Citation: Tong WANG, Xuefang ZHU, Qi GAO, Hongbo ZHANG, Chao REN, Lixia GE. Luminescence and thermal stability of Tb3+-Eu3+ doped glass-ceramics containing Na8.12Y1.293Si6O18 crystal phase[J]. Chinese Journal of Inorganic Chemistry, 2025, 41(11): 2237-2250. doi: 10.11862/CJIC.20250137
Tb3+-Eu3+掺杂含Na8.12Y1.293Si6O18晶相玻璃陶瓷的发光与热稳定性
-
关键词:
- 硅酸盐
- / 玻璃陶瓷
- / Tb3+-Eu3+掺杂
- / 热稳定性
- / 发光
English
Luminescence and thermal stability of Tb3+-Eu3+ doped glass-ceramics containing Na8.12Y1.293Si6O18 crystal phase
-
Key words:
- silicate
- / glass-ceramic
- / Tb3+-Eu3+ doping
- / thermal stability
- / luminescence
-
0. 引言
稀土发光材料作为光功能材料的关键分支,在显示、照明、通讯、传感及防伪等领域被广泛应用。尽管现有的稀土发光材料可满足大多数的应用需求,但其易受外界环境干扰,长时间工作时易出现热失效及环境污染等问题,阻碍了进一步的发展。为突破上述瓶颈,多种发光基质材料被深入开发、研究。其中,玻璃陶瓷由于优异的物理化学性质而备受关注,是极具潜力的新一代发光基质材料。
稀土离子掺杂玻璃陶瓷时能被紧密包裹在玻璃相中,从而有效避免外界环境对其发光性能的干扰。此外,通过组分设计可为稀土离子提供低声子能量的适宜晶格环境,显著提升其辐射跃迁效率。郑喜贵等[1]系统评述了固态照明用荧光陶瓷/玻璃材料的研究进展,指出固态照明器件在实际应用中具有寿命长、节能环保且转化效率高等优势,并强调热导性能是发光材料器件化的核心指标。Yang等[2]研究了Dy3+-Tm3+掺杂NaGd(MoO4)2晶相玻璃陶瓷的发光性能。结果表明稀土离子在玻璃陶瓷中的发光强度和热稳定性显著优于玻璃,证明所制备的材料在照明领域具有潜在的应用价值。He等[3]通过熔融和二次热处理法制备了Yb3+/Er3+掺杂的透明氟氧化玻璃陶瓷。结果发现,二次热处理后玻璃陶瓷材料的发光强度提升超百倍且发光颜色发生明显变化,最终获得高色纯度、发光可调谐的玻璃陶瓷材料。Wang等[4]指出稀土活化玻璃陶瓷兼具优异物化性质、高热稳定性及高发光效率,并探究了Tb3+掺杂含Na2Ca2Si3O9晶相玻璃陶瓷的发光性能。研究发现,玻璃陶瓷的内量子效率明显高于母玻璃相,且在高温下呈现卓越的抗热猝灭特性。大量研究表明,稀土离子在玻璃陶瓷基质中不仅展现出优异的发光性能,更具备突出的荧光热稳定性,在照明与显示等领域有着广泛的应用前景。
硅酸盐玻璃作为重要工业玻璃体系,具有原料丰富、成本低廉及实用价值高等特点。另外,较高的透明度、优良的机械性能和良好的热稳定性使得硅酸盐玻璃也可充当发光基质材料,并且其作为掺杂基质时性能表现优异[5-9]。与硅酸盐玻璃相比,基于硅酸盐玻璃得到的玻璃陶瓷在内部晶相的作用下可展现更优的综合性能,因此有必要深入研究硅酸盐玻璃陶瓷基质发光材料。Tb3+离子是典型的绿光激活离子,主发射峰位于550 nm附近,兼具490 nm左右的蓝光发射峰,广泛应用于绿光激光器及白光LED绿光组分[10-11]。Eu3+离子受激发时通常在橙红光区呈现尖锐特征发射峰,是一种理想的红光发射中心[12-13]。在Tb3+、Eu3+共存体系中,由于两者之间存在接近的能级,因此Tb3+会将部分能量传递给Eu3+进而增强其发光,这会对体系的发光性能产生影响。目前关于Tb3+-Eu3+掺杂玻璃陶瓷的研究主要集中于氟氧化物玻璃陶瓷体系,而硅酸盐玻璃陶瓷中Tb3+-Eu3+的发光性能和荧光热稳定性仍需进一步深入探索。
我们制备了一系列Tb3+‑Eu3+掺杂含Na8.12Y1.293 Si6O18晶相的硅酸盐玻璃陶瓷,分析了热处理条件对其维氏硬度和发光强度的影响。对比研究了前驱体玻璃和玻璃陶瓷的发光性能和荧光热稳定性,讨论了该体系中Tb3+和Eu3+的浓度猝灭、能量传递和热猝灭现象。最后,探讨了所制备材料在照明、显色、温度探测等领域的潜在应用。
1. 实验部分
1.1 样品的制备
SiO2、Na2CO3、P2O5、Sb2O3均为分析纯试剂(国药集团化学试剂有限公司),Y2O3、Tb4O7、Eu2O3均为高纯试剂(99.99%,麦克林试剂)。
前驱体玻璃采用传统熔融-退火法制备,玻璃陶瓷是在前驱体玻璃的基础上进行热处理后得到的。将物质的量之比为64∶29∶(0.027-x-y)∶3∶1.3∶0.25x∶0.5y(x=0~0.8%,y=0~0.6%)的原料SiO2、Na2CO3、Y2O3、P2O5、Sb2O3、Tb4O7、Eu2O3充分混合研磨,随后转移至刚玉坩埚中并在1 450 ℃高温炉中熔融90 min。熔融过程结束后,取出玻璃液倒在模具中压制成片,并将玻璃片迅速转移至500 ℃的马弗炉中退火2 h。退火后自然冷却至室温,得到前驱体玻璃,经热处理后得到一系列玻璃陶瓷。为便于表述,未掺杂的前驱体玻璃和玻璃陶瓷样品分别简称为PG0和GC0,Tb3+单掺杂的前驱体玻璃和玻璃陶瓷样品分别简称为xT-PG和xT-GC,Eu3+单掺杂的前驱体玻璃和玻璃陶瓷样品分别简称为yE-PG和yE-GC,Tb3+-Eu3+共掺杂的前驱体玻璃和玻璃陶瓷样品分别简称为xTyE-PG和xTyE-GC。
1.2 样品的表征
利用TGA/DSC 3+热重及同步热分析仪测试前驱体玻璃粉末的差式扫描量热(DSC)曲线,以确定其特征温度。使用DX2700型X射线衍射仪获得玻璃陶瓷的X射线衍射(XRD)图,进而对其进行物相表征。通过Hitachi SU8220型扫描电子显微镜(SEM)观察玻璃陶瓷的横截面,以讨论热处理时间对其微观形貌的影响。使用Tecnai G2 F20型透射电子显微镜(TEM)对样品中析出的晶粒作进一步分析,工作电压为200 kV。借助HV-1000Z型显微维氏硬度计测试前驱体玻璃和玻璃陶瓷的维氏硬度,每个样品测试5~10次,取平均值。使用F98型荧光光谱仪记录稀土掺杂样品的激发和发射光谱,分析不同条件下样品的发光性能。联用TAP-02型高温荧光控制器与F-7000荧光光谱仪采集样品在室温至220 ℃区间的变温荧光光谱,探究温度对发光性能的影响。
2. 结果与讨论
2.1 热处理条件的确定
PG0粉末的DSC曲线如图 1所示。从曲线中可以观察到明显的放热峰,这表明在适当的温度下对PG0进行热处理可制备出一系列玻璃陶瓷样品。曲线中位于387、667和712 ℃的特征拐点分别对应前驱体玻璃的玻璃转变温度(Tg)、起始结晶温度(Tx)和结晶峰温度(Tp)。较高的Tg表明PG0具有较强的抗热损伤性能,在高温环境下能够保持良好的稳定性和可靠性[14]。此外,根据Tg、Tx和Tp可以计算出玻璃的热稳定因子(ΔT、S),具体计算公式如下[15]:
$ ΔT=T_\text{x}-T_\text{g} $ (1) $ S=ΔT(T_\text{p}-T_\text{x})/T_\text{g} $ (2) 图 1
计算得知,PG0的ΔT=280 ℃,S=19.08 K。ΔT > 100 ℃表明PG0的成玻璃性较好,具有较好的热稳定性,这意味着以其为基础制备的玻璃陶瓷将展现出优异的热稳定性。较高的S值反映PG0的抗析晶性能好,暗示需要更高的热处理温度或更长的热处理时间诱发晶化。然而,热处理温度升高将加速析晶并降低可控性。为精准调控析晶行为,在该体系中选择较低的热处理温度(670 ℃)系统研究其对玻璃陶瓷微观结构与性能的影响。
将PG0和0.1%T0.1%E-PG在670 ℃保温不同时间制得一系列玻璃陶瓷,其XRD图如图 2a所示。可以观察到,热处理时间为15 min时,GC0的XRD图中仅出现玻璃的非晶衍射峰,表明此时GC0中几乎没有晶粒析出。当时间延长至30 min,图中出现微弱的衍射峰,证实GC0中开始析出晶粒。继续延长热处理时间,强烈且尖锐的晶体衍射峰出现,经与国际晶体结构数据库(ICSD)对比,确认这些衍射峰对应的晶相为Na8.12Y1.293Si6O18。GC0的结晶度(Xc)可通过晶体衍射峰面积(Sc)与非晶馒头峰面积(Sa)进行估算[16]:
$ X_\text{c}=S_\text{c}/(S_\text{c}+S_\text{a}) $ (3) 图 2
计算结果显示,670 ℃下保温30 min获得的GC0的结晶度仅约5%,而120 min时的结晶度提升至约81%。在高度结晶的情况下,GC0的XRD峰与标准Na8.12Y1.293Si6O18晶体卡片峰(ICSD No.419479)匹配良好,并且没有观察到其他杂质衍射峰,表明GC0中仅析出了Na8.12Y1.293Si6O18单一晶相。此外,该条件下得到的0.1%T0.1%E-GC的XRD峰位置与GC0一致且没有杂峰,表明少量稀土离子掺杂不会导致晶相发生改变。
为了获得GC0中Na8.12Y1.293Si6O18晶体的晶胞参数,对XRD图进行精修。如图 2b所示,精修因子Rwp < 10%,说明此次精修结果是可靠的。最终得到GC0中Na8.12Y1.293Si6O18晶体的晶胞参数:a=b=c=1.515 nm,α=β=γ=90°,V=3.477 nm3。相比于标准Na8.12Y1.293Si6O18晶体的晶胞参数:a=b=c=1.512 nm,α=β=γ=90°,V=3.457 nm3,所得晶体的晶胞体积略微膨胀,这可能源于原料中的其他离子或熔融过程中引入的杂质离子掺杂。
Na8.12Y1.293Si6O18晶体属于立方晶系,空间群为Pa3,晶胞结构如图 3所示,图中元素右侧括号内数字代表该元素Wyckoff位点的占位因子。晶胞结构由角连接的[SiO4]四面体组成的十二元环构成,这些环围绕着结构的三重轴排列[17]。当稀土离子掺杂进玻璃陶瓷中时,考虑到稀土离子的价态与Y3+的价态相同且半径相近,因此稀土离子优先占据Y3+位点。
图 3
不同热处理时间下制备的GC0的SEM图像如图 4所示。从图中可以观察到,30 min热处理时样品中析出的晶粒尺寸较小且数量较少,平均粒径约为60 nm,此时玻璃相占比远高于晶相,这与从XRD图中获得的信息相一致。随着热处理时间的延长,GC0中析出的晶粒数量逐渐增多且尺寸持续增大,平均粒径由60 nm逐渐增长至263 nm。当热处理时间延长至90 min时,晶粒之间开始出现聚积,这一现象在120 min时更加明显,此时晶相含量超过了玻璃相。为进一步分析晶粒的相关信息,测试了热处理90 min得到的GC0的TEM图像,如图 5所示。从图 5a中可以观察到玻璃相紧密包裹着晶相,这与玻璃陶瓷良好的物理性能紧密相关。图 5b为对应的高分辨TEM(HRTEM)图像,图中可观察到清晰的晶格条纹,测得的晶面间距d约为0.275 nm,对应Na8.12Y1.293Si6O18晶体的(521)晶面,进一步证明了GC0中析出的晶相为Na8.12Y1.293Si6O18。
图 4
图 5
玻璃陶瓷的维氏硬度受晶粒尺寸和数量的影响显著,图 6对比了PG0与不同热处理条件下制备的GC0的维氏硬度。结果表明,GC0的维氏硬度显著高于PG0,且随着热处理时间的延长,维氏硬度提升效果越来越明显。当热处理时间为90和120 min时,GC0的维氏硬度较PG0分别提升了约26%和31%。
图 6
为排除其他因素干扰并选择出最有利于发光的热处理条件,测试了0.1%E-PG和0.1%E-GC的荧光光谱,如图 7所示。图 7a为在610 nm发射波长监测下0.1%E-GC的激发光谱,图中有明显的特征激发峰(363、382、395、415和466 nm)出现,分别对应Eu3+基态能级7F0到5D4、5L7、5L6、5D3和5D2激发态能级的吸收跃迁。其中395 nm处的激发峰最强,故选定其为Eu3+掺杂样品的激发波长,由此得到的发射光谱如图 7b所示。位于591、610、653和703 nm处的发射峰是由Eu3+激发态能级向7F1、7F2、7F3和7F4基态能级的辐射跃迁引起的。比较不同热处理时间下发射峰强度的变化可以发现,相应的玻璃陶瓷的发射峰强度先随着时间延长而逐渐增强,并在90 min时强度达到最佳,这与增加的晶粒数量为Eu3+提供了更多的掺杂位点有关。继续延长热处理时间时,发射峰强度开始下降,这是由于0.1%E-GC中晶粒聚积造成更加明显的光损耗导致的。综上所述,以670 ℃、90 min作为玻璃陶瓷的最佳热处理条件。
图 7
2.2 xT-GC的发光性能
Tb3+作为典型绿光激活离子,在绿光显示与激光器等领域应用广泛。图 8a为0.1%T-GC的激发光谱,377 nm处存在的最强激发峰对应7F6到5D3能级的吸收跃迁。以377 nm为激发波长,得到xT-GC的发射光谱,图 8b中出现的发射峰分别归因于 5D3→7F4(436 nm)、5D3→7F3(443 nm)、5D4→7F6(486、496 nm)、5D4→7F5(541、550 nm)、5D4→7F4(582、597 nm)和5D4→7F3(620 nm)的辐射跃迁。随着Tb3+浓度增大,特征发射峰强度先增强后减弱,当掺杂浓度为0.5%时发射峰强度最大,超过此浓度后观察到明显的浓度猝灭现象。
图 8
Tb3+的浓度猝灭机理可借助公式4进行讨论[18]:
$ \lg\frac{I}{x}=K-\frac{\theta }{3}\lg x $ (4) 式中,I代表发射峰强度,x表示Tb3+的掺杂浓度,K为常数,θ=6、8、10(分别代表偶极-偶极、偶极-四极、四极-四极相互作用)。图 9展示了lg x与lg (I/x)之间的关系,通过拟合得到该直线斜率为-3.29,θ=9.87。θ值接近于10,表明Tb3+在该玻璃陶瓷中的浓度猝灭由四极-四极相互作用主导。
图 9
xT-GC(x=0.1%~0.8%)的色度坐标如图 10所示。当掺杂浓度为0.5%时,样品的色度坐标位于绿光区,对应于e点(0.285 7,0.572 8)。色纯度(Pc)作为发光材料的关键性能指标,可通过公式5进行计算[19]:
$ {P}_\text{c}=\frac{\sqrt{({X}_\text{s}-{X}_\text{i}{)}^{2}+({Y}_\text{s}-{Y}_\text{i}{)}^{2}}}{\sqrt{({X}_\text{d}-{X}_\text{i}{)}^{2}+({Y}_\text{d}-{Y}_\text{i}{)}^{2}}}\times 100\% $ (5) 图 10
式中,(Xd,Yd)表示主波长的色度坐标,(Xs,Ys)表示样品的色度坐标,(Xi,Yi)代表纯白光的色度坐标。计算得到0.5%T-GC的色纯度约为60%,表明Tb3+单掺玻璃陶瓷在绿光显示等领域具有潜在的应用价值。
2.3 xTyE-GC的发光性能
Eu3+作为典型的红光激活离子,与Tb3+共掺于同一体系时,通过调节掺杂比例或激发波长可实现发光颜色调控,获得可调谐发射。图 11对比了0.1%T-GC与0.1%E-GC的激发光谱,二者在363、377和383 nm处有较大的激发峰重叠,这意味着这3个激发波长能够同时高效地激发Tb3+和Eu3+。
图 11
以363、377和383 nm分别作为激发波长,得到0.5%T0.1%E-GC的发射光谱如图 12a所示。3个发射光谱中均观察到Tb3+与Eu3+的特征发射峰,证实了激发波长选择的有效性。不同激发波长下,Tb3+与Eu3+的发射峰强度表现出明显差异。363 nm时两者的发射峰强度相对较弱;377 nm时发射峰强度同步增强且强度相近;383 nm时Eu3+发射峰强度显著增强而Tb3+发射峰强度明显下降。图 12b显示了在363、377和383 nm激发下0.5%T0.1%E-GC的色度坐标,对应的坐标值分别为(0.389 7,0.389 4)、(0.387 6,0.409 4)和(0.451 1,0.326 1),分别位于白光区、黄光区和粉光区。结果表明,通过调控激发波长可实现xTyE-GC多色发光输出,这使其在显色与照明等领域具有潜在应用价值。
图 12
以377 nm为激发波长,进一步探究了0.5%TyE-GC(y=0.1%~0.6%)的发光性能与能量传递过程,如图 13所示。随着Eu3+掺杂浓度的增大,位于591和610 nm处的发射峰强度逐渐增强,当浓度达到0.4%时发射强度最大,超过此浓度后则因浓度猝灭效应而开始下降。进一步观察可以发现,当Eu3+掺杂浓度为0.1%时,610 nm处的发射峰强度明显优于591 nm处的发射峰,表明大部分Eu3+处于对称性较低的环境,推测其富集于玻璃相,这可能与掺杂浓度低有关。随着Eu3+掺杂浓度的进一步增大,591与610 nm处发射峰的强度接近甚至反超,表明越来越多的Eu3+所处环境的对称性更高。与玻璃相相比,晶相具有更高的结构对称性,因此可以推测越来越多的Eu3+掺杂进Na8.12Y1.293Si6O18晶体中并占据Y3+位点。此外,当掺杂浓度大于0.2%时,Eu3+位于610 nm处的发射峰出现了明显的劈裂现象,进一步佐证Eu3+掺杂进了Na8.12Y1.293Si6O18晶体中。
图 13
另一方面,随着Eu3+掺杂浓度的增大,Tb3+位于541和550 nm处的发射峰强度呈单调递减趋势,证明Tb3+将部分能量传递给了Eu3+以增强其发光[20]。图 14为Tb3+与Eu3+的能级示意图,该图可以解释它们之间的能量传递过程。Tb3+处于基态的粒子被377 nm光激发后跃迁到5D3激发态能级,随后部分粒子以辐射跃迁的形式释放能量并跃迁至7F4和7F3能级,发出特征波长的光。另一部分处于激发态的粒子先以非辐射的形式释放能量并弛豫至5D4能级,然后再以辐射跃迁的形式释放能量并返回基态能级,发出不同波段的光。此外,由于Tb3+的5D4能级与Eu3+的5D2、5D1和5D0能级较为接近,因此Tb3+会将部分能量传递给Eu3+。能量传递会消耗5D4(Tb3+)能级的能量,导致与5D4能级有关的发射峰强度降低,同时会增强与5D0(Eu3+)能级有关的发射峰强度。
图 14
Tb3+与Eu3+之间的能量传递效率(ηET)可借助公式6进行估算:
$ η_\text{ET}=1-τ_\text{s}/τ_\text{s0} $ (6) 式中,τs和τs0分别代表 0.5%T-GC在存在和不存在Eu3+时的荧光寿命。在377 nm激发下,0.5%T-GC及0.5%TyE-GC的荧光衰减曲线如图 15所示。可以观察到,随着Eu3+掺杂浓度的增大,Tb3+(550 nm)的荧光寿命逐渐缩短,这一现象也证明Tb3+将部分能量传递给了Eu3+。Eu3+的掺杂浓度为0.2%、0.3%、0.4%、0.5%和0.6%时,计算得到的能量传递效率依次为4.83%、11.84%、17.39%、24.15%和29.47%。Tb3+到Eu3+的能量传递效率随着Eu3+浓度的增大而增加,这归因于Tb3+周围的Eu3+数量逐渐增多,Tb3+会将更多能量传递给Eu3+。
图 15
2.4 xTyE-GC的荧光热稳定性
以0.5%T0.3%E-PG和0.5%T0.3%E-GC为研究对象,继续探究温度对样品发光性能的影响。图 16为0.5%T0.3%E-PG和0.5%T0.3%E-GC在293~493 K区间内的变温荧光光谱,温度梯度为20 K。对比图 16a和16b可以发现,Tb3+与Eu3+在前驱体玻璃中的发射强度相差较小,而在玻璃陶瓷中的相差较大,这可能是由于Tb3+和Eu3+在前驱体玻璃中分布较为分散,两者之间的相互作用较弱。当二者掺杂进晶相时,Tb3+与Eu3+的间距变小,能量传递更易发生,导致Tb3+的发射峰强度下降而Eu3+的发射峰增强,因此两者发射峰之间的强度差变大。此外,该现象可能还与晶相对Tb3+和Eu3+发光强度的提升效果差异有关。
图 16
为了更清楚地观察温度对0.5%T0.3%E-PG和0.5%T0.3%E-GC发射强度的影响,对图 16中各发射峰强度随温度的变化情况进行汇总,如图 17所示。由图 17a可知,在293~373 K温度范围内,541、550和610 nm处的发射峰强度随温度升高而增强,呈现负热猝灭特性。针对这一现象,众多研究者从不同角度进行了分析和解释[21-23],我们认为0.5%T0.3%E-PG中出现的负热猝灭效应与部分热辐射能量转换为光辐射能量有关。基质缺陷形成的电子陷阱会捕获电子,随着温度升高,被捕获的电子获得由热能转换而来的额外能量,这些处于高能级的电子会将能量转移给Tb3+和Eu3+的激发态,从而使发射强度增强[24]。当温度超过373 K后,0.5%T0.3%E-PG出现热猝灭现象,即发射强度随温度升高而下降。0.5%T0.3%E-GC位于541、550、591和610 nm处的发射峰强度随温度升高呈下降趋势,如图 17b所示,这归因于强烈的热猝灭效应。0.5%T0.3%E-GC的热猝灭活化能(ΔE)可通过变形的阿伦尼乌斯公式进行估算[25]:
$ {I}_{T}=\frac{{I}_{0}}{1+A \exp[-\Delta E/(kT\left)\right]} $ (7) 图 17
式中,I0为初始发射强度,IT是不同温度下的发射强度,k为玻尔兹曼常数,A为常数。根据公式拟合得到ln(I0/IT-1)与1/(kT)的关系曲线,如图 18所示,可知其斜率为-0.241 54,计算得到0.5%T0.3%E-GC的热猝灭活化能约为0.24 eV。较高的热猝灭活化能表明0.5%T0.3%E-GC可在高温下保持稳定的发光,是一种可靠的发光材料。
图 18
温度变化会影响样品的发射峰强度,可能导致材料的发光颜色发生改变。图 19为0.5%T0.3%E-PG和0.5%T0.3%E-GC随温度变化的色度坐标。可以观察到,在293~493 K温度范围内,0.5%T0.3%E-PG和0.5%T0.3%E-GC的色度坐标分别集中在黄光和橙光区,说明温度变化对色度坐标的影响很小。色度坐标的稳定性可以用色度偏移(ΔC)来描述[26]:
$ \Delta C=\sqrt{({u}_{T}^{{'}}-{u}_{0}^{{'}}{)}^{2}-{\left({v}_{T}^{{'}}-{v}_{0}^{{'}}\right)}^{2}+({w}_{T}^{{'}}-{w}_{0}^{{'}}{)}^{2}} $ (8) 图 19
式中u′=4X/(3-2X+12Y),v′=9Y/(3-2X+12Y),w′=1- u′-v′,u′和v′是标准色空间中的色度坐标,X和Y是CIE色度坐标,下标0和T分别代表室温和给定温度。计算可得,在493 K时,0.5%T0.3%E-PG和0.5%T0.3%E-GC的色度偏移分别为1.8×10-2和2.1×10-2,较小的色度偏移进一步证明所制备的材料具有良好的荧光热稳定性。
2.5 xTyE-GC的温度传感性能
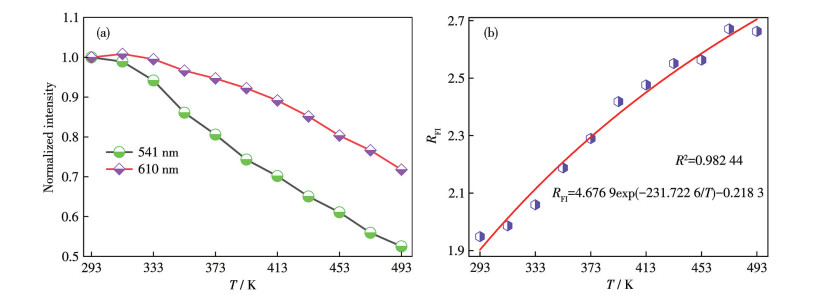
通过变温荧光光谱研究发现,各发射峰对温度变化表现出不同的响应,即不同温度下其荧光强度比存在差异。这一特性为0.5%T0.3%E-GC在温度传感领域的应用提供了研究基础。图 20a展示了0.5%T0.3%E-GC在541和610 nm处发射峰的归一化强度随温度的变化情况。由图可知,2个发射峰强度均随温度升高而减弱,但降幅存在明显差异。在493 K时,610 nm处的发射峰强度可以保持在室温的71%,而541 nm处的发射峰强度仅能维持在室温的52%。非热耦合能级的荧光强度比(RFI)与温度之间的关系可用式9表示:
$ R_\text{FI}=A \exp(-B/T)+C $ (9) 图 20
其中,T表示热力学温度,A、B、C均为常数[27]。610和541 nm处发射峰的荧光强度比(RFI)如图 20b所示,拟合可知,A、B、C分别为4.676 9、231.722 6、-0.218 3,因此式9可以改写为下式:
$ R_\text{FI}=4.676 9 \exp(-231.722 6/T)-0.218 3 $ (10) 在温度探测应用中,了解测温材料的温度灵敏度(S)至关重要。温度灵敏度可以定义为在一定温度下,单位温度变化时荧光强度比的变化,可以表示为[28]
$ S=\frac{\text{d}{R}_\text{FI}}{\text{d}T}=\frac{AB}{{T}^{2}}\exp(-B/T) $ (11) 将式10中的A、B代入上式,即可求出不同温度对应的灵敏度,计算结果如图 21所示。在293~493 K温度范围内,0.5%T0.3%E-GC的温度灵敏度随温度升高逐渐降低,在293 K时对应最大温度灵敏度,其值为5.7×10-3 K-1。显然,0.5%T0.3%E-GC更适合低温下的检测。与一些温度传感材料相比,0.5%T0.3%E-GC具有接近或更好的温度灵敏度[29-32],如表 1所示。这表明0.5%T0.3%E-GC不仅在照明与显色领域有潜在应用,在温度探测方面也有一定应用价值。
图 21
表 1
Material Temperature range / K Smax / K-1 Ref. K3YF6∶Dy3+/Sm3+ glass ceramic 298-448 6.35×10-3 [29] KAlSi2O6∶Er3+/Yb3+ glass ceramic 298-798 4.59×10-3 [30] TeO2-PbF2-AlF3∶Er3+ glass 298-547 5.4×10-3 [31] NaLnTiO4∶Er3+, Yb3+ phosphor 300-510 4.5×10-3 [32] Na8.12Y1.293Si6O18∶Tb3+/Eu3+ glass ceramic 293-493 5.7×10-3 This work 可重复性和可逆性是评价温度探测材料的一项重要指标,因此我们测试了0.5%T0.3%E-GC在低温(293 K)和高温(493 K)下的温度循环实验,计算得到的RFI如图 22所示。从图中可以观察到,0.5%T0.3%E-GC的RFI在4个温度循环实验中基本可以恢复到原来的水平。此外,借助下式计算了样品的热重复性比(R):
$ R=1-\frac{\max\left(\left|{R}_\text{FIa}-{R}_\text{FI}\right|\right)}{{R}_\text{FIa}} $ (12) 图 22
式中,RFIa代表4个热循环中每个温度下RFI的平均值,RFI代表每个温度对应的具体值[33]。计算得到的热重复性比约为96.6%,表明0.5%T0.3%E-GC在温度探测应用时具有良好的可靠性。
3. 结论
采用熔融-晶化法成功制备了Tb3+-Eu3+掺杂含Na8.12Y1.293Si6O18晶相的玻璃陶瓷。通过DSC曲线选择了670 ℃作为玻璃陶瓷的热处理温度,该温度下玻璃陶瓷析出单一的Na8.12Y1.293Si6O18晶相。玻璃陶瓷样品中晶粒数量和尺寸随热处理时间延长逐渐增大,这种微观形貌的变化直接影响样品的维氏硬度和发光强度,最终确定最有利于发光的热处理时间为90 min。Tb3+在该玻璃陶瓷中的最佳掺杂浓度为0.5%,超过该浓度会出现四极-四极相互作用主导的浓度猝灭现象。在Tb3+-Eu3+双掺玻璃陶瓷的发射光谱中,可观察到Tb3+向Eu3+的能量传递现象。在实验掺杂浓度范围内,能量传递效率最高可达29.47%。通过改变激发波长或掺杂浓度,双掺样品可实现可调谐发光。玻璃陶瓷在293~493 K温度范围内表现出良好的荧光热稳定性,其热猝灭活化能约为0.24 eV,在493 K时的色度偏移为2.1×10-2。此外,玻璃陶瓷表现出较好的温度传感性能,在293 K时对应最大温度灵敏度(5.7×10-3 K-1),热重复性比约为96.6%。研究表明,所制备的Tb3+-Eu3+掺杂含Na8.12Y1.293Si6O18晶相的玻璃陶瓷在可调谐发光及温度探测中具有潜在应用价值。
-
-
[1]
郑喜贵, 孔玉强, 王桂录, 王子栋, 齐星宇, 马跃龙. 固态照明用荧光陶瓷/玻璃器件化研究进展[J]. 化学通报, 2024, 87(10): 1158-1168.ZHENG X G, KONG Y Q, WANG G L, WANG Z D, QI X Y, MA Y L. Research progress in phosphor ceramic/glass device for solid-state lighting[J]. Chemistry, 2024, 87(10): 1158-1168
-
[2]
YANG L R, LIU M Y, GAO Z X, JIANG B L, ZHOU W B, SHANG F, CHEN G H. Adjustable white-light emission performance of Dy3+/Tm3+ double-doped glass and NaGd(MoO4)2 glass ceramic[J]. Opt. Mater., 2023, 137: 113562 doi: 10.1016/j.optmat.2023.113562
-
[3]
HE Z X, GAO Y, REN J, CHEN J B. Effect of concentration of Er3+ on up-conversion luminescence in NaYF4 containing oxy-fluoride glass-ceramics[J]. J. Am. Ceram. Soc., 2024, 107(8): 5482-5489 doi: 10.1111/jace.19817
-
[4]
WANG Y H, LIU W Z, WEI Y C, GU Y, TANG N W, LIU Z Y, LI T T, XIAO Z L, YU J B, HAN L. A novel Na2Ca2Si3O9∶Tb3+ glass ceramic with high luminescence efficiency and robust thermal stability for white LED lighting application[J]. Ceram. Int., 2024, 50(22): 45508-45519 doi: 10.1016/j.ceramint.2024.08.389
-
[5]
LIU Y K, YANG B B, YU Z Y, WANG Q, ZOU J. Eu3+@Cs4SnBr6 NCs-doped silicate glass with efficient tunable white light emission via energy transfer and multi-emission photoluminescence properties[J]. Mater. Today Chem., 2024, 42: 102387 doi: 10.1016/j.mtchem.2024.102387
-
[6]
FU W B, ZHANG C M, LI Z W, XIA J A, PING Y X. Luminescence of Cr3+/Yb3+ co-doped oxyfluoride silicate glasses for crystalline silicon solar cell down-conversion devices[J]. Ceram. Int., 2020, 46(10): 15054-15060 doi: 10.1016/j.ceramint.2020.03.038
-
[7]
SUN Y, MA J P, SHAO C Y, WANG X, YU F, LIAO M S, HU L L, KNIGHT J. Photodarkening mechanisms of Pr3+ singly doped and Pr3+/Ce3+ co-doped silicate glasses and fibers[J]. J. Am. Ceram. Soc., 2022, 105: 3291-3302 doi: 10.1111/jace.18318
-
[8]
LIAN C F, YE X, KANG S L, GAO C W, XU T F, DAI S X, LIN C G, TAN L L. Broadband NIR emission from Te doped silicate glass as gc-LED light source for biological detection[J]. Ceram. Int., 2024, 50(12): 21318-21323 doi: 10.1016/j.ceramint.2024.03.242
-
[9]
ISMAIL M M, MAHDY E A, ABO-MOSALLAM H A. Spectroscopic properties of Ce3+ doped silicate glasses for near-UV white LEDs and blue laser applications[J]. Opt. Mater., 2025, 158: 116411 doi: 10.1016/j.optmat.2024.116411
-
[10]
UEDA K, AOKI T, SHIMIZU Y H, MASSUYEAU F, JOBIC S. Luminescence and location of Gd3+ or Tb3+ ions in perovskite-type LaScO3[J]. Inorg. Chem., 2018, 57(15): 8718-8721 doi: 10.1021/acs.inorgchem.8b01288
-
[11]
TIAN X Y, GUO L T, WEN J, ZHU L, JI C Y, HUANG Z, LUO F, LIU X, LI J, LI C Y, PENG H X, PENG Y X, ZHOU S Y, LI G W. Thermometric properties of SrMoO4∶Tb3+ phosphor based on redshift of charge transfer band edge[J]. Ceram. Int., 2024, 50(11): 20573-20581 doi: 10.1016/j.ceramint.2024.03.179
-
[12]
YU C Y, YANG Z W, QIU J B, SONG Z G, DACHENG Z. Enhanced photoluminescence property and mechanism of Eu3+-doped tellurite glasses by the silver and gold nanoparticles[J]. J. Am. Ceram. Soc., 2018, 101(2): 612-623 doi: 10.1111/jace.15222
-
[13]
WANG K, LIU Y, TAN G Q, LIU D H, MA S Y, ZHAO M Z. Structure, luminescence and energy transfer of LiLa(MoO4)2∶Dy3+, Eu3+ crystal[J]. J. Lumin., 2018, 197: 354-359 doi: 10.1016/j.jlumin.2017.12.013
-
[14]
李光伟, 林丹颖, 郑安琪, 刘玉娜, 朱宗利, 陈新, 赵斌. Nb2O5摩尔分数变化对碲锌钡铌玻璃性能的影响[J]. 福州大学学报(自然科学版), 2020, 48(1): 122-127.LI G W, LIN D Y, ZHENG A Q, LIU Y N, ZHU Z L, CHEN X, ZHAO B. Effect of Nb2O5 mole fraction variation on the properties of tellurium-zinc-barium-niobium glasses[J]. Journal of Fuzhou University (Natural Science Edition), 2020, 48(1): 122-127
-
[15]
KLIMESZ B, DOMINIAK-DZIK G, RYBA-ROMANOWSKI W. Thermal and radiative characteristics of oxyfluoride glass singly doped with lanthanide ions[J]. J. Rare Earths, 2010, 28(6): 893-898 doi: 10.1016/S1002-0721(09)60215-5
-
[16]
JIA F Y, XU S N, ZHANG G D, ZHAO T L, ZOU X Y, ZHANG H B. Effect of Mg2+/Sr2+ addition on luminescence properties of Dy3+ doped glass ceramics containing Ca2Ti2O6[J]. Opt. Mater., 2022, 131: 112715 doi: 10.1016/j.optmat.2022.112715
-
[17]
TOBBENS D M, KAHLENBERG V, KAINDL R, SARTORY B, KONZETT J. Na8.25Y1.25Si6O18 and its family of zwolfer ring silicates[J]. Z. Kristall., 2008, 223(6): 389-398
-
[18]
WANG S Y, ZHANG H B, WANG T, LV H M, ZOU X Y, WEI Y L, HU W H, SU C H. Synthesis and luminescence properties of Sm3+ doped molybdate glass ceramic[J]. J. Alloy. Compd., 2020, 823: 153822 doi: 10.1016/j.jallcom.2020.153822
-
[19]
ZHONG Y F, SUN P F, GAO X, LIU Q, HUANG S S, LIU B T, DENG B, YU R J. Synthesis and optical properties of new red- emitting SrBi2Ta2O9∶Eu3+ phosphor application for w-LEDs commercially based on InGaN[J]. J. Lumin., 2019, 212: 45-51 doi: 10.1016/j.jlumin.2019.03.057
-
[20]
ZHANG X G, ZHANG J L, CHEN Y B, GONG M L. Energy transfer and multicolor tunable emission in single-phase Tb3+, Eu3+ co-doped Sr3La(PO4)3 phosphors[J]. Ceram. Int., 2016, 42(12): 13919-13924 doi: 10.1016/j.ceramint.2016.05.202
-
[21]
FANG S Q, LANG T C, HAN T, WANG J Y, YANG J Y, CAO S X, PENG L L, LIU B T, YAKOVLEV A N, KOREPANOV V I. Zero-thermal-quenching of Mn4+ far-red-emitting in LaAlO3 perovskite phosphor via energy compensation of electrons' traps[J]. Chem. Eng. J., 2020, 389: 124297 doi: 10.1016/j.cej.2020.124297
-
[22]
陈子军, 曹春燕, 郑翌飞, 张敏, 黄倪慧, 白碧海, 谢安. Lu2(MoO4)3∶Eu3+荧光粉的制备及热增强发光[J]. 功能材料, 2023, 5(4): 4196-4201.CHEN Z J, CAO C Y, ZHENG Y F, ZHANG M, HUANG N H, BAI B H, XIE A. Preparation and thermally enhanced luminescence of Lu2(MoO4)3∶Eu3+ phosphors[J]. J. Funct. Mater., 2023, 5(4): 4196-4201
-
[23]
陈瑞, 刘瑞, 王鹏飞, 林航, 程遥, 王元生. 稀土激活的荧光热增强材料研究进展[J]. 发光学报, 2024, 45(3): 383-398.CHEN R, LIU R, WANG P F, LIN H, CHENG Y, WANG Y S. Advances in luminescence thermal enhancement of rare earth activated phosphors[J]. Chinese Journal of Luminescence, 2024, 45(3): 383-398
-
[24]
邬智高, 李燕, 凌邵堃, 王亚雄, 黄映恒, 廖森. CaCO3∶Eu3+@K2CO3红光荧光粉的合成及其发光的负热猝灭效应[J]. 化工技术与开发, 2021, 50(9): 1-9.WU Z G, LI Y, LING S K, WANG Y X, HUANG Y H, LIAO S. Synthesis of CaCO3∶Eu3+@K2CO3 red emitting phosphors and their luminescent negative thermal quenching effect[J]. Technology & Development of Chemical Industry, 2021, 50(9): 1-9
-
[25]
HUA Y B, XUE J P, YU J S. Design of a novel WLED structure based on the non‑rare‑earth Ca2Y(Nb, Sb)O6∶Mn4+ materials[J]. Ceram. Int., 2021, 47(17): 24296-24305 doi: 10.1016/j.ceramint.2021.05.141
-
[26]
ZHANG X J, HUANG L, PAN F J, WU M M, WANG J, CHEN Y, SU Q. Highly thermally stable single-component white-emitting silicate glass for organic-resin-free white-light-emitting diodes[J]. ACS Appl. Mater. Interfaces, 2014, 6(4): 2709-2717 doi: 10.1021/am405228x
-
[27]
CHEN G R, LEI R S, HUANG F F, WANG H P, ZHAO S L, XU S Q. Optical temperature sensing behavior of Er3+/Yb3+/Tm3+∶Y2O3 nanoparticles based on thermally and non-thermally coupled levels[J]. Opt. Commun., 2018, 407: 57-62 doi: 10.1016/j.optcom.2017.09.014
-
[28]
CHEN D Q, LIU S, WAN Z Y, CHEN Y. A highly sensitive upconverting nano-glass-ceramic-based optical thermometer[J]. J. Alloy. Compd., 2016, 672: 380-385 doi: 10.1016/j.jallcom.2016.02.138
-
[29]
KE L, CAI X Y, REN K K, ZHANG Y P. Color tunability and temperature sensing capabilities in Dy3+/Sm3+ co-doped transparent oxyfluoride glass ceramics containing K3YF6 nanocrystals[J]. Ceram. Int., 2024, 50(16): 28281-28289 doi: 10.1016/j.ceramint.2024.05.128
-
[30]
SHANG F, CHEN Y, XU J W, YANG T, YANG Y, CHEN G H. Up-conversion luminescence and highly sensing characteristics of Er3+/Yb3+ co-doped borophosphate glass-ceramics[J]. Opt. Commun., 2019, 441: 38-44 doi: 10.1016/j.optcom.2019.02.034
-
[31]
LEON‑LUIS S F, RODRÍGUEZ‑MENDOZA U R, LALLA E, LAVÍNA V. Temperature sensor based on the Er3+ green upconverted emission in a fluorotellurite glass[J]. Sensor. Actuat. B‒Chem., 2011, 158(1): 208-213 doi: 10.1016/j.snb.2011.06.005
-
[32]
HE D, GUO C F, JIANG S, ZHANG N M, DUAN C K, YIN M, LI T. Optical temperature sensing properties of Yb3+‑Er3+ co‑doped NaLnTiO4 (Ln=Gd, Y) up-conversion phosphors[J]. RSC Adv., 2015, 5: 1385-1390 doi: 10.1039/C4RA11771A
-
[33]
WANG Y, GUO N, SHAO B Q, YAO C F, OUYANG R Z, MIAO Y Q. Adjustable photoluminescence of Bi3+ and Eu3+ in solid solution constructed by isostructural end components through composition and excitation-driven strategy[J]. Chem. Eng. J., 2021, 421: 127735 doi: 10.1016/j.cej.2020.127735
-
[1]
-
表 1 一些温度传感材料的灵敏度
Table 1. Sensitivity of some temperature sensing materials
Material Temperature range / K Smax / K-1 Ref. K3YF6∶Dy3+/Sm3+ glass ceramic 298-448 6.35×10-3 [29] KAlSi2O6∶Er3+/Yb3+ glass ceramic 298-798 4.59×10-3 [30] TeO2-PbF2-AlF3∶Er3+ glass 298-547 5.4×10-3 [31] NaLnTiO4∶Er3+, Yb3+ phosphor 300-510 4.5×10-3 [32] Na8.12Y1.293Si6O18∶Tb3+/Eu3+ glass ceramic 293-493 5.7×10-3 This work -
扫一扫看文章
计量
- PDF下载量: 3
- 文章访问数: 1421
- HTML全文浏览量: 187

下载:
下载: