N、Mn掺杂半焦活性炭催化臭氧氧化降解水中盐酸四环素的性能

王家宏 徐泽坤 芦天姣 黄金明

引用本文: 王家宏, 徐泽坤, 芦天姣, 黄金明. N、Mn掺杂半焦活性炭催化臭氧氧化降解水中盐酸四环素的性能[J]. 无机化学学报, 2025, 41(12): 2549-2560. doi: 10.11862/CJIC.20250120 shu
Citation:  Jiahong WANG, Zekun XU, Tianjiao LU, Jinming HUANG. Performance of N, Mn doped semi-coke activated carbon catalyzed ozone oxidation for the degradation of tetracycline hydrochloride in water[J]. Chinese Journal of Inorganic Chemistry, 2025, 41(12): 2549-2560. doi: 10.11862/CJIC.20250120 shu

N、Mn掺杂半焦活性炭催化臭氧氧化降解水中盐酸四环素的性能

    通讯作者: 王家宏, E-mail:wangjiahong@sust.edu.cn
  • 基金项目:

    国家自然科学基金 22076111

    陕西省重点研发计划项目 2024GX-YBXM-427

摘要: 通过浸渍法制备了N、Mn改性半焦活性炭(SC)催化剂NxMny-SC(xy为N和Mn的质量比),并用于催化臭氧(O3)氧化降解水中的盐酸四环素(TC)。结果表明,Mn的负载量与材料表面Mn含量及结构无序度呈正相关,其中N与Mn的质量比为1∶3时制备的N1Mn3-SC表现出最优催化性能。提高催化剂投加量、O3流速和反应温度均有助于提升TC降解率,而高的初始TC质量浓度则会抑制降解效果,溶液pH的影响呈现随pH升高先促进后抑制的趋势,并于pH=7时达到最佳降解效果。在催化剂用量为200 mg·L-1、TC质量浓度为30 mg·L-1、pH=7、25 ℃、O3流速为30 mL·min-1的最优条件下,N1Mn3-SC可在20 min内实现93.46%的TC降解率,一级反应速率常数达0.138 2 min-1,显著高于SC(0.080 1 min-1)。水中腐殖酸(HA)、HCO3-和Cl-会竞争消耗羟基自由基(·OH),轻微抑制反应进程。该催化剂经5次循环使用后仍保持84.13%的降解率,但比表面积下降至21 m2·g-1,表面Mn、N及含氧官能团含量减少,缺陷与石墨化拉曼峰强度的比值(ID/IG)降低至0.983,表明其结构有序度有所上升。自由基猝灭实验证实·OH、超氧自由基(·O2-)和单线态氧(1O2)共同参与催化过程,其中1O2作用尤为关键。中间产物分析表明,TC主要通过脱烷基、脱酰胺等途径分解,最终矿化为CO2和H2O。

English

  • 目前,我国水资源短缺、深层水污染及水生态环境污染问题日益严峻,其中抗生素污染问题尤为突出。四环素类抗生素被广泛应用于医疗领域,但其过量排放对生态环境和人体健康造成严重危害。四环素类抗生素可以通过食物链进入环境,破坏农业土壤生态安全,并影响水中微生物群落的生长,严重危害水体生态系统[1]。因此,开发高效去除四环素类抗生素污染物的方法具有重要的研究意义。

    相比于光催化、电催化、芬顿等技术,臭氧(O3)氧化技术成本低廉、无二次污染[2],在水处理方面得到了广泛应用。为了提高O3氧化的效率,可以采用催化剂来促进O3对污染物的氧化过程,如光、超声、金属氧化物、非金属材料(包括活性炭、碳纳米管等)等[3]。其中,活性炭是最常见的碳基材料,它本身不仅具有吸附性能,还具有较好的催化作用。但由于常规活性炭的成本较高,在实际过程中的废水处理效果会受到一定限制。许多研究者将生物炭进行改性,通过掺杂N来改变其表面化学性质,增加表面活性位点和缺陷边缘,从而提高催化剂的活性。Cheng等[4]制备出了N掺杂生物炭(NC)催化剂用于处理水中的阿特拉津,大大提高了O3的利用效率。柴铖等[5]制备出了N掺杂生物炭用于催化O3氧化降解水中的布洛芬(IBP)。该催化剂表现出非常优异的催化性能,5 min内可将IBP全部降解,O3利用率提升了4.6倍。因此,开发经济高效的催化剂对O3氧化去除水中四环素类抗生素具有重要意义。

    半焦活性炭(SC)作为煤化工行业的副产物,来源广、价格低且性能优良,具有高固定碳、较大比表面积及高孔隙率等特点,可以作为活性炭的替代产品。利用SC催化O3处理四环素的效果较差,因此,为了提高催化剂的性能,可以通过金属掺杂的方式来进行优化[6]。Mo、Co、Ni、Mn等多价态过渡金属的掺杂在氧化还原反应中起到较大作用,其可以通过优化催化剂的电子结构来增强活性位点的数量和吸附能力[7-9]。基于此,N掺杂后形成的吡啶氮、吡咯氮及石墨氮等能与金属发生强相互作用,在提高金属纳米颗粒分散度的同时,在催化剂表面形成更多羟基以作为O3分解的引发条件,从而进一步促进污染物的氧化降解[10-11]。此外,Wang等的研究结果表明催化剂中的C—N—Mn和C—O—Mn能够有效抑制金属离子浸出,缓解二次污染问题[12]。但过渡金属掺杂改性方法用于高孔隙率SC改性材料方面的研究尚少[13],利用SC改性催化剂催化O3氧化在工业方面依然具有较大的应用前景和研究价值。

    我们将N、Mn元素掺杂进SC中,制备了NxMny-SC(xy为N和Mn的质量比)催化剂,并对其结构和表面性能进行了表征分析,研究了其催化O3氧化降解四环素的性能和机理。同时测定了催化反应中的氧化活性物种,探究了催化剂的稳定性,揭示了其降解机理,为降解含抗生素类污水提供了理论基础和参考价值。

