基于炔/硫环加成反应构筑W/Cu/S簇基超分子及其三阶非线性光学性质

王玉杰 王劳棒 张政 刘琦 郎建平

引用本文: 王玉杰, 王劳棒, 张政, 刘琦, 郎建平. 基于炔/硫环加成反应构筑W/Cu/S簇基超分子及其三阶非线性光学性质[J]. 无机化学学报, 2025, 41(10): 2069-2077. doi: 10.11862/CJIC.20250129 shu
Citation:  Yujie WANG, Laobang WANG, Zheng ZHANG, Qi LIU, Jianping LANG. Construction of W/Cu/S cluster-based supramolecular compounds via alkynyl/sulfur cycloaddition and their third-order nonlinear optical properties[J]. Chinese Journal of Inorganic Chemistry, 2025, 41(10): 2069-2077. doi: 10.11862/CJIC.20250129 shu

基于炔/硫环加成反应构筑W/Cu/S簇基超分子及其三阶非线性光学性质

    通讯作者: 刘琦, E-mail:qi.liu@suda.edu.cn; 郎建平, E-mail:jplang@suda.edu.cn
  • 基金项目:

    国家自然科学基金 22271203

    苏州市资源分子精准转化重点实验室 SZS201905

    国家自然科学基金 22371109

    国家自然科学基金 22171123

    河南省杰出青年基金项目 242300421036

摘要: 以(Et4N)[Tp*WS3(CuCl)3] (A)(Tp*=三(3,5-二甲基吡唑)氢合硼酸根)为前驱簇,经Ag(OTf)脱氯后,分别与2种含炔基双齿吡啶配体1,3-双[4-(吡啶-4-基乙炔基)苯基]丙烷(L1)和1,3-双[4-(吡啶-4-基乙炔基)苯基]丙-2-酮(L2)进行自组装,构筑了2个W/Cu/S簇基超分子矩形大环化合物[(Tp*WS3Cu2Cl)4(L1)2]·6CH2Cl2 (1·6CH2Cl2)和[(Tp*WS3Cu2Cl)4(L2)2]·6CH2Cl2 (2·6CH2Cl2)。在构筑这2个簇合物的过程中,L1或L2中的1个炔基与前驱簇A中2个S发生了不多见的环加成反应,从而形成了12簇基超分子矩形大环。在1·6CH2Cl22·6CH2Cl2的反应体系中引入吡啶(Py)作为第二配体,获得了新型簇合物[Tp*WS3Cu3(μ3-Cl)(Py)3](OTf) (3)。通过单晶X射线衍射、电喷雾电离质谱、红外光谱、紫外可见光谱和元素分析对3个簇合物进行了系统表征。单晶X射线衍射结果表明,1·6CH2Cl22·6CH2Cl2均是由2个双齿配体(L1或L2)桥联4个[Tp*WS3Cu2Cl]簇单元形成的簇基超分子矩形大环。簇合物3含有3个吡啶分子配位的阳离子[Tp*WS3Cu3(μ3-Cl)]+类立方烷型结构。采用Z扫描法对簇合物1·6CH2Cl22·6CH2Cl23的溶液的三阶非线性光学(NLO)性质进行测试,结果表明它们具有良好的三阶NLO响应。

English

  • 近年来,离散型超分子簇合物因其独特的拓扑结构及其在分子识别[1-3]、催化转化[4-9]、选择性分离[10-12]和化学传感[13-15]等领域的应用前景,已成为超分子化学研究的热点。配位驱动自组装策略是一种高效的“自下而上”的合成方法,为构建目标离散型超分子簇合物提供了有效途径[16-18]。通过合理设计金属节点(包括金属离子和金属簇)与有机配体的配位模式,可实现特定几何构型和功能性超分子簇合物的精准可控合成。当前,利用金属离子(如Pd2+、Pt2+、Cu+等)为节点来构筑离散型超分子簇合物的研究已取得了不少进展,并且在催化、封装等领域表现出良好的应用前景[19-21]。然而,由于合适的金属离子种类有限,因而在一定程度上制约了超分子的结构多样化发展。与之相比,选用簇基节点作为组装单元来设计和合成超分子簇合物,既可以实现单一金属离子难以构筑的复杂拓扑结构,还可以将簇节点的独特功能融入到超分子体系之中。因此,基于簇基节点的超分子体系正逐渐成为化学领域一个备受关注的新兴研究热点[22-23]

    在众多簇基超分子簇合物中,金属含硫团簇簇合物因其独特的配位形式和电子结构成为构建超分子结构的优异单元,并在光学应用领域,尤其是在三阶非线性光学(NLO)性质的研究中展现出良好的应用前景。自1994年忻新泉教授等[24]发现Mo/Ag/S立方烷簇的光学限幅性能优于C60以来,金属含硫团簇簇合物的三阶NLO性质研究取得了显著进展。一系列研究表明,重金属离子效应[25]和共轭效应[26]能够显著提升簇合物的NLO响应,推动了共轭有机配体修饰金属簇合物的发展[27-28]。本课题组使用W/Cu/S簇作为前驱簇,将它们与桥联配体组装,构建了系列W/Cu/S簇基超分子结构。研究发现,W/Cu/S簇基中的硫原子既可与Cu(Ⅰ)等金属离子配位,又能与炔基发生环加成反应,因而是一类理想的金属簇基前驱体。此外,合成得到的W/Cu/S簇基超分子表现出优异的三阶NLO响应,其响应强度往往优于单个簇合物。

    在本工作中,采用两步合成策略,首先利用Ag(OTf)对前驱簇(Et4N)[Tp*WS3(CuCl)3] (A)进行脱氯处理,之后分别与1,3-双[4-(吡啶-4-基乙炔基)苯基]丙烷(L1)和1,3-双[4-(吡啶-4-基乙炔基)苯基]丙-2-酮(L2)(图 1)自组装,制备了2个W/Cu/S簇基超分子矩形大环簇合物[(Tp*WS3Cu2Cl)4(L1)2]·6CH2Cl2 (1·6CH2Cl2)和[(Tp*WS3Cu2Cl)4(L2)2]·6CH2Cl2 (2·6CH2Cl2)。在其反应过程中,L1或L2中1个炔基与前驱簇中2个S发生了少见的环加成反应。在簇合物1·6CH2Cl2或簇合物2·6CH2Cl2的合成体系中额外引入Ag(OTf)进行二次脱氯,并添加吡啶(Py)作为第二配体。由于吡啶配体的竞争,形成了闭口类立方烷型结构[Tp*WS3Cu3(μ3-Cl)(Py)3](OTf) (3)。通过单晶X射线衍射、电喷雾电离质谱(ESI-MS)、红外光谱、紫外可见光谱和元素分析对簇合物1·6CH2Cl22·6CH2Cl2和3的结构进行了表征,并研究了它们在DMSO溶液中的三阶NLO性质。

    图 1

    图 1.  两种含炔基官能团的双齿吡啶配体的结构示意图
    Figure 1.  Structures of two bidentate pyridine ligands containing alkynyl functional groups

    A[29]、配体L1[30]和L2[31]根据文献中的方法进行合成。以CaH作为干燥剂,将乙腈在氮气保护下蒸馏4 h,纯化得到无水无氧的乙腈。其余药品和试剂均从商业渠道购买后使用。

    合成的3个W/Cu/S簇合物的C、N、H元素含量分析在Carlo-Erba CHNO-S上进行。红外光谱测试在红外光谱仪(VERTEX 70+HYPERION 2000型)上进行,测试范围为600~4 000 cm-11H NMR测试在核磁共振波谱仪(BRUKER AVANCE IIIHD,400 MHz)上进行。氘代溶剂参考化学氢位移:δH=5.32 (CD2Cl2),δH=7.26 (CDCl3)。质谱测试在电喷雾飞行质谱仪(Bruker impact Ⅱ)上进行。紫外可见吸收光谱测试在紫外可见分光光度仪(Varian Cary-50)上进行,测试的波长的范围为200~800 nm。

    1.2.1   配体L1的合成

    将1,3-二(4-溴苯基)丙-2-酮(1.50 g,4.08 mmol)、氢氧化钾(0.91 g,16.3 mmol)、水合肼(0.74 mL,12.23 mmol)溶于三甘醇(40 mL)中。将溶液加热至413 K后,加入8 mL H2O,加热回流2 h。蒸馏除去过量的H2O和N2H4,升温至473 K反应3.5 h。冷却至室温,将混合液倒入2 mol·L-1 HCl(150 mL)和CH2Cl2(100 mL)中,产生分层,水层用CH2Cl2萃取,合并的有机层用饱和NaHCO3和H2O洗涤。在无水Na2SO4干燥有机层后,采用减压蒸馏去除溶剂。利用石油醚作为洗脱剂,通过柱层析分离纯化,最终获得了纯净的白色固体1,3-二(4-溴苯基)丙烷(1.00 g,69%)。1H NMR(400 MHz,CDCl3):δ 7.40(d,J=6.4 Hz,4H),7.04(d,J=8.4 Hz,4H),2.58(t,J=7.7 Hz,4H),1.90(t,J=7.7 Hz,2H)。

    在氮气保护下,将1,3-二(4-溴苯基)丙烷(1.72 g,4.85 mmol)、4-乙炔基吡啶(1.0 g,9.70 mmol)、碘化亚铜(0.025 g,0.13 mmol)和双三苯基膦二氯化钯(0.059 g,0.085 mmol)依次加入100 mL干燥的反应烧瓶中,随后加入超干三乙胺(30 mL)。将反应物加热至373 K,保持回流状态48 h。反应完成后,冷却至室温,减压蒸馏将溶剂去除。使用CH2Cl2(50 mL×3)萃取有机相,并用饱和NaCl溶液洗涤3次。合并萃取后的有机相,用无水Na2SO4干燥,随后过滤并减压蒸馏。最后,以CH2Cl2/甲醇(体积比50∶1)为洗脱剂,通过柱层析分离纯化,得到白色固体产物L1(1.31 g,68%)。1H NMR(400 MHz,CDCl3):δ 8.60(d,J=6.1 Hz,4H),7.49(d,J=8.1 Hz,4H),7.40(d,J=6.1 Hz,4H),7.20(d,J=8.2 Hz,4H),2.68(t,J=7.7 Hz,4H),1.98(p,J=7.7~7.3 Hz,2H)。

    1.2.2   配体L2的合成

    在氮气保护下,将1,3-二(-溴苯基)丙-2-酮(1.78 g,4.85 mmol)、4-乙炔基吡啶(1.0 g,9.70 mmol)、碘化亚铜(0.025 g,0.13 mmol)和双三苯基膦二氯化钯(0.059 g,0.085 mmol)依次加入100 mL干燥的反应烧瓶中,随后加入超干三乙胺(30 mL)。将反应物加热至373 K,保持回流状态48 h。反应完成后,先冷却至室温,进而通过减压蒸馏将溶剂去除。用CH2Cl2(50 mL×3)萃取有机相,再用饱和NaCl溶液洗涤3次。合并萃取后的有机相,用无水Na2SO4干燥,随后过滤并减压蒸馏。最后,以CH2Cl2/甲醇(体积比50∶1)为洗脱剂,通过柱层析分离纯化,得到白色固体产物L2(1.10 g,55%)。1H NMR(400 MHz,CDCl3):δ 8.61(d,J=6.2 Hz,4H),7.52(d,J=8.1 Hz,4H),7.39(d,J=5.6 Hz,4H),7.17(d,J=8.1 Hz,4H),3.78(s,4H)。

    1.2.3   配合物1·6CH2Cl2的合成

    将前驱物A(10.5 mg,0.01 mmol)和Ag(OTf)(5.2 mg,0.02 mmol)依次加入含有CH2Cl2/CH3CN(4 mL/1 mL)混合溶剂的10 mL离心管中,室温下搅拌2 h后,通过离心去除沉淀。随后向上清液中加入配体L1(2.0 mg,5 μmol),继续搅拌4 h。搅拌结束后,对混合液进行离心分离,将上清液转移至长扩散管中。缓慢滴加无水乙醚,使用封口膜密封管口,静置5 d。管壁上逐渐形成橙色四边形片状晶体1·6CH2Cl2。去除母液,收集晶体并用无水乙醚洗涤,真空干燥。产量:3.84 mg(36%,基于A)。元素分析(C124H144B4 Cl16Cu8N28S12W4)理论值(%):C 34.88,H 3.40,N 9.19;实测值(%):C 34.76,H 3.42,N 9.56。ESI-MS:m/z 1 877.021 5(理论值[(Tp*WS3Cu2)4(L1)2Cl2·1.5CH3CN]2+:1 877.464 5)。FTIR(cm-1):3 631(m),3 475(m),3 018(s),2 930(s),2 856(m),2 546(s),1 607(s),1 571(s),1 544(m),1 491(w),1 448(s),1 415(s),1 381(m),1 358(s),1 266(s),1 208(s),1 105(s),1 067(s),1 038(s),981(m),872(s),855(s),844(m),822(s),780(m),714(w),693(m),667(w),642(w),618(w)。

    1.2.4   配合物2·6CH2Cl2的合成

    将前驱物A(10.5 mg,0.01 mmol)和Ag(OTf)(5.2 mg,0.02 mmol)依次加入含有CH2Cl2/CH3CN(4 mL/1 mL)混合溶剂的10 mL离心管中。室温搅拌2 h后,离心去除沉淀。随后向清液中加入配体L2(2.0 mg,5 μmol),继续搅拌4 h。搅拌结束后,离心分离混合液,取上清液移至长扩散管中,缓慢滴加无水乙醚。用封口膜密封管口,静置5 d,管壁上逐渐形成紫红色四边形片状晶体2·6CH2Cl2。去除母液,收集晶体并用无水乙醚洗涤,真空干燥。产量:2.36 mg(22%,基于A)。元素分析(C124H140B4Cl16Cu8N28O2S12W4)理论值(%):C 34.66,H 3.29,N 9.13;实测值(%):C 34.86,H 3.33,N 9.41。ESI-MS:m/z 2 451.864 0(理论值[(Tp*WS3Cu2)4(L2)2Cl2·29CH3CN]2+:2 452.754 1)。FTIR (cm-1):2 966(w),2 935(w),2 854(w),2 547(w),2 208(m),1 685(w),1 606(s),1 544(s),1 435(s),1 411(s),1 354(m),1 269(s),1 213(s),1 149(s),1 026(s),838(s),790(s),692(w),646(s),634(s),613(s)。

    1.2.5   配合物3的合成

    首先,对簇合物1·6CH2Cl2或簇合物2·6CH2Cl2反应后的母液进行离心分离,随后向清液加入Ag(OTf)(2.6 mg,0.01 mmol)进行二次脱氯,室温搅拌2 h后再次离心,取上清液并滴加吡啶(10 μL),继续搅拌12 h。经离心分离后,将上清液转移至长型扩散管中,缓慢滴加无水乙醚。密封管口,室温静置10 d,管壁上逐渐析出黑色块状晶体3。去除母液,收集晶体并用无水乙醚洗涤,真空干燥。产量:0.95 mg(8%,基于A)。元素分析(C31H37BClCu3F3)理论值(%):C 31.30,H 3.13,N 10.60;实测值(%):C 31.58,H 3.33,N 10.41。1H NMR(400 MHz,CD2Cl2):δ 8.95(s,6H),8.10(s,3H),7.40(s,6H),6.02(s,3H),2.72(s,9H),2.42(s,9H)。ESI-MS:m/z 1 799.719 1 (理论值[Tp*WS3Cu3(μ3-Cl)(Py)3·4CH3CN·7CH2Cl2]+:1 799.697 2)。FTIR (cm-1):2 922(w),2 853(w),2 548(w),1 607(s),1 550(s),1 486(w),1 457(s),1 411(s),1 348(m), 1 273(s), 1 222(s), 1 153(s),1 067(s),1 032(s),855(w),791(s),757(s),694(w),642(s),631(s),613(s)。

    在室温条件下,采用液相扩散法获得了适合单晶X射线衍射分析的晶体样品。将合适大小的簇合物1·6CH2Cl22·6CH2Cl23的晶体均用晶体油进行包裹,在100或120 K的条件下,通过Bruker APEX-Ⅱ CCD单晶衍射仪进行数据采集,采用钼靶作为X射线源(λ=0.071 073 nm)。数据采集完成后,利用Bruker APEX-Ⅴ软件包进行处理:首先使用SAINT程序进行衍射点积分,接着利用SADABS程序[32]进行多重扫描吸收校正。处理后的数据被导入到OLEX2程序界面中[33],利用SHELXT程序[34]以直接法解析初始结构,并利用全矩阵最小二乘法进行精修。在精修过程中,对所有非氢原子均进行各向异性精修,再利用DFIX、SADI、ISOR以及RIGU等指令精修结构。所有氢原子均为理论加氢并用骑式模型进行精修。最后,采用PLATON[35]程序中SQUEEZE[36]指令以滤掉其余难以精确定位的溶剂分子。簇合物1·6CH2Cl22·6CH2Cl23的重要的晶体学数据和结构精修参数详见表 1,部分键长列于表S1~S3(Supporting information)。

    表 1

    表 1  簇合物1·6CH2Cl2、2·6CH2Cl2和3的重要晶体学数据和结构精修参数
    Table 1.  Crystal data and structure refinement parameters for clusters 1·6 CH2Cl2, 2·6CH2Cl2, and 3
    下载: 导出CSV
    Parameter 1·6CH2Cl2 2·6CH2Cl2 3
    Formula C124H144B4Cl16Cu8N28S12W4 C124H140B4Cl16Cu8N28O2S12W4 C31H37BClCu3F3N9O3S4W
    Formula weight 4 265.54 4 293.51 1 189.66
    Temperature / K 120.00 100.00 100.00
    Crystal system Monoclinic Monoclinic Trigonal
    Space group C2/c C2/c P3c1
    a / nm 2.917 5(5) 2.904 9(9) 1.388 63(6)
    b / nm 1.871 1(3) 1.854 8(6) 1.388 63(6)
    c / nm 3.011 8(6) 3.012 9(10) 2.395 77(16)
    β / (°) 90.747(6) 90.513(1)
    V / nm3 16.440(5) 16.233(49) 4.000(4)
    Dc / (g·cm-3) 1.723 1.757 1.975
    Z 4 4 4
    μ / mm-1 4.262 4.318 4.775
    Collected reflection 342 235 362 337 161 628
    Independent reflection 14 546 16 619 2 384
    F(000) 8 384 8 432 2 336
    R1a [I≥2σ(I)] 0.042 3 0.060 6 0.043 8
    wR2b 0.113 0 0.153 3 0.104 6
    Rint 0.094 3 0.109 8 0.073 7
    GOFc 1.017 1.021 1.118
    a R1=∑||Fo|-|Fc||/∑|Fo|; b wR2=[∑w(Fo2-Fc2)2/∑w(Fo2)2]1/2; c GOF=[∑w(Fo2-Fc2)2/(n-p)]1/2, where n is the number of reflections and p is the total number of parameters refined.

    利用Z扫描技术测定1·6CH2Cl22·6CH2Cl23在DMSO溶液中的三阶NLO性质。将浓度为0.25 mmol·L-1的簇合物的DMSO溶液滴入2 mm厚的石英比色皿中用于测试。实验前,先用ZnSe标准样品对光路参数进行校准,并以纯DMSO作为参比溶液以消除溶剂的背景干扰。测试中使用倍频锁模调Q激光器产生的线偏振光作为光源(波长为532 nm,脉冲宽度为4 ns,重复频率为5 Hz),系统研究了这些簇合物的非线性吸收和折射特性。在整个测试过程中,所有样品溶液均表现出良好的光稳定性和空气稳定性。

    在室温条件下,通过Ag(OTf)对前驱物(Et4N)[Tp*WS3(CuCl)3] (A)进行脱氯处理后,与配体L1以物质的量之比2∶1反应,制备出橙红色四边形片状晶体1·6CH2Cl2(产率36%)。基于相似策略,以前驱物A、Ag(OTf)与L2配体反应,得到紫红色四边形晶体2·6CH2Cl2(产率22%)。在该反应过程中,原来的[Tp*WS3Cu3]2+簇核失去了1个Cu+变成了稍小的簇核[Tp*WS3Cu2]+,同时L1或L2上的1个炔基与[Tp*WS3Cu2]+簇核中的2个S2-发生环加成反应,形成新的[Tp*WS3Cu2(L)]+(L=L1、L2)簇节点,这种炔与簇合物骨架上的硫原子直接发生环加成反应是很少见的。对1·6CH2Cl22·6CH2Cl2反应后的母液离心并向上清液中加入等物质的量的Ag(OTf),搅拌离心后向上层清液中滴加10 μL吡啶,最终析出黑色块状晶体3(产率8%)。在该反应过程,吡啶取代了12上的L1或L2配体,导致了原来的[Tp*WS3Cu2(L)]+结构重组形成了新的[Tp*WS3Cu3(μ3-Cl)]2+结构。

    簇合物1·6CH2Cl22·6CH2Cl23的元素分析测试结果均与它们的理论值相符。图S1为簇合物1·6CH2Cl22·6CH2Cl23的红外光谱图。位于2 922 cm-1(13)、2 935 cm-1(2)处的吸收峰对应3,5-二甲基吡唑上甲基的C—H键的伸缩振动峰;位于2 542 cm-1(1)、2 547 cm-1(2)、(3)处的吸收峰对应B—H键的伸缩振动峰;位于1 541 cm-1(1)、1 542 cm-1(2)和1 550 cm-1(3)处的吸收峰对应B—N键的特征峰;位于1 685 cm-1(2)处的吸收峰对应L2的C=O键的伸缩振动峰;位于1 607 cm-1(1)和1 606 cm-1(2)处的吸收峰对应苯环的伸缩振动峰;位于1 607 cm-1(3)处的吸收峰对应吡啶环的伸缩振动峰。

    1H NMR谱图表明(图S2),簇合物3在化学位移为6.02(s,3H)、2.72(s,9H)、2.42(s,9H)处的核磁峰对应结构中Tp*基团上H的信号峰,化学位移为8.95(s,6H)、8.10(s,3H)、7.63(s,6H)处的核磁峰则对应着配体Py上H的质子峰,2处信号峰积分面积比值反应出Tp*与配体Py的化学计量比为1∶3,与3的晶体结构相符。由于簇合物1·6CH2Cl22·6CH2Cl2在氘代溶剂中的溶解度较差,未能进行核磁测试。ESI-MS测试表明(图 2),簇合物1·6CH2Cl2m/z=1 877.021 5处出现了[(Tp*WS3Cu2)4(L1)2Cl2·1.5CH3CN]2+的信号峰(理论值:1 877.464 5);簇合物2·6CH2Cl2m/z= 2 451.864 0处出现了[(Tp*WS3Cu2)4(L2)2Cl2·29CH3CN]2+的信号峰(理论值:2 452.745 1);簇合物3m/z= 1 799.719 1处出现了[Tp*WS3Cu3(μ3-Cl)(Py)3·4CH3CN·7CH2Cl2]+的信号峰(理论值:1 799.697 2);它们均和各自的分子离子峰较为吻合,表明簇合物1·6CH2Cl22·6CH2Cl23在溶液中具有一定的稳定性。

    图 2

    图 2.  簇合物1·6CH2Cl2 (a)、2·6CH2Cl2 (b)和3 (c)的ESI-MS谱图中的分子离子峰
    Figure 2.  Molecular ion peaks in ESI-MS spectra of clusters 1·6CH2Cl2 (a), 2·6CH2Cl2 (b), and 3 (c)

    Black: simulated values; Red: measured values.

