Citation: Ao XIA, Botao YU, Jun CHEN, Guoqiang TAN. Preparation and electrochemical property of Ce-doped MnO2[J]. Chinese Journal of Inorganic Chemistry, 2025, 41(12): 2514-2526. doi: 10.11862/CJIC.20250163
Ce掺杂MnO2的制备及电化学性能
English
Preparation and electrochemical property of Ce-doped MnO2
-
Key words:
- supercapacitor
- / MnO2
- / Ce ions
- / doping
- / electrode material
-
0. 引言
超级电容器因具有功率高、充放电快、工作温度范围广,以及循环寿命长(超过105次循环)等优点[1-2],成为近些年来的研究热点之一。然而,超级电容器的能量密度较低是限制其进一步投入使用的关键问题[3]。根据电容器的能量密度计算公式(E=
CV2)可知,电容器的能量密度(E)主要取决于器件自身的容量(C),以及电容器的工作电压(V)。因此,可以通过改性或者设计新的材料提高电容器的电容性能,进而提升其能量密度。常见的电极材料主要包括碳材料[4]、导电聚合物[5]和过渡金属氧化物[6]等。过渡金属氧化物是一类典型的高电容型赝电容电极材料,主要包括二氧化钌(RuO2)[7]、二氧化锰(MnO2)[8]和氧化镍(NiO)[9]等。相比于其他过渡金属氧化物,MnO2具有理论比电容高(1 370 F·g-1)、无毒害、储量丰富和成本低等优点,被认为是极具前景的电极材料。但在实际应用中,由于MnO2的电导率(10-5~10-6 S·cm-1)较低,电极固有内阻大,电荷转移受到较强阻碍,导致高电流密度下的实际电压窗口明显变窄,从而严重影响电极的比电容和倍率性能[10-11]。针对以上问题,目前主要的改性手段有纳米结构设计[12]、导电材料复合[13]和离子掺杂[14]等。其中,离子掺杂是在价带与导带之间引入杂质能级,为电子从价带跃迁到导带提供“中转站”,从而提高材料的导电性并改善电化学性能。例如,Yao等[15]制备的Ni掺杂MnO2电极材料在1 A·g-1下的比电容为379 F·g-1,是纯相MnO2的1.8倍。其在20 A·g-1时仍具有281 F·g-1的比电容,容量保持率为74.4%,远高于纯相(63.4%)。Poonguzhali等[16]通过Fe掺杂将MnO2电极在10 A·g-1下的比电容从145 F·g-1提高至1 084 F·g-1。$ \frac{1}{2} $ 目前大量的研究主要集中在过渡金属阳离子掺杂改性方面[17-19],而有关稀土离子掺杂MnO2电极材料的报道相对较少。本课题组曾采用一步水热法合成了Sm3+离子掺杂MnO2电极材料,掺杂后的样品在1 A·g-1下的比电容增至207 F·g-1,在10 A·g-1下循环10 000次的容量保持率可达85%[20]。Liang等[21]通过共沉淀法合成了具有丰富氧空位的Eu掺杂MnO2(Eu-MnO2),其在1 A·g-1时的比电容为361.2 F·g-1,10 A·g-1下循环10 000次后容量保持率为100%,优于MnO2纳米片(198 F·g-1,82.8%)。Ce是储量最丰富的一类稀土元素,其离子半径(Ce3+:0.102 nm,Ce4+:0.098 nm)[22]远大于Mn离子(Mn3+:0.065 nm,Mn4+:0.053 nm)[23]。Ce作为掺杂离子进入MnO2晶格会使晶格发生明显的畸变,导致晶面间距扩大,从而有效提升离子扩散速率[24]。Ce离子在电化学过程中会发生Ce3+⇌Ce4+的可逆价态转变[25],从而赋予电极材料额外的氧化还原活性位点,进而显著提升比电容,这也是其他常见稀土元素(如La3+、Nd3+、Sm3+、Y3+等,价态通常仅稳定在+3价)所不具备的关键特性。光催化领域的研究发现,Ce离子掺杂可有效提高光催化材料的氧空位浓度,从而增强材料的光催化效果[26]。对于电极材料来说,高的氧空位浓度有利于增强电子电导率,减小极化,使电极在高电流密度下仍展现出高比电容。Patel等[27]在泡沫镍表面原位合成了Ce离子掺杂MnO2电极材料(MnCe-1.0),其在5 mV·s-1下的比电容为137.4 F·g-1,50 mV·s-1下循环3 200次后的容量保持率为91.54%。可见,Ce离子掺杂不仅提高了MnO2的比电容,而且提升了其循环稳定性。Song等[28]发现Ce离子掺杂能起到锚定作用从而稳定MnO2的晶格结构,但并未阐述相关机理。
总体而言,尽管研究人员已经发现Ce掺杂对过渡金属氧化物的改性有积极作用,但是相关机制尚无深入研究。因此,我们采用一步水热法合成了不同浓度的Ce离子掺杂MnO2电极材料,研究了Ce离子掺杂对电极材料的微观形貌、晶体结构、电子结构以及电容器性能的影响规律,并深入分析了Ce离子掺杂改性的机理。
1. 实验部分
1.1 实验原料
高锰酸钾(KMnO4)、N-甲基吡咯烷酮(C5H9NO)、一水合硫酸锰(MnSO4·H2O)、六水合硝酸铈(Ce(NO3)3·6H2O)、无水乙醇(C2H5OH)均购自国药集团化学试剂。六水合硝酸铈(Ce(NO3)3·6H2O)购自上海山浦化工有限公司。泡沫镍购自云纵城科技有限公司。
1.2 实验方法
1.2.1 样品的制备
通过水热法制备了不同Ce掺杂浓度的MnO2。在40 mL去离子水中依次加入0.19 g KMnO4、0.034 g MnSO4·H2O和一定质量的Ce(NO3)3·6H2O,然后在常温下磁力搅拌30 min,使原料完全溶解并混合均匀。接着将溶液转移到50 mL聚四氟乙烯内衬的高压反应釜中(装填体积为80%),于160 ℃下保温16 h,待反应结束后,自然冷却至室温。将水热产物用去离子水和无水乙醇交替离心洗涤各3次,最后在70 ℃下干燥12 h,得到Ce掺杂MnO2。根据原料中Ce引入量与MnO2的理论生成量的物质的量之比(0%、3%、6%、9%),将样品分别命名为C0M、C3M、C6M和C9M。