    实验所用试剂主要有盐酸四环素(TC,AR,上海麦克林生化科技有限公司)、四水合乙酸锰(AR,天津市大茂化学试剂厂)、三聚氰胺(AR,天津市科密欧化学试剂有限公司)、叔丁醇(AR,天津市科密欧化学试剂有限公司)、L-组氨酸(AR,上海麦克林生化科技有限公司)、2,2,6,6-四甲基哌啶和5,5-二甲基-1-吡咯啉-N-氧化物(AR,上海麦克林生化科技有限公司)。

    臭氧发生器(CFZY-6B,杭州荣欣电子设备有限公司)、紫外可见分光光度计[UV2355,尤尼柯(上海)仪器有限公司,检测波长为356 nm]、X射线衍射仪(XRD,D/max 2200PC,德国Bruker公司,Cu λ=0.154 06 nm,管电压为40 kV,管电流为40 mA,扫描角度为5°~80°)、傅里叶变换红外光谱分析仪(FTIR,TENSOR27,德国Bruker公司)、全自动比表面积分析仪(Nova 4000e,美国Quantachrome)、X射线光电子能谱仪(XPS,Vesoprobe 5000 Ш,美国Thermo Fischer,Al )、拉曼光谱仪(XploRA Plus,日本HORIBA,532 nm)、扫描电子显微镜(SEM,ZEISS Sigma 300,德国ZEISS)、有机碳分析仪(Lotix,美国Tekmar Lotix)、液相色谱-质谱联用仪(2695-ZQ2000,美国Waters,流速为0.30 mL·min-1,流动相为甲酸-水-乙腈混合溶液,测试范围m/z=50~750)、电感耦合等离子体发射光谱(ICP-6300,美国Thermo)、电子顺磁共振波谱仪[E500,德国Bruker公司,以5,5-二甲基-1-吡咯啉-N-氧化物检测超氧自由基(·O2-)和羟自由基(·OH)并以4-O-2,2,6,6-四甲基哌啶检测单线态氧(1O2)]。

    5 g原始SC经过研磨、过筛、清洗、烘干等预处理后加入到含有100 mL HNO3溶液(质量分数为60%)的三口烧瓶中,在80 ℃水浴中加热搅拌3 h,然后再用去离子水反复清洗至中性并烘干。将烘干后的SC与三聚氰胺(N源)、乙酸锰(Mn源)以一定的质量比(其中SC、N、Mn的质量比分别为1∶1∶1、1∶1∶2、1∶1∶3)溶于水中,搅拌浸渍3 h后,过滤、烘干,再将混合物放入充满氮气气氛的管式炉中,先以5 ℃·min-1的速率升温至200 ℃并保温30 min,再以2 ℃·min-1的速率升温至400 ℃并保温6 h,自然降温后得到样品,记为NxMny-SC。在保持SC(5 g)与三聚氰胺的质量比为1∶1的条件下,不添加乙酸锰制备得到N-SC;在保持SC(5 g)与乙酸锰的质量比为1∶1的条件下,不添加三聚氰胺制备得到Mn-SC。

    采用自制的柱形玻璃反应装置进行降解实验,如图 1所示。反应装置底面直径为8 cm,高度为20 cm,侧部均匀分布3个出水口,顶部采用磨口形式闭合,保证实验的气密性。实验过程中,臭氧发生器产生的O3经硅胶管至气体流速计和止回阀,再通过反应器顶盖长杆直通反应器底部,为保证气泡大小的均匀,在臭氧发生器管口端连接曝气头。在磁力搅拌器的作用下使O3、催化剂和污染物充分接触。产生的气体通过碘化钾(KI)尾气处理装置吸收后排出,反应溶液中的O3质量浓度用靛蓝二磺酸钠(IDS)分光光度法测定。

    图 1

    图 1.  催化O3氧化装置图
    Figure 1.  Diagram of catalytic O3 oxidation device

    开启臭氧发生器后,将配制好的TC溶液从容量瓶中转移到干燥洁净的反应器中,然后立即投加一定量催化剂,并将反应器的顶盖和瓶身紧密连接。曝气头伸入反应器底部后立即打开数显控温加热搅拌器的开关并计时。由反应器中间的取样口取出5 mL水样,并经0.22 μm的水系滤头过滤后存于离心管。离心管内提前移取0.3 mL 0.05 mol·L-1的硫代硫酸钠溶液,用以消耗剩余的O3并猝灭羟基自由基(·OH),达到迅速终止反应的目的,确保数据的准确性。吸附实验过程中仅不通入O3,其他实验条件均与降解实验相同。循环实验时将反应后的材料进行过滤收集、60 ℃烘干,再一次投入反应体系参与反应。用高效液相色谱(UPLC-Hclass,美国Waters)对水样中的TC进行测试分析。

    催化剂的SEM图如图 2所示。由图可知,SC的表面平整,较为光滑。经过改性后N-SC和Mn-SC的粗糙程度增加,这可能是由于N、Mn已经负载到SC表面。而同时浸渍N和Mn的SC的形貌变化更加明显,且随着Mn的比例不断增加,Mn-SC的表面粗糙程度也明显增大。N1Mn3-SC出现了一些明显的团簇,说明N、Mn掺杂使SC表面形貌发生了显著变化。

    图 2

    图 2.  SC (a)、N-SC (b)、Mn-SC (c)、N1Mn1-SC (d)、N1Mn2-SC (e)和N1Mn3-SC (f)的SEM图
    Figure 2.  SEM images of SC (a), N-SC (b), Mn-SC (c), N1Mn1-SC (d), N1Mn2-SC (e), and N1Mn3-SC (f)

    催化剂的比表面积(SBET)、孔体积(V)和孔径(dve)如表 1所示,相比于SC,经过N、Mn改性后的N1Mn3-SC的比表面积增大至70 m2·g-1。此外,由于N、Mn负载到SC表面,占据了部分孔道,导致改性催化剂的孔体积变小[12]

    表 1

    表 1  SC和NxMny⁃SC的孔隙结构参数
    Table 1.  Pore structure parameters of SC and NxMny-SC
    下载: 导出CSV
    Catalyst SBET / (m2·g-1) V / (cm3·g-1) dve / nm
    SC 38 0.034 73.75
    N1Mn3-SC 70 0.010 153.40
    N1Mn3-SC after used 21 0.009 191.62

    图 3a为SC和NxMny-SC的FTIR光谱。如图所示,在1 466 cm-1处的特征峰属于C=C伸缩振动峰[14],1 040 cm-1处的特征峰属于C—O,796 cm-1处的特征峰属于芳香族的C—O[15],说明负载Mn后,SC中出现了丰富的含氧官能团。同时,417 cm-1处的特征峰属于Mn—O[16],表明Mn成功负载。

    图 3

    图 3.  SC和NxMny-SC的FTIR谱图(a)、XRD图(b)和Raman谱图(c)
    Figure 3.  FTIR spectra (a), XRD patterns (b), and Raman spectra (c) of SC and NxMny-SC

    图 3b所示,通过与标准卡片对比发现,SC在2θ=26.6°处的衍射峰对应无定型碳(PDF No.00-089-8487),N1Mn1-SC、N1Mn2-SC、N1Mn3-SC在2θ=40°左右出现明显归属于Mn4N的衍射峰(PDF No.00-071-3621)。在2θ=58.6°处的峰归属于MnO(PDF No.00-089-4835),且N1Mn3-SC在此处的特征峰强度最大,说明N1Mn3-SC表面上负载了大量的Mn。同时,在2θ=36.0°和59.9°附近的特征峰对应Mn3O4(PDF No.00-024-0734),随着Mn浸渍含量的增加,Mn3O4的特征峰强度增加,且N1Mn3-SC的Mn3O4特征峰最明显。但XRD图中未检测到明显的MnO2特征峰,这可能是因为锰氧化物在SC表面能够表现出良好的分散性。研究者指出以乙酸锰对催化剂进行改性可以使锰氧化物均匀分布在催化剂表面[17]

    催化剂的拉曼光谱如图 3c所示,在1 355和1 595 cm-1处的峰分别对应碳材料的D带(无序碳)和G带(石墨碳)[18]。D带和G带的强度比(ID/IG)越大,催化剂的无序化和缺陷程度越大。相比于SC,N-SC的ID/IG由0.804增大至0.922,表明N掺杂成功地增强了碳材料的缺陷程度。Mn-SC的ID/IG也有所增大,说明Mn也能提高催化剂的缺陷程度。随着N、Mn浸渍比例的不断增加,ID/IG也逐渐增大,表明催化剂存在更多的缺陷和无序结构,这有利于催化O3降解水中的TC。

    不同催化剂的XPS谱图如图 4所示,由图 4a可知,几种催化剂均表现出明显的C1s和O1s特征峰。与SC相比,掺杂N的N-SC谱图中出现明显的N1s特征峰,说明N已经成功掺杂到SC表面。掺杂Mn的Mn-SC谱图中出现明显的Mn2p特征峰,表明Mn已经成功负载到SC上[19]。当同时掺杂N、Mn到SC时,N1Mn1-SC、N1Mn2-SC和N1Mn3-SC的Mn相对含量(原子分数)分别为3.83%、4.6%和5.19%;相对应的N相对含量(原子分数)分别为20.33%、17.53%和12.75%,说明在SC孔径不变时Mn会与N竞争负载位点。随着Mn浸渍比例的增大,Mn2p的特征峰强度逐渐增大,同时N1s的特征峰强度减小,说明在SC孔径不变时Mn会与N竞争负载位点。Mn氧化物因其优良的特性被广泛应用于催化O3体系中,不同价态的Mn有利于O3的电子传递[20]

    图 4

    图 4.  SC、N-SC、Mn-SC和NxMny-SC的XPS总谱图(a)、C1s (b)和O1s (c)XPS谱图
    Figure 4.  XPS survey spectra (a), C1s (b) and O1s (c) XPS spectra of SC, N-SC, Mn-SC, and NxMny-SC

    图 4b可知,所有样品在284.60~284.80 eV处的主峰对应C—C/C=C;SC中285.39 eV处的特征峰应为sp2杂化的C—C,而在Mn、N掺杂改性后该峰可能与286 eV左右的C—N特征峰重叠。所有掺杂改性样品在288 eV左右的特征峰对应N—C=N,该峰仅在N掺杂时强度明显增加,并在Mn、N共掺杂时随N含量的减小而逐渐减弱[21]图 4c中,Mn-SC和NxMny-SC的谱图中529.8 eV左右的峰为晶格氧特征峰(Mn—O—Mn),531.4 eV左右的特征峰为表面化学氧(Mn—O—H),533.2 eV处的特征峰为吸附氧(C—O—Mn)[22-24];N-SC的谱图中532.65 eV处的特征峰为O—H/C—O;SC中534.20 eV处的特征峰为原始SC表面单层吸附CO2的特征峰,该特征峰在进行改性后消失[25]。以上结果表明Mn、N在SC上成功掺杂。

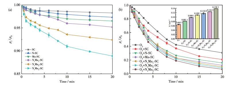
    不同催化剂对TC的吸附曲线如图 5a所示。由图可知,SC对TC的吸附率分别为1.74%,N-SC、Mn-SC对TC的吸附率分别为2.68%、3.49%。该结果说明在对SC的改性过程中,随着N、Mn含量的增加,催化剂对TC的静电作用和螯合作用增强,能够更好地将TC吸附在催化剂表面,在提升其吸附效果的同时更有利于催化反应的发生,提高TC的降解率[26-27]

    图 5

    图 5.  不同碳基材料对TC的吸附曲线(a)和降解曲线(b)
    Figure 5.  Adsorption curves (a) and degradation curves (b) of TC on different carbon-based materials

    Conditions: pH=7, the flow rate of O3 was 30 mL·min-1, the dosage of the catalyst was 200 mg·L-1, the initial concentration of TC was 30 mg·L-1; Inset: reaction rate constants.

    图 5b显示,降解反应符合一级反应动力学。在单独O3条件下,TC的降解率为69.47%,反应速率常数为0.065 6 min-1。N1Mn1-SC、N1Mn2-SC、N1Mn3-SC催化O3氧化TC的降解率分别提升至89.87%、91.34%、93.46%,反应速率常数分别为0.116 8、0.124 5、0.138 3 min-1,明显高于N-SC、Mn-SC,这可能由于N、Mn掺杂提高了SC催化剂的比表面积,增强了O3的反应效率,产生了更多的活性物种,进而提高了催化效果。后续实验选用最佳催化剂N1Mn3-SC进行研究。

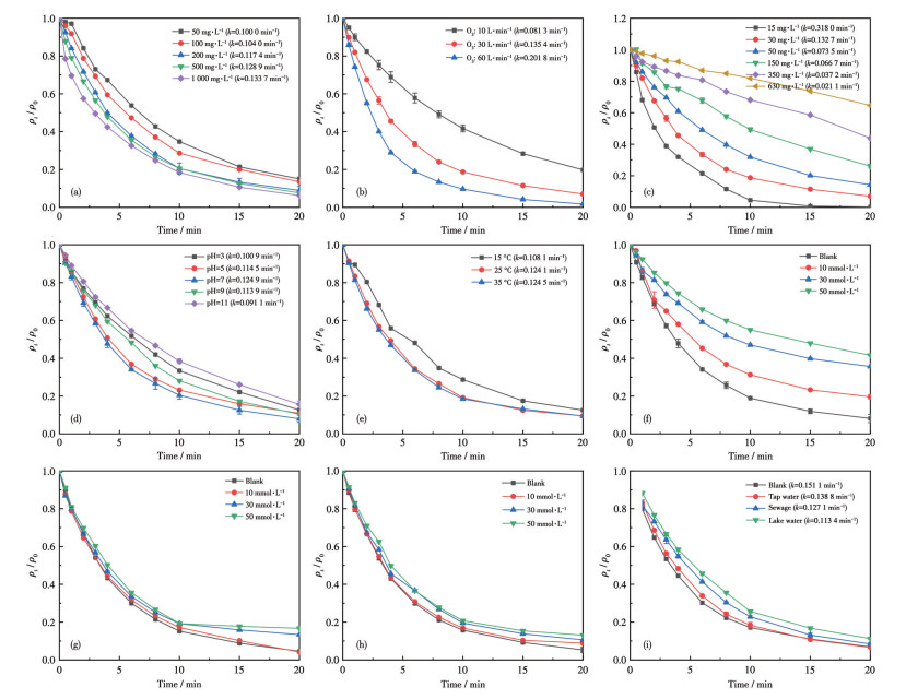
    催化剂投加量对催化O3氧化降解TC的影响结果如图 6a所示。由图可知,降解率随着催化剂投加量的增加而提高。当N1Mn3-SC投加量从50 mg·L-1增加到200 mg·L-1时,TC的降解率从85.06%显著提高到94.13%,反应速率常数从0.100 0 min-1增加到0.117 4 min-1。当催化剂投加量继续提高至500、1 000 mg·L-1时,降解率有小幅提升,这主要是因为随着N1Mn3-SC的增加,反应体系中的活性位点数量也逐渐增多,进而提高了O3、TC与N1Mn3-SC的接触概率。

    图 6

    图 6.  N1Mn3-SC投加量(a)、O3流速(b)、初始质量浓度(c)、pH (d)、反应温度(e)、HA (f)、HCO3- (g)、Cl- (h)和水体(i)对降解TC和反应速率常数的影响
    Figure 6.  Effect of N1Mn3-SC dosage (a), O3 flow rate (b), initial concentration (c), pH (d), reaction temperature (e), HA (f), HCO3- (g), Cl- (h), and water body (i) on the degradation of TC

    Other constant conditions except for the test variable: pH=7, the flow rate of O3 was 30 mL·min-1, the dosage of the catalyst was 200 mg·L-1, the initial concentration of TC was 30 mg·L-1.

    图 6b为O3流速对TC降解率的影响。由图可知,增大O3流速可以提高N1Mn3-SC对TC的降解效果。当O3流速从10 L·min-1(质量浓度为1.86 mg·L-1)提升至60 L·min-1(质量浓度为4.98 mg·L-1)时,降解率从80.20%增加到95.14%,反应速率常数从0.081 3 min-1增加到0.201 8 min-1。这是因为随着O3流速的增加,O3分子直接氧化TC的能力增强,同时催化剂与O3的接触概率增大,处理效果也随之增强。初始TC质量浓度对N1Mn3-SC催化O3降解的效果如图 6c所示。由图可知,当TC质量浓度从15 mg·L-1增加到650 mg·L-1时,降解率从95.49%显著降低到35.32%,反应速率常数从0.318 0 min-1降低到0.021 1 min-1。这是因为当TC浓度较高时,由于催化剂表面活性位点被大量TC分子占据,O3分子与催化剂表面的接触机会减少,导致自由基的生成量减少,从而降低了对TC的降解率。

    pH对降解TC的影响如图 6d所示。pH从3增加至11的过程中,降解效果呈现出先升高后降低的规律。在pH=7时,降解率为93.29%,达到最高值,对应的反应速率常数为0.124 9 min-1。这可能是因为在低pH条件下,反应体系以直接氧化TC为主导路径,随着pH的增大,更多OH-加速O3的自由基反应,促进·OH的生成。当pH=7时,Mn的氧化态更加稳定,这有利于其参与O3分解的氧化还原循环,促进O3分解为·OH和·O2-等活性氧物种,且此时催化剂表面带负电荷,促进了TC在催化剂表面的吸附,进而加剧了氧化还原反应的发生[28]。此外,在强碱环境下水中·OH之间的相互碰撞增强,进而发生·OH猝灭现象,导致·OH的大量消耗。基于以上分析可知pH过高会抑制催化剂的催化效果[29]

    温度对N1Mn3-SC催化O3氧化降解TC的影响如图 6e所示。由图可知,随着反应温度的升高,N1Mn3-SC的催化效率呈不断增大的趋势。当反应温度由15 ℃升高至25 ℃时,降解率提高了6.53%,继续升温至35 ℃时,降解率仅提高0.56%,提升效果不显著。这是因为随着温度升高,分子运动的速率增加,TC与N1Mn3-SC的接触概率增加,提高了催化效果[30]

    我们在最优条件下向体系中加入不同浓度的HA、Cl-、HCO3-等,以探究体系的抗干扰能力。HA对N1Mn3-SC催化效果的影响如图 6f所示。随着HA浓度的增加,TC的降解效果逐渐变差。这是因为吸附在催化剂N1Mn3-SC表面的HA占据了活性位点,而且HA可以猝灭·OH进而抑制催化效果。自然水体中常存在Cl-、HCO3-等阴离子,其浓度大小对N1Mn3-SC催化O3氧化降解TC的影响如图 6g~6h所示。当加入10 mmol·L-1的HCO3-时,N1Mn3-SC对TC的降解效果基本不变。但随着HCO3-投加量的增加,呈现出较为明显的抑制效果。这可能是由于HCO3-更易与·OH反应,存在一定的猝灭作用[31]。当Cl-浓度从10 mmol·L-1增加至50 mmol·L-1,降解率从90.93%降低至87.07%,这可能是由于Cl-和部分·OH发生反应生成了弱氧化性的氯自由基(Cl·),从而降低了催化活性。综上所述,阴离子对该反应体系的影响整体较小,说明N1Mn3-SC有较好的环境适用性。

    反应中实际水体对降解也有一定的影响。图 6i为N1Mn3-SC催化O3降解去离子水、自来水、污水处理厂二沉池出水、陕西科技大学校园湖水中TC的情况。结果表明催化剂催化O3氧化二沉池出水和湖水中TC的效果略有降低,这可能是因为水体中的悬浮物、有机物质、微生物等组分的存在可能与TC形成竞争。因此,实际水体中复杂成分与N1Mn3-SC共存的情况下,反应体系仍然能够提供足量的活性位点、O3分子和·OH。

    图 7a为SC和N1Mn3-SC催化O3氧化TC的矿化效果。由图可知,SC和N1Mn3-SC对水中TC的矿化率随反应时间的延长而增大,反应20 min后O3+N1Mn3-SC体系的矿化率可以达到70.42%,明显高于O3+SC(38.26%)。

    图 7

    图 7.  不同催化剂降解TC的矿化率(a); N1Mn3-SC的可重复性(b)
    Figure 7.  Mineralization rates of TC degradation by different catalysts (a); Repeatability of N1Mn3-SC (b)

    图 7b所示,5次重复实验后N1Mn3-SC催化剂对O3氧化降解TC的效果由93.28%降低至84.13%,这可能是由于在催化过程中生成的中间体物质占据了N1Mn3-SC的活性位点,同时Mn随着催化反应次数的增加而出现部分溶出。但总体降低幅度并不明显,说明催化剂具有较高的催化活性和化学稳定性。

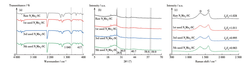
    图 8表 1结果可知,参与反应后催化剂的形貌发生了明显变化。相比于N1Mn3-SC,催化1次后的N1Mn3-SC表面变得光滑,催化5次后的N1Mn3-SC表面的团簇物质明显减少,这可能是由于N1Mn3-SC表面的Mn4N、MnO、Mn3O4等在催化过程中被消耗。催化5次后催化剂的比表面积下降至21 m2·g-1,这可能是由于催化剂表面的Mn、N等物质参与氧化还原反应的过程中导致了材料本身的表面结构发生改变,进而导致比表面积的下降。

    图 8

    图 8.  N1Mn3-SC催化0次(a)、1次(b)、3次(c)、5次(d)后的SEM图
    Figure 8.  SEM images of N1Mn3-SC after 0 (a), 1 (b), 3 (c), and 5 (d) catalytic cycles

    N1Mn3-SC催化剂稳定性测试前后的FTIR谱图如图 9a所示,其中1 040 cm-1处的C—O特征峰强度随着循环次数的增加逐渐增大,417 cm-1处的Mn—O特征峰随着循环次数的增加强度逐渐下降,这表明C—O和Mn—O参与了降解反应。从图 9b可知,使用后的N1Mn3-SC在58.6°处的峰(Mn4N)消失。36°和40°附近的峰强度明显减弱,并且随着循环次数的增加,强度也越来越弱。说明Mn4N、MnO、Mn3O4等氮锰化物和锰氧化物参与了催化氧化反应,在O3+N1Mn3-SC体系中起到了重要作用。如图 9c所示,随着循环次数的不断增加,循环1、3、5次后的N1Mn3-SC的ID/IG也逐渐减小,分别为1.011、0.995、0.983,表明缺陷数量明显降低,这说明催化剂的缺陷可能为催化过程提供了活性位点。

    图 9

    图 9.  循环前后SC和NxMny-SC的FTIR谱图(a)、XRD图(b)和Raman谱图(c)
    Figure 9.  FTIR spectra (a), XRD patterns (b), and Raman spectra (c) of SC and NxMny-SC before and after cycling

    图 10a可以看出,随着反应次数的增加,N1Mn3-SC的Mn2p特征峰强度明显下降,1、3、5次的相对含量(原子分数)分别为4.95%、2.53%和1.56%,说明Mn在反应体系起到了重要作用,随着Mn的价态发生改变,电子不断转移,生成了更多的·OH。同时,随着催化反应次数的增加,N含量也逐渐减少,反应5次后,由11.32%降低至8.63%。由图 10c可知,随着催化反应次数的增加,在288~289 eV附近的特征峰也逐渐减少,相比于催化前的N1Mn3-SC,经过5次催化反应后,其含量由19.13%降低至18.42%。综合催化剂在循环使用后的表征表明,Mn—O的断裂加速了O3在催化剂表面的吸附和分解,同时Mn的价态转换促进了·OH的产生[32]

    图 10

    图 10.  循环前后N1Mn3-SC的XPS谱图
    Figure 10.  XPS spectra of N1Mn3-SC before and after cycling

    (a) Survey; (b) O1s; (c) C1s.

    为探究该反应体系的反应机理,通过猝灭实验来研究该反应体系中的自由基情况。利用叔丁醇(TBA)与·OH和O3分子的反应速率常数的差距($ {k}_{·\text{OH}} $=6×10-8 L·moL-1·s-1$ {k}_{\text{O}_{3}} $=3×10-3 L·moL-1·s-1)来研究·OH的作用,同时利用对苯醌(BQ)和L-组氨酸分别猝灭·O2-1O2[33],猝灭剂浓度为10 mmol·L-1。结果如图 11a所示,加入TBA后抑制效果并不明显,降解率降至85.62%,反应速率常数为0.099 1 min-1。当加入BQ和L-组氨酸后降解率有显著下降(分别为75.21%、69.93%)且速率明显减缓。以上结果证明反应体系中的活性物种为·OH、·O2-1O2,且·O2-1O2为主要活性物种。

    图 11

    图 11.  (a) N1Mn3-SC的猝灭实验降解率和反应速率常数(插图); 反应体系中的(b) ·OH、(c) ·O2-和(d) 1O2的信号
    Figure 11.  (a) Quenching experiment degradation efficiency and reaction rate constants (inset) of N1Mn3-SC; Signals of (b) ·OH, (c) ·O2-, and (d) 1O2 in the reaction system

    为了进一步验证该体系中自由基的存在,我们进行了自由基捕获实验。如图 11b~11d所示,在单独O3体系中并没有检测到·OH,而在O3+SC和O3+N1Mn3-SC体系中均能检测到·OH的4个特征峰(强度比为1∶2∶2∶1),且O3+N1Mn3-SC体系中的·OH信号更强。另外,·O2-1O2的信号强度也表现出O3 < O3+SC < O3+N1Mn3-SC的规律。以上结果证明了O3+N1Mn3-SC体系中·OH、·O2-1O2的存在。

    由LC-MS对中间体物质进行分析,并提出可能的降解途径,结果如图S1(Supporting information)所示。我们提出了可能存在的2条降解路径:(1) TC(C1,m/z=445)的C—N在·OH作用下发生裂解得到产物C2(m/z=413),然后通过攻击苯环等方式得到中间体C3(m/z=110);(2) TC(C1,m/z=445)的C=C被·OH攻击,分子重排后经加成反应得到产物C4(m/z=461),在自由基的氧化作用下取代了C3位置的·OH从而出现产物C5(m/z=477),C5在活性氧物种的作用下发生脱酰胺,生成脱二甲氨基C6(m/z=385)。随着反应不断进行,中间产物进一步生成C7(m/z=114)、C8(m/z=102)、C9(m/z=90)、C10(m/z=60)等小分子物质,最终被矿化为CO2和H2O。因此,N1Mn3-SC/O3体系降解TC的主要途径有脱烷基以及脱酰胺等。

    通过浸渍法制备了含有N、Mn元素的改性NxMny-SC,随着Mn的浸渍比例的增加,负载到催化剂表面的Mn含量也增多。Mn的浸渍比例和NxMny-SC的缺陷及无序程度呈正相关。利用N1Mn3-SC催化O3氧化时,20 min内对TC的降解率为93.46%,矿化率为70.42%。循环使用5次后其对TC的降解率为84.13%。在反应过程中,Mn—O键的断裂增强了TC和O3在催化剂表面的吸附和分解,促进了自由基的产生和电子转移。自由基猝灭、捕获实验表明体系中·OH、·O2-1O2的存在,其中1O2起到较大作用。利用LC-MS对中间体物质进行分析可知,TC在催化O3氧化体系中通过脱烷基和脱酰胺等方式被降解为中间产物,以2条降解路径被氧化成小分子产物,最终生成CO2和H2O。


    Supporting information is available at http://www.wjhxxb.cn
    1. [1]

      YING M. Evaluation of water resources environment and regional agricultural economic development based on SAR imaging algorithm[J]. Mob. Inf. Syst., 2022: 9990603

    2. [2]

      FUENTES E A, ACHY J A, DA SILVA D F, GRABOSCHII A C G, BERNARDO J D O, JOAQUIM J G, FRAGA A B, ESCODRO P B. Ozone use in the treatment of subclinical mastitis in dairy cows[J]. J. Dairy Res., 2023, 90(4): 382-386 doi: 10.1017/S0022029923000808

    3. [3]

      HUANG L, ZHENG M F, YU D Q, YASEEN M, DUAN L J, JIANG W T, SHI L Y. In-situ fabrication and catalytic performance of Co-Mn@CuO core-shell nanowires on copper meshes/foams[J]. Mater. Des., 2018, 147: 182-190 doi: 10.1016/j.matdes.2018.03.046

    4. [4]

      CHENG Y Z, WANG B Y, YAN P W, SHEN J M, KANG J, ZHAO S X, ZHU X W, SHEN L L, WANG S Y, SHEN Y, CHEN Z L. In-situ formation of surface reactive oxygen species on defective sites over N-doped biochar in catalytic ozonation[J]. Chem. Eng. J., 2023, 454: 140232 doi: 10.1016/j.cej.2022.140232

    5. [5]

      柴铖, 许路, 金鑫, 石烜, 吴晨曦, 金鹏康. 氮掺杂生物炭催化臭氧对于布洛芬的降解特性与机制[J]. 环境科学, 2022, 43(2): 896-906.CHAI C, XU L, JIN X, SHI X, WU C X, JIN P K. Characterization and mechanism of ozone degradation of ibuprofen catalyzed by nitrogen-doped biochar[J]. Environmental Science, 2022, 43(2): 896-906

    6. [6]

      EINAGA H, MAEDA N, NAGAI Y. Comparison of catalytic properties of supported metal oxides for benzene oxidation using ozone[J]. Catal. Sci. Technol., 2015, 5(6): 3147-3158 doi: 10.1039/C5CY00315F

    7. [7]

      YANG D J, MENG F B, ZHANG Z R, LIU X. Enhanced catalytic ozonation by Mn-Ce oxide-loaded Al2O3 catalyst for ciprofloxacin degradation[J]. ACS Omega, 2023, 8(24): 21823-21829 doi: 10.1021/acsomega.3c01302

    8. [8]

      GUO Z Y, ZHANG Y, WANG D. A core-shell Mn-C@Fe nanocatalyst under ozone activation for efficient organic degradation: Surface-mediated non-radical oxidation[J]. Chemosphere, 2021, 281: 119574

    9. [9]

      YAN W, ZOU H T, GONG W Q, PI D D, WANG L S, NIE F. Preparation and performance study of Mn-doped TiO2-loaded kapok-based activated carbon fibers[J]. J. Text. Inst., 2025, 116(4): 550-559 doi: 10.1080/00405000.2024.2346666

    10. [10]

      CHAO L, WANG Z X, HE J R. Photocatalytic oxidation of printing and dyeing wastewater by foam ceramics loaded with Cu and N-TiO2[J]. Catal. Lett., 2024, 154(7): 3937-3946 doi: 10.1007/s10562-024-04614-0

    11. [11]

      MIAO F M, CHENG T, WANG L X, LI K, BAO M F, MA C, NIE K G, LIU Y Z, JIAO W Z. Treatment of high-salt phenol wastewater by high-gravity technology intensified Co-Mn/γ-Al2O3 catalytic ozonation: Treatment efficiency, inhibition and catalytic mechanism[J]. Chem. Eng. Sci., 2024, 292: 120019 doi: 10.1016/j.ces.2024.120019

    12. [12]

      WANG D, HE Y N, CHEN Y, YANG F, HE Z Q, ZENG T, LU X H, WANG L Z, SONG S, MA J. Electron transfer enhancing the Mn(Ⅱ)/Mn(Ⅲ) cycle in MnO/CN towards catalytic ozonation of atrazine via a synergistic effect between MnO and CN[J]. Water Res., 2023, 230: 119574 doi: 10.1016/j.watres.2023.119574

    13. [13]

      WANG L Y, CHENG X X, WANG Z Q, MA C Y, QIN Y K. Investigation on Fe-Co binary metal oxides supported on activated semi-coke for NO reduction by CO[J]. Appl. Catal. B‒Environ., 2017, 201: 636-651 doi: 10.1016/j.apcatb.2016.08.021

    14. [14]

      ZHAO S H, XU W J, GU H M, BI X L, CHEN L H, ZHANG Y L. Density functional theory and experimental study on the chemisorption and catalytic decomposition of benzene over exposed bio-char surface: The influence of unsaturated carbon atoms and potassium[J]. Fuel, 2022, 326: 125032 doi: 10.1016/j.fuel.2022.125032

    15. [15]

      JOTHINATHAN L, CAI Q Q, ONG S L, HU J Y. Fe-Mn doped powdered activated carbon pellet as ozone catalyst for cost-effective phenolic wastewater treatment: Mechanism studies and phenol by-products elimination[J]. J. Hazard. Mater., 2022, 424: 127483 doi: 10.1016/j.jhazmat.2021.127483

    16. [16]

      BOKAREV D A, BRAGINA G O, KOLYADENKOV A R, KAZAKOV A V, STAKHEEV A Y. Tuning the performance of Mn/Beta in ozone catalytic oxidation of VOCs by variation of the Mn content and its localization in the zeolite structure[J]. Mendeleev Commun., 2024, 34(6): 837-839 doi: 10.1016/j.mencom.2024.10.022

    17. [17]

      ZHOU X Y, SHANG Y N, WEI W, LIN T, WANG J C, LAI X X, WANG J L, CHEN Y Q. Effect of a mixed precursor over monolith MnOx/La-Al2O3catalyst for toluene oxidation[J]. New J. Chem., 2020, 44(26): 10859-10869 doi: 10.1039/D0NJ01432J

    18. [18]

      LI Y H, LI H, ZHAO B G, MA Y M, LIANG P Y, SUN T J. Synthetic effect of supports in Cu-Mn-doped oxide catalysts for promoting ozone decomposition under humid environment[J]. Environ. Sci. Pollut. Res., 2023, 30(46): 102880-102893 doi: 10.1007/s11356-023-29642-y

    19. [19]

      MITROFANOVA A N, KHUDOSHIN A G, LUNIN V V. Mechanism of the catalytic ozonization of lignin in the presence of Mn(Ⅱ) ions[J]. Russ. J. Phys. Chem. A, 2013, 87(7): 1124-1128 doi: 10.1134/S0036024413070212

    20. [20]

      PEREZ-LARIOS A, HERNANDEZ-GORDILLO A, MORALES-MENDOZA G, LARTUNDO-ROJAS L, MANTILLA A, GOMEZ R. Enhancing the H2 evolution from water-methanol solution using Mn2+-Mn+3-Mn4+ redox species of Mn-doped TiO2 sol-gel photocatalysts[J]. Catal. Today, 2016, 266: 9-16 doi: 10.1016/j.cattod.2015.12.029

    21. [21]

      XIONG J, LI X B, HUANG J T, GAO X M, CHEN Z, LIU J Y, LI H, KANG B B, YAO W Q, ZHU Y F. CN/rGO@BPQDs high-low junctions with stretching spatial charge separation ability for photocatalytic degradation and H2O2 production[J]. Appl. Catal. B‒Environ., 2020, 266: 118602 doi: 10.1016/j.apcatb.2020.118602

    22. [22]

      JIANG L J, LIU Q C, RAN G J, KANG M, REN S, YANG J, LI J L. V2O5-modified Mn-Ce/AC catalyst with high SO2 tolerance for low-temperature NH3-SCR of NO[J]. Chem. Eng. J., 2019, 370: 810-821 doi: 10.1016/j.cej.2019.03.225

    23. [23]

      YANG L, YANG H, LIU Q, LIU F, CHEN N. Study on the reaction performance of Ce-and Co-modified Mn-based catalysts in C3H6-SCR[J]. J. Phys. Chem. C, 2023, 127(31): 15278-15289 doi: 10.1021/acs.jpcc.3c04279

    24. [24]

      ZIEKE U, HUTTINGER K J, HOFFMAN W P. Surface-oxidized carbon fibers: Ⅳ. Interaction with high-temperature thermoplastics[J]. Carbon, 1996, 34(8): 1015-1026 doi: 10.1016/0008-6223(96)00035-8

    25. [25]

      KAMATH P V, RAO C N R. Electron spectroscopic studies of oxygen and carbon dioxide adsorbed on metal surfaces[J]. J. Phys. Chem., 1984, 88(3): 464-469 doi: 10.1021/j150647a028

    26. [26]

      RONG L L, WU L G, ZHANG T, HU C, TANG H H, PAN H C, ZOU X M. Significant differences in the effects of nitrogen doping on pristine biochar and graphene-like biochar for the adsorption of tetracycline[J]. Molecules, 2024, 29(1): 173

    27. [27]

      QIAO H, WANG X X, LIAO P, ZHANG C, LIU C X. Enhanced sequestration of tetracycline by Mn(Ⅱ) encapsulated mesoporous silica nanoparticles: Synergistic sorption and mechanism[J]. Chemosphere, 2021, 284: 131334 doi: 10.1016/j.chemosphere.2021.131334

    28. [28]

      HE C, ZHANG Z G, WANG J B, ZHANG C H, WANG S Z, ZHANG K F, WANG L L, HAN J X, GONG C H, LI K X. Mn-Ce bicenter of a dual single-atom catalyst synergistically triggers reactive oxygen species generation for efficient ozonation of emerging contaminants[J]. ACS ES & T Eng., 2024, 4(8): 2002-2014

    29. [29]

      KIM J, KWON E E, LEE J E, JANG S H, JEON J K, SONG J, PARK Y K. Effect of zeolite acidity and structure on ozone oxidation of toluene using Ru-Mn loaded zeolites at ambient temperature[J]. J. Hazard. Mater., 2021, 403: 123934 doi: 10.1016/j.jhazmat.2020.123934

    30. [30]

      LI H, LI Y H, LIU M Y, WANG P H, ZHAO B G, SUN T J. Effect of different structure of Cu/Mn catalysts on ozone decomposition ability[J]. Res. Chem. Intermed., 2023, 49(10): 4461-4479 doi: 10.1007/s11164-023-05078-4

    31. [31]

      MYTAREVA A I, GILEV A S, MANSHKOVSKY I S, BOKAREV D A, BAEVA G N, KANAEV S A, KAZAKOV A, STAKHEEV A Y. Manganese catalysts for the ozone-assisted oxidation of volatile organic compounds: Effect of the Mn3+/Mn4+ active site ratio on catalytic properties[J]. Kinet. Catal., 2022, 63(5): 515-522 doi: 10.1134/S0023158422050081

    32. [32]

      JIANG C Y, WANG D Z, LI M, YANG L, LIU X Y, YANG G, XING B, WANG Y, ZHANG F P. High-efficiency catalytic ozonation degradation of Ni complex wastewater using Mn-N codoped active carbon catalyst[J]. Langmuir, 2025, 41(1): 292-300 doi: 10.1021/acs.langmuir.4c03502

    33. [33]

      GUO Y, LONG J F, HUANG J, YU G, WANG Y J. Can the commonly used quenching method really evaluate the role of reactive oxygen species in pollutant abatement during catalytic ozonation?[J]. Water Res., 2022, 215: 118275 doi: 10.1016/j.watres.2022.118275

  • 图 1  催化O3氧化装置图

    Figure 1  Diagram of catalytic O3 oxidation device

    图 2  SC (a)、N-SC (b)、Mn-SC (c)、N1Mn1-SC (d)、N1Mn2-SC (e)和N1Mn3-SC (f)的SEM图

    Figure 2  SEM images of SC (a), N-SC (b), Mn-SC (c), N1Mn1-SC (d), N1Mn2-SC (e), and N1Mn3-SC (f)

    图 3  SC和NxMny-SC的FTIR谱图(a)、XRD图(b)和Raman谱图(c)

    Figure 3  FTIR spectra (a), XRD patterns (b), and Raman spectra (c) of SC and NxMny-SC

    图 4  SC、N-SC、Mn-SC和NxMny-SC的XPS总谱图(a)、C1s (b)和O1s (c)XPS谱图

    Figure 4  XPS survey spectra (a), C1s (b) and O1s (c) XPS spectra of SC, N-SC, Mn-SC, and NxMny-SC

    图 5  不同碳基材料对TC的吸附曲线(a)和降解曲线(b)

    Figure 5  Adsorption curves (a) and degradation curves (b) of TC on different carbon-based materials

    Conditions: pH=7, the flow rate of O3 was 30 mL·min-1, the dosage of the catalyst was 200 mg·L-1, the initial concentration of TC was 30 mg·L-1; Inset: reaction rate constants.

    图 6  N1Mn3-SC投加量(a)、O3流速(b)、初始质量浓度(c)、pH (d)、反应温度(e)、HA (f)、HCO3- (g)、Cl- (h)和水体(i)对降解TC和反应速率常数的影响

    Figure 6  Effect of N1Mn3-SC dosage (a), O3 flow rate (b), initial concentration (c), pH (d), reaction temperature (e), HA (f), HCO3- (g), Cl- (h), and water body (i) on the degradation of TC

    Other constant conditions except for the test variable: pH=7, the flow rate of O3 was 30 mL·min-1, the dosage of the catalyst was 200 mg·L-1, the initial concentration of TC was 30 mg·L-1.

    图 7  不同催化剂降解TC的矿化率(a); N1Mn3-SC的可重复性(b)

    Figure 7  Mineralization rates of TC degradation by different catalysts (a); Repeatability of N1Mn3-SC (b)

    图 8  N1Mn3-SC催化0次(a)、1次(b)、3次(c)、5次(d)后的SEM图

    Figure 8  SEM images of N1Mn3-SC after 0 (a), 1 (b), 3 (c), and 5 (d) catalytic cycles

    图 9  循环前后SC和NxMny-SC的FTIR谱图(a)、XRD图(b)和Raman谱图(c)

    Figure 9  FTIR spectra (a), XRD patterns (b), and Raman spectra (c) of SC and NxMny-SC before and after cycling

    图 10  循环前后N1Mn3-SC的XPS谱图

    Figure 10  XPS spectra of N1Mn3-SC before and after cycling

    (a) Survey; (b) O1s; (c) C1s.

    图 11  (a) N1Mn3-SC的猝灭实验降解率和反应速率常数(插图); 反应体系中的(b) ·OH、(c) ·O2-和(d) 1O2的信号

    Figure 11  (a) Quenching experiment degradation efficiency and reaction rate constants (inset) of N1Mn3-SC; Signals of (b) ·OH, (c) ·O2-, and (d) 1O2 in the reaction system

    表 1  SC和NxMny⁃SC的孔隙结构参数

    Table 1.  Pore structure parameters of SC and NxMny-SC

    Catalyst SBET / (m2·g-1) V / (cm3·g-1) dve / nm
    SC 38 0.034 73.75
    N1Mn3-SC 70 0.010 153.40
    N1Mn3-SC after used 21 0.009 191.62
    下载: 导出CSV
  • 加载中
计量
  • PDF下载量:  0
  • 文章访问数:  95
  • HTML全文浏览量:  14
文章相关
  • 发布日期:  2025-12-10
  • 收稿日期:  2025-01-20
  • 修回日期:  2025-10-22
通讯作者: 陈斌, bchen63@163.com
  • 1. 

    沈阳化工大学材料科学与工程学院 沈阳 110142

  1. 本站搜索
  2. 百度学术搜索
  3. 万方数据库搜索
  4. CNKI搜索

/

返回文章