锌(Ⅱ)-三苯胺基金属有机框架的合成、结构与光电性能

杨晓刚 张新娅 李景 王慧琳 李敏 韦霄天 武心慈 马录芳

引用本文: 杨晓刚, 张新娅, 李景, 王慧琳, 李敏, 韦霄天, 武心慈, 马录芳. 锌(Ⅱ)-三苯胺基金属有机框架的合成、结构与光电性能[J]. 无机化学学报, 2025, 41(10): 2078-2086. doi: 10.11862/CJIC.20250167 shu
Citation:  Xiaogang YANG, Xinya ZHANG, Jing LI, Huilin WANG, Min LI, Xiaotian WEI, Xinci WU, Lufang MA. Synthesis, structure, and photoelectric properties of Zinc(Ⅱ)-triphenylamine based metal-organic framework[J]. Chinese Journal of Inorganic Chemistry, 2025, 41(10): 2078-2086. doi: 10.11862/CJIC.20250167 shu

锌(Ⅱ)-三苯胺基金属有机框架的合成、结构与光电性能

    通讯作者: 杨晓刚, E-mail:yxg2233@126.com; 马录芳, E-mail:mazhuxp@126.com
  • 基金项目:

    国家自然科学基金 22221001

    国家自然科学基金 22131007

    国家自然科学基金 22401119

    国家自然科学基金 B20027

    甘肃省自然科学基金 24ZD13GA015

    甘肃省自然科学基金 23ZDGA012

摘要: 在溶剂热条件下以4,4′,4″-三甲酸三苯胺(H3NTB)为电子给体、4,4′-联吡啶(bipy)为电子受体,与金属盐Zn(NO3)2·6H2O反应,制备了一例具有电荷转移特性和三维多轮烷结构的金属有机框架荧光粉[Zn3(NTB)2(bipy)]·4H2O (1)。利用X射线单晶衍射、X射线粉末衍射、热重分析等技术确定了化合物1的晶体结构、相纯度和稳定性。晶体结构分析表明化合物1结晶于三斜晶系,P1空间群,晶胞参数a=1.374 87(15) nm,b=1.376 65(15) nm,c=1.795 50(18) nm,α=86.994(9)°,β=82.384(9)°,γ=64.835(11)°。室温下,该化合物具有亮黄色的荧光(发射峰为575 nm),发光寿命为16.01 ns。温度依赖光致发光测试表明,该化合物在150 ℃时仍能保持92.05%的发光强度(相对于室温),高于部分硼酸、硅酸盐基无机荧光粉。

English

  • 光转化型发光二极管(phosphor-converted light-emitting diodes,PC-LEDs)因较高的发光效率、低能耗、携带方便等优点,在照明、显示、植物生长等领域具有非常广泛的应用价值[1-5]。PC-LEDs一般主要由紫外光或蓝光芯片与不同发光颜色的荧光粉组成。荧光粉吸收芯片发射的紫外光或蓝光,产生不同颜色的荧光,从而实现光的转化[6]。在使用过程中,由于通上电流的芯片会产生热量,致使填涂在上面的荧光粉发光效率降低,这种现象称为热猝灭[7]。目前,商业化PC-LEDs所用的荧光粉多为无机材料,同样也存在热猝灭现象,部分无机荧光粉热猝灭效率达到50%左右(相对于室温的发光强度)[8]。虽然也有零热猝灭的报道[9-11],但所涉及的复杂的制备工艺、高能耗(1 000 ℃左右的高温烧结)等问题仍亟需解决。因此,发展发光效率高、热猝灭效率低、制造成本低的荧光粉具有一定的挑战性。

    金属有机框架(metal-organic frameworks,MOFs)是一类由金属离子与有机配体通过配位键结合的有机-无机杂化材料,具有合成简便、易于修饰和功能化的优点[12-20]。同时,作为一类晶态材料,MOFs可以提供发光金属离子、发色团配体和客体分子的精确空间位置及相互作用等信息,能够为设计、合成各种功能化材料提供指导,有利于分析材料特殊性能的内在本质,是制备高效荧光粉的理想材料[21]。目前,虽然MOFs基光功能材料在PC-LEDs应用方面取得了一些进展,但其热猝灭行为较少被研究[4],关于如何减少发光热猝灭的策略、相关机理和理论研究更是缺乏。

    基于上述分析,我们以柔性三苯胺类羧酸配体4,4′,4″-三甲酸三苯胺(H3NTB)为发色团和电子给体,以4,4′-联吡啶(bipy)为电子受体,与锌(Ⅱ)盐在溶剂热条件下反应制备了一例具有三维多轮烷结构的MOF晶态荧光粉材料[Zn3(NTB)2(bipy)]·4H2O (1)。与具有蓝色荧光的H3NTB相比,化合物1在室温下发射出亮黄色荧光(发射峰为575 nm),红移145 nm。结合理论计算发现,该MOF存在配体(NTB3-)到配体(bipy)间的电荷转移。温度依赖荧光发射光谱表明,该MOF在150 ℃(PC-LEDs的工作温度)时的发光热猝灭效率仅为7.95%(相对于室温),低于部分硼酸、硅酸基无机荧光粉。本工作为高稳定性MOF荧光粉的设计、合成及其在固态照明领域的应用提供了新的思路。

    H3NTB和bipy均购买于吉林中科研伸科技有限公司;Zn(NO3)2·6H2O购买于天津市河东区红岩试剂厂。

    实验中所用主要仪器包括X射线单晶衍射仪(英国牛津SuperNova)、粉末X射线衍射仪[PXRD,德国Bruker D8 ADVANCE,Cu 辐射,λ=0.154 nm,管电流为30 mA,管电压为40 kV,扫描范围为5°~50°,扫描速度为10 (°)·min-1,步长为0.02°]、热重分析仪(德国Netzsch TG 209)、元素分析仪(中国京科瑞达Perkin Elmer 2400C)、傅里叶变换红外光谱仪(美国赛默飞世尔Nicolet 6700)、紫外可见分光光度计(日本日立UH4150)和瞬态/稳态荧光分光光度计(英国爱丁堡FLS1000)。

    采用溶剂热法合成化合物1:取H3NTB(0.027 mmol,10 mg)、bipy(0.064 mmol,10 mg)和Zn(NO3)2·6H2O(0.168 mmol,50 mg)于10 mL玻璃瓶内,并滴加2 mL乙腈和6 mL水。将玻璃瓶放置于容积为25 mL的聚四氟乙烯内衬和水热反应釜中密封,再一起转移至烘箱内,120 ℃反应12 h后关闭烘箱,自然冷却至室温,得到大量黄色片状晶体,即为[Zn3(NTB)2(bipy)]·4H2O (1)。用乙醇和蒸馏水反复洗涤晶体表面,自然干燥后收集样品。元素分析(C52H40N4O16Zn3)实验值(%):C 53.75,H 3.50,N 4.86;理论值(%):C 53.24,H 3.44,N 4.78。红外光谱(KBr,cm-1):3 377(m),2 368(m),1 605(s),1 557(m),1 394(s),1 312(s),782(m),518(w)。

    挑选一颗大小适中、形貌完好的晶体,用硅油将其粘在Loop环顶端并置于基座上。以Mo 靶(λ=0.071 073 nm)为射线源,利用CrysAlis Pro软件进行数据收集、还原和经验吸收校正[22]。采用SHELXL-2014程序对还原后的数据进行结构精修[23-24],并用最小二乘法求解非氢原子的各向异性热位移参数,氢原子利用各向同性法来指认。化合物1的晶体学参数见表 1,主要键长、键角分别见表S1。

    表 1

    表 1  化合物1的晶体学数据
    Table 1.  Crystallographic data of complex 1
    下载: 导出CSV
    Parameter 1 Parameter 1
    Empirical formula C52H40N4O16Zn3 γ / (°) 64.835(11)
    Formula weight 1 172.99 V / nm3 3.048 7(6)
    Temperature / K 293(2) Z 2
    Crystal system Triclinic Dc / (g·cm-3) 1.239
    Space group P1 μ / mm-1 1.233
    a / nm 1.374 87(15) Reflection collected, unique 24 436, 13 990
    b / nm 1.376 65(15) Rint 0.074 4
    c / nm 1.795 50(18) GOF 1.018
    α / (°) 86.994(9) R1, wR2 [I≥2σ(I)] 0.097 2, 0.275 4
    β / (°) 82.384(9) R1, wR2 (all data) 0.197 5, 0.353 2

    将化合物1的荧光粉粉末(50 mg)与环氧树脂(2 mL)在真空条件下充分混合均匀直至无气泡产生,然后将混合物黏液填涂在365 nm LED芯片(直径0.5 cm)上,静置10 min后置于烘箱中100 ℃恒温干燥2 h后取出,得到PC-LED器件。

    将化合物1的荧光粉粉末(20 mg)放置于带有温度探针的圆形铜基座内,盖上石英片并拧上带螺纹的铜环。随后放入含2个石英窗口(90°夹角)的圆柱筒内。最后将整个变温装置放置到荧光光谱仪的样品仓内,调好光路,用热电偶丝和数据线接到温度控制器上。升高到设定温度后,测试该温度下的荧光光谱。

    将所制备的PC-LED器件固定起来并放置在荧光光谱仪固体架上,用导线连接正负极至吉时利2400源表上。用源表施加不同的工作电流,调节荧光光谱仪入射光狭缝为零,发射光狭缝为0.5 nm,随后用荧光光谱仪测试不同工作电流下的荧光光谱。

    理论计算采用Material Studio软件包的DMol3模块进行结构优化和计算[25-26]。所有计算均是基于[Zn3(NTB)2(bipy)]·4H2O (1)的三维结构。基态的初始几何优化采用Perdew-Wang 91(PW91)的广义梯度近似(GGA)方法进行,该方法采用双数值基组加极化函数(DNP)。自洽场收敛判据在2.72×10-4 eV·atom-1以内,结构优化收敛判据为0.514 eV·nm-1。布里渊区k点取值为1×1×1。

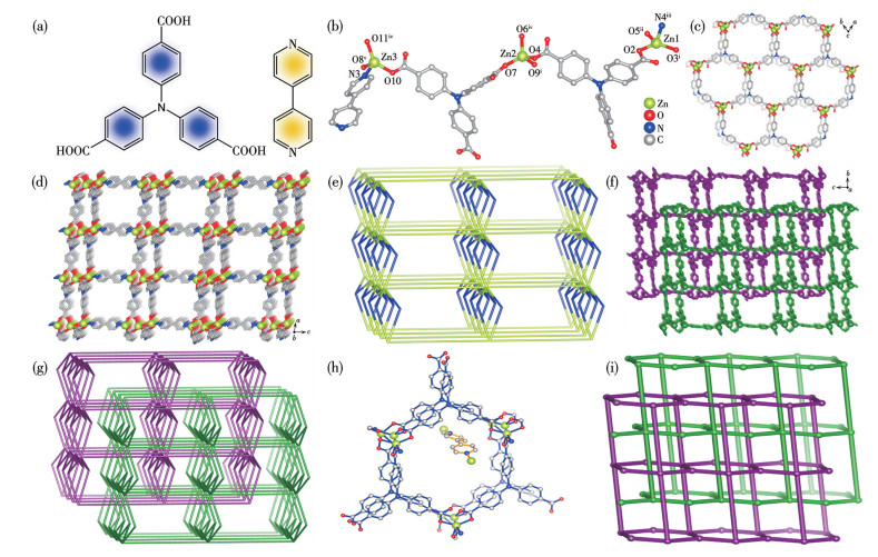
    H3NTB和bipy(图 1a)与锌盐在溶剂热条件下得到了化合物[Zn3(NTB)2(bipy)]·4H2O (1)。X射线单晶衍射分析表明,化合物1属于三斜晶系,P1空间群,其不对称单元包含3个Zn(Ⅱ)离子、2个去质子化的NTB3-配体、1个bipy分子和4个客体水分子。Zn(Ⅱ)离子的配位数均为4,不同的是,Zn1和Zn3与3个羧基氧和1个氮原子配位,而Zn2只与4个羧基氧原子配位(图 1b)。NTB3-配体均以单齿、双齿配位模式连接Zn(Ⅱ)离子形成三核锌簇(图S1,Supporting information),并沿a轴和b轴平面将其扩展为二维双层结构(图 1c和S2)。相邻二维双层通过双齿桥联配体bipy扩展为三维柱撑结构(图 1d)。目前已有类似的三苯胺基MOF ([Zn2(ntb)2(bipy)3/2(DMF)],MUF-21)被报道[27],不同的是MUF-21为2D+2D→3D的平行互穿结构。

    图 1

    图 1.  (a) 有机配体H3NTB和bipy的结构式; (b) 化合物1中三种Zn(Ⅱ)的配位环境; (c) 沿c轴方向观察到的二维双层结构; (d) 沿b轴方向观察到的三维结构; (e) (3, 8)-连接拓扑结构; (f) 二重穿插网络结构和(g) 拓扑网络; (h) bipy穿过[(NTB)6(Zn3)3]六元环的示意图; (i) 三维多轮烷结构
    Figure 1.  (a) Structural formulas of H3NTB and bipy; (b) Coordination environment of three Zn(Ⅱ) ion in compound 1; (c) View of 2D double-layer structure along the c-axis; (d) View of 3D structure along the b-axis; (e) (3, 8)-connected topology network; (f) Two-fold interpenetrated network and (g) topological structure; (h) View of the [(NTB)6(Zn3)3] loop threaded by one bipy rod; (i) 3D polyrotaxane structure

    Symmetry codes: -1+x, y, z; -1+x, 1+y, z; -2+x, y, 1+z; x, 1+y, z; 1+x, y, z.

    为了便于观察该结构,将NTB3-配体和三核锌簇简化为节点:NTB3-配体连接3个三核锌簇形成3-连接节点(图S3),三核锌簇连接6个NTB3-和2个bipy配体形成8-连接节点(图S4)。因此,该三维网络结构便可以简化为(3,8)-连接的拓扑结构(图 1e)。由于三维网络结构具有较大的空间(约1.3 nm×1.3 nm),相邻2个三维片段相互纠缠形成二重互穿结构(图 1f1g)。进一步分析发现,这种纠缠模式为多轮烷结构:6个NTB3-配体和3个三核锌簇围成1个[(NTB)6(Zn3)3]六元环,bipy配体从该环中穿过(图 1h)。如果进一步将NTB3-配体与三核锌簇形成的二维双层结构简化为二维(6,3)网络结构(图S5),三维(3,8)-连接结构简化为(3,5)-连接网络结构(图S6),那么,化合物1的纠缠结构可视为一种三维多轮烷结构(图 1i)。上述结构分析表明:一方面,化合物1形成的三核锌簇有利于固定有机配体,尤其是通过线性三核锌簇将NTB3-配体固定在二维双层结构内,可以有效抑制NTB3-发色团分子的热运动;另一方面,化合物1形成的纠缠结构有利于形成致密结构,提供刚性环境,降低非辐射弛豫振动,同时促进NTB3-发色团的聚集,产生聚集诱导发光效应。另外,化合物1形成的三维多轮烷结构,使bipy电子受体被NTB3-电子给体所包围,有利于分子间的电荷转移。总之,上述结构特点均有利于赋予该MOF荧光粉高发光效率和稳定性。

    为了便于观察该结构,将NTB3-配体和三核锌簇简化为节点:NTB3-配体连接3个三核锌簇形成3-连接节点(图S3),三核锌簇连接6个NTB3-和2个bipy配体形成8-连接节点(图S4)。因此,该三维网络结构便可以简化为(3,8)-连接的拓扑结构(图 1e)。由于三维网络结构具有较大的空间(约1.3 nm×1.3 nm),相邻2个三维片段相互纠缠形成二重互穿结构(图 1f和1g)。进一步分析发现,这种纠缠模式为多轮烷结构:6个NTB3-配体和3个三核锌簇围成1个[(NTB)6(Zn3)3]六元环,bipy配体从该环中穿过(图 1h)。如果进一步将NTB3-配体与三核锌簇形成的二维双层结构简化为二维(6,3)网络结构(图S5),三维(3,8)-连接结构简化为(3,5)-连接网络结构(图S6),那么,化合物1的纠缠结构可视为一种三维多轮烷结构(图 1i)。上述结构分析表明:一方面,化合物1形成的三核锌簇有利于固定有机配体,尤其是通过线性三核锌簇将NTB3-配体固定在二维双层结构内,可以有效抑制NTB3-发色团分子的热运动;另一方面,化合物1形成的纠缠结构有利于形成致密结构,提供刚性环境,降低非辐射弛豫振动,同时促进NTB3-发色团的聚集,产生聚集诱导发光效应。另外,化合物1形成的三维多轮烷结构,使bipy电子受体被NTB3-电子给体所包围,有利于分子间的电荷转移。总之,上述结构特点均有利于赋予该MOF荧光粉高发光效率和稳定性。

    图S7为化合物1的PXRD图,可以看出其与晶体数据模拟的衍射峰吻合度很高,表明具有良好的相纯度。此外,衍射峰尖而强,表明晶体结晶性很好。为了探究化合物1的热稳定性,在30~700 ℃范围内对其进行了热重分析测试。如图S8所示,化合物1在100 ℃之前有7%的失重,对应游离水分子的失去;在100~360 ℃的范围内无失重;温度上升到480 ℃后配体开始分解,框架结构逐步坍塌;在480 ℃后重量不再发生变化。

    为了研究化合物1的光物理性能,进一步测试了其固体紫外可见吸收光谱和光致发光光谱。如图 2a所示,化合物1在300~450 nm之间存在较强的吸收,这来源于配体H3NTB分子的nπ*跃迁。图S10为室温条件下配体H3NTB的荧光光谱。在392 nm激发波长下,H3NTB固态样品的荧光发射最强峰位于430 nm,该处的荧光寿命为1.39 ns。与配体H3NTB不同,化合物1在417 nm的激发波长下,在575 nm处发射亮黄色荧光,并具有较宽的半峰宽139 nm(图 2b)。与配体H3NTB的荧光发射峰相比,化合物1的发射峰发生了明显红移(145 nm)。CIE-1931色坐标图(图 2c)显示化合物1的色坐标为(0.465,0.501)。对其发光衰减曲线(图 2d)进行拟合可知其具有较长的发光寿命(16.01 ns),且曲线呈单指数衰减。结合上述关于化合物1的光物理性质的研究可知,显著的发光红移、较宽的半峰宽、长发光寿命及单指数发光衰减曲线表明激发态的化合物1发生了电荷转移[28]

    图 2

    图 2.  化合物1的光物理性能: (a) 在室温条件下的紫外可见吸收光谱; (b) 归一化荧光激发和发射光谱; (c) 光致发光对应的CIE-1931色坐标图; (d) 发光衰减曲线
    Figure 2.  Photophysical properties of compound 1 (a) UV-Vis absorption spectrum in solid state measured at room temperature; (b) Normalized excitation and emission spectra; (c) CIE-1931 chromaticity diagram showing the photoluminescence emission; (d) Photoluminescence decay curve

    Inset: the photo of the powder sample of 1 under UV light.

    为了明确激发态化合物1的电荷转移路径,利用Material Studio软件包的DMol3模块对其三维周期性结构做了理论计算。由能带结构图可知化合物1的带隙为2.230 eV(图 3a),最高占据分子轨道(highest occupied molecular orbital,HOMO)和最低未占据分子轨道(lowest unoccupied molecular orbital,LUMO)图(图 3b3c)显示HOMO主要分布在NTB3-电子给体上,而LUMO则主要分布在bipy电子受体上。计算得到HOMO、LUMO能级分别为-4.948、-2.795 eV,对应的能级差为2.153 eV,与其最大荧光发射峰对应的能级(2.157 eV)接近。上述理论计算表明化合物1的电荷转移路径为框架内NTB3-到bipy的分子间电荷转移。

    图 3

    图 3.  化合物1的能带结构(a)、HOMO图(b)和LUMO图(c)
    Figure 3.  Band structure (a), HOMO diagram (b), and LUMO diagram (c) of compound 1

    高热稳定性和低热猝灭效率是固态照明中发光材料实际应用的关键衡量标准。我们测量了不同温度下化合物1的温度依赖光致发光光谱。如图 4a~4c所示,其在365 nm激发下出现575 nm的发射峰。在25~170 ℃范围内,随着温度的升高,发光强度衰减并不明显。一般用150 ℃下的发光强度相对于室温(25 ℃)下的发光强度的比值作为猝灭效率来衡量发光材料的热稳定性。对于化合物1,150 ℃时的热猝灭效率仅为7.95%,低于部分已报道的硅酸(11.6%[29],41%[30])、硼酸(50%)[31]、钨酸(28%)[32]基荧光粉和部分商业化的无机荧光粉(LSN∶Ce3+和SCASN∶Eu2+)[8],表明其具有很强的抗热猝灭性能。为了更好地理解光致发光强度和温度之间的关系,通过Arrhenius方程:I0/IT=1+Aexp[-Ea/(kT)],计算了化合物1的发光热猝灭的活化能(Ea),其中I0IT分别为化合物1在室温和温度T(K)时的发光强度,A为常数,k是Boltzmann常数(8.629×10-5 eV·K-1)。根据上式,利用ln[(I0/IT)-1]对1/(kT)作图(图 4d)[33],分2段进行拟合,得出在高温段(130~170 ℃)、低温段(25~110 ℃)的斜率分别为-0.21和-0.09,对应的活化能分别为0.21和0.09 eV,表明化合物1在高温区有较高的稳定性。

    高热稳定性和低热猝灭效率是固态照明中发光材料实际应用的关键衡量标准。我们测量了不同温度下化合物1的温度依赖光致发光光谱。如图 4a~4c所示,其在365 nm激发下出现575 nm的发射峰。在25~170 ℃范围内,随着温度的升高,发光强度衰减并不明显。一般用150 ℃下的发光强度相对于室温(25 ℃)下的发光强度的比值作为猝灭效率来衡量发光材料的热稳定性。对于化合物1,150 ℃时的热猝灭效率仅为7.95%,低于部分已报道的硅酸(11.6%[29],41%[30])、硼酸(50%)[31]、钨酸(28%)[32]基荧光粉和部分商业化的无机荧光粉(LSN∶Ce3+和SCASN∶Eu2+)[8],表明其具有很强的抗热猝灭性能。为了更好地理解光致发光强度和温度之间的关系,通过Arrhenius方程:I0/IT=1+Aexp[-Ea/(kT)],计算了化合物1的发光热猝灭的活化能(Ea),其中I0IT分别为化合物1在室温和温度T(K)时的发光强度,A为常数,k是Boltzmann常数(8.629×10-5 eV·K-1)。根据上式,利用ln[(I0/IT)-1]对1/(kT)作图(图 4d)[33],分2段进行拟合,得出在高温段(130~170 ℃)、低温段(25~110 ℃)的斜率分别为-0.21和-0.09,对应的活化能分别为0.21和0.09 eV,表明化合物1在高温区有较高的稳定性。

    图 4

    图 4.  化合物1的温度依赖光致发光: 在25~170 ℃之间的荧光光谱(a); 温度与最大发光强度的关系图(b); 不同温度相对于室温下发光强度的热猝灭效率(c); ln[(I0/IT)-1] vs 1/(kT)曲线(d)
    Figure 4.  Temperature-dependent photoluminescence of compound 1: Photoluminescence spectra from 25-170 ℃ (a); Relationship between the temperature and maximum intensity (b); Thermal quenching efficiencies with respect to that at room temperature measured (c); ln[(I0/IT)-1] vs 1/(kT) curves (d)

    基于化合物1良好的光学和抗热猝灭性能,进一步研究了其在固态照明领域的应用。以环氧树脂为黏结剂,将化合物1的荧光粉填涂于波长为365 nm的LED芯片上,100 ℃恒温烘干2 h后进行测试。对所制备的LED灯施加不同大小的电流,同时用荧光光谱仪测试相应的发射光谱。图 5a为所制备的黄光PC-LED器件在15~85 mA驱动电流下的发射光谱。可以观察到,黄光PC-LED器件的发射强度随着驱动电流的增加而逐渐增大,且最大发射强度与驱动电流之间存在良好的线性关系,可以表示为y=720.78x-1 589.08的函数,相关系数R2=0.988(图 5b)。另外,由图 5c可以看到所制备的LED器件在15~85 mA驱动电流下,发光程度也逐渐变亮。上述测试表明所合成的MOF荧光粉在固态照明领域具有潜在的应用价值。

    图 5

    图 5.  化合物1的LED应用: (a) 不同驱动电流下黄光PC-LED器件的发射光谱; (b) PC-LED器件的最大发射强度与驱动电流之间的关系; (c) PC-LED器件在不同驱动电流下的发光照片
    Figure 5.  Application of compound 1 in LED: (a) photoluminescence spectra of yellow PC-LED device under various drive currents; (b) relationship between the maximum emission intense and drive currents of the PC-LED device; (c) luminescence photographs of the PC-LED device under various drive currents

    综上所述,以三齿柔性三苯胺类配体4,4′,4″-三甲酸三苯胺(H3NTB)作为电子给体、4,4′-联吡啶(bipy)为电子受体,与锌(Ⅱ)盐在溶剂热条件下得到了一例具有电荷转移特性和三维多轮烷结构的MOF荧光粉[Zn3(NTB)2(bipy)]·4H2O (1)。相对于单一的H3NTB配体(固态),化合物1的最大发射峰发生了145 nm的红移,光致发光寿命延长了10.5倍。理论计算和实验结果表明,该MOF中的三核锌簇将NTB3-配体固定在二维双层结构内,可以有效抑制NTB3-中发色团分子的热运动。纠缠结构有利于形成刚性致密堆积,促进NTB3-发色团的聚集诱导发光效应。另外,电子受体bipy从双层NTB3-电子给体与三核锌簇形成的环中穿过,促进了NTB3-到bipy的分子间的电荷转移。这些结构特点使得该MOF同时具有高的发光效率和抗热猝灭性能。PC-LED器件的成功制备使该MOF荧光粉在固态照明领域具有潜在的应用价值。

    Supporting information is available at http://www.wjhxxb.cn


    1. [1]

      TONZANI S. Lighting technology: Time to change the bulb[J]. Nature, 2009, 459(7245): 312-314

    2. [2]

      PARAYIL R T, GUPTA S K, MODAK B, ABRAHAM M, PATRA G D, JABRI S A, DAS S, MOHAPATRA M. Broadband MgGa2O4∶Cr3+ spinel with high luminescence thermal stability for near-infrared phosphor-converted light-emitting diodes[J]. ACS Appl. Opt. Mater., 2025, 3(3): 798-808

    3. [3]

      HUA M F, LIU S F, ZHOU L, BÜNZLI J C, WU M. Phosphor-converted light-emitting diodes in the marine environment: Current status and future trends[J]. Chem. Sci., 2025, 16(5): 2089-2104

    4. [4]

      YANG X G, CHEN Y J, YIN P P, LI Y, YANG S Y, LI Y M, MA L F. Low thermal quenching of metal halide-based metal-organic framework phosphor for light emitting diodes[J]. Chem. Sci., 2024, 15(35): 14202-14208 doi: 10.1039/D4SC04228J

    5. [5]

      ZHAO M, CAO K, LIU M J, ZHANG J, CHEN R, ZHANG Q Y, XIA Z G. Dual-shelled RbLi(Li3SiO4)2: Eu2+@Al2O3@ODTMS phosphor as a stable green emitter for high-power LED backlights[J]. Angew. Chem. ‒Int. Edit., 2020, 59(31): 12938-12943

    6. [6]

      HU R, LUO X B, ZHENG H, QIN Z, GAN Z Q, WU B L, LIU S. Design of a novel freeform lens for LED uniform illumination and conformal phosphor coating[J]. Opt. Express, 2012, 20(13): 13727-13737

    7. [7]

      TIAN J H, ZHUANG W D. Thermal stability of nitride phosphors for light-emitting diodes[J]. Inorg. Chem. Front., 2021, 8(22): 4933-4954

    8. [8]

      CHEN L, LIN C C, YEH C W, LIU R S. Light converting inorganic phosphors for white light-emitting diodes[J]. Materials, 2010, 3(3): 2172-2195

    9. [9]

      KIM Y H, ARUNKUMAR P, KIM B Y, UNITHRATTIL S, KIM E, MOON S H, HYUN J Y, KIM K H, LEE D, LEE J S, IM W B. A zero-thermal-quenching phosphor[J]. Nat. Mater., 2017, 16: 543-550

    10. [10]

      MA Q C, GUO N, XIN Y M, SHAO B Q. Preparation of zero-thermal-quenching tunable emission bismuth-containing phosphors through the topochemical design of ligand configuration[J]. Inorg. Chem. Front., 2021, 8(17): 4072-4085

    11. [11]

      LENG Z H, ZHANG D, BAI H, HE H B, QING Q, ZHAO J, TANG Z B. A zero-thermal-quenching perovskite-like phosphor with an ultra-narrow-band blue-emission for wide color gamut backlight display applications[J]. J. Mater. Chem. C, 2021, 9(38): 13722-13732

    12. [12]

      YANG X G, ZHANG J R, TIAN X K, QIN J H, ZHANG X Y, MA L F. Enhanced activity of enzyme immobilized on hydrophobic ZIF-8 modified by Ni2+ ions[J]. Angew. Chem. ‒Int. Edit., 2023, 62(7): e202216699

    13. [13]

      WEI X H, CHUN F, CAO Y X, ZHANG X, CHEN J K, XING Z F, FANG Y Z, WANG F. Reversible thermo/hydrochromic luminescence in a Ln-MOF film for anticounterfeiting application[J]. ACS Appl. Opt. Mater., 2025, 3(3): 772-778

    14. [14]

      GENG K S, SUN Y, ZHAO Y P, SHAO Z C, WEI Y, HUANG J, CUI Y, XU X Y, HOU H W. Giant enhancement of optical nonlinearity by manipulating guest molecular stacking modes in metal-organic frameworks[J]. J. Am. Chem. Soc., 2025, 147(11): 9844-9857

    15. [15]

      ZHANG Y A, TIAN Y Y, XU N, CUI P Y, GUO L Y, MA J C, KANG Y F, QIN L, WU F, ZHANG L, HUANG W H. In situ mechanical foaming of hierarchical porous MoC for assembling ultra-light, self-cleaning, heat-insulation, flame-retardant, and infrared-stealth device[J]. Adv. Funct. Mater., 2024, 35(6): 2414910

    16. [16]

      HU J, LAO H X, XU X W, WANG W K, WANG L L, LIU Q Q. In situ meso-tetra (4-carboxyphenyl) porphyrin ligand substitution in Hf-MOF for enhanced catalytic activity and stability in photoredox reactions[J]. Rare Met., 2024, 43: 2682-2694

    17. [17]

      LIU Z Q, GAO Q, SHEN W, XU M F, LI Y X, HOU W L, SHI H W, YUAN Y Z, ADAMS E, LEE H K, TANG S. Removal and fluorescence detection of antibiotics from wastewater by layered double oxides/metal-organic frameworks with different topological configurations[J]. Chin. Chem. Lett., 2024, 35(8): 109338

    18. [18]

      ZHANG Y A, CHEN J L, RAZQ F, SU C Y, HOU X H, HUANG W H, ZHANG H G. Polyoxometalate-incorporated host-guest framework derived layered double hydroxide composites for high-performance hybrid supercapacitor[J]. Chin. J. Chem., 2023, 41(1): 75-82 doi: 10.1002/cjoc.202200463

    19. [19]

      XIA Y P, WANG C X, YU M H, BU X H. A unique 3D microporous MOF constructed by cross-linking 1D coordination polymer chains for effectively selective separation of CO2/CH4 and C2H2/CH4[J]. Chin. Chem. Lett., 2021, 32(3): 1153-1156 doi: 10.1016/j.cclet.2020.09.014

    20. [20]

      XIAO X P, LI S J, ZUO L Y, LI R, LI Z W, LIU L J, FAN H T, LI B. Twin S-scheme heterojunction ZnO/UiO-66-NH2@ZnIn2S4 rhombic octahedra for efficient photocatalytic H2 evolution[J]. Adv. Funt. Mater., 2025, 35(31): 2418778 doi: 10.1002/adfm.202418778

    21. [21]

      KARMAKAR A, LI J. Luminescent MOFs (LMOFs): Recent advancement towards a greener WLED technology[J]. Chem. Commun., 2022, 58(77): 10768-10788 doi: 10.1039/D2CC03330E

    22. [22]

      SHELDRICK G M. SADABS, A program for empirical absorption correction of area detector data[CP]. University of Göttingen, Germany, 2008.

    23. [23]

      SHELDRICK G M. SHELXS-2014/7, Program for crystal structure solution[CP]. University of Göttingen, Germany, 2014.

    24. [24]

      SHELDRICK G M. A short history of SHELX[J]. Acta Crystallogr. Sect. A, 2008, A64: 112-122

    25. [25]

      DELLEY B. An all-electron numerical method for solving the local density functional for polyatomic molecules[J]. J. Chem. Phys., 1990, 92(1): 508-517 doi: 10.1063/1.458452

    26. [26]

      DELLEY B. From molecules to solids with the DMol3 approach[J]. J. Chem. Phys., 2000, 113(18): 7756-7764 doi: 10.1063/1.1316015

    27. [27]

      LEE S J, DOUSSOT C, BAUX A, LIU L, JAMESON G B, RICHARDSON C, PAK J J, TROUSSELET, COUDERT F X, TELFER S G. Multicomponent metal-organic frameworks as defect-tolerant materials[J]. Chem. Mater., 2016, 28(1): 368-375 doi: 10.1021/acs.chemmater.5b04306

    28. [28]

      LEE J, SHIZU K, TANAKA H, NAKANOTANI H, YASUDA T, KAJIC H, ADACHI C. Controlled emission colors and singlet-triplet energy gaps of dihydrophenazine-based thermally activated delayed fluorescence emitters[J]. J. Mater. Chem. C, 2015, 3(10): 2175-2181 doi: 10.1039/C4TC02530J

    29. [29]

      WEN D W, LIU H M, GUO Y, ZENG Q G, WU M M, LIU R S. Disorder-order conversion-induced enhancement of thermal stability of pyroxene near-infrared phosphors for light-emitting diodes[J]. Angew. Chem. ‒Int. Edit., 2022, 61(28): e202204411

    30. [30]

      QIAO J W, ZHOU G J, ZHOU Y Y, ZHANG Q Y, XIA Z G. Divalent europium-doped near-infrared-emitting phosphor for light- emitting diodes[J]. Nat. Commun., 2019, 10: 5267 doi: 10.1038/s41467-019-13293-0

    31. [31]

      FANG M H, HUANG P Y, BAO Z, MAJEWSKA N, LESNIEWSKI T, MAHLIK S, GRINBERG M, LENIEC G, KACZMAREK S M, YANG C W, LU K M, SHEU H S, LIU R S. Penetrating biological tissue using light-emitting diodes with a highly efficient near-infrared ScBO3: Cr3+ phosphor[J]. Chem. Mater., 2020, 32(5): 2166-2171

    32. [32]

      WU S, XIONG P X, LIU Q, XIAO Y, SUN Y S, SONG E H, CHEN Y. Self-activated tungstate phosphor for near-infrared light-emitting diodes[J]. Adv. Opt. Mater., 2022, 10(23): 2201718 doi: 10.1002/adom.202201718

    33. [33]

      CHEN J, LIU Y G, FANG M H, HUANG Z H. Luminescence properties and energy transfer of Eu/Mn-coactivated Mg2Al4Si5O18 as a potential phosphor for white-light LEDs[J]. Inorg. Chem., 2014, 53(21): 11396-11403 doi: 10.1021/ic501057r

  • 图 1  (a) 有机配体H3NTB和bipy的结构式; (b) 化合物1中三种Zn(Ⅱ)的配位环境; (c) 沿c轴方向观察到的二维双层结构; (d) 沿b轴方向观察到的三维结构; (e) (3, 8)-连接拓扑结构; (f) 二重穿插网络结构和(g) 拓扑网络; (h) bipy穿过[(NTB)6(Zn3)3]六元环的示意图; (i) 三维多轮烷结构

    Figure 1  (a) Structural formulas of H3NTB and bipy; (b) Coordination environment of three Zn(Ⅱ) ion in compound 1; (c) View of 2D double-layer structure along the c-axis; (d) View of 3D structure along the b-axis; (e) (3, 8)-connected topology network; (f) Two-fold interpenetrated network and (g) topological structure; (h) View of the [(NTB)6(Zn3)3] loop threaded by one bipy rod; (i) 3D polyrotaxane structure

    Symmetry codes: -1+x, y, z; -1+x, 1+y, z; -2+x, y, 1+z; x, 1+y, z; 1+x, y, z.

    图 2  化合物1的光物理性能: (a) 在室温条件下的紫外可见吸收光谱; (b) 归一化荧光激发和发射光谱; (c) 光致发光对应的CIE-1931色坐标图; (d) 发光衰减曲线

    Figure 2  Photophysical properties of compound 1 (a) UV-Vis absorption spectrum in solid state measured at room temperature; (b) Normalized excitation and emission spectra; (c) CIE-1931 chromaticity diagram showing the photoluminescence emission; (d) Photoluminescence decay curve

    Inset: the photo of the powder sample of 1 under UV light.

    图 3  化合物1的能带结构(a)、HOMO图(b)和LUMO图(c)

    Figure 3  Band structure (a), HOMO diagram (b), and LUMO diagram (c) of compound 1

    图 4  化合物1的温度依赖光致发光: 在25~170 ℃之间的荧光光谱(a); 温度与最大发光强度的关系图(b); 不同温度相对于室温下发光强度的热猝灭效率(c); ln[(I0/IT)-1] vs 1/(kT)曲线(d)

    Figure 4  Temperature-dependent photoluminescence of compound 1: Photoluminescence spectra from 25-170 ℃ (a); Relationship between the temperature and maximum intensity (b); Thermal quenching efficiencies with respect to that at room temperature measured (c); ln[(I0/IT)-1] vs 1/(kT) curves (d)

    图 5  化合物1的LED应用: (a) 不同驱动电流下黄光PC-LED器件的发射光谱; (b) PC-LED器件的最大发射强度与驱动电流之间的关系; (c) PC-LED器件在不同驱动电流下的发光照片

    Figure 5  Application of compound 1 in LED: (a) photoluminescence spectra of yellow PC-LED device under various drive currents; (b) relationship between the maximum emission intense and drive currents of the PC-LED device; (c) luminescence photographs of the PC-LED device under various drive currents

    表 1  化合物1的晶体学数据

    Table 1.  Crystallographic data of complex 1

    Parameter 1 Parameter 1
    Empirical formula C52H40N4O16Zn3 γ / (°) 64.835(11)
    Formula weight 1 172.99 V / nm3 3.048 7(6)
    Temperature / K 293(2) Z 2
    Crystal system Triclinic Dc / (g·cm-3) 1.239
    Space group P1 μ / mm-1 1.233
    a / nm 1.374 87(15) Reflection collected, unique 24 436, 13 990
    b / nm 1.376 65(15) Rint 0.074 4
    c / nm 1.795 50(18) GOF 1.018
    α / (°) 86.994(9) R1, wR2 [I≥2σ(I)] 0.097 2, 0.275 4
    β / (°) 82.384(9) R1, wR2 (all data) 0.197 5, 0.353 2
    下载: 导出CSV
  • 加载中
计量
  • PDF下载量:  10
  • 文章访问数:  1146
  • HTML全文浏览量:  125
文章相关
  • 发布日期:  2025-10-10
  • 收稿日期:  2025-05-20
  • 修回日期:  2025-09-09
通讯作者: 陈斌, bchen63@163.com
  • 1. 

    沈阳化工大学材料科学与工程学院 沈阳 110142

  1. 本站搜索
  2. 百度学术搜索
  3. 万方数据库搜索
  4. CNKI搜索

/

返回文章