    单晶X射线衍射结果显示,簇合物1·6CH2Cl2结晶于单斜晶系C2/c空间群。最小不对称单元由2个[(Tp*WS3Cu2)(μ-Cl)]簇分子,1个L1配体和3个CH2Cl2溶剂分子组成。该簇合物是由4个[(Tp*WS3Cu2)(μ-Cl)]簇分子与2个L1配体自组装形成的超分子矩形大环(图 3a),其中4个[Tp*WS3Cu2]+簇核作为矩形大环的4个顶点,2个L1配体以“Z”形构象连接大环的4条边。在组装过程中,L1配体中的一个炔基与一个[Tp*WS3Cu2]+簇节点中的S发生加成反应,而另一个炔基则与对角线位置的另一个[Tp*WS3Cu2]+簇节点中的S加成,导致配体弯折成“Z”型;配体两端的吡啶N原子分别与另一条对角线上2个[Tp*WS3Cu2]+簇核中的Cu(Ⅰ)配位。该结构中W…Cu的平均距离为0.266 2 nm,这与已报道的其他W/Cu/S簇基超分子簇合物中的W…Cu距离相似(0.260~0.261 nm)[37-39]。4个顶点位置W/Cu/S簇核间W…W距离为1.197 5 nm,而处于对角位置的2个W/Cu/S簇核间W…W距离为1.698 5 nm(图 3a)。

    图 3

    图 3.  (a) 超分子矩形大环1·6CH2Cl2的晶体结构; (b) 超分子矩形大环2·6CH2Cl2的晶体结构; (c) 3的晶体结构
    Figure 3.  (a) Crystal structure of supramolecular rectangular macrocycle 1·6CH2Cl2, (b) Crystal structure of supramolecular rectangular macrocycle 2·6CH2Cl2; (c) Crystal structure of 3

    W: orange, Cu: light blue, S: yellow, N: dark blue, C: light gray, B: pink, Cl: green, O: red; All hydrogen atoms, solvents molecules and anions have been omitted for clarity; Symmetry codes: A: 1-x, y, 1/2-z for 1·6CH2Cl2 and 2·6CH2Cl2; A: 1+y-x, 1-x, z; B: 1-y, x-y, z for 3.

    簇合物2·6CH2Cl2呈现出与簇合物1·6CH2Cl2相似的结构特征。簇合物2·6CH2Cl2同样结晶于单斜晶系C2/c空间群。最小不对称单元由2个[(Tp*WS3Cu2)(μ-Cl)]簇节点,1个L2配体和3个CH2Cl2溶剂分子所组成。该簇合物是由4个[(Tp*WS3Cu2)(μ-Cl)]簇节点与2个L2配体自组装形成的超分子矩形大环结构(图 3b),其中4个[Tp*WS3Cu2]+簇核作为大环的4个顶点,2个L2配体则是呈“Z”形构象连接大环的4条边,L2配体中C=O由于空间位阻的原因朝向结构外部。在组装过程中,L2配体中一个炔基与一个[Tp*WS3Cu2]+簇节点中的S发生加成反应,另一个炔基则与对角线位置的另外一个[Tp*WS3Cu2]+簇节点中S加成,使得配体弯折成“Z”型。配体两端吡啶N原子则分别与另一条对角线上2个[Tp*WS3Cu2]+簇核中的Cu(Ⅰ)配位,该结构中W…Cu的平均距离为0.266 5 nm,与其他W/Cu/S簇基超分子簇合物中的W…Cu距离相似(0.260~0.261 nm)[37-39]。4个顶点位置W/Cu/S簇核间W…W距离为1.197 9 nm,而处于对角位置2个W/Cu/S簇核间W…W距离为1.693 6 nm(图 3b)。

    簇合物3结晶于三方晶系P3c1空间群。该簇合物由1个簇单元[Tp*WS3Cu3]2+与3个吡啶配位,结构中Cl-作为闭口离子与3个Cu(Ⅰ)配位,形成一个闭口立方结构(图 3c)。该结构中W…Cu的平均距离为0.265 4 nm,也与其他W/Cu/S簇基超分子簇合物中的W…Cu距离相似(0.260~0.261 nm)[37-39]

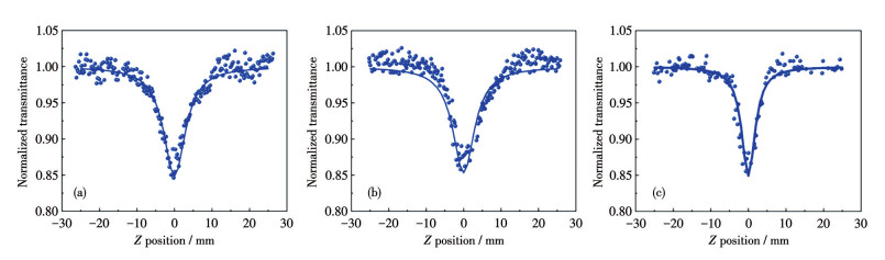
    研究发现,引入共轭结构[27]和重金属原子[25]能够显著增强簇合物的三阶NLO性质[28, 37-39]。鉴于1·6CH2Cl22·6CH2Cl23具有多个重金属原子(如W、Cu)及共轭有机配体,我们对其在DMSO溶液中的三阶NLO特性进行了研究。紫外可见吸收光谱(图S3)显示簇合物1~3的DMSO溶液在532 nm处无明显吸收,因此选择该波长进行Z扫描,在开孔模式下,使用脉冲能量为12 μJ的532 nm激光进行激发后测试。实验结果显示,簇合物1·6CH2Cl22·6CH2Cl23的“样品-焦点距离Z”-“归一化透过率”关系曲线为波谷型(图 4),这表明这3种簇合物在DMSO溶液中出现反饱和吸收现象。根据Sheik-Bahae[40]理论,我们使用以下公式(1)[41]对曲线进行了拟合:

    $ T(Z)=\frac{\alpha_0}{\sqrt{\mathsf{π}} \beta I_i(Z)\left(1-\mathrm{e}^{-\alpha_0 L}\right)} \int_{-\infty}^{+\infty} \ln \left[\left(1+\beta I_i(Z) \frac{1-\mathrm{e}^{-\alpha_0 L}}{\alpha_0}\right) \mathrm{e}^{-\tau^2}\right] \mathrm{d} \tau $

    (1)

    图 4

    图 4.  簇合物1·6CH2Cl2 (a)、2·6CH2Cl2 (b)和3 (c)的DMSO溶液在开孔条件下的归一化Z扫描数据
    Figure 4.  Normalized Z-scan data for DMSO solutions of clusters 1·6CH2Cl2 (a), 2·6CH2Cl2 (b), and 3 (c) under open-aperture conditions

    其中,Ii(Z)是激光在Z处的光强,L是样品厚度,τ是激光脉冲的时间,α0为线性吸收系数,β为有效三阶非线性吸收系数。

    通过公式1对实验数据进行拟合,计算得到样品的有效非线性吸收系数β。该参数可用于量化三阶NLO响应的强度。β值越大表明NLO响应越强。1·6CH2Cl22·6CH2Cl2和3的β分别为2.5×10-11、2.6×10-11和1.2×10-12 m·W-1。相比簇合物3,簇合物1·6CH2Cl22·6CH2Cl2表现出更强的三阶NLO响应,可能是由于簇合物1·6CH2Cl22·6CH2Cl2中配体间存在更多重金属离子和共轭有机配体(图 3)。另外,相较于文献中报道的其它W/Cu/S簇簇合物的溶液,本工作中3个簇合物也展现出了不错的三阶NLO响应(表S1),表明它们有望成为优质的三阶NLO材料。

    本工作以前驱簇(Et4N)[Tp*WS3(CuCl)3] (A)为起始原料,经Ag(OTf)脱氯后,再与1,3-双[4-(吡啶-4-乙炔基)苯基]丙烷(L1)和1,3-双[4-(吡啶-4-乙炔基)苯基]丙烷-2-酮(L2)分别进行组装,得到了2个W/Cu/S簇基超分子矩形大环簇合物1·6CH2Cl22·6CH2Cl2。它们均是由2个配体(L1或L2)桥联4个[Tp*WS3Cu2Cl]簇单元自组装而成。在它们的组装过程中,L1或L2中的1个炔基与前驱簇A中2个S发生了环加成反应,这对这些簇基超分子矩形大环的组装起了至关重要的作用。在它们的反应体系中再加入吡啶(Py)配体时,Py与L1或L2之间的配位竞争导致具有闭式立方结构的3的形成。通过Z扫描法测试了1·6CH2Cl22·6CH2Cl23在DMSO溶液中的三阶NLO性质,结果表明它们具有良好的三阶NLO响应,证实了W/Cu/S簇与共轭吡啶配体之间的协同效应能够显著增强NLO响应。本工作为合成新的W/Cu/S簇超分子化合物提供了新方法,也为筛选出优良的三阶NLO响应材料打下了基础。

    Supporting information is available at http://www.wjhxxb.cn


    1. [1]

      CHEN L J, HUMPHERY S J, ZHU J L, ZHU F F, WANG X Q, WANG X, WEN J, YANG H B, GALE P A. A two-dimensional metallacycle cross-linked switchable polymer for fast and highly efficient phosphorylated peptide enrichment[J]. J. Am. Chem. Soc., 2021, 143(22): 8295-8304

    2. [2]

      CUI P F, LIN Y J, LI Z H, JIN G X. Dihydrogen bond interaction induced separation of hexane isomers by self-assembled carborane metallacycles[J]. J. Am. Chem. Soc., 2020, 142(18): 8532-8538

    3. [3]

      GUO S T, CUI P F, LIU X R, JIN G X. Synthesis of carborane-backbone metallacycles for highly selective capture of n-pentane[J]. J. Am. Chem. Soc., 2022, 144(48): 22221-22228

    4. [4]

      YOSHIZAWA M, TAMURA M, FUJITA M. Diels-Alder in aqueous molecular hosts: Unusual regioselectivity and efficient catalysis[J]. Science, 2006, 312(5771): 251-254

    5. [5]

      BIERSCHENK S M, BERGMAN R G, RAYMOND K N, TOSTE F D. A nanovessel-catalyzed three-component aza-darzens reaction[J]. J. Am. Chem. Soc., 2020, 142(2): 733-737

    6. [6]

      TAN C X, JIAO J J, LI Z J, LIU Y, HAN X, CUI Y. Design and assembly of a chiral metallosalen-based octahedral coordination cage for supramolecular asymmetric catalysis[J]. Angew. Chem. ‒Int. Edit., 2018, 57(8): 2085-2090

    7. [7]

      JING X, HE C, YANG Y, DUAN C Y. A metal-organic tetrahedron as a redox vehicle to encapsulate organic dyes for photocatalytic proton reduction[J]. J. Am. Chem. Soc., 2015, 137(11): 3967-3974

    8. [8]

      JING X, YANG Y, HE C, CHANG Z D, REEK J N H, DUAN C Y. Control of redox events by dye encapsulation applied to light-driven splitting of hydrogen sulfide[J]. Angew. Chem. ‒Int. Edit., 2017, 56(39): 11759-11763

    9. [9]

      CAI L X, LI S C, YAN D N, ZHOU L P, GUO F, SUN Q F. Water- soluble redox-active cage hosting polyoxometalates for selective desulfurization catalysis[J]. J. Am. Chem. Soc., 2018, 140(14): 4869-4876

    10. [10]

      BOLLIGER J L, RONSON T K, OGAWA M, NITSCHKE J R. Solvent effects upon guest binding and dynamics of a Fe4L4 cage[J]. J. Am. Chem. Soc., 2014, 136(41): 14545-14553

    11. [11]

      MOSQUERA J, SZYSZKO B, HO S K Y, NITSCHKE J R. Sequence-selective encapsulation and protection of long peptides by a self- assembled Fe8L6 cubic cage[J]. Nat. Commun., 2017, 8: 14882-14887

    12. [12]

      MENG W, BREINER B, RISSANEN K, THOBURN J D, CLEGG J K, NITSCHKE J R. A self-assembled M8L6 cubic cage that selectively encapsulates large aromatic guests[J]. Angew. Chem. ‒Int. Edit., 2011, 50(15): 3479-3483

    13. [13]

      LU Z, RONSON T K, NITSCHKE J R. Reversible reduction drives anion ejection and C60 binding within an Fe4L6 cage[J]. Chem. Sci., 2020, 11(4): 1097-1101

    14. [14]

      WALTHER A, REGENI I, HOLSTEIN J J, CLEVE G H. Guest- induced reversible transformation between an azulene-based Pd2L4 lantern-shaped cage and a Pd4L8 tetrahedron[J]. J. Am. Chem. Soc., 2023, 145(46): 25365-25371

    15. [15]

      JIAO Y, CUI C F, HE H Y, HE C, DUAN C Y. Fluorescent recognition of 4-amino-2, 6-dinitrotoluene by a cerium-based metal-organic tetrahedron[J]. Inorg. Chem., 2019, 58(10): 6575-6578

    16. [16]

      CHAKRABORTY D, ALI S, CHOUDHURY P, HICKEY N, MUKHERJEE P S. Cavity-shape-dependent divergent chemical reaction inside aqueous Pd6L4 cages[J]. J. Am. Chem. Soc., 2023, 145(49): 26973-26982

    17. [17]

      CHAKRABARTY R, MUKHERJEE P S, STANG P J. Supramolecular coordination: Self-assembly of finite two- and three-dimensional ensembles[J]. Chem. Rev., 2011, 111(11): 6810-6918

    18. [18]

      COOK T R, STANG P J. Recent developments in the preparation and chemistry of metallacycles and metallacages via coordination[J]. Chem. Rev., 2015, 115(15): 7001-7045

    19. [19]

      LEININGER S, OLENYUK B, STANG P J. Self-assembly of discrete cyclic nanostructures mediated by transition metals[J]. Chem. Rev., 2000, 100(3): 853-908

    20. [20]

      SHI Y, CAI K, XIAO H, LIU Z, ZHOU J, SHEN D, QIU Y, GUO Q H, STERN C, WASIELEWSKI M R, DIEDERICH F, GODDARD W A, STODDART J F. Selective extraction of C70 by a tetragonal prismatic porphyrin cage[J]. J. Am. Chem. Soc., 2018, 140(42): 13835-13842

    21. [21]

      ZHANG X, DONG X, LU W, LUO D, ZHU X W, LI X, ZHOU X P, LI D. Fine-tuning apertures of metal-organic cages: Encapsulation of carbon dioxide in solution and solid state[J]. J. Am. Chem. Soc., 2019, 141(29): 11621-11627

    22. [22]

      SELBY H D, ZHENG Z P, GRAY T G, HOLM R H. Bridged multiclusters derived from the face‐capped octahedral [Re6(μ3‐Se)8]2+ cluster core[J]. Inorg. Chim. Acta, 2001, 312: 205-209

    23. [23]

      ZHENG S T, ZHANG J, LI X X, FANG W H, YANG G Y. Cubic polyoxometalate‐organic molecular cage[J]. J. Am. Chem. Soc., 2010, 132(43): 15102-15103

    24. [24]

      SHI S, JI W, TANG S H, LANG J P, XIN X Q. Synthesis and optical limiting capability of cubane‐like mixed metal clusters (n‐Bu4N)3[MoAg3BrX3S4] (X=Cl and I)[J]. J. Am. Chem. Soc., 1994, 116(8): 3615-3616

    25. [25]

      潘梅, 苏成勇. 一些金属超分子配合物型非线性光学材料研究进展[J]. 化学通报, 2007, 12: 915-921.PAN M, SU C Y. Progress of some metal·coordinated supramole‐cules as nonlinear optical materials[J]. Chemistry, 2007, 12: 915-921

    26. [26]

      光善仪, 尹守春, 徐洪耀, 宋瑛林. π电子共轭键结构对材料非线性光学性能影响研究[J]. 功能材料, 2006, 2(37): 325-329.GUANG S Y, YIN S C, XU H Y, SONG Y L. The effect of different π electron conjugation bond structure of molecules on the nonlinear optical properties[J]. Journal of Functional Materials, 2006, 2(37): 325-329

    27. [27]

      GAO M Y, WANG K, SUN Y, LI D, SONG B Q, ANDALOUSSI Y H, ZAWOROTKO M J, ZHANG J, ZHANG L. Tetrahedral geometry induction of stable Ag‐Ti nanoclusters by flexible trifurcate TiL3 metalloligand[J]. J. Am. Chem. Soc., 2020, 142(29): 12784-12790

    28. [28]

      余蕙敏, 王志康, 李洁, 宋瑛林, 杜明浩, 郎建平. [WS3Cu2]簇基超分子框的组装、结构及其三阶非线性光学响应[J]. 无机化学学报, 2024, 40(1): 71-78.YU H M, WANG Z K, LI J, SONG Y L, DU M H, LANG J P. Assembly and structure of [WS3Cu2] cluster-based supramolecular frame and their third-order nonlinear optical response[J]. Chinese J. Inorg. Chem., 2024, 40(1): 71-78

    29. [29]

      WANG J, SUN Z R, DENG L, WEI Z H, ZHANG W H, ZHANG Y, LANG J P. Reactions of a tungsten trisulfido complex of hydridotris(3, 5-dimethylpyrazol-1-yl)borate (Tp*) [Et4N][Tp*WS3] with CuX (X=Cl, NCS, or CN): Isolation, structures, and third-order NLO properties[J]. Inorg. Chem., 2007, 46(26): 11381-11389

    30. [30]

      ILONA S, CRISTIAN A S, LUISA D C, PETER B. Tracking intramolecular interactions in flexibly linked binuclear platinum(Ⅱ) complexes[J]. Organometallics, 2014, 33(6): 1345-1355

    31. [31]

      BAJPAI A, LUSI M, ZAWOROTKO M J. The role of weak interactions in controlling the mode of interpenetration in hybrid ultramicroporous materials[J]. Chem. Commun., 2017, 53(28): 3978-3981

    32. [32]

      KRAUSE L, HERBST-IRMER R, SHELDRICK G M, STALKE D. Comparison of silver and molybdenum microfocus X-ray sources for single-crystal structure determination[J]. J. Appl. Crystallogr., 2015, 48(1): 3-10

    33. [33]

      DOLOMANOV O V, BOURHIS L J, GILDEA R J, HOWARD J A K, PUSCHMANN H. OLEX2: A complete structure solution, refinement and analysis program[J]. J. Appl. Crystallogr., 2009, 42: 339-341

    34. [34]

      SHELDRICK G M. SHELXT-Integrated space-group and crystal-structure determination[J]. Acta Crystallogr. Sect. A, 2015, A71(1): 3-8

    35. [35]

      SPEK A L. Single-crystal structure validation with the program PLATON[J]. J. Appl. Crystallogr., 2003, 36(1): 7-13 doi: 10.1107/S0021889802022112

    36. [36]

      SPEK A L. Platon squeeze: A tool for the calculation of the disordered solvent contribution to the calculated structure factors[J]. Acta Crystallogr. Sect. C, 2015, C71: 9-18

    37. [37]

      黄志文, 刘琦, 郎建平. W/Cu/S簇基超分子大环及其三阶非线性光学性质[J]. 无机化学学报, 2025, 41(1): 79-87.HUANG Z W, LIU Q, LANG J P. W/Cu/S clusters assembled supramolecular macrocycles and their third-order nonlinear optical response[J]. Chinese J. Inorg. Chem., 2025, 41(1): 79-87

    38. [38]

      LI J, TAN Y, CAO C, WANG Z K, NIU Z, SONG Y L, LANG J P. One-dimensional and two-dimensional coordination polymers from cluster modular construction[J]. CrystEngComm, 2021, 23(17): 3160-3166 doi: 10.1039/D1CE00206F

    39. [39]

      TAN Y, WANG Z K, LANG F F, YU H M, CAO C, NI C Y, WANG M Y, SONG Y L, LANG J P. Construction of cluster-based supramolecular wire and rectangle[J]. Dalton Trans., 2022, 51(16): 6358-6365 doi: 10.1039/D2DT00344A

    40. [40]

      SHEIK-BAHAE M, SAID A A, WEI T H, HAGAN D J, STRYLANDE W V. Sensitive measurement of optical nonlinearities using a single beam[J]. IEEE J. Quantum Electron., 1990, 26(4): 760-769 doi: 10.1109/3.53394

    41. [41]

      GE J F, LU Y T, SUN R, ZHANG J, XU Q F, LI N J, SONG Y L, LU J M. Third-order nonlinear optical properties of symmetric phenoxazinium chlorides with resonance structures at 532 nm[J]. Dyes Pigment., 2011, 91(3): 489-494 doi: 10.1016/j.dyepig.2011.04.004

  • 图 1  两种含炔基官能团的双齿吡啶配体的结构示意图

    Figure 1  Structures of two bidentate pyridine ligands containing alkynyl functional groups

    图 2  簇合物1·6CH2Cl2 (a)、2·6CH2Cl2 (b)和3 (c)的ESI-MS谱图中的分子离子峰

    Figure 2  Molecular ion peaks in ESI-MS spectra of clusters 1·6CH2Cl2 (a), 2·6CH2Cl2 (b), and 3 (c)

    Black: simulated values; Red: measured values.

    图 3  (a) 超分子矩形大环1·6CH2Cl2的晶体结构; (b) 超分子矩形大环2·6CH2Cl2的晶体结构; (c) 3的晶体结构

    Figure 3  (a) Crystal structure of supramolecular rectangular macrocycle 1·6CH2Cl2, (b) Crystal structure of supramolecular rectangular macrocycle 2·6CH2Cl2; (c) Crystal structure of 3

    W: orange, Cu: light blue, S: yellow, N: dark blue, C: light gray, B: pink, Cl: green, O: red; All hydrogen atoms, solvents molecules and anions have been omitted for clarity; Symmetry codes: A: 1-x, y, 1/2-z for 1·6CH2Cl2 and 2·6CH2Cl2; A: 1+y-x, 1-x, z; B: 1-y, x-y, z for 3.

    图 4  簇合物1·6CH2Cl2 (a)、2·6CH2Cl2 (b)和3 (c)的DMSO溶液在开孔条件下的归一化Z扫描数据

    Figure 4  Normalized Z-scan data for DMSO solutions of clusters 1·6CH2Cl2 (a), 2·6CH2Cl2 (b), and 3 (c) under open-aperture conditions

    表 1  簇合物1·6CH2Cl2、2·6CH2Cl2和3的重要晶体学数据和结构精修参数

    Table 1.  Crystal data and structure refinement parameters for clusters 1·6 CH2Cl2, 2·6CH2Cl2, and 3

    Parameter 1·6CH2Cl2 2·6CH2Cl2 3
    Formula C124H144B4Cl16Cu8N28S12W4 C124H140B4Cl16Cu8N28O2S12W4 C31H37BClCu3F3N9O3S4W
    Formula weight 4 265.54 4 293.51 1 189.66
    Temperature / K 120.00 100.00 100.00
    Crystal system Monoclinic Monoclinic Trigonal
    Space group C2/c C2/c P3c1
    a / nm 2.917 5(5) 2.904 9(9) 1.388 63(6)
    b / nm 1.871 1(3) 1.854 8(6) 1.388 63(6)
    c / nm 3.011 8(6) 3.012 9(10) 2.395 77(16)
    β / (°) 90.747(6) 90.513(1)
    V / nm3 16.440(5) 16.233(49) 4.000(4)
    Dc / (g·cm-3) 1.723 1.757 1.975
    Z 4 4 4
    μ / mm-1 4.262 4.318 4.775
    Collected reflection 342 235 362 337 161 628
    Independent reflection 14 546 16 619 2 384
    F(000) 8 384 8 432 2 336
    R1a [I≥2σ(I)] 0.042 3 0.060 6 0.043 8
    wR2b 0.113 0 0.153 3 0.104 6
    Rint 0.094 3 0.109 8 0.073 7
    GOFc 1.017 1.021 1.118
    a R1=∑||Fo|-|Fc||/∑|Fo|; b wR2=[∑w(Fo2-Fc2)2/∑w(Fo2)2]1/2; c GOF=[∑w(Fo2-Fc2)2/(n-p)]1/2, where n is the number of reflections and p is the total number of parameters refined.
    下载: 导出CSV
  • 加载中
计量
  • PDF下载量:  4
  • 文章访问数:  1272
  • HTML全文浏览量:  179
文章相关
  • 发布日期:  2025-10-10
  • 收稿日期:  2025-04-15
  • 修回日期:  2025-05-23
通讯作者: 陈斌, bchen63@163.com
  • 1. 

    沈阳化工大学材料科学与工程学院 沈阳 110142

  1. 本站搜索
  2. 百度学术搜索
  3. 万方数据库搜索
  4. CNKI搜索

/

返回文章