2D CdS/Ti3AlC2 MAX异质结构增强光催化降解四环素性能
English
Enhanced photocatalytic tetracycline degradation via 2D CdS/Ti3AlC2 MAX heterostructure
-
Key words:
- photocatalysis
- / heterostructures
- / tetracycline
- / CdS
- / Ti3AlC2
-
0. Introduction
Rapid economic development and industrialisation have led to the widespread discharge of numerous toxic pollutants into the environment. Particularly, the contamination of water sources by antibiotics is concerning owing to its significant but underestimated environmental impact[1-4]. These pollutants are not readily biodegradable, exhibit toxic properties, and tend to accumulate over time. Antibiotic residues in the environment pose serious risks to human health and ecosystems by endangering organisms and promoting the emergence of antibiotic-resistant genes[5]. A notable example is tetracycline (TC) pollution, which primarily originates from wastewater generated by the antibiotic industry, medical applications, and agricultural practices in the livestock and aquaculture sectors[6].
Photocatalytic oxidation is an efficient and eco-friendly method for degrading organic pollutants without secondary pollution[7-8]. However, conventional semiconductors suffer from wide band gaps (3.0-3.2 eV), low sunlight utilization (3%-5%), and high electron-hole recombination rates, limiting their photocatalytic performance[9]. To overcome these challenges, researchers have explored the integration of advanced materials into semiconductor systems[10]. Recently, layered ternary transition-metal carbides and nitrides, known as MAX phases, have garnered significant attention due to their distinctive two-dimensional (2D)-like structures and exceptional electrical conductivity[11]. Ti3AlC2, a material that is frequently utilized as a co-catalyst, has been shown to enhance charge separation when employed in conjunction with semiconductors. This enhancement can be attributed to the high conductivity, oxidation resistance, and self-healing capacity inherent to Ti3AlC2[12]. Furthermore, recent studies have demonstrated that Ti3AlC2 exhibits characteristics analogous to 2D materials, including a substantial surface area and interlayer diffusion pathways, which facilitate charge carrier migration[13-14]. Ti3AlC2 has also shown catalytic activity in oxidative reactions, improving both the photocatalytic activity and material durability when integrated into composite systems[15]. Given these findings, integrating CdS with Ti3AlC2 is expected to enhance charge separation and structural stability, improving UV-induced photocatalytic efficiency.
CdS, a visible-light-responsive semiconductor (band gap is approximately 2.37 eV), has been widely used in photocatalysis due to its strong crystallinity, stability under alkaline conditions, and excellent carrier transport properties[16-18]. However, its high electron-hole recombination rate and susceptibility to photocorrosion limit its practical application[19]. Recent studies have shown that coupling CdS with co-catalysts, such as Ti3C2, enhances charge separation and photocatalytic efficiency[20]. Given these findings, integrating CdS with Ti3AlC2 is expected to enhance charge separation and structural stability, improving UV-induced photocatalytic efficiency.
In this study, a simple and effective hydrothermal method was employed to synthesize CdS/Ti3AlC2 heterostructures, utilizing calcined Ti3AlC2 as a functional photocatalyst rather than merely a co-catalyst. This work provides valuable insights into the rational design and optimization of CdS-based photocatalysts for sustainable pollutant degradation.
1. Experimental
1.1 Materials and reagents
TC, anhydrous ethanol (C2H5OH), isopropyl alcohol (C3H8O), and cadmium nitrate tetrahydrate (Cd(NO3)2·4H2O) were procured from McLean Biochemical Technology Co., China. Thiourea (CH4N2S) was procured from Dahua Weiye Chemical Co., China. Ethylenediamine (C2H8N2), p-benzoquinone (C6H4O2), and ammonium oxalate ((NH4)2C2O4) were procured from Wande Chemical Co., China.
1.2 Synthesis of CdS/Ti3AlC2 catalyst
1.2.1 Synthesis of calcined modified Ti3AlC2 material
10 g Ti3AlC2 (500 mesh, Scientific Compass Co., China) was calcined at 110 ℃ for 1 h and 550 ℃ for 4 h in a muffle furnace, then naturally cooled to 25 ℃.
1.2.2 Synthesis of CdS nanoparticles
Cd(NO3)2·4H2O (1 mmol), thiourea (3 mmol), and ethylenediamine (30 mL) were mixed, transferred to a Teflon reactor, and heated at 160 ℃ for 8 h. After cooling to 25 ℃, the samples were washed with ultrapure water and vacuum-dried at 60 ℃ to obtain CdS nanoparticles.
1.2.3 Synthesis of CdS/Ti3AlC2
CdS/Ti3AlC2 was synthesized using the solvothermal method. First, mix the calcined Ti3AlC2 (2 g) with ethylenediamine (15 mL) and ultrasonicate for 30 min. Subsequently, Cd(NO3)2·4H2O (0.174, 0.522, 0.871, and 1.218 g) was added to the thiourea solution (15 mL, 0.1 mol·L-1) to form a uniform suspension. Subsequently, the suspension was transferred to a polytetrafluoroethylene reactor and heated at a constant temperature of 160 ℃ for 8 h. After the reaction was completed, the xCdS/Ti3AlC2 samples prepared with different mass fractions (x=1%, 3%, 5%, and 7%) of CdS in the composite material were obtained after washing multiple times with ultrapure water and vacuum-dried at 60 ℃.
1.3 Photocatalyst characterisation
The crystal structure of the samples was determined by X-ray diffraction (XRD) using a Bruker D8 diffractometer equipped with Cu Kα radiation (λ=0.154 06 nm, 2θ=5°-80°) operated at 40 kV and 40 mA. The morphological characteristics were observed via scanning electron microscopy (SEM, Regulus 8100) and transmission electron microscopy (TEM, Talos F200X FEI, 200 kV). Energy-dispersive X-ray spectroscopy (EDS) analysis was conducted in conjunction with SEM to evaluate the elemental composition. Fourier transform infrared spectroscopy (FTIR) spectra (500-4 000 cm-1) were recorded using a Thermo Nicolet iS5 spectrometer. Ultraviolet-visible diffuse reflectance spectroscopy (UV-Vis DRS) measurements (200-800 nm) were conducted using an EVOLUTION 220 spectrophotometer. X-ray photoelectron spectroscopy (XPS) analysis was performed with a Thermo K-Alpha+ system. Transient photocurrent response was measured using an FLS1000 spectrometer and an electrochemical workstation. In addition, photoluminescence (PL) spectra were recorded using a Shimadzu UV-3600i Plus spectrophotometer. Transient photocurrent response (TPR) and electrochemical impedance spectroscopy (EIS) measurements were performed on an electrochemical workstation (CHI760E, Chenhua Instrument Co., Ltd., Shanghai, China). Electron paramagnetic resonance (EPR) spectroscopy (Bruker EMXplus-6) was employed to identify the active species generated during the photocatalytic process.
1.4 Photocatalytic experiments
Degradation experiments were performed in a PCX-50 Discover system (Beijing Perfect Light Technology Co.). A 30-minute dark adsorption phase was conducted to establish adsorption-desorption equilibrium, followed by photocatalytic degradation of TC under a custom-designed 500 W xenon lamp equipped with a UV-specific wavelength output. Absorbance was measured every 30 min. The effect of CdS/Ti3AlC2 was assessed by varying CdS content, TC mass concentration, and catalyst dosage. The calculation formula used was[21]:
$ R=\frac{{\rho }_{0}-{\rho }_{t}}{{\rho }_{0}}\times 100\% $ (1) where R represents the degradation efficiency of TC (%), ρ0 is the initial mass concentration of TC solution (mg·L-1), and ρt is the mass concentration of TC in solution at time t (mg·L-1).
The first-order kinetic model was used to assess the degradation efficiencies of different catalysts. Reaction rate constants were calculated using TC mass concentration changes during photocatalysis[22]. The following formula was as follows:
$\ln \frac{\rho_0^{\prime}}{\rho_t}=k_{\mathrm{app}} t$ (2) where kapp is the reaction rate constant (min-1), ρ0′ is the initial mass concentration of TC solution (mg·L-1) after dark adsorption, and t is the reaction time (min).
2. Results and discussion
2.1 Structural and morphological analysis
To investigate the crystal structure and crystallinity of the materials, XRD and FTIR analyses were conducted, as shown in Fig.1a and 1b. The XRD pattern of pristine Ti3AlC2 exhibited distinct diffraction peaks at 9.69°, 19.34°, 34.29°, and other characteristic planes, confirming its high purity and layered structure (PDF No.97-062-0306). After calcination at 550 ℃, a slight diffraction signal appeared near 25.3°, attributes to the (101) plane of TiO2, suggesting minor surface oxidation[9, 12, 23]. Pure CdS displayed diffraction peaks matching the hexagonal wurtzite structure (PDF No.97-019-0563). The XRD patterns of xCdS/Ti3AlC2 heterostructures exhibited the characteristic peaks of both CdS and Ti3AlC2, with increasing CdS crystallinity as the doping content increased, confirming successful heterostructure formation. FTIR spectra (Fig.1b) further revealed the functional groups on the material surfaces. Calcined Ti3AlC2 exhibited absorption peaks in the 500-1 000 cm-1 range attribute to Al—O, Ti—O, and Ti—C vibrations, which were absent in pristine Ti3AlC2[24]. Both calcined Ti3AlC2 and CdS displayed peaks at 1 650 and 3 400 cm-1, corresponding to O—H vibrations from adsorbed water[25-26]. CdS exhibited additional peaks at 1 410, 1 195, and 1 108 cm-1, associated with C—O stretching vibrations[27]. The xCdS/Ti3AlC2 heterostructures retained the characteristic peaks of both materials, with increasing CdS content enhancing the peak intensity. These results confirm the successful integration of CdS into Ti3AlC2, which enhances the material′s optical response and photocatalytic properties.
Figure 1
SEM and EDS analyses were conducted to examine the surface morphology and elemental composition of the samples. As shown in Fig.2a, pristine Ti3AlC2 exhibited a characteristic layered structure[10, 15]. After calcination (Fig.2b), the morphology remained largely unchanged, indicating structural stability. Pure CdS (Fig.2c) displayed a dendritic structure, offering numerous active sites for photocatalysis[28]. In the 5%CdS/Ti3AlC2 heterostructure (Fig.2d), CdS particles formed a rod-like accumulation on the Ti3AlC2 surface, suggesting effective surface modification for enhanced light absorption. TEM (Fig.2e, 2f) confirms the crystalline nature of both CdS and Ti3AlC2, with distinct lattice fringes and tight contact, indicating successful heterojunction formation[10, 29]. The EDS spectrum (Fig.2g, 2h) verifies the presence of Ti, Al, C, O, Cd, and S elements, indicating that CdS was successfully incorporated at approximately 5%, which was in line with the designed composition. Furthermore, the single elemental mapping shows uniform distribution of Cd, S, Ti, Al, and C (Fig.2i-2n), confirming homogeneous CdS incorporation while preserving Ti3AlC2′s structural integrity[30-31]. These results highlight the effective structural modification of Ti3AlC2 by CdS, which enhances photocatalytic performance.
Figure 2
The chemical composition and valence states of the prepared materials were further investigated by XPS. Fig.3 displays the XPS spectra of pristine CdS, calcined Ti3AlC2, and the 5%CdS/Ti3AlC2 heterostructure. The Cd3d peaks at 405.15 and 411.91 eV are consistent with the reported values of Cd3d5/2 and 3d3/2 peaks, respectively[32]. In contrast, the peaks at 406.61 and 413.46 eV correspond to the Cd—N bond[33]. After composite formation, these peaks in the 5%CdS/Ti3AlC2 spectrum exhibited a slight positive shift (approximately 0.20 eV), indicating a change in the local electronic environment of Cd, likely due to electron transfer between CdS and Ti3AlC2. Similar behavior was observed in the S2p spectrum, pristine CdS showed peaks at 161.38 and 162.56 eV (S2-), while the heterostructure presented a slight shift toward higher binding energy, further confirming strong interfacial interaction[29]. Fig.3e shows the Ti2p spectrum of Ti3AlC2, in which 531.80 eV peaks can be assigned to Ti—C, while peaks at 530.37 and 533.26 eV belong to Ti—O in the Ti3AlC2 sample[34-35]. These signals were retained in the composite, with no significant shift, suggesting that the Ti3AlC2 framework remains structurally stable. For the Al2p region, a peak at 74.31 eV was observed in both Ti3AlC2 and CdS/Ti3AlC2, consistent with Al in the MAX phase. The O1s spectrum exhibited three fitted peaks located at approximately 530.5, 531.6, and 532.6 eV, corresponding to lattice oxygen in Al2O3, surface Ti—O species, and chemisorbed oxygen or hydroxyl groups (—OH), respectively[36].
Figure 3
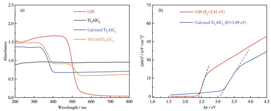
UV-Vis DRS analysis (Fig.4) was employed to investigate the light responsiveness of the materials. A comparison of the UV-Vis spectra of different catalysts revealed that pristine Ti3AlC2 exhibited negligible light absorption in both UV and visible regions. After calcination, Ti3AlC2 exhibited enhanced absorption, with a distinct absorption edge around 350 nm. This suggests the formation of TiO2 during calcination, improving UV-light absorption. In addition, pure CdS showed an absorption edge in the range of 450-500 nm, which was similar to the result observed when CdS was loaded onto calcined Ti3AlC2, thereby enhancing the visible light response of the material. These UV-Vis DRS results indicate that loading calcined Ti3AlC2 with CdS enhances the photoresponse of the material in the UV region and improves its overall light utilisation as a catalyst. Moreover, UV-Vis DRS were processed using the Kubelka-Munk function to derive (αhν)2-hν plots for various samples. The band gap values of different catalysts were obtained using Eq.3[37-40].
$ (αhν)^{n}=A(hν-E_\text{g}) $ (3) Figure 4
where h, α, ν, n, A, and Eg denote the Planck′s constant, absorption coefficient, optical frequency, transition mode exponent of the semiconductor, absorbance constant, and band gap, respectively. The estimated band gaps were 2.41 eV for CdS and 3.09 eV for calcined Ti3AlC2, consistent with typical values reported in the literature.
To gain further insights into the photocatalytic performance of the CdS/Ti3AlC2 heterostructures, their charge separation efficiency and carrier dynamics were comprehensively investigated. To evaluate the charge separation efficiency of the samples, their PL spectra were obtained at an excitation wavelength of 255 nm. As shown in Fig.5a, the PL spectra exhibited intense emission peaks at approximately 520 and 380 nm, indicating the rapid recombination of photoinduced charge carriers[41]. The incorporation of CdS into Ti3AlC2 significantly decreased the intensity of PL peaks, indicating a substantial increase in the separation efficiency of the samples[42]. The TPR of the prepared photocatalysts was measured to elucidate the effect of CdS on carrier separation and transport. As illustrated in Fig.5b, the TPR of 5%CdS/Ti3AlC2 heterostructures was notably more pronounced than that of calcined Ti3AlC2 samples. Furthermore, the 5%CdS/Ti3AlC2 sample exhibited the highest photocurrent density, which aligned well with its superior performance in photocatalytic degradation[43]. As shown in Fig.5c, the EIS Nyquist plot displays negative values for imaginary and real components, enabling the direct determination of charge-transfer resistance from the radius of the semicircle. A smaller arc or curve indicates a lower charge-transfer resistance, indicative of enhanced electron mobility and conductivity, which leads to an improved photocatalytic performance[44]. The semicircle radius was lower for 5%CdS/Ti3AlC2 than for the calcined Ti3AlC2 and CdS samples. This suggests that 5%CdS/Ti3AlC2 exhibited a lower charge-transfer resistance during the photodegradation experiment, thereby demonstrating a higher process efficiency than the original material. This implies that CdS/Ti3AlC2-based heterostructures exhibit enhanced capacity for charge separation and migration, thereby augmenting the efficiency of photocatalytic degradation.
Figure 5
2.2 Photocatalytic performance
The photocatalytic performance of the samples was evaluated under UV irradiation (Fig.6a). Within 30 min, all catalysts exhibited increased TC degradation efficiency, with 5%CdS/Ti3AlC2 and 7%CdS/Ti3AlC2 heterostructures achieving the highest rates of 75% and 76%, respectively. CdS, pristine Ti3AlC2, and calcined Ti3AlC2 exhibited lower degradation efficiencies of 26%, 29%, and 44%, respectively. At 180 min, 5%CdS/Ti3AlC2 showed the highest degradation efficiency (96.3%), demonstrating the highest reaction rate constant (k=0.012 17 min-1) (Fig.6b). The improved performance is attributed to enhanced charge separation and prolonged carrier lifetime[36]. The effect of pH on degradation efficiency was examined (Fig.6c). At pH 3, the degradation efficiency was 52% at 30 min, whereas it ranged from 65% to 70% at pH 5-11. After 180 min, the highest degradation efficiency (96.3%) was achieved at pH 7, indicating optimal photocatalytic activity under neutral conditions. Additionally, increasing catalyst dosage from 25 to 100 mg·L-1 enhanced degradation efficiency to 89%, but further increasing to 125 mg·L-1 led to a decline due to catalyst agglomeration (Fig.6d). The optimal initial TC mass concentration was found to be 30 mg·L-1, with higher mass concentrations negatively impacting degradation. Recycling tests (Fig.6f) confirmed the stability of 5%CdS/Ti3AlC2, retaining over 90% of its catalytic activity after four cycles. XRD analysis before and after degradation showed no significant structural changes, confirming the catalyst′s stability.
Figure 6
Figure 6. (a) Photocatalytic degradation of TC by different catalysts under UV light irradiation and (b) the corresponding kinetics curves; Impact of (c) initial pH, (d) catalyst dosage, and (e) TC mass concentration on the degradation performance of the 5%CdS/Ti3AlC; (f) Four repetitive cycles of photocatalytic degradation of TC by 5%CdS/Ti3AlC2 under UV light irradiation and XRD patterns of 5% CdS/Ti3AlC2 for before and after degradation reaction (Inset)To more effectively illustrate the degradation efficiency of the proposed catalyst, it was compared with catalysts reported in recent studies, as presented in Table 1. The CdS/Ti3AlC2 composite achieved a TC degradation efficiency of 96.3%, outperforming many photocatalysts reported in recent studies (Table 1). Its performance was comparable to the highest efficiency observed, such as MnFe-LDO-biochar/K2S2O8 (98%)[45], but without the need for chemical oxidants, making it more environmentally friendly. Similarly, g-C3N4/TiO2 (96.3%)[46] and FeNi3/SiO2/CuS (96.0%)[47] demonstrated high efficiencies but involve complex synthesis processes or rare materials. In comparison, the CdS/Ti3AlC2 composite offers similar or superior performance while maintaining a simpler synthesis process and greater environmental compatibility. Newer photocatalysts, such as TiO2@Ti3C2 (90.7%)[35] and CuS/CdS (90%)[48], achieved lower efficiencies under visible light. The broad UV applicability and high efficiency of CdS/Ti3AlC2, combined with its improved light absorption and enhanced charge separation efficiency, make it a promising alternative.
Table 1
Material Irradiation source R / % Ref. Calcite/TiO2 UV light 90.0 [49] Chitosan/TiO2 UV light 70.0 [50] UV/NH2Cl UV light 90.0 [51] MnFe-LDO-biochar/K2S2O8 UV light 98.0 [45] W/BaZrO3 UV light 94.9 [52] g-C3N4/TiO2 UV light 96.3 [46] BiOCl/CdS Full light 75 [53] g-C3N4/silica mesopores UV light 92.9 [54] CuS/CdS Visible light 90 [48] FeNi3/SiO2/CuS UV light 96.0 [47] TiO2@Ti3C2 Visible light 90.7 [35] CdS/Ti3AlC2 UV light 96.3 This work 2.3 Photocatalytic mechanism
Through the capture agent experiment, a preliminary determination of the active species in the reaction system (Fig.7a). Benzoquinone, isopropanol, and ammonium oxalate were used to capture superoxide radical (·O2-), hydroxyl radicals (·OH), and holes (h+). respectively. Benzoquinone led to a significant decrease in the photocatalytic degradation of TC, whereas the other capture agents had a relatively minor effect on the degradation efficiency of TC[55]. This indicates that ·O2- is the main active substance in the reaction system. Additionally, to verify the types of free radicals produced in the photocatalytic process, the EPR spectra of the prepared photocatalysts were obtained, as shown in Fig.7b-7d. As evident from Fig.7b, the intensity of the ·O2- signal significantly increased after 5 min of light exposure compared to that observed under the dark reaction condition. As shown in Fig.7c and 7d, the signal intensities of ·OH and h+ did not change significantly before and after the light exposure. This further indicates that ·O2- is the primary active substance responsible for the photocatalytic degradation of TC by CdS/Ti3AlC2[56-57].
Figure 7
Based on the analysis and discussion above, this study proposed a comprehensive mechanism for the photocatalytic degradation of TC by the CdS/Ti3AlC2 heterostructure catalyst. The integration of CdS with calcined Ti3AlC2 leads to the formation of a well- defined and continuous heterojunction, enabling intimate interfacial contact between the two components. This structural configuration effectively suppresses the recombination of photogenerated electron-hole pairs, promotes more efficient charge carrier separation and migration, and ultimately enhances the overall photocatalytic performance. According to the UV-Vis DRS analysis, the bandgap energies of CdS and Ti3AlC2 were calculated to be 2.41 and 3.09 eV, respectively. To validate the energy band structure, XPS was employed to determine the valence band maximum (VBM) of the materials. The results indicate that the VBM of Ti3AlC2 and CdS were situated at 2.74 and 1.96 eV, respectively. These values indicate that the VB potential of the material is sufficient to oxidize water or hydroxide ions to generate hydroxyl radicals, and the results are consistent with EPR and quenching experiments. The schematic illustration of the band alignment and heterostructure formation is shown in Fig.8. The photocatalytic degradation process was predominantly driven by the presence of superoxide radicals, indicated by the symbol ·O2-. Furthermore, h+ and ·OH were identified as contributing factors to the degradation efficiency. Furthermore, UV-Vis DRS results suggest a reduction in the band gap of Ti3AlC2 following CdS coupling. Under UV light irradiation, both CdS and Ti3AlC2 were excited, generating electron-hole pairs. The transfer of photogenerated electrons from the CdS conduction band (CB) to the Ti3AlC2 CB was facilitated by the built-in electric field and energy band alignment. This process suppresses recombination, thereby prolonging carrier lifetimes and enhancing photocatalytic activity. In the case of photocatalytic degradation of TC, the photogenerated electrons on Ti3AlC2 can react with electron acceptors (e.g., O2) to form ·O2-, which are strong oxidative agents that can directly degrade organic pollutants. A preliminary examination of the subject reveals that intermediate products may include decarboxylation products, ring-opening structures, and the final low-molecular-weight organic acids and inorganic ions, among other elements[20, 39, 58-60]. The involved photocatalytic reaction processes are described as:
$\mathrm{CdS} / \mathrm{Ti}_3 \mathrm{AlC}_2+h \nu \rightarrow \mathrm{e}_{\mathrm{CB}}^{-}+\mathrm{h}_{\mathrm{VB}}^{+} $ (4) $ \mathrm{e}^{-}+\mathrm{O}_2 \rightarrow \cdot \mathrm{O}_2^{-}$ (5) $\cdot \mathrm{O}_2^{-}+\mathrm{TC} \rightarrow \text { Degraded products }$ (6) $ \mathrm{h}^{+}+\mathrm{TC} \rightarrow \text { Degraded products }$ (7) $\mathrm{h}^{+}+\mathrm{H}_2 \mathrm{O} / \mathrm{OH}^{-} \rightarrow \cdot \mathrm{OH}$ (8) $ \text { - } \mathrm{OH}+\mathrm{TC} \rightarrow \mathrm{CO}_2+\mathrm{H}_2 \mathrm{O}+\text { Degraded products }$ (9) Figure 8
3. Conclusions
This study employed a hydrothermal method to synthesise CdS/Ti3AlC2 heterostructure photocatalysts, modifying Ti3AlC2 MAX, and evaluated their photocatalytic activity for TC degradation under UV-light irradiation. Among the prepared materials, 5%CdS/Ti3AlC2 heterostructures exhibited the highest photocatalytic performance for TC, which was significantly superior to that of pure CdS, Ti3AlC2, and other doped CdS/Ti3AlC2 heterostructures. The enhanced photocatalytic performance of Ti3AlC2-based heterostructures under UV light can be attributed to several factors: (1) improved light absorption: the introduction of CdS effectively broadens the light absorption range of Ti3AlC2, increasing its response to UV light. (2) Increased efficiency for charge carrier separation: the MAX phase of Ti3AlC2, distinguished by its thermal stability and layered structure, has been shown to facilitate charge separation and migration, thereby supporting the construction of efficient heterostructures. The integration of the layered structure of Ti3AlC2 with the rod-like structure of CdS facilitates the effective separation of photogenerated electrons and holes, thereby reducing their recombination probability and enhancing photocatalytic efficiency. (3) Intrinsic photocatalytic activity of calcined Ti3AlC2: unlike its conventional role as a co-catalyst, calcined Ti3AlC2 functions as an independent photocatalyst, exhibiting intrinsic photocatalytic activity for pollutant degradation. Moreover, TEM, PL spectra, and electrochemical studies confirmed that the heterojunction between CdS and Ti3AlC2 leads to enhanced charge separation and lower charge-transfer resistance, corroborating the observed photocatalytic performance. In summary, Ti3AlC2-based heterostructures demonstrate excellent photocatalytic degradation performance through effective modulation of light absorption and charge carrier separation behaviours. This study provides new insights and theoretical foundations for the employment of Ti3AlC2-based heterostructures in water treatment and pollutant degradation applications.
-
-
[1]
DANNER M C, ROBERTSON A, BEHRENDS V, REISS J. Antibiotic pollution in surface fresh waters: Occurrence and effects[J]. Sci. Total Environ., 2019, 664: 793-804 doi: 10.1016/j.scitotenv.2019.01.406
-
[2]
KOVALAKOVA P, CIZMAS L, MCDONALD T J, MARSALEK B, FENG M, SHARMA V K. Occurrence and toxicity of antibiotics in the aquatic environment: A review[J]. Chemosphere, 2020, 251: 126351 doi: 10.1016/j.chemosphere.2020.126351
-
[3]
LI J P, LI W, LIU K, GUO Y H, DING C, HAN J A, LI P P. Global review of macrolide antibiotics in the aquatic environment: Sources, occurrence, fate, ecotoxicity, and risk assessment[J]. J. Hazard. Mater., 2022, 439: 129628 doi: 10.1016/j.jhazmat.2022.129628
-
[4]
REN S J, BOO C, GUO N, WANG S, ELIMELECH M, WANG Y K. Photocatalytic reactive ultrafiltration membrane for removal of antibiotic resistant bacteria and antibiotic resistance genes from wastewater effluent[J]. Environ. Sci. Technol., 2018, 52(15): 8666-8673 doi: 10.1021/acs.est.8b01888
-
[5]
李建军, 任明杰, 张梨梨, 曾玲玲, 王慧玲, 孟祥武. 紫外光辅助MnFe2O4@活性炭活化过硫酸盐降解盐酸四环素[J]. 无机化学学报, 2024, 40(10): 1869-1880LI J J, REN M J, ZHANG L L, ZENG L L, WANG H L, MENG X W. UV-assisted degradation of tetracycline hydrochloride by MnFe2O4@ activated carbon activated persulfate[J]. Chinese J. Inorg. Chem., 2024, 40(10): 1869-1880
-
[6]
BALAKRISHNAN A, CHINTHALA M, POLAGANI R K, VO D N. Removal of tetracycline from wastewater using g-C3N4 based photocatalysts: A review[J]. Environ. Res., 2023, 216: 114660 doi: 10.1016/j.envres.2022.114660
-
[7]
MOUSAVI S M, MOHTARAM M S, RASOULI K, MOHTARAM S, RAJABI H, SABBAGHI S. Efficient visible-light-driven photocatalytic degradation of antibiotics in water by MXene-derived TiO2-supported SiO2/Ti3C2 composites: Optimisation, mechanism and toxicity evaluation[J]. Environ. Pollut., 2025, 367: 125624 doi: 10.1016/j.envpol.2024.125624
-
[8]
WANG Y Y, RAU J Y, MAO Z J, CHEN Z T, HUANG J. Efficient photocatalytic degradation of humic acid in water using N-doped Ti3AlC2 MAX[J]. ChemistrySelect, 2024, 9(39): e202304269 doi: 10.1002/slct.202304269
-
[9]
WANG M, HUA J H, YANG Y L. Fabrication of CDs/CdS-TiO2 ternary nano-composites for photocatalytic degradation of benzene and toluene under visible light irradiation[J]. Spectroc. Acta Pt. A-Molec. Biomolec. Spectr., 2018, 199: 102-109 doi: 10.1016/j.saa.2018.03.041
-
[10]
TASLEEM S, TAHIR M, ZAKARIA Z Y. Fabricating structured 2D Ti3AlC2 MAX dispersed TiO2 heterostructure with Ni2P as a cocatalyst for efficient photocatalytic H2 production[J]. J. Alloy. Compd., 2020, 842: 155752 doi: 10.1016/j.jallcom.2020.155752
-
[11]
朱敏, 王宇鑫, 黎晓, 许雅旭, 朱俊雯, 王子豪, 朱禹, 黄晓晨, 徐丹, HOSSAINE A M S. AgVO3/ZIF-8复合材料的制备及其增强四环素降解性能[J]. 无机化学学报, 2025, 41(9): 994-1006ZHU M, WANG Y X, LI X, XU Y X, ZHU J W, WANG Z H, ZHU Y, HUANG X C, XU D, HOSSAINE A M S. Construction of AgVO3/ZIF-8 composites for enhanced degradation of tetracycline[J]. Chinese J. Inorg. Chem., 2025, 41(9): 994-1006
-
[12]
TAHIR B, ER P W, TAHIR M, NAWAWI M G M, SIRAJ M, ALIAS H, FATEHMULLA A. Tailoring metal/support interaction in 0D TiO2 NPs/MPs embedded 2D MAX composite with boosted interfacial charge carrier separation for stimulating photocatalytic H2 production[J]. J. Environ. Chem. Eng., 2020, 8(6): 104529 doi: 10.1016/j.jece.2020.104529
-
[13]
TAHIR M, MANSOOR R. Constructing a stable 2D Ti3AlC2 MnAXm cocatalyst-modified g-C3N4/CoAl-LDH/Ti3AlC2 heterojunction for efficient dry and bireforming of methane for photocatalytic syngas production[J]. J. Alloy. Compd., 2023, 947: 169457 doi: 10.1016/j.jallcom.2023.169457
-
[14]
WANG Y Y, RAU J Y, MAO Z J, HUANG Q, ZHU Q H, ZHEN Z T, HUANG J. Efficient hydrogen evolution by using two-dimensional EMOF(Ti)/MAX-Cu novel photocatalysts synthesized via the bi-phase emulsification method[J]. J. Mater. Chem. A, 2025, 13(21): 16032-16043 doi: 10.1039/D5TA00508F
-
[15]
NG W H K, GNANAKUMAR E S, BATYREV E, SHARMA S K, PUJARI P K, GREER H F, ZHOU W, SAKIDJA R, ROTHENBERG G, BARSOUM M W, SHIJU N R. The Ti3AlC2 MAX phase as an efficient catalyst for oxidative dehydrogenation of n-butane[J]. Angew. Chem. -Int. Edit., 2018, 57(6): 1485-1490 doi: 10.1002/anie.201702196
-
[16]
LIU X Y, SAYED M, BIE C B, CHENG B, HU B W, YU J G, ZHANG L Y. Hollow CdS-based photocatalysts[J]. J Materiomics, 2021, 7(3): 419-439 doi: 10.1016/j.jmat.2020.10.010
-
[17]
AI Z Z, ZHAO G, ZHONG Y Y, SHAO Y L, HUANG B B, WU Y Z, HAO X P. Phase junction CdS: High efficient and stable photocatalyst for hydrogen generation[J]. Appl. Catal. B-Environ., 2018, 221: 179-186 doi: 10.1016/j.apcatb.2017.09.002
-
[18]
AZIZ M I, MUGHAL F, NAEEM H M, ZEB A, TAHIR M A, BASIT M A. Evolution of photovoltaic and photocatalytic activity in anatase-TiO2 under visible light via simplistic deposition of CdS and PbS quantum-dots[J]. Mater. Chem. Phys., 2019, 229: 508-513 doi: 10.1016/j.matchemphys.2019.03.042
-
[19]
JIANG M, LIU X Y, ZHANG M Y, WU Z J, ZHENG Y J, LIANG Y J, WANG W Z, JIA Y. Hot-electron injection and charge carrier lifetime prolongation enhance the photoelectrochemical performance of a plasmonic CdS/Au photoanode[J]. J. Phys. Chem. C, 2021, 125(31): 17109-17116 doi: 10.1021/acs.jpcc.1c04965
-
[20]
MA L G, AI X Q, YANG X M, CAO X X, HAN D R, SONG X, JIANG H L, YANG W, YAN S L, WU X S. Cd(Ⅱ)-based metal-organic framework-derived CdS photocatalysts for enhancement of photocatalytic activity[J]. J. Mater. Sci., 2021, 56(14): 8643-8657 doi: 10.1007/s10853-021-05855-9
-
[21]
KHYRUN S M F, CHRISTY A J, USHA R, NEHRU L C, SURESH S. Novel solution combustion synthesis of CeO2/CuO nanocomposite for photocatalytic and biological applications[J]. Opt. Mater., 2023, 139: 113756 doi: 10.1016/j.optmat.2023.113756
-
[22]
ASGARI G, SEIDMOHAMMADI A, SALARI M, RAMAVANDI B, FARADMAL J. Catalytic ozonation assisted by rGO/C-MgO in the degradation of humic acid from aqueous solution: modeling and optimization by response surface methodology, kinetic study[J]. Desalination Water Treat., 2020, 174: 215-229 doi: 10.5004/dwt.2020.24869
-
[23]
REYES-GARCIA E A, SUN Y, REYES-GIL K R, RAFTERY D. Solid-state NMR and EPR analysis of carbon-doped titanium dioxide photocatalysts (TiO2-xCx)[J]. Solid State Nucl. Magn. Reson., 2009, 35(2): 74-81 doi: 10.1016/j.ssnmr.2009.02.004
-
[24]
SCHEIBE B, TADYSZAK K, JAREK M, MICHALAK N, KEMPIŃSKI M, LEWANDOWSKI M, PEPLIŃSKA B, CHYBCZYŃSKA K. Study on the magnetic properties of differently functionalized multilayered Ti3C2Tx MXenes and Ti-Al-C carbides [J]. Appl. Surf. Sci., 2019, 479: 216-224 doi: 10.1016/j.apsusc.2019.02.055
-
[25]
TAHIR M. Enhanced photocatalytic CO2 reduction to fuels through bireforming of methane over structured 3D MAX Ti3AlC2/TiO2 heterojunction in a monolith photoreactor[J]. J. CO2 Util., 2020, 38: 99-112 doi: 10.1016/j.jcou.2020.01.009
-
[26]
NOOR S, SAJJAD S, LEGHARI S A K, FLOX C, AHMAD S. Competitive role of nitrogen functionalities of N doped GO and sensitizing effect of Bi2O3 QDs on TiO2 for water remediation[J]. J. Environ. Sci., 2021, 108: 107-119 doi: 10.1016/j.jes.2021.02.009
-
[27]
CHANG S K, ABBASI Q U A, ABBASI Z, KHUSHBAKHT F, ULLAH I, UR REHMAN F, HAFEEZ M. Rapid pH-dependent photocatalytic degradation of methylene blue by CdS nanorods synthesized through hydrothermal process[J]. Arab. J. Chem., 2024, 17(1): 105422 doi: 10.1016/j.arabjc.2023.105422
-
[28]
DAS S, AHN Y H. Synthesis and application of CdS nanorods for LED-based photocatalytic degradation of tetracycline antibiotic[J]. Chemosphere, 2022, 291: 132870 doi: 10.1016/j.chemosphere.2021.132870
-
[29]
WEI Y J, XUE C Y, JIN L, ZHANG J W, ZHAO Z B, FENG L L, LIU J, ZHANG J B. Defect-induced atomic-level intimate interface of a hollow Ov-CeO2/CdS photocatalyst with a Z-scheme to boost hydrogen evolution[J]. J. Colloid Interface Sci., 2023, 646: 209-218 doi: 10.1016/j.jcis.2023.05.063
-
[30]
XIE Z J, FENG Y P, WANG F L, CHEN D N, ZHANG Q X, ZENG Y Q, LV W Y, LIU G G. Construction of carbon dots modified MoO3/g-C3N4 Z-scheme photocatalyst with enhanced visible-light photocatalytic activity for the degradation of tetracycline[J]. Appl. Catal. B-Environ, 2018, 229: 96-104 doi: 10.1016/j.apcatb.2018.02.011
-
[31]
JIANG W, LI Z, LIU C B, WANG D D, YAN G S, LIU B, CHE G B. Enhanced visible-light-induced photocatalytic degradation of tetracycline using BiOI/MIL-125(Ti) composite photocatalyst[J]. J. Alloy. Compd., 2021, 854: 119287
-
[32]
WANG Y, ZHANG X, LIU Y J, ZHAO Y B, XIE C, SONG Y X, YANG P. Crystallinity and phase controlling of g-C3N4/CdS hetrostructures towards high efficient photocatalytic H2 generation[J]. Int. J. Hydrog. Energy, 2019, 44(57): 30151 doi: 10.1016/j.ijhydene.2019.09.181
-
[33]
HAN Z H, DONG Q, CHEN G, DONG H J, ZHOU R. Interface Cd—N bond bridge accelerating charge separation to the enhanced visible light driven hydrogen production from water splitting on polyaniline@Cd-Zn-S photocatalyst[J]. Sep. Purif. Technol., 2022, 300: 121839 doi: 10.1016/j.seppur.2022.121839
-
[34]
LEE S, DEVARAYAPALLI K C, KIM B, LIM Y, LEE D S. Fabrication of MXene-derived TiO2/Ti3C2 integrated with a ZnS heterostructure and their synergistic effect on the enhanced photocatalytic degradation of tetracycline[J]. J. Mater. Sci. Technol., 2024, 198: 186-199 doi: 10.1016/j.jmst.2024.02.026
-
[35]
BUI H T, VAN THUAN D, THI HUONG P, NGUYEN K D, NGUYEN M V, CHU T T H, LE Q V, JITAE K, DEVANESAN S, ALSALHI M S, NGUYEN T L. Enhanced photocatalytic H2 evolution and photodegradation of antibiotic tetracycline in wastewater by TiO2@Ti3C2[J]. Int. J. Hydrog. Energy, 2024, 52: 11-19
-
[36]
HUANG K L, LI C H, MENG X C. In-situ construction of ternary Ti3C2 MXene@TiO2/ZnIn2S4 composites for highly efficient photocatalytic hydrogen evolution[J]. J. Colloid Interface Sci, 2020, 580: 669-680 doi: 10.1016/j.jcis.2020.07.044
-
[37]
DING Z P, SUN M X, LIU W Z, SUN W B, MENG X L, ZHENG Y Q. Ultrasonically synthesized N-TiO2/Ti3C2 composites: Enhancing sonophotocatalytic activity for pollutant degradation and nitrogen fixation[J]. Sep. Purif. Technol., 2021, 276: 119287 doi: 10.1016/j.seppur.2021.119287
-
[38]
TASLEEM S, TAHIR M. Investigating the performance of liquid and gas phase photoreactors for dynamic H2 production over bimetallic TiO2 and Ni2P dispersed MAX Ti3AlC2 monolithic nanocomposite under UV and visible light[J]. Environ. Chem. Eng., 2021, 9(4): 105351 doi: 10.1016/j.jece.2021.105351
-
[39]
HUANG H S, SONG Y, LI N J, CHEN D Y, XU Q F, LI H, HE J H, LU J M. One-step in-situ preparation of N-doped TiO2@C derived from Ti3C2 MXene for enhanced visible-light driven photodegradation[J]. Appl. Catal. B-Environ, 2019, 251: 154-61 doi: 10.1016/j.apcatb.2019.03.066
-
[40]
MAKUŁA P, PACIA M, MACYK W. How to correctly determine the band gap energy of modified semiconductor photocatalysts based on UV-Vis spectra [J]. Phys. Chem. Lett, 2018, 9(23): 6814-6817 doi: 10.1021/acs.jpclett.8b02892
-
[41]
MA D D, SHI J W, SUN L, SUN Y X, MAO S M, PU Z X, HE C, ZHANG Y J, HE D, WANG H K, CHENG Y H. Knack behind the high performance CdS/ZnS-NiS nanocomposites: Optimizing synergistic effect between cocatalyst and heterostructure for boosting hydrogen evolution[J]. Chem. Eng. J., 2022, 431: 133446 doi: 10.1016/j.cej.2021.133446
-
[42]
MA W, WANG N, GUO Y, YANG L Q, LV M F, TANG X, LI S T. Enhanced photoreduction CO2 activity on g-C3N4: By synergistic effect of nitrogen defective-enriched and porous structure, and mechanism insights[J]. Chem. Eng. J., 2020, 388: 124288 doi: 10.1016/j.cej.2020.124288
-
[43]
LI X, YU Y, WANG Y X, DI Y, LIU J Q, LI D Y, WANG Y M, ZHU Z, LIU H L, WEI M B. Withered magnolia-derived BCDs onto 3D flower-like Bi2WO6 for efficient photocatalytic TC degradation and CO2 reduction[J]. J. Alloy. Compd., 2023, 965: 171520 doi: 10.1016/j.jallcom.2023.171520
-
[44]
TANG Y X, ZHANG X, MA Y X, WANG X T, SU C H, ZHANG D F, PU X P, GENG Y L. One-dimensional core-shell Zn0.1Cd0.9S/ SnIn4S8 heterojunction for enhanced visible light photocatalytic degradation[J]. Sep. Purif. Technol., 2020, 230: 115896 doi: 10.1016/j.seppur.2019.115896
-
[45]
AZALOK K A, OLADIPO A A, GAZI M. UV-light-induced photocatalytic performance of reusable MnFe-LDO-biochar for tetracycline removal in water[J]. J. Photochem. Photobiol. A-Chem., 2021, 405: 112976-112986 doi: 10.1016/j.jphotochem.2020.112976
-
[46]
ZHOU Q, ZHANG L H, ZHANG L F, JIANG B, SUN Y L. In-situ constructed 2D/2D ZnIn2S4/Bi4Ti3O12 S-scheme heterojunction for degradation of tetracycline: Performance and mechanism insights[J]. J. Hazard. Mater., 2022, 438: 129438 doi: 10.1016/j.jhazmat.2022.129438
-
[47]
AMARZADEH M, AZQANDI M, NATEQ K, RAMAVANDI B, KHAN N, NASSEH N. Heterogeneous Fenton-like photocatalytic process towards the eradication of tetracycline under UV irradiation: Mechanism elucidation and environmental risk analysis[J]. Water, 2023, 15(13): 1-21
-
[48]
SIDDHARDHAN E V, SURENDER S, ARUMANAYAGAM T. Degradation of tetracycline drug in aquatic environment by visible light active CuS/CdS photocatalyst[J]. Inorg. Chem. Commun., 2023, 147: 110244 doi: 10.1016/j.inoche.2022.110244
-
[49]
BELHOUCHET N, HAMDI B, CHENCHOUNI H, BESSEKHOUAD Y. Photocatalytic degradation of tetracycline antibiotic using new calcite/titania nanocomposites[J]. J. Photochem. Photobiol. A-Chem., 2019, 372: 196-205 doi: 10.1016/j.jphotochem.2018.12.016
-
[50]
IKHLEF-TAGUELMIMT T, HAMICHE A, YAHIAOUI I, BENDELLALI T, LEBIK-ELHADI H, AIT-AMAR H, AISSANI-BENISSAD F. Tetracycline hydrochloride degradation by heterogeneous photocatalysis using TiO2(P25) immobilized in biopolymer (chitosan) under UV irradiation[J]. Water Sci. Technol., 2020, 82(8): 1570-1578 doi: 10.2166/wst.2020.432
-
[51]
CAI A H, DENG J, XU M Y, ZHU T X, ZHOU S Q, LI J, WANG G F, LI X Y. Degradation of tetracycline by UV activated monochloramine process: Kinetics, degradation pathway, DBPs formation and toxicity assessment[J]. Chem. Eng. J., 2020, 395: 125090-125101 doi: 10.1016/j.cej.2020.125090
-
[52]
GULEN B, DEMIRCIVI P, SIMSEK E B. UV-A light irradiated photocatalytic performance of hydrothermally obtained W doped BaZrO3 catalyst against the degradation of levofloxacin and tetracycline antibiotic[J]. J. Photochem. Photobiol. A-Chem., 2021, 404: 112869-112878 doi: 10.1016/j.jphotochem.2020.112869
-
[53]
YANG L, WANG J, ZHANG Y, ZHOU B H, TAN P F, PAN J. Construction of S-scheme BiOCl/CdS composite for enhanced photocatalytic degradation of antibiotic[J]. J. Mater. Sci. -Mater. Electron., 2022, 33(16): 13303-13315 doi: 10.1007/s10854-022-08269-8
-
[54]
NAGHIZADEH A, ETEMADINIA T, DERAKHSHANI E, ESMATI M. Graphitic carbon nitride loaded on powdered mesoporous silica nanoparticles for photocatalytic tetracycline antibiotic degradation under UV-C light irradiation[J]. Res. Chem. Intermed., 2023, 49(3): 1165-1177 doi: 10.1007/s11164-022-04942-z
-
[55]
QI N, WANG P F, WANG C, AO Y H. Effect of a typical antibiotic (tetracycline) on the aggregation of TiO2 nanoparticles in an aquatic environment[J]. J. Hazard. Mater., 2018, 341: 187-197 doi: 10.1016/j.jhazmat.2017.07.046
-
[56]
ZHU X D, WANG Y J, SUN R J, ZHOU D M. Photocatalytic degradation of tetracycline in aqueous solution by nanosized TiO2[J]. Chemosphere, 2013, 92(8): 925-932 doi: 10.1016/j.chemosphere.2013.02.066
-
[57]
WANG D B, JIA F Y, WANG H, CHEN F, FANG Y, DONG W B, ZENG G M, LI X M, YANG Q, YUAN X Z. Simultaneously efficient adsorption and photocatalytic degradation of tetracycline by Fe-based MOFs[J]. J. Colloid Interface Sci., 2018, 519: 273-284 doi: 10.1016/j.jcis.2018.02.067
-
[58]
NAGAMINE M, OSIAL M, JACKOWSKA K, KRYSINSKI P, WIDERA-KALINOWSKA J. Tetracycline photocatalytic degradation under CdS treatment[J]. J. Mar. Sci. Eng., 2020, 8(7): 483-502 doi: 10.3390/jmse8070483
-
[59]
HE X H, KAI T H, DING P. Heterojunction photocatalysts for degradation of the tetracycline antibiotic: A review[J]. Environ. Chem. Lett., 2021, 19(6): 4563-4601 doi: 10.1007/s10311-021-01295-8
-
[60]
KHAN M H, BAE H, JUNG J Y. Tetracycline degradation by ozonation in the aqueous phase: Proposed degradation intermediates and pathway[J]. J. Hazard. Mater., 2010, 181(1): 659-665
-
[1]
-
Figure 6 (a) Photocatalytic degradation of TC by different catalysts under UV light irradiation and (b) the corresponding kinetics curves; Impact of (c) initial pH, (d) catalyst dosage, and (e) TC mass concentration on the degradation performance of the 5%CdS/Ti3AlC; (f) Four repetitive cycles of photocatalytic degradation of TC by 5%CdS/Ti3AlC2 under UV light irradiation and XRD patterns of 5% CdS/Ti3AlC2 for before and after degradation reaction (Inset)
Table 1. Recent studies related to the degradation of TC
Material Irradiation source R / % Ref. Calcite/TiO2 UV light 90.0 [49] Chitosan/TiO2 UV light 70.0 [50] UV/NH2Cl UV light 90.0 [51] MnFe-LDO-biochar/K2S2O8 UV light 98.0 [45] W/BaZrO3 UV light 94.9 [52] g-C3N4/TiO2 UV light 96.3 [46] BiOCl/CdS Full light 75 [53] g-C3N4/silica mesopores UV light 92.9 [54] CuS/CdS Visible light 90 [48] FeNi3/SiO2/CuS UV light 96.0 [47] TiO2@Ti3C2 Visible light 90.7 [35] CdS/Ti3AlC2 UV light 96.3 This work -
扫一扫看文章
计量
- PDF下载量: 2
- 文章访问数: 1061
- HTML全文浏览量: 143

下载:
下载: