食醋中的“闪光点”——碳量子点的提取及荧光性能分析

王琦 程莹 王钰燕 肖逸冰 卢灏哲 张岩松 李生玲 澹台嘉孜 孙娜 丁莉峰 郭晋秦 靳鹏

引用本文: 王琦, 程莹, 王钰燕, 肖逸冰, 卢灏哲, 张岩松, 李生玲, 澹台嘉孜, 孙娜, 丁莉峰, 郭晋秦, 靳鹏. 食醋中的“闪光点”——碳量子点的提取及荧光性能分析[J]. 无机化学学报, 2026, 42(1): 87-96. doi: 10.11862/CJIC.20250127 shu
Citation:  Qi WANG, Ying CHENG, Yuyan WANG, Yibing XIAO, Haozhe LU, Yansong ZHANG, Shengling LI, Jiazi TANTAI, Na SUN, Lifeng DING, Jinqin GUO, Peng JIN. "Shining dot" in vinegar—Extraction of carbon quantum dots and the fluorescence properties analysis[J]. Chinese Journal of Inorganic Chemistry, 2026, 42(1): 87-96. doi: 10.11862/CJIC.20250127 shu

食醋中的“闪光点”——碳量子点的提取及荧光性能分析

    通讯作者: 王琦, E-mail:wangq@tit.edu.cn; 丁莉峰, E-mail:dinglf@tit.edu.cn; 郭晋秦, E-mail:guojq@tit.edu.cn
  • 基金项目:

    山西省基础研究计划项目 202303021221188

    太原市科学技术协会指令性科技专题项目 KX202401

    山西省大学生创新创业训练计划项目 20241263

摘要: 选用食醋为碳源,通过直接透析法得到荧光碳量子点(vCDs),并对其形貌、组成、结构、光谱性能进行了表征和测试。结果表明,食醋提取的vCDs溶液的质量浓度为0.006 2 g·mL-1。所制备的vCDs表现出均一的尺寸分布,平均粒径为4.05 nm。vCDs的最佳荧光发射波长为460 nm,具有良好的抗光漂白性和抗盐性。由于表面质子化引发的电子能级变化,以及vCDs对Fe3+具有高选择性荧光猝灭,使得vCDs针对pH和Fe3+表现出特异的荧光分析传感特性。此外,将vCDs与聚乙烯醇丁醛(PVB)相融合,制备出荧光薄膜。

English

  • 碳量子点(carbon quantum dots,CDs)作为一种新兴的荧光纳米材料,已在纳米材料、分析传感、生物医学、催化降解、光电设备等领域展现出特有的优势[1-3]。CDs是一种具有显著荧光特性和尺寸小于10 nm的零维碳纳米材料,其呈现出球形或类球形的形貌结构,具有明显的晶格条纹,且在表面带有多种化学基团[4]。CDs荧光性能优异,具有良好的水溶性、抗盐性、抗光漂白性。此外,CDs具有发光可调的特性,其发射光谱可覆盖整个可见光区直至近红外区,具有多色发光的特性[5-7]。更值得注意的是,相比于有机小分子探针和包含重金属离子的半导体量子点,CDs表现出良好的生物相容性[8]。凭借多色发光、绿色无毒及环境友好等优势,CDs成为化学科技前沿领域科学普及工作中的潜在工具和载体。

    自2004年首次发现CDs以来,研究者们致力于各类CDs制备方法的开发及应用。CDs的制备方法包括自上而下法(top-down)和自下而上法(bottom- up)[9]。前者是通过电弧放电[10]、激光烧蚀[11]、酸氧化剥落[12]、电化学氧化[13]等方法将较大的碳材料破碎成较小的碎片,进而形成CDs。而自下而上法则是通过特定结构小分子,由水热[14]、溶剂热[15]、高温热解[16]等方法将含碳结构在高温、高压条件下碳化聚合形成纳米材料。随着CDs的合成方法研究趋于成熟,CDs的精准控制合成[17]、大规模制备[18]、结构调控[19]逐渐成为研究热点。有趣的是,生活中常见的食物,如猪肉[20]、烤鸡[21]等肉类或肉制品,牛奶[22]等乳制品,橙子[23]等水果,莲藕[24]、海带[25]等蔬菜,黑米[26]等谷物,还有方糖[27]、面包[28]、绿茶[29]等,均己被开发并作为CDs制备的原材料。食品中富含淀粉、氨基酸、糖类等碳水化合物,在制备过程中经历碳化反应生成碳纳米材料。然而,上述方法往往需要高温、高压的苛刻条件,在科普实验或活动中可能存在安全隐患,因此,仍需寻找一种绿色简单的提取荧光CDs的方法。

    我们课题组前期选用了中国传统调味料糖色,通过直接透析法提取出了荧光CDs[30],提出了从食品中绿色简单提取CDs的新思路。此外,已有文献报道食醋中存在碳纳米颗粒[31-32]。将陈醋浓缩过滤后,用D101大孔吸附树脂柱分离提纯,经洗脱、透析得到碳纳米材料的溶液。文献中指出,陈醋在蒸制和熏醅过程温度较高,时间较长,随着加工过程中的温度不断升高,陈醋原料中的多糖和蛋白质受热分解为寡糖和氨基酸等小分子有机物质,这些小分子物质受热后逐渐碳化,形成了纳米级的粒子。受此启发,结合山西省文化地域特色,我们选取食醋为碳源,通过透析法直接提取得到荧光CDs,并研究其形貌、组成、荧光性能和分析传感金属离子的特性,探索食醋中的“闪光点”(CDs)在科技创新科普中的潜在价值。

    食醋(宁化府桌上瓶精酿老醋,太原市宁化府益源庆醋业有限公司)购自太原工业学院超市。九水合硝酸铁(Fe(NO3)3·9H2O,AR)购自国药集团化学试剂有限公司。七水合硫酸亚铁(FeSO4·7H2O,AR)、十二水合磷酸氢二钠(Na2HPO4·12H2O,AR)和九水合磷酸二氢钠(NaH2PO4·9H2O,AR)均购自天津市科密欧化学试剂有限公司。氢氧化钠(NaOH,AR)购自上海阿拉丁生化科技股份有限公司。聚乙烯醇缩丁醛(PVB,AR)购自上海麦克林生化科技有限公司。氯化钠(NaCl,AR)购自天津市申泰化学试剂有限公司。实验用水均为二次水。

    实验所用仪器主要包括透射电子显微镜(transmission electron microscopy,TEM,JEM-F200,日本JEOL公司,加速电压为200 kV)、X射线光电子能谱仪(X-ray photoelectron spectroscopy,XPS,Axis Ultra DLD,英国Kratos公司)、激光粒度分析仪(ZS90,英国Malvern公司)、红外光谱仪(Fourier Transform Infrared Spectroscopy,FTIR,Nicolet iS50,英国Thermo Fisher公司)、荧光光谱仪(F-7000,日本Hitachi公司)、紫外可见吸收光谱仪(Ultraviolet visible spectroscopy,UV-Vis,TU-1901,中国普析公司)。

    量取10.00 mL食醋,转移至截留分子量为3 500 Da的透析袋中,透析24 h后,所得棕色溶液记为vCDs,并将溶液转移至烧杯中,保存在冰箱中备用。通过旋转蒸发溶液得到0.199 8 g固体粉末。

    配制一系列pH范围在4~10的磷酸盐缓冲液(phosphate buffered saline,PBS)。取100 μL vCDs溶液,分别加入900 μL不同pH的PBS,混匀后放置于荧光光谱仪中进行测试;配制浓度分别为0.001、0.01、0.1、1、10、100 mmol·L-1的NaCl溶液。取100 μL vCDs溶液,分别加入900 μL不同浓度的NaCl溶液,混匀后放于荧光光谱仪中进行测试;取100 μL vCDs溶液,加入900 μL二次水,混匀后放于荧光光谱仪中进行测试。记录上述混合溶液在460 nm处不同时间间隔下的荧光强度。仪器参数:激发波长为365 nm,发射波长为460 nm,激发狭缝为5 nm,发射狭缝为10 nm。所有测试均平行3次。

    取100 μL vCDs溶液,加入800 μL二次水,随后分别加入100 μL浓度为0.3、0.5、0.7、1、3、5、7、10 mmol·L-1的Fe3+溶液,混匀后放于荧光光谱仪中进行测试(此时体系中,Fe3+浓度分别为30、50、70、100、300、500、700、1 000 μmol·L-1),记录其在460 nm处的荧光强度。

    取100 μL vCDs溶液,加入800 μL二次水,随后分别加入100 μL浓度为10、100、300、500、700、1 000 mmol·L-1的Fe2+溶液,混匀后放于荧光光谱仪中进行测试(此时体系中,Fe2+浓度分别为1、10、30、50、70、100 mmol·L-1),记录其在460 nm处的荧光强度。

    仪器参数:激发波长为365 nm,发射波长为460 nm,激发狭缝为5 nm,发射狭缝为10 nm。所有测试均平行3次。

    称取0.250 0 g的PVB粉末并平铺于烧杯底部,接着加入1.5 mL无水乙醇溶液将粉末全部浸湿,用玻璃棒在室温下搅拌约15 min,随后分别缓慢加入1 mL二次水(空白)或vCDs溶液,搅拌15 min后,于室温下静置20 min。静置完成后,观察到烧杯内无气泡存在后,利用溶液浇铸法将液体倒入聚四氟乙烯模具中,将其放置于自然环境中风干约10 h,得到PVB薄膜和PVB+vCDs薄膜。

    我们通过透析法制备得到vCDs溶液,取定量体积的vCDs溶液,通过旋转蒸发、称重得到0.199 8 g固体粉末,计算得到vCDs溶液的质量浓度为0.006 2 g·mL-1。通过TEM和高分辨TEM (HRTEM)研究vCDs的形貌和尺寸。如图 1A所示,vCDs呈现出均匀分散的类球形颗粒,尺寸小于5 nm。动态光散射(DLS)测试结果表明,vCDs的尺寸在2.70~7.53 nm范围内,平均粒径为4.05 nm(图S1,Supporting information)。此外,利用ImageJ软件,对vCDs的TEM图做了粒径统计(图S2)。结果表明,vCDs的平均粒径为3.85 nm,与DLS结果基本一致。HRTEM图(图 1B)表明,vCDs呈现出明显的晶格条纹,其中0.24 nm的晶面间距代表了石墨的(110)晶面[33]

    图 1

    图 1.  vCDs的(A) TEM和(B) HRTEM图像
    Figure 1.  (A) TEM and (B) HRTEM images of vCDs

    采用XPS研究提取得到的vCDs的元素组成。图 2A为vCDs的XPS全谱图,图中表明,vCDs主要由C、O、N元素组成。图 2B~2D分别为vCDs的C1s、O1s和N1s的XPS谱图。在C1s的XPS谱图(图 2B)中,位于287.9、286.3和284.6 eV的3个峰分别对应于C=O、C—N和C—C。在O1s的XPS谱图(图 2C)中,位于535.8、533.4、532.7和531.9 eV的峰分别对应于H—O—H、C—O、C=O和O—H。在N1s的XPS谱图(图 2D)中,位于400.1和399.6 eV的2个峰分别对应于N—H和C—N。

    图 2

    图 2.  vCDs的(A) XPS全谱图及(B) C1s、(C) O1s和(D) N1s XPS谱图
    Figure 2.  (A) XPS survey spectrum and (B) C1s, (C) O1s, and (D) N1s XPS spectra of vCDs

    进一步通过FTIR研究了vCDs的表面结构和官能团。如图 3A所示,3 411 cm-1处的宽峰代表了O—H的伸缩振动,2 936 cm-1处的峰属于C—H伸缩振动的特征吸收,1 655 cm-1处的尖峰表明了材料中存在C=O,1 040 cm-1处的吸收峰代表了C—O的伸缩振动,1 250 cm-1处的峰源于芳香胺的C—N伸缩振动,1 415 cm-1处的峰属于烯烃的C—H弯曲振动。以上FTIR数据表明,vCDs表面富含羧基(—COOH)、羟基(—OH)等官能团。综上所述,HRTEM、DLS、XPS和FTIR结果证明了食醋提取物为碳量子点。

    图 3

    图 3.  vCDs的(A) FTIR谱图、(B) UV-Vis吸收光谱、(C) 不同激发波长下的荧光发射光谱和(D) 相应的3D荧光光谱
    Figure 3.  (A) FTIR spectrum, (B) UV-Vis absorption spectrum, (C) fluorescence emission spectra under different excitations, and (D) the corresponding 3D fluorescence spectra of vCDs

    图 3B为vCDs的UV-Vis吸收光谱。如图所示,vCDs在紫外光区表现出优异的光吸收,其中260~380 nm的宽吸收带归因于vCDs中的nπ*电子跃迁[34]图 3B插图为vCDs溶液在日光灯和紫外光灯照射下的照片,图中明显可观察到蓝色荧光。为考察vCDs的荧光特性,图 3C为vCDs在不同激发波长(300~395 nm)下的荧光发射光谱。由图可知,vCDs表现出激发波长依赖的荧光发射特性。图 3D为相应的3D荧光光谱,如图所示,vCDs的最佳激发波长为365 nm,最佳发射波长为460 nm。

    研究了vCDs荧光的抗光漂白性、抗盐性。如图 4A所示,vCDs在不同紫外光照射时间下的荧光强度保持稳定,相应的荧光发射光谱(图 4B)也证明了这一点。此外,分散于不同浓度的NaCl溶液中的vCDs荧光强度也几乎保持不变(图 4C),相应的荧光发射光谱如图 4D所示。上述结果表明,食醋提取的vCDs具有良好的荧光发射性能,抗光漂白性、抗盐性俱佳,具有广泛的荧光分析和应用潜能。此外,图 4E显示了不同pH缓冲体系中vCDs的荧光发射。结果表明,vCDs在pH 4~6的范围内荧光发射保持不变,但随着体系pH的增加,vCDs在460 nm的荧光发射强度逐渐降低。同时vCDs在505 nm处出现新的荧光发射,并且随着体系pH值的增加,其荧光强度逐渐变大。这种pH依赖的荧光比率现象,与vCDs在不同酸度下表面质子化引起的电子结构变化有关[35]图 4F显示了缓冲体系pH与vCDs的荧光强度比率(I505/I460)的关系。结果表明二者存在线性关系,线性方程为Y= -0.986 6+0.252 9X(R2=0.961 9),说明CDs具有荧光监控pH的能力,可用于食品新鲜度、癌细胞鉴别等分析领域。

    图 4

    图 4.  不同紫外光照射时间下vCDs的(A) 荧光强度和(B) 荧光发射光谱; 在不同浓度NaCl溶液中的vCDs的(C) 荧光强度和(D) 荧光发射光谱; (E) 在不同pH缓冲体系中vCDs的荧光发射光谱; (F) 缓冲体系pH与I505/I460的关系
    Figure 4.  (A) Fluorescence intensity and (B) fluorescence emission spectra under different UV illumination time of vCDs; (C) Fluorescence intensity and (D) fluorescence emission spectra in NaCl solutions with different concentrations of vCDs; (E) Fluorescence emission spectra in buffer with different pH of vCDs; (F) Relationship between pH of the buffer and I505/I460

    上述表征结果证明,vCDs具有优异的荧光特性且表面富含羟基、羧基等官能团,这就赋予了vCDs荧光传感分析金属离子的能力。图 5A显示了不同金属离子对vCDs的荧光猝灭效率(F0/FF0F分别为vCDs加入金属离子前后的荧光强度),其中1~16分别代表1 mmol·L-1的Fe3+、K+、Na+、Ca2+、Pb2+、Co2+、Cu2+、Mg2+、Zn2+、Ni2+、Mn2+、Fe2+、Cd2+、Al3+、Ag+、Hg2+。结果表明,与等浓度的其他金属离子相比,Fe3+特异性地猝灭了vCDs的荧光。此外,图S3显示了共存有上述金属离子的Fe3+溶液对vCDs的荧光猝灭。结果表明,Fe3+与等浓度的K+、Na+、Ca2+、Pb2+、Co2+、Cu2+、Mg2+、Zn2+、Ni2+、Mn2+、Fe2+、Cd2+、Al3+、Ag+、Hg2+共存时,荧光猝灭效率与单独的Fe3+几乎一致。然而,共存Mn2+时,Fe3+的猝灭作用略微加强,这可能与金属离子水解引起的pH变化有关。为避免此现象,图S4显示了在pH=5的醋酸缓冲液中,Mn2+共存时Fe3+对vCDs的猝灭情况,结果表明Mn2+的影响可以通过缓冲体系消除,由此可以避免其他离子混合对Fe3+导致vCDs猝灭的影响。图 5B为vCDs与不同浓度(0~1 000 μmol·L-1) Fe3+溶液作用的荧光发射光谱。图中表明,随着Fe3+浓度的增加,vCDs的荧光强度逐渐减弱,这说明vCDs具有定量分析检测Fe3+的能力。基于vCDs荧光猝灭检测Fe3+的标准曲线如图 5C所示,图中显示2段标准曲线,线性方程分别为:Y=0.942 7+0.006 1X(30~500 μmol·L-1),Y= 2.511 5+0.002 5X(500~1 000 μmol·L-1)。基于vCDs荧光猝灭现象对Fe3+进行检测,其检出限(LOD)经计算确定为3.90 μmol·L-1

    表 1

    表 1  vCDs‐Fe3+体系的多指数荧光衰减拟合参数
    Table 1.  Parameters of multi‐exponential fits to the fluorescence decay of vCDs‐Fe3+ system*
    下载: 导出CSV
    Species τ1/ns τ2/ns B1/% B2/% χ2 τave/ns
    vCDs 3.08 10.26 58.09 41.91 1.078 6.09
    vCDs+Fe3+ 2.87 9.90 57.94 42.06 1.056 5.83
    *τ1, τ2: the lifetimes from two orders of exponential fitting, respectively; B1, B2: the percentage of exponential fitting life from each order, respectively; χ2: fitting degree; τave: average lifetime.

    图 5

    图 5.  (A) 不同金属离子对vCDs的荧光猝灭效率; (B) vCDs与不同浓度Fe3+溶液作用的荧光发射光谱; (C) vCDs荧光猝灭检测Fe3+的标准曲线; (D) vCDs加入Fe3+前后的荧光衰减曲线
    Figure 5.  (A) Fluorescence quenching efficiency of vCDs with different metal ions; (B) Fluorescence emission spectra of vCDs with different concentrations of Fe3+; (C) Standard curve of vCDs for fluorescence quenching detection of Fe3+; (D) Fluorescence decay curves of vCDs with or without Fe3+

    通过UV-Vis吸收光谱和荧光寿命变化研究Fe3+对vCDs的荧光猝灭机理。图S5为vCDs加入Fe3+前后的UV-Vis吸收光谱。图中结果表明,Fe3+加入后,vCDs的紫外光区吸收有所增强,说明二者之间存在结合作用。图 5D显示了vCDs加入Fe3+前后的荧光衰减曲线,响应的多指数衰减指数拟合见表 1。结果表明,加入Fe3+前后,vCDs的荧光寿命分别为6.09和5.83 ns。荧光寿命几乎没有发生变化,说明Fe3+对vCDs的荧光猝灭属于静态猝灭效应[30]

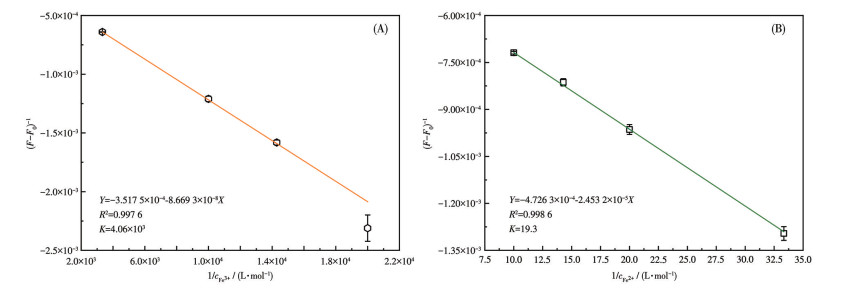
    为进一步研究Fe3+针对Fe2+的选择性猝灭的内在机理,图S6显示了高浓度Fe2+(1~100 mmol·L-1)对vCDs的荧光猝灭,相应的荧光发射光谱如图S7所示。结果表明,高浓度的Fe2+(Fe3+的1 000倍)才能引起vCDs的荧光猝灭。用Benesi-Hildebrand方程测定并计算了vCDs与Fe3+和Fe2+的结合常数(图 6)。方程如下所示:

    $ \frac{1}{F-{F}_{0}}=\frac{a}{a-b}\left(\frac{1}{K{c}_\text{M}}+1\right) $

    图 6

    图 6.  (A) vCDs-Fe3+和(B) vCDs-Fe2+的Benesi-Hildebrand曲线和相应的拟合数据
    Figure 6.  Benesi-Hildebrand curve of (A) vCDs-Fe3+ and (B) vCDs-Fe2+ and the corresponding fitted results

    其中cM为Fe3+或Fe2+的浓度(mol·L-1),K为结合常数,ab为常数。

    Benesi-Hildebrand曲线表明,vCDs与Fe3+和Fe2+的结合常数分别为4.06×103、19.3,前者几乎为后者的200倍,说明Fe3+与vCDs的作用远远大于Fe2+,这就说明了vCDs对Fe3+荧光猝灭的选择性。食醋提取的vCDs可用于金属离子的荧光检测,进而应用于环境分析。

    为开发直观的视觉科普载体,我们制备了食醋提取的vCDs的荧光薄膜。如图 7A所示,空白的PVB薄膜呈现透明,而混合vCDs制备得到的薄膜为半透明的棕色。尽管混合vCDs的薄膜颜色呈棕色,但是仍具有一定的透明性,薄膜下方的图案清晰可见。薄膜的颜色是由vCDs带入的,可以预见,vCDs的用量可以调节复合薄膜的透明性。图 7B为PVB薄膜和PVB+vCDs薄膜在紫外光下的照片,可明显看到vCDs薄膜呈现出明亮的蓝色荧光。图 7C为PVB薄膜和PVB+vCDs薄膜的荧光发射光谱,由于固体膜的散射作用,PVB薄膜的发射光谱中出现了一定的散射峰拖尾,而vCDs薄膜在散射的同时,也表现出较高的荧光发射。综上所述,食醋提取的vCDs荧光薄膜兼具宏观可操作性和可视化荧光特性,是一种潜在的创新科普工具。

    图 7

    图 7.  PVB膜和PVB+vCDs薄膜在(A) 日光和(B) 紫外光照射下的照片以及(C) 荧光发射光谱
    Figure 7.  Photos under (A) sunlight and (B) UV light illumination, and (C) fluorescence emission spectra of PVB and PVB+vCDs films

    食醋提取的vCDs具有良好的荧光性能和科普潜力,主要表现在以下几个方面:其一,绿色环保、制备简单。vCDs具有简单低耗的优势和绿色环保的理念。其二,高效荧光,直观可视。vCDs具有优异的荧光发射特性,能够直观展示vCDs的独特光学行为。其三,来源食品,贴近生活。以生活中常见食醋为原料提取vCDs,拉近了纳米科技与公众的距离,具有科普的普适性。其四,科学交叉,科技融合。vCDs涉及化学、物理、材料、环境等多种学科领域,可激发青少年对科学的兴趣。综上所述,食醋提取的vCDs融合科技创新和科学普及特性,表现出优异的科普性。

    以食醋这一种生活中常见的食品为原料,通过直接透析法提取得到了荧光vCDs,该方法无需任何复杂设备或高温高压反应等苛刻条件,是一种简单、绿色的vCDs制备方法。通过材料表征和光谱性能测试研究了该vCDs的结构、成分及发光特性。作为新型科普工具,食醋提取的vCDs具有良好的抗光漂白性、抗盐性,并且具有传感pH和铁离子的分析潜能,可用于食品、医疗、环境等分析应用。此外,vCDs具备简易制备荧光薄膜的能力,其制备过程不仅可实现宏观尺度上的操作,而且所制备的荧光薄膜能带来直观的视觉呈现,因而展现出显著的科普潜力。因此,食醋提取的vCDs具有绿色制备的优点和多种荧光传感分析的潜力,是一种有力的创新科普工具。

    Supporting information is available at http://www.wjhxxb.cn


    1. [1]

      LIM S Y, SHEN W, GAO Z Q. Carbon quantum dots and their applications[J]. Chem. Soc. Rev., 2015, 44(1): 362-381 doi: 10.1039/C4CS00269E

    2. [2]

      DAS S, MONDAL S, GHOSH D. Carbon quantum dots in bioimaging and biomedicines[J]. Front. Bioeng. Biotech., 2024, 1: 1333752

    3. [3]

      SHI L L, DING L Y, ZHANG Y Q, LU S Y. Application of room- temperature phosphorescent carbon dots in information encryption and anti-counterfeiting[J]. Nano Today, 2024, 55: 102200 doi: 10.1016/j.nantod.2024.102200

    4. [4]

      XUE S S, LI P F, SUN L, AN L, QU D, WANG X Y, SUN Z C. The formation process and mechanism of carbon dots prepared from aromatic compounds as precursors: A review[J]. Small, 2023, 19(31): 2206180 doi: 10.1002/smll.202206180

    5. [5]

      WANG B Y, SONG H Q, TANG Z Y, YANG B, LU S Y. Ethanol- derived white emissive carbon dots: The formation process investigation and multi-color/white LEDs preparation[J]. Nano Res., 2022, 15(2): 942-949 doi: 10.1007/s12274-021-3579-5

    6. [6]

      WANG B Y, YU J K, SUI L Z, ZHU S J, TANG Z Y, YANG B, LU S Y. Rational design of multi-color-emissive carbon dots in a single reaction system by hydrothermal[J]. Adv. Sci., 2021, 8(1): 2001453 doi: 10.1002/advs.202001453

    7. [7]

      LI J N, ZHANG D K, XIA J B. The controllable synthesis of multi- color carbon quantum dots modified by polythiophene and their application in fluorescence detection of Au3+ and Hg2+[J]. Spectrochim. Acta Pt. A‒Molec. Biomolec. Spectr., 2024, 322: 124794 doi: 10.1016/j.saa.2024.124794

    8. [8]

      LIAO J F, YAO Y, LEE C H, WU Y Z, LI P. In vivo biodistribution, clearance, and biocompatibility of multiple carbon dots containing nanoparticles for biomedical application[J]. Pharmaceutics, 2021, 13(11): 1872 doi: 10.3390/pharmaceutics13111872

    9. [9]

      SHI Y X, XU H M, YUAN T, MENG T, WU H, CHANG J Q, WANG H Y, SONG X Z, LI Y C, LI X H, ZHANG Y, XIE W J, FAN L Z. Carbon dots: An innovative luminescent nanomaterial[J]. Aggregate, 2022, 3: e108 doi: 10.1002/agt2.108

    10. [10]

      ZOU L L, WANG H, HE B, ZENG L J, TAN T, CAO H Q, HE X Y, ZHANG Z W, GUO S R, LI Y P. Current approaches of photothermal therapy in treating cancer metastasis with nanotherapeutics[J]. Theranostics, 2016, 6(6): 762-772 doi: 10.7150/thno.14988

    11. [11]

      GE J C, JIA Q Y, LIU W M, LAN M H, ZHOU B J, GUO L, ZHOU H Y, ZHANG H Y, WANG Y, GU Y, MENG X M, WANG P F. Carbon dots with intrinsic theranostic properties for bioimaging, red-light-triggered photodynamic/photothermal simultaneous therapy in vitro and in vivo[J]. Adv. Healthcare Mater., 2016, 5(6): 665-675 doi: 10.1002/adhm.201500720

    12. [12]

      FENG T L, TAO S Y, YUE D, ZENG Q S, CHEN W H, YANG B. Recent advances in energy conversion applications of carbon dots: From optoelectronic devices to electrocatalysis[J]. Small, 2020, 16(31): 2001295 doi: 10.1002/smll.202001295

    13. [13]

      LI S H, SU W, WU H, YUAN T, YUAN C, LIU J, DENG G, GAO X C, CHEN Z M, BAO Y M, YUAN F L, ZHOU S X, TAN H W, LI Y C, LI X H, FAN L Z, ZHU J, CHEN A T, LIU F Y, ZHOU Y, LI M, ZHAI X C, ZHOU J B. Targeted tumour theranostics in mice via carbon quantum dots structurally mimicking large amino acids[J]. Nat. Biomed. Eng., 2020, 4(7): 704-716 doi: 10.1038/s41551-020-0540-y

    14. [14]

      WANG Q, CHENG Y, DING L F, LI S L, ZHANG J, NIU Y L, JING Z Y. N, S, Br co-doped carbon dots: One-step synthesis and fluorescent detection of 6-mercaptopurine in tablet[J]. J. Pharma. Anal., 2024, 14(2): 291-293 doi: 10.1016/j.jpha.2023.11.001

    15. [15]

      CARRERA C, GALÁN-GONZÁLEZ A, MASER W K, BENITO A M. Multifaceted role of H2O2 in the solvothermal synthesis of green-emitting nitrogen-doped graphene quantum dots[J]. Chem. Sci., 2025, 16(8): 3662-3670 doi: 10.1039/D4SC07896A

    16. [16]

      WANG Q, ZHANG Z R, YANG T, HAN Y J, CHENG Y, WU J N, BAI J J, MA C L, NIU Y L, SHUANG S M. Multiple fluorescence quenching effects mediated fluorescent sensing of captopril based on amino acids-derivative carbon nanodots[J]. Spectrochim. Acta Pt. A‒Molec. Biomolec. Spectr., 2022, 269: 120742 doi: 10.1016/j.saa.2021.120742

    17. [17]

      LI P F, XUE S S, SUN L, ZONG X P, AN L, QU D, WANG X Y, SUN Z C. Formation and fluorescent mechanism of red emissive carbon dots from o-phenylenediamine and catechol system[J]. Light‒Sci. Appl., 2022, 11(1): 298

    18. [18]

      MA Y J, WU L L, REN X Y, ZHANG Y Q, LU S Y. Toward kilogram-scale preparation of full-color carbon dots by simply stirring at room temperature in air[J]. Adv. Funct. Mater., 2023, 33(50): 2305867 doi: 10.1002/adfm.202305867

    19. [19]

      BARTOLOMEI B, BOGO A, AMATO F, RAGAZZON G, PRATO M. Nuclear magnetic resonance reveals molecular species in carbon nanodot samples disclosing flaws[J]. Angew. Chem. ‒Int. Edit., 2022, 61(20): e202200038 doi: 10.1002/anie.202200038

    20. [20]

      ZHAO C X, JIAO Y, HU F, YANG Y L. Green synthesis of carbon dots from pork and application as nanosensors for uric acid detection[J]. Spectrochim. Acta Pt. A‒Molec. Biomolec. Spectr., 2019, 190: 360-367

    21. [21]

      WU Y Y, SONG X Y, WANG N Y, CONG S, ZHAO X, RAIC R, TAN M Q. Carbon dots from roasted chicken accumulate in lysosomes and induce lysosome-dependent cell death[J]. Food Funct., 2020, 11(11): 10105-10113 doi: 10.1039/D0FO02144J

    22. [22]

      WANG L, ZHOU H S. Green synthesis of luminescent nitrogen-doped carbon dots from milk and its imaging application[J]. Anal. Chem., 2014, 86(18): 8902-8905 doi: 10.1021/ac502646x

    23. [23]

      钟丽娜, 陈晶玲, 赵青华. 绿色碳源合成多响应碳量子点用于铁离子和L-抗坏血酸的检测[J]. 无机化学学报, 2025, 41(4): 709-718. doi: 10.11862/CJIC.20240280ZHONG L N, CHEN J L, ZHAO Q H. Synthesis of multi-responsive carbon quantum dots from green carbon sources for detection of iron ions and L-ascorbic acid[J]. Chinese J. Inorg. Chem., 2025, 41(4): 709-718 doi: 10.11862/CJIC.20240280

    24. [24]

      GU D, SHANG S M, YU Q, SHEN J. Green synthesis of nitrogen-doped carbon dots from lotus root for Hg(Ⅱ) ions detection and cell imaging[J]. Appl. Surf. Sci., 2016, 390: 38-42 doi: 10.1016/j.apsusc.2016.08.012

    25. [25]

      王月, 顾知之, 董敬一, 朱洁, 刘存光, 李国涵, 鲁美辰, 韩建, 曹胜男, 王伟. 海带碳点对斑马鱼胚胎发育的影响[J]. 无机化学学报, 2024, 40(6): 1209-1217. doi: 10.11862/CJIC.20230423WANG Y, GU Z Z, DONG J Y, ZHU J, LIU C G, LI G H, LU M C, HAN J, CAO S N, WANG W. Effects of kelp-derived carbon dots on embryonic development of zebrafish[J]. Chinese J. Inorg. Chem., 2024, 40(6): 1209-1217 doi: 10.11862/CJIC.20230423

    26. [26]

      张清梅, 张路鹏, 郑开文, 杨国庆, 何松杰, 杜秀娟, 陈峰华, 李冰. 高稳定性黑米碳点的绿色合成及其细胞成像应用[J]. 无机化学学报, 2023, 39(4): 735-745. doi: 10.11862/CJIC.2023.045ZHANG Q M, ZHANG L P, ZHENG K W, YANG G Q, HE S J, DU X J, CHEN F H, LI B. Green synthesis of high-stability black rice carbon dots for application in cell imaging[J]. Chinese J. Inorg. Chem., 2023, 39(4): 735-745 doi: 10.11862/CJIC.2023.045

    27. [27]

      SK M P, JAISWAL A, PAUL A, GHOSH S S, CHATTOPADHYAY A. Presence of amorphous carbon nanoparticles in food caramels[J]. Sci. Rep., 2012, 2: 383 doi: 10.1038/srep00383

    28. [28]

      YIN J, LIU K F, YUAN S F, GUO Y H, YU H, CHENG Y L, XIE Y F, QIAN H, YAO W R. Carbon dots in breadcrumbs: Effect of frying on them and interaction with human serum albumin[J]. Food Chem., 2023, 424: 136371 doi: 10.1016/j.foodchem.2023.136371

    29. [29]

      WEN F Z, LI P Y, ZHANG Y, ZHONG H Y, YAN H J, SU W. Preparation, characterization of green tea carbon quantum dots/curcumin antioxidant and antibacterial nanocomposites[J]. J. Mol. Struct., 2023, 1273: 134247

    30. [30]

      WANG Q, CHENG Y, DING L F, ZHANG X R, LI S L, ZHANG J, NIU Y L, DONG C, SHUANG S M. Chinese food seasoning derived carbon dots for highly selective detection of Fe3+ and smartphone-based dual-color fluorescence ratiometric visualization sensing[J]. J. Mol. Struct., 2024, 1318: 139209

    31. [31]

      曹林. 陈醋中碳纳米粒子的发现及其性质研究[D]. 大连: 大连工业大学, 2019: 10-28.CAO L. Discovery and property studies of carbon nanoparticles in mature vinegar[D]. Dalian: Dalian Polytechnic University, 2019: 10-28

    32. [32]

      CAO L, SONG X Y, SONG Y K, BI J R, SHUANG C, YU C X, TAN M Q. Fluorescent nanoparticles from mature vinegar: Their properties and interaction with dopamine[J]. Food Funct., 2017, 8: 4744-4751 doi: 10.1039/C7FO01475A

    33. [33]

      PENG J, GAO W, GUPTA B K, LIU Z, ROMERO-ABURTO R, GE L H, SONG L, ALEMANY L B, ZHAN X B, GAO G H, VITHAYATHIL S A, KAIPPARETTU B A, MARTI A A, HAYASHI T, ZHU J J, AJAYAN P M. Graphene quantum dots derived from carbon fibers[J]. Nano Lett., 2012, 12: 844-849 doi: 10.1021/nl2038979

    34. [34]

      TANG Q W, ZHU W L, HE B L, YANG P Z. Rapid conversion from carbohydrates to large-scale carbon quantum dots for all-weather solar cells[J]. ACS Nano, 2017, 11(2): 1540-1547 doi: 10.1021/acsnano.6b06867

    35. [35]

      ZHANG X R, WANG J, HASAN E, SUN X C, ASIF M, AZIZ A, LU W J, DONG C, SHUANG S M. Bridging biological and food monitoring: A colorimetric and fluorescent dual-mode sensor based on N-doped carbon dots for detection of pH and histamine[J]. J. Hazard. Mater., 2024, 470: 134271 doi: 10.1016/j.jhazmat.2024.134271

  • 图 1  vCDs的(A) TEM和(B) HRTEM图像

    Figure 1  (A) TEM and (B) HRTEM images of vCDs

    图 2  vCDs的(A) XPS全谱图及(B) C1s、(C) O1s和(D) N1s XPS谱图

    Figure 2  (A) XPS survey spectrum and (B) C1s, (C) O1s, and (D) N1s XPS spectra of vCDs

    图 3  vCDs的(A) FTIR谱图、(B) UV-Vis吸收光谱、(C) 不同激发波长下的荧光发射光谱和(D) 相应的3D荧光光谱

    Figure 3  (A) FTIR spectrum, (B) UV-Vis absorption spectrum, (C) fluorescence emission spectra under different excitations, and (D) the corresponding 3D fluorescence spectra of vCDs

    图 4  不同紫外光照射时间下vCDs的(A) 荧光强度和(B) 荧光发射光谱; 在不同浓度NaCl溶液中的vCDs的(C) 荧光强度和(D) 荧光发射光谱; (E) 在不同pH缓冲体系中vCDs的荧光发射光谱; (F) 缓冲体系pH与I505/I460的关系

    Figure 4  (A) Fluorescence intensity and (B) fluorescence emission spectra under different UV illumination time of vCDs; (C) Fluorescence intensity and (D) fluorescence emission spectra in NaCl solutions with different concentrations of vCDs; (E) Fluorescence emission spectra in buffer with different pH of vCDs; (F) Relationship between pH of the buffer and I505/I460

    图 5  (A) 不同金属离子对vCDs的荧光猝灭效率; (B) vCDs与不同浓度Fe3+溶液作用的荧光发射光谱; (C) vCDs荧光猝灭检测Fe3+的标准曲线; (D) vCDs加入Fe3+前后的荧光衰减曲线

    Figure 5  (A) Fluorescence quenching efficiency of vCDs with different metal ions; (B) Fluorescence emission spectra of vCDs with different concentrations of Fe3+; (C) Standard curve of vCDs for fluorescence quenching detection of Fe3+; (D) Fluorescence decay curves of vCDs with or without Fe3+

    图 6  (A) vCDs-Fe3+和(B) vCDs-Fe2+的Benesi-Hildebrand曲线和相应的拟合数据

    Figure 6  Benesi-Hildebrand curve of (A) vCDs-Fe3+ and (B) vCDs-Fe2+ and the corresponding fitted results

    图 7  PVB膜和PVB+vCDs薄膜在(A) 日光和(B) 紫外光照射下的照片以及(C) 荧光发射光谱

    Figure 7  Photos under (A) sunlight and (B) UV light illumination, and (C) fluorescence emission spectra of PVB and PVB+vCDs films

    表 1  vCDs‐Fe3+体系的多指数荧光衰减拟合参数

    Table 1.  Parameters of multi‐exponential fits to the fluorescence decay of vCDs‐Fe3+ system*

    Species τ1/ns τ2/ns B1/% B2/% χ2 τave/ns
    vCDs 3.08 10.26 58.09 41.91 1.078 6.09
    vCDs+Fe3+ 2.87 9.90 57.94 42.06 1.056 5.83
    *τ1, τ2: the lifetimes from two orders of exponential fitting, respectively; B1, B2: the percentage of exponential fitting life from each order, respectively; χ2: fitting degree; τave: average lifetime.
    下载: 导出CSV
  • 加载中
计量
  • PDF下载量:  18
  • 文章访问数:  989
  • HTML全文浏览量:  79
文章相关
  • 发布日期:  2026-01-10
  • 收稿日期:  2025-04-14
  • 修回日期:  2025-11-12
通讯作者: 陈斌, bchen63@163.com
  • 1. 

    沈阳化工大学材料科学与工程学院 沈阳 110142

  1. 本站搜索
  2. 百度学术搜索
  3. 万方数据库搜索
  4. CNKI搜索

/

返回文章