1.2.2 样品的表征
采用X射线衍射仪(XRD,D/MAX2200PC,日本理学株式会社)对样品进行物相分析,以Cu Kα为辐射源(λ=0.154 06 nm),管电压为40 kV,管电流为100 mA,扫描角度范围为5°~80°;利用场发射扫描电子显微镜(SEM,SU8100,日本HITACHI公司)观测样品的微观形貌;利用ASAP2460型比表面分析仪(美国麦克仪器公司)测试样品的BET(Brunauer- Emmett-Teller)比表面积以及孔径分布;采用FEI Tecnai G2 F20 S-TWIN型高分辨透射电子显微镜(TEM,美国FEI公司,工作电压为200 kV)表征样品的微观形貌及晶格结构;借助X射线光电子能谱仪(XPS,Thermo Scientific K-Alpha)对样品进行组成及价态分析,以Al Kα(1 486.6 eV)为激发源,以C1s的电子结合能(284.8 eV)为标准进行误差校正。
1.2.3 电极的制备
按照7∶2∶1的质量比称取活性物质、导电炭黑、聚偏二氟乙烯(PVDF),置于研钵中充分研磨、混合均匀后滴加适量分散剂N-甲基吡咯烷酮(NMP),再次充分研磨直至得到具有一定黏度的浆料。把浆料均匀涂覆在1 cm×2 cm的泡沫镍上,涂抹面积为1 cm×1 cm。将泡沫镍放入真空干燥箱中,于70 ℃下干燥12 h得到电极片。称量电极片的质量并计算得到活性物质的面积负载量(1.20 mg·cm-2)。
1.2.4 电化学性能测试
采用三电极测试体系,以合成的样品电极作为工作电极,Ag/AgCl作为参比电极,Pt作为对电极,1 mol·L-1 Na2SO4溶液作为电解液,在CHI660E电化学工作站(上海辰华仪器有限公司)上对电极进行循环伏安法(CV)、恒电流充放电法(GCD)和电化学阻抗谱(EIS)测试。以上性能测试所采用的电压窗口均为0~1 V,比电容(Cs,F·g-1)按下式计算:
$ C_{\mathrm{s}}=i \Delta t /(m \Delta V) $ (1) 式中,i(A)为放电过程的电流,Δt(s)为放电时间,m(g)为电极上活性物质的质量,ΔV(V)为电压窗口。
以C6M为正极,活性炭(AC)为负极,1 mol·L-1 Na2SO4溶液为电解质,Whatman玻璃纤维滤纸为隔膜,泡沫镍为集流体,CR2032型电池壳作为外壳组装了不对称超级电容器C6M||AC,正负极面积均为1 cm×1 cm。通过电化学工作站(上海辰华,CHI660E)测试了该电容器的GCD曲线(0~1.4 V,1~10 A·g⁻¹)、CV曲线(0~1.4 V,5~200 mV·s⁻¹)和EIS(0.001~100 000 Hz,振幅为5 mV)。
2. 结果与讨论
2.1 组成和结构分析
图 1a为不同样品的XRD图。各样品的衍射峰均与δ-MnO2标准卡片(PDF No.80-1098)对应,并且2θ=12.5°、25.1°和36.3°处的3个衍射峰分别对应(001)、(002)和(110)晶面。不同掺杂浓度样品的衍射图中均没有出现其他杂质峰或任何含有Ce的特征峰,说明Ce离子可能进入了MnO2的晶格。
图 1
图 1. (a) 所有样品的XRD图; C0M、C6M、C9M的(b) XPS全谱图及(c) Ce3d、(d) K2p、(e) Mn2p和(f) O1s XPS谱图; (g) Ce离子掺杂前后δ-MnO2的晶格结构示意图Figure 1. (a) XRD patterns of all samples; (b) XPS survey spectra, (c) Ce3d, (d) K2p, (e) Mn2p, and (f) O1s XPS spectra of C0M, C6M, and C9M; (g) Schematic diagram of lattice structure of δ-MnO2 before and after Ce ion doping为了进一步了解产物的表面化学状态,对样品进行了XPS测试。图 1b展示了C0M、C6M和C9M的XPS全谱图,由图可知,所有样品中均含有Mn、O、K和C元素,其中C来源于测试环境。图 1c显示了掺杂前后样品中Ce3d XPS谱图,可以看出,C6M与C9M出现了明显的Ce3d峰,其中u′和v′对应Ce3+,u、u″、u‴、v、v″和v‴峰对应Ce4+ [29],这说明Ce以2种价态存在于掺杂样品中。图 1d中的K2p谱图可拟合为292.6和295.5 eV处的2个峰,表明样品中存在K+离子。图 1e中的Mn2p谱图分裂为Mn2p3/2和Mn2p1/2峰,其中642.2和652.8 eV对应Mn3+离子,643.4和654.5 eV对应Mn4+离子[30]。图 1f为O1s XPS谱图,其中529.9 eV对应Mn—O—Mn(O1),531.3 eV对应Mn—O—H(O2),533.2 eV对应H—O—H(O3)。O1峰归属于晶格氧,O2峰归属于表面吸附氧的存在,O3峰归属于表面的吸附水[31]。通过XPS拟合可以得到C0M、C6M和C9M中的元素状态,如表 1所示。随着Ce掺杂浓度的增加,Mn3+/Mn4+原子比提升,而O1/O2和K/Mn原子比逐渐减小。根据相关离子半径关系和上述XRD结果,可推测Ce离子进入了δ-MnO2晶格结构的八面体层间并取代了一部分与之半径相近的K+离子(半径:0.138 nm)。Ce离子与Mn离子半径相差较大,如果替代则会引起明显的晶格畸变,相应的XRD峰会偏移,然而这种情况并未在图 1a中出现,所以Ce离子没有进入[MnO6]八面体中替代Mn离子。Ce离子替代部分K+离子,使得K/Mn原子比减小,为了平衡价态,一部分Mn4+转变为Mn3+,导致Mn3+/Mn4+原子比增大。Mn4+向Mn3+转变伴随着电子转移,一部分电子由晶格中部分氧离子的外层向Mn4+转移,另一部分电子由部分Ce3+向Mn4+转移。晶格氧离子失去2个电子后,以O2形式溢出晶格,同时氧空位形成,所以O1/O2原子比减小。Ce3+离子失去电子向+4价转变,因此,尽管前驱物中Ce离子为+3价,而在产物中Ce离子为混合价态。由表 1可知,样品C6M中的Ce3+/Ce4+原子比大于C9M,说明掺杂浓度越高,Ce3+离子被氧化的程度越大。高的Ce3+/Ce4+原子比意味着更多的电化学活性位点,更有利于氧化还原反应的进行,使得电极材料能够在单位体积里存储更多的电荷[32]。Mn3+/Mn4+原子比增大意味着电极材料的氧化还原能力增强,有利于电化学性能的提升[33]。然而Mn3+的比例过高时,会导致姜-泰勒效应的影响占主导地位,材料在充放电过程中结构稳定性降低,电化学循环稳定性和比电容劣化。O1/O2原子比减小意味着氧空位浓度的增大[34],这有利于材料电导率的提升。图 1g为Ce离子掺杂前后δ-MnO2晶格结构的示意图。
表 1
Sample Mn3+/Mn4+ ratio O1/O2 ratio Ce3+/Ce4+ ratio K/Mn ratio Ce/Mn ratio C0M 0.50 7.53 0.38 C6M 0.52 7.23 0.31 0.34 0.001 1 C9M 0.56 6.76 0.26 0.29 0.001 8 2.2 形貌分析
图 2为不同样品的SEM照片。可以看出C0M为由纳米片组装而成的纳米花球,花球的直径约为2 μm。随着Ce离子掺杂浓度的增加,花球结构逐渐模糊,且颗粒尺寸减小。这是因为前驱液中引入Ce离子后,MnO2晶体成核的位点增多,在前驱液浓度等条件不变的情况下晶体生长尺寸减小。根据能谱(EDS)面扫图及相应谱图(图 3)可知,C6M中含有Mn、O、K和Ce元素,Ce元素的均匀分布进一步证明其成功掺入MnO2的晶格中。TEM照片进一步揭示了C0M和C6M的微观形貌。由图 4a和4c可以看出,C0M和C6M均由纳米片组装而成,纳米片透明且有褶皱,C6M的颗粒直径约为300 nm。高倍透射电镜(HRTEM)照片(图 4b、4d)显示C0M和C6M的(001)晶面间距一致,约为0.7 nm。这说明Ce离子掺杂没有引起明显的晶格尺寸变化,也间接说明Ce离子没有置换与其半径相差很大的Mn4+或Mn3+离子。图 5为所有样品的氮气吸附-脱附等温线,根据国际纯粹与应用化学联合会(IUPAC)规则,所有曲线均为Ⅳ型等温线,且为H4型滞后环,这说明样品中存在介孔结构,介孔的存在可以促进电解质离子的快速转移和电子的高效传输。由图 5插图可知,C0M和C3M的孔径主要分布在8~15 nm,C6M和C9M的孔径增大至15~25 nm之间,此外,样品中也存在一些尺寸仅为2 nm左右的孔隙,这说明具有多级孔径结构。相比于纯相δ-MnO2,C6M和C9M的介孔含量明显增加。C0M、C3M、C6M和C9M的比表面积分别为44、53、115和145 m2·g-1。掺杂样品的比表面积均高于C0M,并且随着Ce离子掺杂浓度的提升,样品的比表面积逐渐增大,这是由于Ce离子掺杂影响了MnO2的成核生长及颗粒尺寸。大的比表面积意味着电极材料与电解液的接触更充分,能提供更多的电化学反应活性位点。
图 2
图 3
图 4
图 5
2.3 电化学性能分析
图 6a为不同样品在5 mV·s-1扫描速率下的CV曲线。如图所示,样品的CV曲线呈类矩形且没有明显的氧化还原峰,表明电极具有理想的电容特性和快速的反应动力学过程。由C0M和C6M在不同扫描速率下的CV曲线可以看出,即使在高扫描速率下,C0M和C6M的CV曲线也接近矩形(图 6b、6c),并且曲线的积分面积随着扫描速率的提高而增加,这说明样品具有良好的可逆性和超快的充放电能力。为了进一步探究样品的电荷存储机制,根据C0M和C6M在5~100 mV·s-1扫描速率下的CV曲线进行赝电容贡献分析:
$ i=k_1 v+k_2 v^{1 / 2} $ (2) 图 6
式中,i为CV中某一特定电压时的电流,k1v代表电容控制贡献的电流,k2v1/2代表扩散控制贡献的电流,k1、k2分别为电容控制和扩散控制系数,v为不同的扫描速率。利用式2计算不同扫描速率下电容控制和扩散控制的贡献率,如图 6d和6e所示。在扫描速率为5、10、20、50和100 mV·s-1时,C0M的电容控制贡献率分别为47%、53%、58%、71%和94%,C6M的电容控制贡献率分别为54%、58%、62%、74%和95%,说明C0M和C6M的容量是由电容控制和扩散控制共同贡献,其中电容控制占主导地位。相对于相同扫描速率下C0M的电容贡献率,C6M的电容贡献率更高,因此C6M的电容保持率更高,电极稳定性更好。
图 7a为不同样品在1 A·g-1的电流密度下的GCD曲线,所有曲线均呈类等腰三角形。相比于C0M,掺杂样品的放电时间延长,内部电压降(iR)减小,其中C3M的放电时间最长,电压降最小。电压降减小意味着样品的反应极化减小,反应可逆性增强。在1 A·g-1的电流密度下,C0M、C3M、C6M和C9M的比电容分别为95.29、207.67、192.55和169.58 F·g-1。图 7b~7e为C0M、C3M、C6M和C9M在1~10 A·g-1的电流密度下的GCD曲线,随着电流密度的增加,样品的充放电时间均缩短,比电容降低,这是因为样品在高电流密度下极化更加严重。图 7f对比了所有样品在不同电流密度下的比电容。当电流密度从1 A·g-1增加至10 A·g-1时,C0M、C3M、C6M和C9M的比电容保持率分别为11.3%、58.9%、86.39%和61.3%。此外,在相同电流密度下,C3M、C6M和C9M的比电容明显高于C0M。
图 7
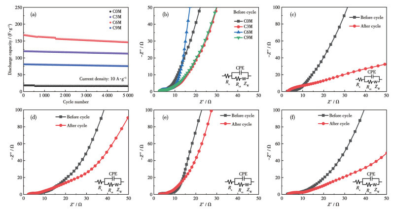
图 8a展示了样品在10 A·g-1下的循环稳定性。可以看出,Ce离子掺杂MnO2样品的放电比电容均明显高于纯相δ-MnO2,且C6M的放电比电容始终保持最高。经过5 000次循环后,C0M、C3M、C6M和C9M的比电容保持率分别为21.3%、72.5%、83.3%和61.9%,Ce离子掺杂后样品的循环稳定性能得到了显著提升。这是因为进入晶格层间的Ce离子形成的Ce—O键的键能(Ce3+—O 798 kJ·mol-1,Ce4+—O 1 050 kJ·mol-1)大于原来的K—O键的键能(251 kJ·mol-1)[35-36],使得δ-MnO2的层与层之间结合更牢固,晶格结构稳定性提高。但是过量的Ce离子掺杂时Mn3+含量显著增大,姜-泰勒效应变得明显,导致稳定性下降。表 2对比了样品C6M与部分文献报道的电极材料的电化学性能对比[37-40]。由表可知,相对于大多数电极,C6M具有较高的比电容和循环稳定性。
图 8
图 8. C0M、C3M、C6M和C9M的(a) 循环性能和(b) Nyquist曲线; (c) C0M、(d) C3M、(e) C6M和(f) C9M循环前后的Nyquist曲线Figure 8. (a) Cycling performances and (b) Nyquist plots of C0M, C3M, C6M, and C9M; Nyquist plots of (c) C0M, (d) C3M, (e) C6M, and (f) C9M before and after cyclingInset: corresponding equivalent circuit diagrams.
表 2
Material Electrolyte Voltage
range / VCurrent density /
(A·g-1)Cycle number Specific capacitance /
(F·g-1)Capacity retention
rate / %Ref. PC-Ni/MnO2 6 mol·L-1 KOH -1-0 1 5 000 100.1 83.6 [37] Eu-MnO2 1 mol·L-1 Li2SO4 0-0.8 10 10 000 229.8 100 [21] NHCSs@MnO2 1 mol·L-1 Na2SO4 -0.2-0.8 10 5 000 179 110.6 [38] Ce-MnO2/rGO 1 mol·L-1 Na2SO4 0-1 1 1 000 111.1 85 [39] Ni-MnO2 6 mol·L-1 KOH -1-0 1 5 000 159.5 83.6 [40] C6M 1 mol·L-1 Na2SO4 0-1 10 5 000 166.3 83.3 This work 图 8b为所有样品的EIS。EIS由高频区的半圆和低频区的直线组成,Rs代表电解质电阻,Rct代表电荷转移电阻,CPE代表恒相位角元件,ZW代表Warbug电阻。在低频段,C6M比其他电极的斜率更陡峭,表明适量的Ce离子掺杂使得MnO2电极具有更理性的电化学双电层电容行为[41],在电极表面具有更高的离子扩散速率和更低的扩散电阻(ZW)。高频段的EIS均呈半圆弧形,经数据拟合得到C0M、C3M、C6M和C9M的Rct分别为1.859、0.018、0.003和0.028 Ω,可见Ce离子可以有效降低MnO2的Rct,提高MnO2的导电性。
图 8c~8f为C0M、C3M、C6M和C9M在10 A·g-1的电流密度下进行5 000次循环前后的EIS,根据等效电路图进行数据模拟得到的循环前后的Rct如表 3所示。由表可见,掺杂样品循环后的Rct都明显低于C0M。C6M循环5 000次前后的Rct分别为0.003和0.016 Ω,均小于其他样品,意味着该样品的导电性能最佳。电极循环前后的Rct差值(ΔRct)反映材料的稳定性,ΔRct越小稳定性越高。掺杂后样品的ΔRct明显降低,其中C6M的ΔRct最小,进一步说明其具有优异的循环稳定性。
表 3
Sample Rct before cycle / Ω Rct after cycle / Ω ΔRct / Ω C0M 1.859 7.240 5.380 C3M 0.018 0.036 0.018 C6M 0.003 0.016 0.013 C9M 0.028 0.047 0.019 综合以上分析可发现,相比于其他样品,C6M具有最高的比电容和循环保持率、最稳定的倍率性能,这归因于其较高的比表面积、稳定的结构和低的电荷转移电阻。尽管C9M的O1/O2原子比低于C6M,意味着其氧空位浓度高于C6M,但是在后续一系列的电化学测试中C9M的电化学性能表现明显差于C6M。其原因是C9M中Mn3+含量最高,由Mn3+产生的姜-泰勒效应导致MnO2在充放电过程中晶体结构稳定性降低[42]。另外,C9M中O1含量最低,引起其晶格网络结构强度大幅降低。这两方面的原因致使C9M无法展现良好的电化学性能。
为了进一步探究C6M的器件性能,我们组装了非对称超级电容器C6M||AC。图 9a显示在5 mV·s-1的扫描速率下,正极C6M在0~1 V以及负极AC在-1.0~0 V范围内的CV曲线。在不同电压窗口内以5 mV·s-1的扫描速率测试该电容器的CV曲线(图 9b),随着电压窗口的增大,CV曲线能够保持其初始形状,这表明C6M||AC在0~1.4 V范围内可以稳定工作。在0~1.4 V电压范围内,随着扫描速率的增加,C6M||AC的CV曲线形状保持良好(图 9c),说明其具有良好的快速充放电性能。C6M||AC超级电容器在不同电流密度下的GCD曲线如图 9d所示,当电流密度从1 A·g-1增加到10 A·g-1,比电容从25.5 F·g-1降低到12.2 F·g-1,容量保持率为47.8% (图 9e)。
图 9
图 9. C6M||AC的电化学性能:(a) AC和C6M在5 mV·s-1时的CV曲线; (b) 不同电位窗口内、5 mV·s-1下的CV曲线; (c) 在不同扫描速率下的CV曲线; (d) GCD曲线; (e) 倍率性能; (f) 与其他器件的Ragone图对比; (g) 在10 A·g-1下的循环性能; (h) EISFigure 9. Electrochemical performance of C6M||AC: (a) CV curves of AC and C6M at 5 mV·s-1; (b) CV curves at different potential windows at 5 mV·s-1; (c) CV curves at various scan rates; (d) GCD curves; (e) rate capacitance; (f) Ragone plots compared with other devices; (g) cycling performance at 10 A·g-1; (h) EISInset: corresponding enlarged spectrum.
根据式3和4可以计算超级电容器C6M||AC的能量密度(E)和功率密度(P):
$ E=\frac{C(\Delta V)^2 \times 1000}{2 \times 3600} $ (3) $ P=\frac{E \times 3600}{\Delta t} $ (4) 其中,C是比电容(F·g-1),ΔV是电压窗口(V),Δt是放电时间(s)。如图 9f所示,与文献[43-45]报道的MnO2电容器器件相比,C6M||AC表现出良好的整体性能,其在715.8 W·kg-1的功率密度下能量密度可以达到6.9 Wh·kg-1。C6M||AC在10 A·g-1下经5 000次循环后的容量保持率为77.2%(图 9g),说明其具有良好的稳定性。通过拟合电容器的EIS测试结果得知该器件的Rct和Rs分别为5.97和4.64 Ω(图 9h)。
以上分析表明适量的Ce掺杂不仅能够增强MnO2的导电性,还可以有效抑制MnO2在充放电循环中的体积膨胀和结构坍塌,从而延长电极的循环寿命。随着人们对智能电子设备性能要求的提高,各类柔性可穿戴电子设备相继出现。柔性超级电容器作为一类便携式能量储存设备也受到了许多研究者的关注。电极材料的稳定性对电容器的寿命和可靠性具有至关重要的影响。Ce掺杂MnO2具有独特的电子结构调控和改善的电化学性能,将其与导电聚合物、碳纳米管或石墨烯等复合,可制备出兼具高比电容和优异柔性的复合电极材料,有望在柔性器件领域展现出广阔的应用前景,推动可穿戴电子和智能服饰等新兴领域的发展。
3. 结论
通过一步水热法制备了Ce离子掺杂MnO2电极材料,研究了Ce离子掺杂浓度对电极材料的微观形貌、晶体结构以及电化学性能的影响。Ce离子掺杂改变了MnO2的形貌,促使了MnO2花球颗粒变小,比表面积增大,从而提供了更多的电化学活性位点。Ce离子掺杂后,MnO2晶体结构中氧空位含量增多,电极材料电导率升高,减小了充放电过程中的电极极化。此外,Ce离子替代层间K+离子使得MnO2的晶格结构更加稳定。最优样品C6M在1、2、3、5、8和10 A·g-1的电流密度下的比电容分别为192.09、181.74、179.15、174.19、168.67和165.95 F·g-1,并且在10 A·g-1的电流密度下循环5 000次后的比电容保持率为83.3%,表明适量Ce离子掺杂能够有效提升MnO2的比电容以及循环稳定性。
-
-
[1]
FENG W H, LIU C L, LIU Z, PANG H. In-situ growth of N-doped graphene-like carbon/MOF nanocomposites for high-performance supercapacitor[J]. Chin. Chem. Lett., 2024, 35(12): 327-331.
-
[2]
LI K X, LI P, SUN Z N, SHI J, HUANG M H, CHEN J W, LIU S, SHI Z C, WANG H L. All-cellulose-based quasi-solid-state supercapacitor with nitrogen and boron dual-doped carbon electrodes exhibiting high energy density and excellent cyclic stability[J]. Green Energy Environ., 2023, 8(4): 1091-1101. doi: 10.1016/j.gee.2022.01.002
-
[3]
MANISH K G, YOGESH K, SHUKLA V K. Hydrothermal synthesis of a layered ZnO@MnO2 nanocomposite for high-performance supercapacitor electrodes[J]. J. Electron. Mater., 2024, 53(4): 2050-2061. doi: 10.1007/s11664-024-10951-y
-
[4]
SAM D M, DARSHINI K S, VERGHEESE T M, MARY N L. Microwave-assisted synthesis of poly(aniline-co-indole)/N-doped carbon dots nanocomposite as electrode materials for supercapacitor applications[J]. J. Mater. Sci., 2024, 60(2): 1-22.
-
[5]
SHEN L, AHN Y, KIM Y, KIM S Y, CHOI S H, KIM T D, LEE D J. Star-shaped PEDOT: PSS conductive polymers with reduced graphene oxide for high performance supercapacitor[J]. Macromol. Res., 2024, 32(8): 767-776. doi: 10.1007/s13233-024-00267-5
-
[6]
LIN T, LIN J C, WEI X Y, LU L L, YIN X F. Hydrothermal synthesis of nano-sized MnO2 supported on attapulgite electrode materials for supercapacitors[J]. Int. J. Hydrog. Energy., 2023, 48(29): 10765-10777. doi: 10.1016/j.ijhydene.2022.12.151
-
[7]
颜修兴, 段云彪, 胡劲, 吴家乐. 基于脉冲电沉积法制备RuO2材料及其超级电容器性能[J]. 电子元件与材料, 2023,42,(6): 640-645. YAN X X, DUAN Y B, HU J, WU J L. Supercapacitors performance of RuO2 materials prepared by pulsed electrodeposition method[J]. Electronic Components and Materials, 2023, 42(6): 640-645.
-
[8]
周欢喜, 曹新建, 魏曼丽, 孔云晨. CNTs/MnO2复合材料的电容性能研究[J]. 浙江化工, 2024,55,(12): 5-10. ZHOU H X, CAO X J, WEI M L, KONG Y C. Study on the capacitive performance of CNTs/MnO2 composite[J]. Zhejiang Chemical Industry, 2024, 55(12): 5-10.
-
[9]
ZHANG H Z, XIE H X, WANG D Q, XU Y, YANG M Z, AI Z Z. BCN-driven interfacial effect: A novel strategy to remarkably enhance the capacitance of Co3O4/NiO for supercapacitor[J]. J. Colloid Interface Sci., 2025, 680: 572-580. doi: 10.1016/j.jcis.2024.11.125
-
[10]
SHAHIDI S, KALAOGLU F, NAJI L, RAHMANIAN A, MONGKHOLRATTANASIT R. MnO2/Ni-Cu-plated polyester fabric as a free-standing electrode in supercapacitor applications[J]. ACS Omega, 2025, 10(7): 7091-7101. doi: 10.1021/acsomega.4c10183
-
[11]
PATOWARY B B, BRAHMA D, MONDAL A. Study of RuO2- and MnO2-based electrode materials and their performance review in conjunction with PANi for supercapacitor applications[J]. Ionics, 2024, 31(1): 67-115.
-
[12]
PREMKUMAR A, SRIDEVI B, MOHAN S K. An in-depth investigation of physico-electro chemical properties of NiCo2S4 nano composites for high-performance supercapacitor applications[J]. J. Appl. Electrochem., 2024, 55(1): 63-77.
-
[13]
FAN H G, ZHANG X, WANG Y C, LANG J W, GAO R J. Highly conductive KNiF3@carbon nanotubes composite materials with cross-linked structure for high performance supercapacitor[J]. J. Power Sources, 2020, 474: 228603. doi: 10.1016/j.jpowsour.2020.228603
-
[14]
TOM E, VELLUVA A, JOSEPH A, THOMAS T, SHA M S, JITHIN P V, THOMAS D. Tailoring the electrochemical properties of ZnS electrodes via cobalt doping for improved supercapacitor application[J]. J. Electron. Mater., 2024, 54(1): 451-461.
-
[15]
YAO S Y, ZHAO R, WANG S Y, ZHOU Y X, LIU R C, HU L Y, ZHANG A Q. Ni-doping induced structure distortion of MnO2 for highly efficient Na+ storage[J]. Chem. Eng. J., 2022, 429: 132521. doi: 10.1016/j.cej.2021.132521
-
[16]
POONGUZHALI R, SHANMUGAM N, GOBI R. Effect of Fe doping on the electrochemical capacitor behavior of MnO2 nanocrystals[J]. J. Power Sources, 2015, 293: 790-798. doi: 10.1016/j.jpowsour.2015.06.021
-
[17]
LIN M X, SHAO F Q, TANG Y, LIN H J, XU Y C, JIAO Y, CHEN J R. Layered Co doped MnO2 with abundant oxygen defects to boost aqueous zinc-ion storage[J]. J. Colloid Interface Sci., 2022, 611: 662-669. doi: 10.1016/j.jcis.2021.12.136
-
[18]
POONGUZHALI R, GOBI R, SHANMUGAM N, SKUMAR A S, VIRUTHAGIRI G, KANNADASAN N. Enhancement in electrochemical behavior of copper doped MnO2 electrode[J]. Mater. Lett., 2015, 157: 116-122. doi: 10.1016/j.matlet.2015.05.086
-
[19]
ASHOKKUMAR K, DHANAPANDIAN S, SUTHAKARAN S, KRISHNAKUMAR N. Synthesis and characterization of Zn doped manganese dioxide nanoparticles for supercapacitor application[J]. Mater. Today: Proc., 2022, 62(2): 425-428.
-
[20]
XIA A, CHEN J, LI J M, YU B T, TAN G Q. Sm-doping and carbon aerogel synergistically improve the electrochemical properties of δ-MnO2 as supercapacitor electrodes[J]. J. Energy Storage, 2025, 113: 115658. doi: 10.1016/j.est.2025.115658
-
[21]
LIANG Y M, ZHU D H, CHAO S X, HU M H, LI D A, ZHOU W Q, XUJ K, DUAN X M, LIU P P. Oxygen-vacancy europium-doped MnO2 ultrathin nanosheets used as asymmetric supercapacitors[J]. J. Energy Storage, 2023, 60: 106673. doi: 10.1016/j.est.2023.106673
-
[22]
LI J G, WANG N, LIU J D, XU W. Influence of rare earth elements (Y, La and Ce) on the mechanical properties and oxidation resistance of nickel-based superalloys: A critical review[J]. J. Mater. Sci. Technol., 2024, 195(28): 9-21.
-
[23]
AFIEFUDIN M, SETIAWAN R A, ROHMAN F, SUENDO V, PRAYOGI A. Impact of Ni on the structure and electrochemical behavior of δ-MnO2 cathodes in zinc ion batteries[J]. Curr. Appl. Phys., 2025, 72: 18-27. doi: 10.1016/j.cap.2025.01.014
-
[24]
XU Y L, WANG S S, REN B B, ZHAO J P, ZHANG L H, DONG X X. Manganese oxide doping carbon aerogels prepared with MnO2 coordinated by N, N-dimethylmethanamide for supercapacitors[J]. J. Colloid Interface Sci., 2019, 537: 486-495. doi: 10.1016/j.jcis.2018.11.023
-
[25]
YU B Z, LU L L, HE Y T, DAI X, WANG Y, WANG T, CHONG S K, LIU L T, LIU Y N, TAN Q. Hierarchical porous CS@Ce-MnO2 as cathode for energy-dense and long-cycling flexible aqueous zinc-ion batteries[J]. J. Colloid Interface Sci., 2024, 654: 56-65. doi: 10.1016/j.jcis.2023.10.009
-
[26]
SHEN H D, BU J, WANG W B, WU C, CAO Y L, ZHANG B L, ZHANG Q Y, ZHANG H P. Insight into Ce doping induced oxygen vacancies over Ce-doped MnO2 catalysts for imine synthesis[J]. Chin. J. Chem., 2020, 38(11): 1353-1359. doi: 10.1002/cjoc.202000155
-
[27]
PATEL R, MISHRA K A, SINGH J, MUKHOPADHYAY I. Effect of Ce doping in MnO2 nanosheet over Ni foam for supercapacitor application[J]. J. Solid State Electrochem., 2024, 28(9): 1-12.
-
[28]
SONG Y Y, LI J M, QIAO R, DAI X, JING W T, SONG J X, CHEN Y Z, GUO S W, SUN J J, TAN Q, LIU Y N. Binder-free flexible zinc-ion batteries: One-step potentiostatic electrodeposition strategy derived Ce doped-MnO2 cathode[J]. Chem. Eng. J., 2022, 431(4): 133387.
-
[29]
DU S S, HU J L, WANG J C, WANG S, HOU J C, LI J Y, SU Y D, CHANG L P, QIN H W, WANG Y Q, BAO W R. Morphology-steered synthesis of Ce-MnO2 catalysts for catalytic oxidation of ethane at low temperature[J]. Fuel, 2023, 350: 128762. doi: 10.1016/j.fuel.2023.128762
-
[30]
GODLAVEETI S K, ALSHGARI R A, MUSHAB M, LI M Q, HE Y. ZnS/MnO2 nanocomposite electrodes: A dual approach for superior supercapacitor and safety open structure lithium-ion battery[J]. J. Mol. Struct., 2025, 1336: 142114. doi: 10.1016/j.molstruc.2025.142114
-
[31]
LIU Q W, ZHANG C J M, LI R D, LI J, ZHENG B Y, SONG S X, CHEN L H, LI T X, MA Y. Oxygen vacancies enhancing hierarchical NiCo2S4@MnO2 electrode for flexible asymmetric supercapacitors[J]. J. Colloid Interface Sci., 2025, 695: 137901. doi: 10.1016/j.jcis.2025.137901
-
[32]
LIN H X, LIANG C H, LI M, DAI C S, XIONG Y P. Effects of aluminum doping on cobalt-free lithium-iron-nickel-manganese-oxygen cathode materials for lithium-ion batteries[J]. Energy Technol., 2017, 5(8): 1472-1483. doi: 10.1002/ente.201600757
-
[33]
HUNPRATUB S, CHULLAPHAN T, CHUMPOLKULWONG S, CHANLEK N, PHOKHA S. Characterization and electrochemical properties of carbon/CeO2 composites prepared using a hydrothermal method[J]. Mater. Chem. Phys., 2023, 303: 127820. doi: 10.1016/j.matchemphys.2023.127820
-
[34]
XIA A, LI J M, ZENG X X, CHEN J, TAN G Q. Influence of fluorine doping on the structure and electrochemical performance of δ-MnO2 for supercapacitors[J]. Ceram. Int., 2024, 50(8): 13061-13069. doi: 10.1016/j.ceramint.2024.01.216
-
[35]
WANG K J, ZHAO C, WEI N H, YUN J G, HU X M, JIANG X Y, CHU R C, TONG Z F, ZOU Y, CHEN Z H. Insight into low‑ temperature styrene oxidation over nano CeO2 catalysts: modulating Ce—O bond strength to construct oxygen defect engineering[J]. ACS ES & T Eng., 2023, 3(8): 1098-1111.
-
[36]
GU H Q, CHEN M J, WANG Z B, ZHANG W M, LI Z Y. Enhancing H+ intercalation kinetics and stability in Cu2+ pre-intercalated δ-MnO2 for aqueous aluminum batteries[J]. J. Energy Chem., 2025, 102: 126-133. doi: 10.1016/j.jechem.2024.10.031
-
[37]
JI X Q, SUN D L, ZOU W H, WANG Z H, SUN D B. Ni/MnO2 doping pulping lignin-based porous carbon as supercapacitors electrode materials[J]. J. Alloy. Compd., 2021, 876: 160112. doi: 10.1016/j.jallcom.2021.160112
-
[38]
LI L, LI R M, GAI S L, DING S J, HE F, ZHANG M L, YANG P P. MnO2 nanosheets grown on nitrogen-doped hollow carbon shells as a high‑performance electrode for asymmetric supercapacitors[J]. Chem. ‒Eur. J., 2015, 21(19): 7119-7126. doi: 10.1002/chem.201500153
-
[39]
WANG Y S, ZHAN Y L, YAN X Y, MA Z L. Investigations Ce doped MnO2/rGO as high performance supercapacitors material[J]. Russ. J. Electrochem., 2018, 54(3): 283-291. doi: 10.1134/S1023193517110180
-
[40]
JI X Q, SUN D L, ZOU W H, WANG Z H, SUN D B. Ni/MnO2 doping pulping lignin-based porous carbon as supercapacitors electrode materials[J]. J. Alloy. Compd., 2021, 876: 160112. doi: 10.1016/j.jallcom.2021.160112
-
[41]
DAR R A, GIRI L, KARNA S P. Performance of palladium nanoparticle-graphene composite as an efficient electrode material for electrochemical double layer capacitors[J]. Electrochim. Acta, 2016, 196: 547-557. doi: 10.1016/j.electacta.2016.02.197
-
[42]
LI L, JIA S F, YUE S, YANG Y Y, TAN C, WANG C H, QIU H W, JI Y Q, CAO M H, TAI Z G, ZHANG D. Vanadium doping inhibit the Jahn-Teller effect of Mn3+ for high-performance aqueous zinc ion battery[J]. Chin. Chem. Lett., 2025, 36(10): 111009. doi: 10.1016/j.cclet.2025.111009
-
[43]
ZHOU H, ZOU X P, ZHANG Y R. Fabrication of TiO2@MnO2 nanotube arrays by pulsed electrodeposition and their application for high-performance supercapacitors[J]. Electrochim. Acta, 2016, 192: 259-267. doi: 10.1016/j.electacta.2016.01.182
-
[44]
TOUNSI A, SAYAH A, LAMIRI L, BOUMAZA N, HABELHAMES F, BAHLOUL A. One-step electrochemical synthesis of FTO/MnO2-graphene composite for electrochemical energy storage[J]. J. Energy Storage, 2023, 73: 109228. doi: 10.1016/j.est.2023.109228
-
[45]
KUMAR A, SANGER A, KUMAR A, KUMAR Y, CHANDRA R. Sputtered synthesis of MnO2 nanorods as binder free electrode for high performance symmetric supercapacitors[J]. Electrochim. Acta, 2016, 222(2): 1761-1769.
-
[1]
-
图 1 (a) 所有样品的XRD图; C0M、C6M、C9M的(b) XPS全谱图及(c) Ce3d、(d) K2p、(e) Mn2p和(f) O1s XPS谱图; (g) Ce离子掺杂前后δ-MnO2的晶格结构示意图
Figure 1 (a) XRD patterns of all samples; (b) XPS survey spectra, (c) Ce3d, (d) K2p, (e) Mn2p, and (f) O1s XPS spectra of C0M, C6M, and C9M; (g) Schematic diagram of lattice structure of δ-MnO2 before and after Ce ion doping
图 8 C0M、C3M、C6M和C9M的(a) 循环性能和(b) Nyquist曲线; (c) C0M、(d) C3M、(e) C6M和(f) C9M循环前后的Nyquist曲线
Figure 8 (a) Cycling performances and (b) Nyquist plots of C0M, C3M, C6M, and C9M; Nyquist plots of (c) C0M, (d) C3M, (e) C6M, and (f) C9M before and after cycling
Inset: corresponding equivalent circuit diagrams.
图 9 C6M||AC的电化学性能:(a) AC和C6M在5 mV·s-1时的CV曲线; (b) 不同电位窗口内、5 mV·s-1下的CV曲线; (c) 在不同扫描速率下的CV曲线; (d) GCD曲线; (e) 倍率性能; (f) 与其他器件的Ragone图对比; (g) 在10 A·g-1下的循环性能; (h) EIS
Figure 9 Electrochemical performance of C6M||AC: (a) CV curves of AC and C6M at 5 mV·s-1; (b) CV curves at different potential windows at 5 mV·s-1; (c) CV curves at various scan rates; (d) GCD curves; (e) rate capacitance; (f) Ragone plots compared with other devices; (g) cycling performance at 10 A·g-1; (h) EIS
Inset: corresponding enlarged spectrum.
表 1 C0M、C6M和C9M中元素的原子比
Table 1. Atomic ratios of elements in C0M, C6M, and C9M
Sample Mn3+/Mn4+ ratio O1/O2 ratio Ce3+/Ce4+ ratio K/Mn ratio Ce/Mn ratio C0M 0.50 7.53 0.38 C6M 0.52 7.23 0.31 0.34 0.001 1 C9M 0.56 6.76 0.26 0.29 0.001 8 表 2 C6M电极与其他电极的性能比较
Table 2. Performance comparison of C6M with the other electrodes
Material Electrolyte Voltage
range / VCurrent density /
(A·g-1)Cycle number Specific capacitance /
(F·g-1)Capacity retention
rate / %Ref. PC-Ni/MnO2 6 mol·L-1 KOH -1-0 1 5 000 100.1 83.6 [37] Eu-MnO2 1 mol·L-1 Li2SO4 0-0.8 10 10 000 229.8 100 [21] NHCSs@MnO2 1 mol·L-1 Na2SO4 -0.2-0.8 10 5 000 179 110.6 [38] Ce-MnO2/rGO 1 mol·L-1 Na2SO4 0-1 1 1 000 111.1 85 [39] Ni-MnO2 6 mol·L-1 KOH -1-0 1 5 000 159.5 83.6 [40] C6M 1 mol·L-1 Na2SO4 0-1 10 5 000 166.3 83.3 This work 表 3 所有样品循环前后的Rct
Table 3. R for all samples before and after cycling
Sample Rct before cycle / Ω Rct after cycle / Ω ΔRct / Ω C0M 1.859 7.240 5.380 C3M 0.018 0.036 0.018 C6M 0.003 0.016 0.013 C9M 0.028 0.047 0.019 -
扫一扫看文章
计量
- PDF下载量: 12
- 文章访问数: 1868
- HTML全文浏览量: 190

下载:
下载: