Cluster-based MOFs i-PrOH/MeCN NaOH 36 C=O 90 82 [76] 16 Benzalacetone Cluster-based MOFs i-PrOH/MeCN NaOH 24 C=O 87 84 [76] 17 p-Methylbenzalacetone Cluster-based MOFs i-PrOH/MeCN NaOH 24 C=O 92 87 [76] 18 4-Chlorobenzylideneacetone Cluster-based MOFs i-PrOH/MeCN NaOH 24 C=O 85 86 [76] 19 4-Bromobenzalacetone Cluster-based MOFs i-PrOH/MeCN NaOH 24 C=O 89 84 [76] 20 4-(Naphthalen-2-yl)but-3-en-2-one Cluster-based MOFs i-PrOH/MeCN NaOH 24 C=O 82 86 [76] 21 Benzylidencyclohexanone Cluster-based MOFs i-PrOH/MeCN NaOH 24 C=O 75 92 [76] 22 Ethyl vinyl ketone Cluster-based MOFs i-PrOH/MeCN NaOH 36 C=O 85 83 [76] 23 CAL MIL-100(Fe0.63Al0.37) CH3CN n.d. 3 C=O ca. 100 ca. 100 [28] 24 FUR Pt/NiMg-MOF-74 MeOH n.d. 2 C=O 99.9 99.9 [48] 25 2-Acetylfuran Pt/NiMg-MOF-74 MeOH n.d. 2 C=O 99.4 99.9 [48] 26 5-Hydroxymethylfurfural Pt/NiMg-MOF-74 MeOH n.d. 2 C=O 76.6 99.9 [48] 27 CAL Pd/MIL-100(Fe0.81Cu0.19) Cyclohexane n.d. 2 C=C 99.9 97.8 [17] 28 Acrolein Pd/MIL-100(Fe0.81Cu0.19) Cyclohexane n.d. 2 C=C 99.9 98.9 [17] 29 Senecialdehyde Pd/MIL-100(Fe0.81Cu0.19) Cyclohexane n.d. 2 C=C 99.9 98.7 [17] *n.d.=not described Zhang et al. synthesized cluster-based MOF using hexonuclear clusters [Cu6(dmpymt)6] (4, 6-dimethylpyridin-2-thioone for Hdmpymt) assembled with CuI or (Ph3P)CuI, using i-PrOH as the hydrogen source, unsaturated carbonyl compounds were selectively reduced to unsaturated alcohols under alkaline conditions (Table 3, entries 3-22) with a high selectivity. The copper clusters in MOFs served both as photosensitive centers (absorbing light energy) and catalytically active sites. i-PrOH dissociates under alkaline conditions, and the proton (H+) is transferred to the N site of the dmpymt to form an intermediate, and then the Cu(Ⅰ) centers generate Cu-H species through β-elimination, and finally transfer the H- to the carbonyl oxygen to selectively reduce the C=O bond. The steric hindrance and electronic effects of the ligand inhibit the side reaction of the C=C bond, while the electrons generated by photoexcitation are preferentially enriched in carbonyl oxygen to achieve high selectivity[76].
Inspired by the strong Lewis acidity of Al-based catalysts, Wu et al. prepared Lewis acidity-enhanced MOF variant MIL-100(Fe0.63Al0.37) photocatalysts by hydrothermally introducing Al3+ into the MIL-100(Fe) framework for the simultaneous selective hydrogenation of CAL to COL and the oxidation of benzyl alcohol (BA) to benzaldehyde under anoxic conditions (Table 3, entry 23). The enhanced Lewis acid sites in MIL-100(Fe0.63Al0.37) activate BA molecules to generate Ph—CH2O- intermediates and H+ species, while photogenerated electrons mediate the reduction of dissociated H+ to form hydrogen atoms. Subsequent release of a second hydrogen atom from Ph—CH2O- yields benzaldehyde (Ph—CHO), while activated CAL is selectively hydrogenated to COL via dual hydrogen atom transfer (Fig. 23a). Furthermore, UV-Vis DRS (diffuse reflection spectrometry) showed that the bimetallic MOFs possessed strong visible light absorption in a range of 350-500 nm, which mainly originated from the d-d leap of Fe3+ and intermetallic charge transfer, while Al doping enhanced the light absorption intensity and extended the absorption range by distorting the crystal structure of the Fe-O-Al clusters[28].
Figure 23
Figure 23. (a) Mechanism of simultaneous oxidation and reduction of BA and CAL on bimetallic MIL-100(Fe0.63Al0.37) (Copyright 2022 Elsevier Inc. All rights reserved.)[28]; (b) Possible adsorption configurations of FUR on metal surfaces with corresponding hydrogenation products; (c) Possible mechanism of selective photocatalytic hydrogenation of FUR to FAL (Copyright 2023 Elsevier B.V. All rights reserved.)[48]; (d) Possible coordination modes of UAL molecules on the transition metal sites (M) with multiple or few d electrons (Copyright 2023 Elsevier B.V. All rights reserved.)[17]The synergistic effects of bimetallic strategies have demonstrated remarkable potential in optimizing photocatalytic selective hydrogenation performance. Shi and Wu et al. constructed Pt cluster/bimetallic NiMg-MOF-74 (MNM) ultrathin nanosheets for the photocatalytic furfuryl aldehyde hydrogenation to FOL by using a hybrid solvent-thermal process (Fig. 23c). Partial substitution of Ni nodes by Mg disrupts the long-range ordering of the MOF, exposing abundant coordinatively unsaturated Ni2+ sites. Charge redistribution induced by O-bridged Ni-Mg bonds lowers the electron density of Ni centers, enhancing their specificity for η1-(O)-furfural adsorption (Fig. 23b). Electrochemical measurements (EIS) and in situ EPR tests showed that the Pt clusters acted as electron acceptors to accelerate the photogenerated electron transfer (impedance reduction), as well as to enhance the H2 dissociation efficiency (significant enhancement of the photocurrent response), with 99.9% conversion and selectivity of FUR to FOL (Table 3, entries 24-26)[48].
Metals with fewer d electrons may prefer to bind C=O by transferring the lone pair electrons of the oxygen atom (or the π-electrons of C=O) to the d-orbitals (Ⅱ and Ⅲ). Conversely, metals with abundant d electrons facilitate C=C bond activation by back-donation to the LUMO of C=C, forming stabilizing antibonding interactions (Fig. 23d). Therefore, constructing special metal sites with multiple d electrons in catalysts is one of the effective ways for C=C selective coordination activation. Wang et al. employed a hydrothermal method to introduce Cu2+ for partially replacing Fe3+ nodes, thereby constructing a bimetallic MOF-based photocatalyst Pd/MIL-100(Fe0.81Cu0.19), in which Cu2+ is endowed with abundant d-orbital electrons (nine d electrons). In situ DRIFTS and XPS results indicate that Cu2+ forms strong coordination bonds with the C=C bonds of UAL, while Pd clusters enhance the decomposition of H2 into active H species via localized surface plasmon resonance (LSPR) and Schottky junction-mediated photoelectron capture. The photogenerated H preferentially migrates to the Cu2+ sites, forming Cu-H intermediates that selectively hydrogenate the pre-activated C=C bonds. Moreover, the Pd clusters act as electron traps, suppressing recombination and improving the utilization of charge carriers. Under visible light conditions, the conversion of a series of UAL into SAL proceeds with high efficiency and selectivity (Table 3, entries 27-29)[17].
Electrochemical approaches enable efficient and controllable organic transformations under mild conditions, offering significant advantages in sustainability and environmental compatibility. Integrating electrocatalysis with the hydrogenation of α, β-unsaturated aldehydes/ketones represents a critical strategy to advance the synthesis of high-value, eco-friendly products. Electrochemical hydrogenation (ECH) utilizes renewable electrical energy to drive the decomposition of water to generate Hads, which enables selective hydrogenation under mild conditions. However, ECH faces competition from the hydrogen evolution reaction (HER) and side reactions, resulting in lower Faraday efficiency (FE). Zhou and Li et al. improved the selectivity of 2-methylfuran (MF) in the FUR ECH reaction by introducing Pd. They prepared CuPd bimetallic nanoparticles, CuPd0.02/C (Fig. 24a), on carbon carriers by the partial galvanic replacement method using MOFs (HKUST-1) as templates. There is a strong electronic interaction between Cu-Pd, which regulates the surface electron density. In situ surface-enhanced Raman spectroscopy and kinetic isotope experiments show that electrically generated Hads is involved in the reaction, and the addition of Pd enhances the surface coverage of Hads, optimizing the adsorption mode of FUR, thereby improving the FE of MF. FUR adsorbed on Cu surface in κ-(O) mode (aldehyde oxygen atom bound to the surface) to preferentially generate FOLs, while on the CuPd surface, part of the FUR adsorbs in η2-(C, O) mode (C=O bound to the surface), which weakens the C=O bond and promotes the C=O bond breakage to generate MF (Fig. 24b). Low pH promoted Hads generation, but too low pH exacerbated HER competition, and the optimal conditions (pH=2.9) balanced Hads coverage with MF selectivity, with the highest FE and the corresponding average partial current density of MF reaching 75% and 4.5 mA·cm-2, respectively, under 0.58 V[18]. Through the combination of experiment and theory, this study systematically elucidated the mechanism of the influence of the catalyst surface structure and reaction conditions on the selectivity of ECH, which provides an important reference for green chemical synthesis.
Figure 24
Figure 24. (a) Schematic illustration of the method for the synthesis of CuPdx/C catalyst; (b) Adsorption modes of FUR on metals (Copyright 2022 Wiley-VCH GmbH. All rights reserved.)[18]2.4 Summary
In recent years, breakthroughs have been achieved in the study of the hydrogenation pathway of α, β-unsaturated aldehydes/ketones catalyzed by MOFs and their derivatives for the selective hydrogenation of α, β-unsaturated aldehydes/ketones. The precise regulation of active hydrogen generation, substrate adsorption, and hydrogenation pathway has been achieved through the design of porous structure and functionalized sites of MOFs, especially the breakthrough in photoelectrocatalysis technology provides an efficient and green solution for the selective hydrogenation of α, β-unsaturated aldehydes/ketones through photogenerated carrier-driven, electrochemical regulation, and synergistic effect. Despite remarkable progress in research, there are still some key problems to be solved (Table 4). First, most molecular H2 systems still require high-pressure conditions to maintain reactivity, which introduces safety hazards and elevated equipment costs, thereby limiting industrial scalability. Second, hydrogen transfer pathways often necessitate additional hydrogen donors, with some routes even requiring acidic sites. These exogenous donors not only increase reaction complexity and cost but also risk triggering side reactions, necessitating careful optimization of selectivity-efficiency trade-offs. Currently, photoelectric technologies are considered the most promising direction. However, the photocatalytic efficiency is still insufficient. The recombination rate of photogenerated carriers is high, but the quantum efficiency is far below the theoretical limit, while electrocatalytic systems suffer from competitive HERs that reduce hydrogen utilization and selectivity. In addition, the stability of MOF materials under the action of light or an electric field for a long period of time faces a severe test.
Table 4
Hydrogenation path Advantage Challenge Molecular hydrogen
activationHigh selectivity and efficiency,
environmental friendlinessRelying on precious metals and high-pressure environments,
safety risks, and mass transfer limitationsTransfer hydrogenation Low-pressure operation and low cost,
strong substrate compatibilityNeed additional hydrogen donors, potential side effects,
and dynamic limitationsPhotocatalysis &
electrocatalysisGreen energy-driven, sustainable
developmentInsufficient efficiency (PCS) and hydrogen evolution reaction (ECS),
insufficient stabilityIn general, the catalytic potential of MOFs remains far from fully realized, necessitating further mechanistic investigations into hydrogenation pathways. Advanced in situ characterization techniques and multiscale theoretical simulations should be employed to elucidate hydrogen migration trajectories, intermediate stability, and selectivity control mechanisms. Designing new MOF-based photocatalysts with higher efficiency to enhance the photoelectric conversion efficiency is the core of promoting the further development of photoelectrocatalytic systems. By constructing heterojunctions or utilizing LSPR, it is possible to significantly enhance light absorption and electron injection efficiency while suppressing the recombination of charge carriers. In addition, developing MOF materials with dynamic light-responsive properties (such as through the introduction of photosensitive ligand modifications) is another important approach to improve photocatalytic efficiency. In electrocatalytic processes, key parameters-including the choice of electrode materials, applied potential, electrolyte composition, and solution pH-significantly affect reaction performance. Among these, mitigating the competitive hydrogen evolution reaction represents one of the major challenges, which requires coordinated electrode design and potential modulation strategies. Furthermore, integrating MOF catalysts into microchannel reactors using continuous-flow technology enables safe and efficient low-pressure hydrogenation processes. This innovative approach establishes a robust foundation for scalable industrial implementation, enhancing reaction stability, economic viability, and operational efficiency. These research directions promise to deliver a green, safe, and highly selective solution for the hydrogenation of α, β-unsaturated aldehydes/ketones, advancing chemical processes toward low-carbon sustainability. This will provide important support for the realization of more environmentally friendly chemical synthesis and promote the transformation and upgrading of the chemical industry.
3. Conclusions and prospects
In the pursuit of precisely targeted catalytic strategies for the selective hydrogenation of α, β-unsaturated ketones/aldehydes, MOFs and their derivatives provide an innovative platform for breaking through this bottleneck by virtue of their programmable topologies, tunable pore microenvironments, and accurately designed active sites, and through rational catalyst design strategies, the MOFs system successfully realizes the differentiated activation of the C=O and C=C bonds, thereby significantly improving the selectivity and efficiency of the hydrogenation reaction. The integration of photoelectrocatalytic technologies further extends reaction condition boundaries, offering a promising pathway for green and sustainable catalytic research. However, the current research still faces many challenges: the structural stability of MOFs under harsh reaction conditions needs to be improved, the adaptability of MOFs in complex practical systems needs to be further explored, and the atomic-level analysis of the catalytic mechanism still relies on theoretical calculations and indirect characterization. In the future, researchers should continuously improve and optimize the design of catalytic systems and hydrogenation pathways to enhance their efficiency and selectivity. In addition, efforts should be made to develop low-energy consumption and low-pollution MOFs synthesis processes to promote the advancement of green synthesis technology and industrialization. This involves the development of new catalyst materials, taking into account the design of active components and carrier structures. Future research can enhance the intrinsic stability of MOFs through ligand engineering, heteroatom doping, or post-modification strategies, and optimize the pyrolysis process of derivatives to regulate the distribution of active sites. Moreover, the development of multimetal synergistic systems, defect engineering, or dynamically responsive catalytic architectures could enable multifunctional systems with concurrent high activity and selectivity. Concurrently, combining in situ spectroscopy, synchrotron radiation, and other techniques to reveal the dynamic reaction pathways, and utilizing artificial intelligence and multiscale simulation techniques to establish atomic-to-macroscopic structure-performance relationship models, which will provide important guidance for the design of precise catalytic systems. Investigating structure-activity correlations between MOF characteristics and hydrogenation pathways will facilitate deeper integration of photoelectrocatalysis with MOF systems, improving photocatalytic quantum efficiency and electrocatalytic selectivity while reducing reliance on high-pressure hydrogen or exogenous hydrogen donors. In addition, the development of continuous-flow reactors and microchannel technology based on photoelectrochemical principles should be emphasized, and this research direction will lay an important foundation for the sustainable synthesis of high-value products and accelerate their transformation from laboratory research to industrial applications. With the synergistic advancement of material science, characterization technology, and reaction engineering of MOFs, their application prospects in the fields of fine chemicals synthesis, biomass conversion, and green energy will be broader. Future research is expected to transcend limitations of conventional catalytic systems and offer a new paradigm for efficient and precise catalysis under the goal of carbon neutrality.
Acknowledgments: This work was financially supported by the National Natural Science Foundation of China (Grants No.22261032, 22262023) and the Jiangxi Provincial Natural Science Foundation (Grant No.20232BAB203003). Declaration of competing interest: The authors declare that they have no known competing financial interests or personal relationships that could have appeared to influence the work reported in this paper.
-
-
[1]
HU Z, SHI S L, WANG L, CHEN S J, YOU Y S, WANG S H, CHEN C. MOF-derived AgCo alloy nanoparticle protected by mesoporous carbon as chemoselective catalyst for hydrogenation of citral[J]. Appl. Surf. Sci., 2020, 528: 146992 doi: 10.1016/j.apsusc.2020.146992
-
[2]
IDE M S, HAO B, NEUROCK M, DAVIS R J. Mechanistic insights on the hydrogenation of α, β-unsaturated ketones and aldehydes to unsaturated alcohols over metal catalysts[J]. ACS Catal., 2012, 2(4): 671-683 doi: 10.1021/cs200567z
-
[3]
LIANG Y, TANG Q, LIU L, WANG D S, DONG J X. Fabrication of highly oxidized Pt single-atom catalysts to suppress the deep hydrogenation of unsaturated aldehydes[J]. Appl. Catal. B‒Environ. Energy, 2023, 333: 122783 doi: 10.1016/j.apcatb.2023.122783
-
[4]
NIDHI G, HARI P S, PARDEEP D, BASKER S. Methanol as a hydrogen source: Room-temperature highly-selective transfer hydrogenation of α, β-unsaturated ketones[J]. Chem. Commun., 2022, 58(71): 9930-9933 doi: 10.1039/D2CC03597A
-
[5]
WANG K, NIU S S, TANG W J, XUE D, XIAO J L, LI H F, WANG C. Ru-catalyzed asymmetric hydrogenation of α, β-unsaturated ketones via a hydrogenation/isomerization cascade[J]. Chem. Commun., 2024, 60(32): 4338-4341 doi: 10.1039/D4CC00356J
-
[6]
CUI H S, LIAO X Q, REN Y F, ZHOU Y, XIAO J, DENG R J, LV Y, LIU H J, LIU P L, YANG H. Highly selective transfer hydrogenation of α, β-unsaturated aldehydes by frustrated Lewis pairs (FLPs) on oxygen-defect-rich Co3O4@NC[J]. J. Catal., 2023, 428: 115126 doi: 10.1016/j.jcat.2023.115126
-
[7]
CUI H S, ZHONG L H, LV Y, HAO F, LIU P L, XIONG W, XIONG S F, LIU H J, LUO H A. A facile synthesis of in-situ formed amorphous zirconia catalysts for efficient transfer hydrogenation of unsaturated aldehydes[J]. Fuel, 2022, 317: 123551 doi: 10.1016/j.fuel.2022.123551
-
[8]
CHEN J W, XIA Y M, LING Y X, LIU X H, LI S Y, YIN X, ZHANG L P, LIANG M H, YAN Y M, ZHENG Q, CHEN W X, GUO Y J, YUAN E H, HU G F, ZHOU X L, WANG L Y. Zn single-atom catalysts enable the catalytic transfer hydrogenation of α, β-unsaturated aldehydes[J]. Nano Lett., 2024, 24(17): 5197-5205 doi: 10.1021/acs.nanolett.4c00512
-
[9]
DENG M Y, WANG D S, LI Y D. Rational design of catalysts for heterogeneous selective hydrogenation of unsaturated aldehydes/ketones: From nanoparticles to single atoms[J]. Appl. Catal. A‒Gen., 2023, 666: 119423 doi: 10.1016/j.apcata.2023.119423
-
[10]
BONITA Y, JAIN V, GENG F, O′CONNELL T P, RAMOS N X, RAI N, HICKS J C. Hydrogenation of cinnamaldehyde to cinnamyl alcohol with metal phosphides: Catalytic consequences of product and pyridine doping[J]. Appl. Catal. B‒Environ. Energy, 2020, 277: 119272 doi: 10.1016/j.apcatb.2020.119272
-
[11]
ZHANG X, HAN M M, LIU G Q, WANG G Z, ZHANG Y X, ZHANG H M, ZHAO H J. Simultaneously high-rate furfural hydrogenation and oxidation upgrading on nanostructured transition metal phosphides through electrocatalytic conversion at ambient conditions[J]. Appl. Catal. B‒Environ. Energy, 2019, 244: 899-908 doi: 10.1016/j.apcatb.2018.12.025
-
[12]
ZHOU Y Y, CHEN C, LI Q L, LIU Y B, WEI T, LIU Y Z, ZENG Z B, BRADSHAW D, ZHANG B, HUO J. Precise control of selective hydrogenation of α, β-unsaturated aldehydes in water mediated by ammonia borane[J]. Appl. Catal. B‒Environ. Energy, 2022, 311: 121348 doi: 10.1016/j.apcatb.2022.121348
-
[13]
CHENG S B, LEI Q, DENG C, LIANG L L, CHEN Y, MENG H W, LEI W X, CHEN H L. Mild and selective transfer hydrogenation of biomass-derived furfural to furfuryl alcohol over Cu/ZnO/Al2O3 with methanediol as the hydrogen donor[J]. Green Chem., 2024, 26(12): 7132-7139 doi: 10.1039/D4GC00160E
-
[14]
ZHU Y H, ZHANG B Z, SHI S L, BO Z T, YUAN M W, XU Y, XIAO W M, WANG S H, CHEN C. Targeted electron transfer effect of enzyme-like Co-NX catalysts for enhanced C=O hydrogenation[J]. Chem. Eng. J., 2024, 488: 151199 doi: 10.1016/j.cej.2024.151199
-
[15]
YAO W, CHEN J M, WANG Y J, FANG R Q, QIN Z, YANG X F, CHEN L Y, LI Y W. Nitrogen-doped carbon composites with ordered macropores and hollow walls[J]. Angew. Chem. ‒Int. Edit., 2021, 60(44): 23729-23734 doi: 10.1002/anie.202108396
-
[16]
蔡佳霓, 刘颖雅, 孙志超, 王瑶, 王安杰. 溶剂效应对Pt/MIL-100(Fe)催化肉桂醛选择性加氢性能的影响[J]. 高等学校化学学报, 2024, 45(2): 20230442CAI J N, LIU Y Y, SUN Z C, WANG Y, WANG A J. Solvent effect on the catalytic performance of cinnamaldehyde hydrogenation over Pt/MIL-100(Fe)[J]. Chem. J. Chinese Universities, 2024, 45(2): 20230442
-
[17]
WANG Z W, KANG Y Y, SHI Y Z, LIU C, LIU Y N, LIU J, BI J H, WU L. Selective coordination activation regulating the selectivity for photocatalytic hydrogenation of α, β-unsaturated aldehyde over Pd/MIL-100(FeaCub)[J]. Appl. Catal. B‒Environ. Energy, 2024, 340: 123162 doi: 10.1016/j.apcatb.2023.123162
-
[18]
ZHOU P, LI L B, MOSALI V S S, CHEN Y, LUAN P, GU Q F, TURNER D R, HUANG L, ZHANG J. Electrochemical hydrogenation of furfural in aqueous acetic acid media with enhanced 2-methylfuran selectivity using CuPd bimetallic catalysts[J]. Angew. Chem. ‒Int. Edit., 2022, 61(13): e202117809 doi: 10.1002/anie.202117809
-
[19]
WANG T J, XIN Y, CHEN B F, ZHANG B, LUAN S, DONG M H, WU Y X, CHEN X M, LIU Y, LIU H Z, HAN B X. Selective hydrodeoxygenation of α, β-unsaturated carbonyl compounds to alkenes[J]. Nat. Commun., 2024, 15(1): 2166 doi: 10.1038/s41467-024-46383-9
-
[20]
ZHOU S J, YANG Y S, SHEN T Y, YIN P, WANG L, REN Z, ZHENG L R, WANG B, YAN H, WEI M. Highly selective hydrogenation of unsaturated aldehydes in aqueous phase[J]. ACS Appl. Mater. Interfaces, 2024, 16(11): 13685-13696 doi: 10.1021/acsami.3c17806
-
[21]
VALEKAR A H, LEE M, YOON J W, KWAK J, HONG D Y, OH K R, CHA G Y, KWON Y U, JUNG J, CHANG J S, HWANG Y K. Catalytic transfer hydrogenation of furfural to furfuryl alcohol under mild conditions over Zr-MOFs: Exploring the role of metal node coordination and modification[J]. ACS Catal., 2020, 10(6): 3720-3732 doi: 10.1021/acscatal.9b05085
-
[22]
ZAHID M, ISMAIL A, SOHAIL M, ZHU Y J. Improving selective hydrogenation of carbonyls bond in α, β-unsaturated aldehydes over Pt nanoparticles encaged within the amines-functionalized MIL-101-NH2[J]. J. Colloid Interface Sci., 2022, 628(Part B): 141-152
-
[23]
LV Y, HAN M M, GONG W B, WANG D D, CHEN C, WANG G Z, ZHANG H M, ZHAO H J. Fe-Co alloyed nanoparticles catalyzing efficient hydrogenation of cinnamaldehyde to cinnamyl alcohol in water[J]. Angew. Chem. ‒Int. Edit., 2020, 59(52): 23521-23526 doi: 10.1002/anie.202009913
-
[24]
LIU Y J, ZHANG D H, LI X C, DENG S J, ZHAO D, ZHANG N, CHEN C. Construction of highly-dispersed and composition-adjustable CoxN in stable Co@CoxN@C nanocomposite catalysts via a dual-ligand-MOF strategy for the selective hydrogenation of citral[J]. Appl. Surf. Sci., 2020, 505: 144387 doi: 10.1016/j.apsusc.2019.144387
-
[25]
TIAN Z, CHEN D L, HE T, YANG P Y, WANG F F, ZHONG Y J, ZHU W D. Theoretical evidence on the confinement effect of Pt@UiO-66-NH2 for cinnamaldehyde hydrogenation[J]. J. Phys. Chem. C, 2019, 123(36): 22114-22122 doi: 10.1021/acs.jpcc.9b02547
-
[26]
CUI H S, LIU S H, LV Y, WU S T, WANG L P, HAO F, LIU P L, XIONG W, LUO H A. Transfer hydrogenation of cinnamaldehyde to cinnamyl alcohol in hydrophobically modified core-shell MOFs nanoreactor: Identification of the formed metal-N as the structure of an active site[J]. J. Catal., 2020, 381: 468-481 doi: 10.1016/j.jcat.2019.11.024
-
[27]
LIU X M, CHENG S J, LONG J L, ZHANG W, LIU X H, WEI D P. MOFs-derived Co@CN bi-functional catalysts for selective transfer hydrogenation of α, β-unsaturated aldehydes without use of base additives[J]. Mater. Chem. Front., 2017, 1(10): 2005-2012 doi: 10.1039/C7QM00189D
-
[28]
KANG Y Y, WANG Z W, SHI Y Z, GUO B B, WU L. Synthesis of aluminum doped MIL-100(Fe) compounds for the one-pot photocatalytic conversion of cinnamaldehyde and benzyl alcohol to the corresponding alcohol and aldehyde under anaerobic conditions[J]. J. Catal., 2022, 406: 184-192 doi: 10.1016/j.jcat.2022.01.010
-
[29]
LUNEAU M, LIM J S, PATEL D A, SYKES E C H, FRIEND C M, SAUTET P. Guidelines to achieving high selectivity for the hydrogenation of α, β-unsaturated aldehydes with bimetallic and dilute alloy catalysts: A review[J]. Chem. Rev., 2020, 120(23): 12834-12872 doi: 10.1021/acs.chemrev.0c00582
-
[30]
ZHANG J, GAO M T, WANG R Y, LI X C, WANG J, LI S Y, GAO K M, LI J, WANG Y W, ZHENG Z F. Bifunctional role of oxygen vacancy in LDH supported Au nanoparticles catalyst for selective photocatalytic hydrogenation of cinnamaldehyde[J]. Fuel, 2024, 365: 131235 doi: 10.1016/j.fuel.2024.131235
-
[31]
KENNEDY G, MELAET G, HAN H L, RALSTON W T, SOMORJAI G A. In situ spectroscopic investigation into the active sites for crotonaldehyde hydrogenation at the Pt nanoparticle-Co3O4 interface[J]. ACS Catal., 2016, 6(10): 7140-7147 doi: 10.1021/acscatal.6b01640
-
[32]
KENNEDY G, BAKER L R, SOMORJAI G A. Selective amplification of C=O bond hydrogenation on Pt/TiO2: Catalytic reaction and sum-frequency generation vibrational spectroscopy studies of crotonaldehyde hydrogenation[J]. Angew. Chem. ‒Int. Edit., 2014, 53(13): 3405-3408 doi: 10.1002/anie.201400081
-
[33]
LO W S, CHOU L Y, YOUNG A P, REN C H, GOH T W, WILLIAMS B P, LI Y, CHEN S Y, ISMAIL M N, HUANG W Y, TSUNG C K. Probing the interface between encapsulated nanoparticles and metal-organic frameworks for catalytic selectivity control[J]. Chem. Mater., 2021, 33(6): 1946-1953 doi: 10.1021/acs.chemmater.0c03007
-
[34]
YUAN Q Q, ZHANG D M, VAN HAANDEL L, YE F Y, XUE T, HENSEN E J M, GUAN Y J. Selective liquid phase hydrogenation of furfural to furfuryl alcohol by Ru/Zr-MOFs[J]. J. Mol. Catal. A‒Chem., 2015, 406: 58-64 doi: 10.1016/j.molcata.2015.05.015
-
[35]
ZHANG N, SHAO Q, WANG P T, ZHU X, HUANG X Q. Porous Pt-Ni nanowires within in situ generated metal-organic frameworks for highly chemoselective cinnamaldehyde hydrogenation[J]. Small, 2018, 14(19): e1704318 doi: 10.1002/smll.201704318
-
[36]
LIU Q L, LIU Q, CHEN Y R, LI Y L, SU H, LIU Q H, LI G Q. Ir nanoclusters confined within hollow MIL-101(Fe) for selective hydrogenation of α, β-unsaturated aldehyde[J]. Chin. Chem. Lett., 2022, 33(1): 374-377 doi: 10.1016/j.cclet.2021.06.047
-
[37]
ZHANG W L, SHI W X, JI W L, WU H B, GU Z D, WANG P, LI X H, QIN P S, ZHANG J, FAN Y, WU T Y, FU Y, ZHANG W N, HUO F W. Microenvironment of MOF channel coordination with Pt NPs for selective hydrogenation of unsaturated aldehydes[J]. ACS Catal., 2020, 10(10): 5805-5813 doi: 10.1021/acscatal.0c00682
-
[38]
LAN X, WANG T. Highly selective catalysts for the hydrogenation of unsaturated aldehydes: A review[J]. ACS Catal., 2020, 10(4): 2764-2790 doi: 10.1021/acscatal.9b04331
-
[39]
PLESSERS E, DE VOS D E, ROEFFAERS M B J. Chemoselective reduction of α, β-unsaturated carbonyl compounds with UiO-66 materials[J]. J. Catal., 2016, 340: 136-143 doi: 10.1016/j.jcat.2016.05.013
-
[40]
UMEMURA A, DIRING S, FURUKAWA S, UEHARA H, TSURUOKA T, KITAGAWA S. Morphology design of porous coordination polymer crystals by coordination modulation[J]. J. Am. Chem. Soc., 2011, 133(39): 15506-15513 doi: 10.1021/ja204233q
-
[41]
SHI Y X, ZHU B B, GUO X T, LI W T, MA W Z, WU X Y, PANG H. MOF-derived metal sulfides for electrochemical energy applications[J]. Energy Storage Mater., 2022, 51: 840-872 doi: 10.1016/j.ensm.2022.07.027
-
[42]
CUI H S, ZHONG L H, LIAO X Q, HAO F, XIONG W, LIU H J, LUO H, LIU P L, LV Y. Highly efficient chemoselective hydrogenation of unsaturated aldehydes catalyzed by hydrophobically modified core-shell defective ZIFs: Frustrated Lewis pair catalysis[J]. J. Catal., 2023, 420: 23-43 doi: 10.1016/j.jcat.2023.02.012
-
[43]
LIU Q L, LI Y L, FAN Y A, SU C Y, LI G Q. Chemoselective hydrogenation of α, β-unsaturated aldehydes over Rh nanoclusters confined in a metal-organic framework[J]. J. Mater. Chem. A, 2020, 8(22): 11442-11447 doi: 10.1039/D0TA01845G
-
[44]
LIU H L, LI Z, LI Y W. Chemoselective hydrogenation of cinnamaldehyde over a Pt-Lewis acid collaborative catalyst under ambient conditions[J]. Ind. Eng. Chem. Res., 2015, 54(5): 1487-1497 doi: 10.1021/ie504357r
-
[45]
BAKURU V R, KALIDINDI S B. Synergistic hydrogenation over palladium through the assembly of MIL-101(Fe) MOF over palladium nanocubes[J]. Chem. ‒Eur. J., 2017, 23(65): 16456-16459 doi: 10.1002/chem.201704119
-
[46]
ZHAO M T, YUAN K, WANG Y, LI G D, GUO J, GU L, HU W P, ZHAO H J, TANG Z Y. Metal-organic frameworks as selectivity regulators for hydrogenation reactions[J]. Nature, 2016, 539(7627): 76-80 doi: 10.1038/nature19763
-
[47]
LAN X C, XUE K Z, WANG T F. Combined synergetic and steric effects for highly selective hydrogenation of unsaturated aldehyde[J]. J. Catal., 2019, 372: 49-60 doi: 10.1016/j.jcat.2019.02.022
-
[48]
SHI Y Z, WU T K, WANG Z W, LIU C, BI J H, WU L. Photocatalytic precise hydrogenation of furfural over ultrathin Pt/NiMg-MOF-74 nanosheets: Synergistic effect of surface optimized NiⅡ sites and Pt clusters[J]. Appl. Surf. Sci., 2023, 616: 156553 doi: 10.1016/j.apsusc.2023.156553
-
[49]
LI Y, LO W S, ZHANG F R, SI X M, CHOU L Y, LIU X Y, WILLIAMS B P, LI Y H, JUNG S H, HSU Y S, LIAO F S, SHIEH F K, ISMAIL M N, HUANG W Y, TSUNG C K. Creating an aligned interface between nanoparticles and MOFs by concurrent replacement of capping agents[J]. J. Am. Chem. Soc., 2021, 143(13): 5182-5190 doi: 10.1021/jacs.1c01357
-
[50]
STEPHENSON C J, WHITFORD C L, STAIR P C, FARHA O K, HUPP J T. Chemoselective hydrogenation of crotonaldehyde catalyzed by an Au@ZIF-8 composite[J]. Chemcatchem, 2016, 8(4): 855-860 doi: 10.1002/cctc.201501171
-
[51]
LAN X C, HUANG N, WANG J F, WANG T F. Geometric effect in the highly selective hydrogenation of 3-methylcrotonaldehyde over Pt@ZIF-8 core-shell catalysts[J]. Catal. Sci. Technol., 2017, 7(12): 2601-2608 doi: 10.1039/C7CY00353F
-
[52]
YANG L X, WU H Q, GAO H Y, LI J Q, TAO Y, YIN W H, LUO F. Hybrid catalyst of a metal-organic framework, metal nanoparticles, and oxide that enables strong steric constraint and metal-support interaction for the highly effective and selective hydrogenation of cinnamaldehyde[J]. Inorg. Chem., 2018, 57(20): 12461-12465 doi: 10.1021/acs.inorgchem.8b01922
-
[53]
NAGENDIRAN A, PASCANU V, BERMEJO GOMEZ A, GONZALEZ MIERA G, TAI C W, VERHO O, MARTIN-MATUTE B, BACKVALL J E. Mild and selective catalytic hydrogenation of the C=C bond in α, β-unsaturated carbonyl compounds using supported palladium nanoparticles[J]. Chem. ‒Eur. J., 2016, 22(21): 7184-7189 doi: 10.1002/chem.201600878
-
[54]
LONG Y, SONG S Y, LI J, WU L L, WANG Q S, LIU Y, JIN R C, ZHANG H J. Pt/CeO2@MOF core@shell nanoreactor for selective hydrogenation of furfural via the channel screening effect[J]. ACS Catal., 2018, 8(9): 8506-8512 doi: 10.1021/acscatal.8b01851
-
[55]
GUO Z Y, XIAO C X, MALIGAL-GANESH R V, ZHOU L, GOH T W, LI X L, TESFAGABER D, THIEL A, HUANG W Y. Pt nanoclusters confined within metal organic framework cavities for chemoselective cinnamaldehyde hydrogenation[J]. ACS Catal., 2014, 4(5): 1340-1348 doi: 10.1021/cs400982n
-
[56]
ZHOU A W, DOU Y B, ZHOU J, LI J R. Rational localization of metal nanoparticles in yolk-shell MOFs for enhancing catalytic performance in selective hydrogenation of cinnamaldehyde[J]. ChemSusChem, 2020, 13(1): 205-211 doi: 10.1002/cssc.201902272
-
[57]
XU T T, SUN K, GAO D W, LI C C, HU X, CHEN G Z. Atomic-layer-deposition-formed sacrificial template for the construction of an MIL-53 shell to increase selectivity of hydrogenation reactions[J]. Chem. Commun., 2019, 55(53): 7651-7654 doi: 10.1039/C9CC02727K
-
[58]
CHEN B, YANG X, XU Y N, HU S Y, ZENG X L, LIU Y P, TAN K B, HUANG J L, ZHAN G W. Semi-hydrogenation of α, β-unsaturated aldehydes over sandwich-structured nanocatalysts prepared by phase transformation of thin-film Al2O3 to Al-TCPP[J]. Nanoscale, 2022, 14(42): 15749-15759 doi: 10.1039/D2NR04474A
-
[59]
YANG Q P, GAO D W, LI C S, WANG S, HU X, ZHENG G X, CHEN G Z. Highly dispersed Pt on partial deligandation of Ce-MOFs for furfural selective hydrogenation[J]. Appl. Catal. B‒Environ. Energy, 2023, 328: 122458 doi: 10.1016/j.apcatb.2023.122458
-
[60]
NING L M, LIAO S Y, DONG C Q, ZHANG M T, GU W, LIU X. Rare earth oxide anchored platinum catalytic site coated zeolitic imidazolate frameworks toward enhancing selective hydrogenation[J]. ACS Appl. Mater. Interfaces, 2020, 12(6): 7198-7205 doi: 10.1021/acsami.9b19867
-
[61]
XUE K Z, LAN X C, WANG J F, WANG T F. Synthesis of Pt@MAF-6 as a steric effect catalyst for selective hydrogenation of cinnamaldehyde[J]. Catal. Lett., 2020, 150(11): 3234-3242 doi: 10.1007/s10562-020-03212-0
-
[62]
LIU H L, CHANG L N, CHEN L Y, LI Y W. Nanocomposites of platinum/metal-organic frameworks coated with metal-organic frameworks with remarkably enhanced chemoselectivity for cinnamaldehyde hydrogenation[J]. Chemcatchem, 2016, 8(5): 946-951 doi: 10.1002/cctc.201501256
-
[63]
YUAN K, SONG T Q, WANG D W, ZHANG X T, GAO X, ZOU Y, DONG H L, TANG Z Y, HU W P. Effective and selective catalysts for cinnamaldehyde hydrogenation: Hydrophobic hybrids of metal- organic frameworks, metal nanoparticles, and micro- and mesoporous polymers[J]. Angew. Chem. ‒Int. Edit., 2018, 57(20): 5708-5713 doi: 10.1002/anie.201801289
-
[64]
GUO Q Y, WANG Z, FENG X, FAN Y, LIN W. Generation and stabilization of a dinickel catalyst in a metal-organic framework for selective hydrogenation reactions[J]. Angew. Chem. ‒Int. Edit., 2023, 62(35): e202306905 doi: 10.1002/anie.202306905
-
[65]
YANGCHENG R X, LI J W, HE J D, ZHENG Y X, YU H J, CHEN C L, WANG J J. Carboxyl-decorated UiO-66 supporting Pd nanoparticles for efficient room-temperature hydrodeoxygenation of lignin derivatives[J]. Small, 2024: e2309821
-
[66]
GONG W B, LIN Y, CHEN C, AL-MAMUN M, LU H S, WANG G Z, ZHANG H M, ZHAO H J. Nitrogen-doped carbon nanotube confined Co-Nx sites for selective hydrogenation of biomass-derived compounds[J]. Adv. Mater., 2019, 31(11): 1808341 doi: 10.1002/adma.201808341
-
[67]
ZHAO J B, LI X M, ZHANG M, XU Z, QIN X M, LIU Y F, HAN L F, LI G. Enhancing the catalytic performance of Co-N-C derived from ZIF-67 by mesoporous silica encapsulation for chemoselective hydrogenation of furfural[J]. Nanoscale, 2023, 15(9): 4612-4619 doi: 10.1039/D2NR05831F
-
[68]
CHEN H R, SHEN K, TAN Y P, LI Y W. Multishell hollow metal/ nitrogen/carbon dodecahedrons with precisely controlled architectures and synergistically enhanced catalytic properties[J]. ACS Nano, 2019, 13(7): 7800-7810 doi: 10.1021/acsnano.9b01953
-
[69]
XU J Y, HAN X Y, ZHU L H, WANG W Z, RUAN L N, YANG Z Q, YE H Q, CHEN B H. Revealing the intrinsic relationship between nano/electronic structure of CuCo/NC (NC derived from ZIF-67) and their catalytic performance for furfural selective hydrogenation[J]. J. Catal., 2025, 447: 116140 doi: 10.1016/j.jcat.2025.116140
-
[70]
ZHAO H H, SONG H L, CHOU L J. Nickel nanoparticles supported on MOF-5: Synthesis and catalytic hydrogenation properties[J]. Inorg. Chem. Commun., 2012, 15: 261-265 doi: 10.1016/j.inoche.2011.10.040
-
[71]
YE H S, ZHAO H Y, JIANG Y Y, LIU H L, HOU Z Y. Catalytic transfer hydrogenation of the C=O bond in unsaturated aldehydes over Pt nanoparticles embedded in porous UiO-66 nanoparticles[J]. ACS Appl. Nano Mater., 2020, 3(12): 12260-12268 doi: 10.1021/acsanm.0c02735
-
[72]
ZHOU Y Y, LI Z H, LIU Y B, HUO J, CHEN C, LI Q L, NIU S Y, WANG S Y. Regulating hydrogenation chemoselectivity of α, β-unsaturated aldehydes by combination of transfer and catalytic hydrogenation[J]. ChemSusChem, 2020, 13(7): 1746-1750 doi: 10.1002/cssc.201902629
-
[73]
DONG S H, LIU Z, LIU R H, CHEN L M, CHEN J Z, XU Y S. Visible-light-induced catalytic transfer hydrogenation of aromatic aldehydes by palladium immobilized on amine-functionalized iron-based metal-organic frameworks[J]. ACS Appl. Nano Mater., 2018, 1(8): 4247-4257 doi: 10.1021/acsanm.8b01039
-
[74]
ZHONG L H, LIAO X Q, HUANG H S, LUO H, LV Y, LIU P L. B, N codoped defective reduced graphene oxide as a highly efficient frustrated Lewis pairs catalyst for the selective hydrogenation of α, β-unsaturated aldehydes to unsaturated alcohols[J]. J. Am. Chem. Soc., 2025, 147(4): 3840-3854 doi: 10.1021/jacs.4c17103
-
[75]
HAN Y W, YE L, GONG T J, LU X B, FU Y. Porous composite- mediated bimetallic cluster POMs/Zr-MOF for catalytic transfer hydrogenation of biomass-derived aldehydes and ketones[J]. Adv. Funct. Mater., 2024, 34(19): 2315044 doi: 10.1002/adfm.202315044
-
[76]
ZHANG M J, YOUNG D J, MA J L, SHAO G Q. Copper pyrimidine-2-thiolate cluster-based polymers as bifunctional visible-light-photocatalysts for chemoselective transfer hydrogenation of α, β- unsaturated carbonyls[J]. RSC Adv., 2021, 11(25): 14899-14904 doi: 10.1039/D1RA01102B
-
[1]
-
Figure 2 Schematic representations of five adsorption modes of α, β-unsaturated aldehydes on metal nanoparticles and single atoms (Copyright 2024 Elsevier Ltd. All rights reserved)[30]
Figure 6 (a) Synthetic routes for the hydrophobically modified core-shell ZIF-67-MW@SiO2-DMDES; (b) Proposed mechanism for COL formation over the FLPs sites (Copyright 2023 Elsevier Inc. All rights reserved.)[42]
Figure 7 Plausible mechanism for the hydrogenation of CAL over the Pt-Lewis acid collaborative Pt/MIL-101 catalyst (Copyright 2015 American Chemical Society. All rights reserved.)[44]
Figure 8 Synthetic route to generating sandwich MIL-101@Pt@MIL-101 (Copyright 2016 Macmillan Publishers Limited, part of Springer Nature. All rights reserved.)[46]
Figure 9 Reaction patterns on different catalysts: (a) Pt/SiO2, (b) Pt-SnOx/SiO2, (c) Pt@ZIF-8, and (d) Pt-SnOx@ZIF-8 (Copyright 2019 Elsevier Inc. All rights reserved.)[47]
Figure 11 Schematic illustration of regulating the localization of MNPs in Ni/Zn-MOF microspheres (Copyright 2019 Wiley-VCH Verlag GmbH & Co. KGaA, Weinheim. All rights reserved.)[56]
Figure 12 (a) Synthesis route of MIL-88B(Fe)@Pt@Al-TCPP; (b) Schematic models showing the phase transformation of alumina to Al-TCPP by reacting alumina with the TCPP linker (Copyright 2022 The Royal Society of Chemistry. All rights reserved.)[58]
Figure 13 Preparation route of MNPs/MOFs@MOFs nanocomposites (Copyright 2016 WILEY-VCH Verlag GmbH & Co. KGaA, Weinheim. All rights reserved.)[62]
Figure 16 Schematic diagram of the synthesis process of H-3DOM-Co/NC (Copyright 2021 Wiley-VCH GmbH. All rights reserved.)[15]
Figure 17 Schematic illustration of the fabrication of multishell hollow Co@NC dodecahedrons (Copyright 2019 American Chemical Society. All rights reserved.)[68]
Figure 18 Illustration of the synthetic procedure of FexCo@NC (Copyright 2020 Wiley-VCH GmbH. All rights reserved.)[23]
Figure 19 Reaction mechanism for transfer hydrogenation of CAL with isopropanol (Copyright 2020 American Chemical Society. All rights reserved.)[71]
Figure 20 Proposed routes for precise control of selective hydrogenation of UALs mediated by AB (Copyright 2022 Elsevier B.V. All rights reserved.)[12]
Route Ⅰ: conversion of UALs into UOLs with AB in an open autoclave; Route Ⅱ: conversion of UALs into SALs in an autoclave with inner lining for hydrogen production from AB decomposition by Pd/MOL and outer lining for hydrogenation of UALs catalyzed by Pd/MOL; Route Ⅲ: complete hydrogenation of UALs with AB and Pd/MOL to SOLs in a closed autoclave.
Figure 21 Possible reaction mechanisms for transfer hydrogenation (a) and direct hydrogenation (b) of α, β-unsaturated aldehydes on Zr-CUS/Zr-OH FLP sites (Copyright 2024 American Chemical Society. All rights reserved.)[74]
Figure 22 Proposed CTH reaction pathway over 3SiW/HUiO-660.5 (a), HUiO-660.5 (b), and corresponding free energy profiles (c) through DFT calculations (Copyright 2024 Wiley-VCH GmbH. All rights reserved.)[75]
Figure 23 (a) Mechanism of simultaneous oxidation and reduction of BA and CAL on bimetallic MIL-100(Fe0.63Al0.37) (Copyright 2022 Elsevier Inc. All rights reserved.)[28]; (b) Possible adsorption configurations of FUR on metal surfaces with corresponding hydrogenation products; (c) Possible mechanism of selective photocatalytic hydrogenation of FUR to FAL (Copyright 2023 Elsevier B.V. All rights reserved.)[48]; (d) Possible coordination modes of UAL molecules on the transition metal sites (M) with multiple or few d electrons (Copyright 2023 Elsevier B.V. All rights reserved.)[17]
Figure 24 (a) Schematic illustration of the method for the synthesis of CuPdx/C catalyst; (b) Adsorption modes of FUR on metals (Copyright 2022 Wiley-VCH GmbH. All rights reserved.)[18]
Table 1. Summary of catalytic performance parameters of representative MOF catalysts for the catalytic hydrogenation of α, β-unsaturated aldehydes/ketones
Entry Substrate Catalyst $ {p}_{{H}_{2}} $ Solvent Time / h Hydrogroup Conv. / % Sel. / % TOF / h-1 Ref. 1 Citral Co/CoNx/C‐600 1.0 MPa MeOH 1.5 C=O >99 78 437.07 [14] 2 FUR Co/CoNx/C‐600 1.0 MPa MeOH 6 C=O 99 97 n.d.a [14] 3 Benzaldehyde Co/CoNx/C‐600 0.6 MPa MeOH 6 C=O 99 96 n.d. [14] 4 CAL Co/CoNx/C‐600 2.0 MPa MeOH 13 C=O 94 93 n.d. [14] 5 VAN Pd/UiO‐66‐(COOH)2 1.0 MPa EtOH 24 C=Ob ca. 100 ca. 100 n.d. [65] 6 CAL Pt/MIL‐100(Fe) 1.0 MPa i‐PrOH 2 C=O 88.3 84.9 n.d. [16] 7 FUR Co‐N‐C@mSiO2‐20‐700 1.0 MPa i‐PrOH 4 C=O 95.3 89.1 12.9 [67] 8 CAL ZIF‐67‐MW@SiO2‐DMDES 1.0 MPa i‐PrOH 6 C=O >99 95.3 16.2 [42] 9 CAL 3‐Pt/MOF‐NH2(2) 1.0 MPa i‐PrOH 2 C=O 72.3 78.9 201 [22] 10 FUR 3‐Pt/MOF‐NH2(2) 1.0 MPa i‐PrOH 6 C=O 89.7 87 373 [22] 11 CAL Ir@MIL‐101(Fe) 100 kPa i‐PrOH 4 C=O 93.9 96.2 5.9 [36] 12 CAL MIL‐88B(Fe)@Pt@Al‐TCPP 3.0 MPa H2O 5 C=O 95 85 48 [58] 13 FUR H‐3DOM‐Co/NC‐600 2.0 MPa i‐PrOH 8 C=Oc 100 97.8 1.8 [15] 14 Citronellal Pt@ZIF‐8 1.0 MPa MeOH 12 C=O 6 100 2.08 [37] 15 Citronellal Pt@ZIF‐67 1.0 MPa MeOH 12 C=O 97 100 42.28 [37] 16 Citronellal Pt@UiO‐66 1.0 MPa MeOH 12 C=C 71 70 103.08 [37] 17 CAL Pt@MAF‐6 3.0 MPa EtOH 48 C=O 95 94 n.d. [61] 18 CAL Gd2O3@Pt@ZIF‐8 2.0 MPa EtOAc 4 C=O ca. 100 96.8 n.d. [60] 19 CAL Fe0.5Co@NC 2.0 MPa H2O 2 C=O 95.1 91.7 n.d. [23] 20 Citral Co@CoxN@C 2.0 MPa EtOH 1.5 C=O 89 61 2 016 [24] 21 CAL Rh@MIL‐101 1.0 MPa EtOH 5 C=C 99 >98 n.d. [43] 22 Citral 6AgCo@C‐510 1.0 MPa EtOH 1 C=O 99 70 n.d. [1] 23 CAL Ptvoid@MOF(Y) 1.0 MPa i‐PrOH 24 C=O 97 98 40.5 [56] 24 FUR CeO2/Pd@MIL‐53(AI) 6.0 MPa H2O 2 C=O 100 85.3 n.d. [57] 25 Cuminaldehyde CeO2/Pd@MIL‐53(AI) 6.0 MPa EtOH 2 C=O 24.6 100 n.d. [57] 26 CAL CeO2/Pd@MIL‐53(AI) 6.0 MPa Octanol 4 C=C 98.4 ca. 100 n.d. [57] 27 2‐Pentenal Pt‐1.5SnOx@ZIF‐8 3.0 MPa Cyclohexane 5 C=O n.d. 80.9 154.8 [47] 28 FUR Co‐900 2.0 MPa H2O 5 C=O 100 100 30.7 [66] 29 Benzaldehyde Co‐900 2.0 MPa H2O 6 C=O 100 100 n.d. [66] 30 VAN Co‐900 2.0 MPa H2O 12 C=O 100 92.1 n.d. [66] 31 CAL Co‐900 2.0 MPa H2O 14 C=O 100 100 n.d. [66] 32 FUR 4LH‐Co@NC 2.0 MPa H2O 8 C=Ob ca. 100 97 0.62 [68] 33 CAL MIL‐101(Cr)@Pt@
MIL‐101(Fe)2.93.0 MPa n.d. 20 C=O 99.8 95.6 16.9 [46] 34 FUR MIL‐101(Cr)@Pt@
MIL‐101(Cr)5.13.0 MPa n.d. 5 C=O 98.5 99.8 66.8 [46] 35 CAL Pt/MIL-100@
MIL-100101 kPa i-PrOH 4 C=O 95 96 n.d. [62] 36 FUR Ru/UiO-66 500 kPa H2O 4 C=O 100 94.9 11 [34] 37 CAL Pt/MIL-101 101 kPa i-PrOH 1 C=C ca. 100 ca. 100 n.d. [44] 38 CAL Pd/MIL-101(Fe) 300 kPa i-PrOH 1.5 C=C 100 86.4 991.2±26.1 [45] 39 CAL Pd0-MIL-101-NH2
(Cr)101 kPa Acetone 1.5 C=C > 99 95 n.d. [53] 40 CAL Pd0-AmP-MCF 101 kPa Acetone 1 C=C > 99 > 99 n.d. [53] 41 Crotonaldehyde Ni@MOF-5 2.0 MPa EtOH 1 C=C 99 90 111.9 [70] 42 CAL Pt@UiO-66-NH2 4 MPa MeOH 44 C=O 98 91 n.d. [55] a n.d.=not described; b Deoxygenative hydrogenation of VAN to 2-methoxy-4-methylphenol; c Hydrogenation, ring opening, and cyclization rearrangement of FUR to cyclopentanol. Table 2. Summary of catalytic performance parameters of representative MOF catalysts for the CTH of α, β-unsaturated aldehydes/ketones
Entry Substrate Catalyst H donor/solvent Time/h Hydrogroup Conv./% Sel./% TOF/h-1 Ref. 1 CAL UiO‐66‐NO2 i‐PrOH 8 C=O >99 94 n.d.a [39] 2 Citral UiO‐66‐NO2 i‐PrOH 24 C=O >90 91 n.d. [39] 3 Carvone UiO‐66‐NO2 i‐PrOH 24 C=O >99 92 n.d. [39] 4 CAL Co@CN‐900 n‐Hexanol 48 C=O >99 99 n.d. [27] 5 4‐Methoxy‐cinnamaldehyde Co@CN‐900 n‐Hexanol 44 C=O >99 90 n.d. [27] 6 2‐Methoxy‐cinnamaldehyde Co@CN‐900 n‐Hexanol 44 C=O >99 90 n.d. [27] 7 4‐Nitro‐cinnamaldehyde Co@CN‐900 n‐Hexanol 50 C=O >99 85 n.d. [27] 8 2‐Bromo‐acetophenone Co@CN‐900 n‐Hexanol 30 C=O >99 99 n.d. [27] 9 BenzyIaldehyde Co@CN‐900 n‐Hexanol 40 C=O >99 99 n.d. [27] 10 N‐Benzylideneaniline Co@CN‐900 n‐Hexanol 24 C=O >99 99 n.d. [27] 11 Benzaldehyde Pd/MIL‐101(Fe)‐NH2 TEA‐HCOOH 6 C=O 100 77 75 [73] 12 FUR Pd/MIL‐101(Fe)‐NH2 TEA‐HCOOH 6 C=O >99 29 n.d. [73] 13 CAL ZIF‐67@SiO2‐CPTEOS i‐PrOH 12 C=O 84 95 12.9 [26] 14 FUR Pt/UiO‐66 i‐PrOH 12 C=O 99 93 17.6 [21] 15 CAL Pt/UiO‐66 i‐PrOH 12 C=O 90 94 4 071 [21] 16 CAL Pt/MOL AB 3 C=O and C=C 100 100 41.4 [72] 17 CAL Co3O4@NC i-PrOH 12 C=O > 99 > 99 n.d. [6] 18 CAL Zn-N-C SACs i-PrOH 5 C=O 95 95 n.d. [8] 19 CAL MIL-100(Fe1-xAlx) BnOH-MeCN 3 C=O ca. 100 ca. 100 n.d. [28] 20 CAL ZnNC-900 i-PrOH 7 C=Ob ca. 100 73 n.d. [19] a n.d.=not described; b Hydrodeoxygenation of CAL. Table 3. Summary of catalytic performance of photocatalysts involving MOFs for selective hydrogenation of α, β⁃unsaturated aldehydes/ketones and their system parameters
Entry Substrate Catalyst Solvent Acid or alkali Time / h Hydrogroup Conv. / % Sel. / % Ref. 1 FUR Pd/MIL-101(Fe)-NH2 CH3CN TEA-HCOOH 6 C=O n.d.* 29 [73] 2 5-Hydroxymethylfurfural Pd/MIL-101(Fe)-NH2 CH3CN TEA-HCOOH 6 C=O n.d. 27 [73] 3 CAL Cluster-based MOFs i-PrOH/MeCN NaOH 24 C=O 100 94 [76] 4 p-Methoxycinnamaldehyde Cluster-based MOFs i-PrOH/MeCN NaOH 24 C=O 100 91 [76] 5 p-Methylcinnamaldehyde Cluster-based MOFs i-PrOH/MeCN NaOH 24 C=O 100 94 [76] 6 p-Fluorocinnamaldehyde Cluster-based MOFs i-PrOH/MeCN NaOH 36 C=O 90 91 [76] 7 p-Chlorocinnamaldehyde Cluster-based MOFs i-PrOH/MeCN NaOH 24 C=O 95 93 [76] 8 p-Bromocinnamaldehyde Cluster-based MOFs i-PrOH/MeCN NaOH 24 C=O 95 95 [76] 9 p-Nitrocinnamaldehyde Cluster-based MOFs i-PrOH/MeCN NaOH 36 C=O 92 92 [76] 10 3-Phenylmethacrolein Cluster-based MOFs i-PrOH/MeCN NaOH 24 C=O 93 91 [76] 11 Amylcinnamaldehyde Cluster-based MOFs i-PrOH/MeCN NaOH 24 C=O 88 91 [76] 12 2-Bromo-3-phenylacrylaldehyde Cluster-based MOFs i-PrOH/MeCN NaOH 36 C=O 85 91 [76] 13 2-Furanacrolein Cluster-based MOFs i-PrOH/MeCN NaOH 24 C=O 90 91 [76] 14 Methylpentenal Cluster-based MOFs i-PrOH/MeCN NaOH 36 C=O 92 83 [76] 15 trans-2-Heptenal Cluster-based MOFs i-PrOH/MeCN NaOH 36 C=O 90 82 [76] 16 Benzalacetone Cluster-based MOFs i-PrOH/MeCN NaOH 24 C=O 87 84 [76] 17 p-Methylbenzalacetone Cluster-based MOFs i-PrOH/MeCN NaOH 24 C=O 92 87 [76] 18 4-Chlorobenzylideneacetone Cluster-based MOFs i-PrOH/MeCN NaOH 24 C=O 85 86 [76] 19 4-Bromobenzalacetone Cluster-based MOFs i-PrOH/MeCN NaOH 24 C=O 89 84 [76] 20 4-(Naphthalen-2-yl)but-3-en-2-one Cluster-based MOFs i-PrOH/MeCN NaOH 24 C=O 82 86 [76] 21 Benzylidencyclohexanone Cluster-based MOFs i-PrOH/MeCN NaOH 24 C=O 75 92 [76] 22 Ethyl vinyl ketone Cluster-based MOFs i-PrOH/MeCN NaOH 36 C=O 85 83 [76] 23 CAL MIL-100(Fe0.63Al0.37) CH3CN n.d. 3 C=O ca. 100 ca. 100 [28] 24 FUR Pt/NiMg-MOF-74 MeOH n.d. 2 C=O 99.9 99.9 [48] 25 2-Acetylfuran Pt/NiMg-MOF-74 MeOH n.d. 2 C=O 99.4 99.9 [48] 26 5-Hydroxymethylfurfural Pt/NiMg-MOF-74 MeOH n.d. 2 C=O 76.6 99.9 [48] 27 CAL Pd/MIL-100(Fe0.81Cu0.19) Cyclohexane n.d. 2 C=C 99.9 97.8 [17] 28 Acrolein Pd/MIL-100(Fe0.81Cu0.19) Cyclohexane n.d. 2 C=C 99.9 98.9 [17] 29 Senecialdehyde Pd/MIL-100(Fe0.81Cu0.19) Cyclohexane n.d. 2 C=C 99.9 98.7 [17] *n.d.=not described Table 4. Advantages and challenges of different hydrogenation pathways
Hydrogenation path Advantage Challenge Molecular hydrogen
activationHigh selectivity and efficiency,
environmental friendlinessRelying on precious metals and high-pressure environments,
safety risks, and mass transfer limitationsTransfer hydrogenation Low-pressure operation and low cost,
strong substrate compatibilityNeed additional hydrogen donors, potential side effects,
and dynamic limitationsPhotocatalysis &
electrocatalysisGreen energy-driven, sustainable
developmentInsufficient efficiency (PCS) and hydrogen evolution reaction (ECS),
insufficient stability -
扫一扫看文章
计量
- PDF下载量: 0
- 文章访问数: 108
- HTML全文浏览量: 15

下载:
下载: