Citation: Chenyang WANG, Yiyan BAI, Wei ZHANG, Zhaorong LIU, Yuchun WANG. Performance of photo-assisted copper oxide catalyzed hydrolysis of ammonia borane to produce hydrogen[J]. Chinese Journal of Inorganic Chemistry, 2026, 42(1): 97-110. doi: 10.11862/CJIC.20250116
光辅助铜氧化物催化氨硼烷水解制氢性能
English
Performance of photo-assisted copper oxide catalyzed hydrolysis of ammonia borane to produce hydrogen
-
Key words:
- ammonia borane
- / hydrogen production by hydrolysis
- / catalyst
- / copper oxide
- / photo-assisted
-
0. 引言
氢能是清洁、高效的能源载体,目前其应用的主要障碍在于氢气的大规模储存和安全运输,高氢含量的储氢材料是解决这一障碍的非常有效的方式之一[1-3]。通过水解稳定的硼衍生物储氢材料可进行氢气释放,这为氢气现场制取并加以利用提供了可能[4]。氨硼烷(NH3BH3,AB)以较高的氢含量(19.6%)受到广泛关注,并且其具有无毒、低分子量、稳定性好的优点[5-6]。AB可通过热解和溶剂解的方式释放氢气。其中,热解反应所需温度较高且有不良副产物生成;溶剂解反应包括以甲醇和水分别作为溶剂的2种情况,特别是水解反应条件温和,而且1 mol的AB可产生3 mol的氢气,但是该反应在室温条件下需要催化剂的参与才可进行[7-9]。
金属基催化剂通常具有较优的催化AB水解产氢活性,其中非贵金属催化活性和稳定性相较于贵金属均较差。为了对非贵金属的催化活性进行改善并抑制其易氧化造成的不稳定性,针对过渡金属化合物(硼化物、磷化物、氧化物等)的研究日益增多[10-13]。过渡金属氧化物对AB水解反应中H2O分子的有效活化和解离起到积极作用,可有效提高催化剂的催化水解产氢效率。铜、钴、镍基氧化物催化剂在AB水解反应中研究甚广,例如CuO/Co3O4@C、CuO-NiCo2O4等催化体系可依靠不同氧化物之间的协同作用,显著提高催化活性,提供较优的产氢速率[14-18]。另外,CuO还可激活Co3O4进行催化反应,利用AB在催化过程中还原CuO可产生瞬时Cu—H,以激发Co3O4形成Co—B还原态,进而进行催化产氢[19]。由此可见,金属氧化物中的铜氧化物在催化AB的研究中具有重要地位。
铜氧化物具有成本较低、储量丰富的特点,其制备方法简单且多样。此外,铜基催化剂在催化AB放出氢气后可联用于多种还原催化反应,进一步实现氢能的多渠道利用[20-21]。同时,铜氧化物是一种重要的半导体材料,其光激发波长为可见光,在光催化领域已广受关注[22-24]。因此采用光辅助的方式来增强铜氧化物的催化效果,是提高其产氢效率的有效策略。但值得注意的是,由于Cu具有多种氧化态,其在普通催化AB反应中呈现不同的催化活性[25]。同时,Cu的价态环境也会影响其光学特性,故价态环境对铜氧化物催化效果的影响值得探讨。构建具有价态变化的系列催化剂并明确其催化规律,可帮助理解铜氧化物催化剂的催化本质,这对非贵金属氧化物催化剂的指向发展具有重要意义,也有望拓展光催化剂在能源转化与利用领域中的应用。
在本研究中,通过合成系列价态可调的Cu2O/CuO复合结构,确定催化剂的结构、微观形貌、表面元素状态与光学性质,构建催化剂在黑暗条件下的普通催化性能与光催化活性之间的关系。另外,通过探究使用后催化剂的结构和表面信息,明确氧化物催化剂的基本催化机制。这项比较研究旨在阐明光辅助铜氧化物催化AB水解以释放氢气的规律,同时为储氢材料水解过程中非贵金属氧化物催化剂的设计提供一定的基础。
1. 实验部分
1.1 试剂
十二烷基磺酸钠、硫酸铜、氢氧化钠、抗坏血酸钠均购自上海阿拉丁生化科技股份有限公司;硼氢化钠购自天津市大茂化学试剂厂。所用试剂均为分析纯,使用前均未经进一步提纯。
1.2 催化剂的制备
首先采用液相还原法制备Cu2O,参考前文献[26]并改进进行。将2.88 g十二烷基磺酸钠加入到443 mL的去离子水中,持续搅拌5 min,溶解形成均匀溶液。向溶液中加入10 mL 0.1 mol·L-1的CuSO4溶液,形成浅蓝色溶液,并将2 mL 1.0 mol·L-1 NaOH溶液匀速加入至上述体系中,待溶液变为深蓝色悬浮液。之后在上述溶液中加入45 mL 0.2 mol·L-1的抗坏血酸钠溶液,恒速搅拌5 min,陈化70 min以进行晶体生长。离心取得沉淀后,将沉淀洗涤数次,再置于真空烘箱中干燥,得到Cu2O粉末样品。将制备好的Cu2O在空气中煅烧,为获得最优化的复合材料,控制煅烧温度为140 ℃,煅烧时间分别为4、8、12和16 h,升温速率为5 ℃·min-1,所获得的样品分别标记为CC-4、CC-8、CC-12和CC-16。另外,作为对比,上述反应过程制备得到Cu2O后,在空气中500 ℃煅烧2 h以得到CuO样品。
1.3 催化剂的表征
样品的晶体结构通过荷兰Panalytical Empyrean型衍射仪以单色Cu Kα辐射(λ=0.154 2 nm,工作电压为40 kV,工作电流为40 mA)进行X射线衍射(XRD),扫描范围为15°~85°,扫描速度为10 (°)·min-1。傅里叶变换红外(FTIR)光谱由BRUKER TENSOR 27光谱仪记录。使用德国ZEISS Sigma 300扫描电子显微镜(SEM)研究样品的微观形貌和尺寸分布。使用日本JEOL JEM-F200透射电子显微镜(TEM)获取高分辨透射(HRTEM)图像,加速电压为200 kV。X射线光电子能谱(XPS)结果由美国Thermo Scientific K-Alpha使用Al Kα激发光源获得,用于测量催化剂的成分和电子状态。所有XPS特征峰均采用284.8 eV处的C1s峰进行校准。采用美国Agilent Cary5000紫外可见(UV-Vis)分光光度计对光吸收性质进行测试。
1.4 催化AB水解制氢性能测试
将制备的样品用作催化AB水解制氢的催化剂,使用微量气体流量计(RTK-SGMC)实时记录生成氢气的体积。通常,将20 mg催化剂分散在9 mL去离子水中,超声处理10 min,以获得均匀分散的溶液。之后,将1 mL 20.0 g·L-1的AB溶液(0.64 mmol)注入溶液中,在搅拌条件下开始水解反应。流量计每隔5 s实时记录氢气产生的体积,直至反应结束。
氢气产生的特定速率(R)计算如下:
$ R= {V}_{\text{H}_{2}} /(m_\text{cat}t) $ 其中,
表示在标准大气压下生成氢气的体积(mL);mcat表示催化剂的质量(g);t表示水解反应所需的时间(min)。$ {V}_{\text{H}_{2}} $ 样品的催化活性通过转换频率(TOF)来评价:
$ \text{TOF}= {n}_{\text{H}_{2}} /(n_\text{Cu}t) $ 其中,
为生成氢气的物质的量(mol),nCu为催化剂中Cu的物质的量(mol)。具体计算时,先通过Cu2O/CuO的XPS表征确定Cu元素各价态含量,据此计算催化剂中Cu2O与CuO的相对含量,进而得到其中Cu元素的物质的量。$ {n}_{\text{H}_{2}} $ 为探究催化反应的动力学影响因素,改变反应中AB的浓度(0.016、0.032、0.097 mol·L-1)、催化剂的使用量(10、30、40 mg)、催化反应温度(303、308、313 K)、催化反应溶液(H2O、D2O),分别进行测试。评估催化剂耐久性时,每次反应结束后,仅更换AB溶液(10 mL,0.064 mol·L-1),进行5次循环实验。
2. 结果与讨论
2.1 结构分析
为探究在不同煅烧条件下制备的Cu2O的物相结构,对样品进行了XRD分析。如图 1a所示,所有催化剂在2θ=36.4°、42.3°、61.4°、73.5°处均出现了明显的特征衍射峰,与Cu2O(PDF No.05-0667)的(111)、(200)、(220)、(311)晶面的衍射峰一致,这表明催化剂中均含有立方相Cu2O。随着煅烧Cu2O的时长增加,催化剂在2θ=35.5°、38.7°、49.1°处逐渐出现新的衍射峰,分别对应于单斜CuO(PDF No.45-0937)的(022)、(111)、(202)晶面。这表明,煅烧使催化剂中逐渐出现CuO相,且随煅烧时长的增加含量逐渐增多。以上分析结果说明铜氧化物的物相结构得到了调控,催化剂为Cu2O/CuO复合结构。
图 1
为了进一步确定其相变,我们对催化剂进行了FTIR光谱测试。如图 1b所示,所有催化剂均表现出类似红外峰,其中3 456、1 629 cm-1所产生的吸收带分别对应于表面吸附水O—H键与羟基的伸缩振动与弯曲振动。628 cm-1处的吸收带是Cu+—O的振动引起的,497 cm-1处的吸收带则是Cu2+—O的振动产生的[27-28]。通过对比发现,未进行煅烧的样品仅包含Cu2O,而煅烧处理后,样品在497 cm-1处的吸收带呈现出显著增强的态势,表明煅烧后Cu2O氧化为CuO,即形成Cu2O/CuO复合结构,这与XRD分析结果相一致。
2.2 微观形貌分析
通过SEM对煅烧前后的系列铜氧化物催化剂进行表征分析。如图 2a~2c所示,通过液相化学还原法首先合成的Cu2O呈现相对均一的类树莓状纳米球结构,表面相对粗糙,破裂球状显示为空心纳米球,统计分析其平均粒径约为114 nm。煅烧后Cu2O/CuO催化剂仍维持原有的空心球状,且平均粒径约为112 nm(图 2d~2f),这表明煅烧未对催化剂微观形貌产生明显影响。催化剂所具有的小粒径空心球状结构利于其在催化过程中与反应物接触并增强反应中的传质过程。
图 2
TEM图像可进一步揭示所制备催化剂的微观形貌与结构变化。图 3a~3c显示Cu2O空心球表面具有部分孔洞,HRTEM图显示0.244 nm的晶面间距可对应于Cu2O的(111)晶面,选区电子衍射(SAED)花样显示其为单晶结构。如图 3d所示,煅烧后Cu2O/CuO仍保持原形貌,但同时其表面孔洞结构明显增多,类似于骰子状。这些孔洞有利于催化反应的物质传递,从而提高催化剂催化效率。HRTEM图像显示的晶面间距为0.246 nm,对应于Cu2O的(111)晶面;0.234和0.257 nm分别对应于CuO的(111)和(002)晶面,并且Cu2O和CuO之间呈现良好接触(图 3e)。另外,SAED图也证实Cu2O/CuO为多晶混合相结构(图 3f)。
图 3
2.3 表面元素及价态分析
通过XPS分析催化剂的表面化学状态和电子结构(图 4)。图 4a为Cu元素的高分辨XPS谱图,位于约932.8与952.6 eV的峰分别对应于Cu+的2p3/2与2p1/2,位于934.4与934.6 eV的拟合峰则分别对应于Cu2+的2p3/2与2p1/2,这表明催化剂样品均为混合价态的铜氧化物[29-30]。未经煅烧的Cu2O的拟合曲线显示出低强度的Cu2+峰,并且卫星峰强度也极低,表明Cu2O中仅含有微量的Cu2+,这是由于样品在表征测试过程中存在轻微氧化,故存在少量CuO。随着煅烧时长增加,Cu2O/CuO中Cu+峰强度逐渐降低,Cu2+峰强度则逐渐升高。计算各价态相对含量,如图 4b所示,Cu+含量降低的同时Cu2+含量升高,表明随着煅烧时长增加,系列催化剂中Cu+逐渐转变为Cu2+,其中煅烧16 h所形成的CC-16样品中Cu2+含量最高达81%。
图 4
O1s的高分辨XPS谱图如图 4c所示,通过拟合发现其中位于530.5和529.8 eV的拟合峰分别对应于Cu2O和CuO的晶格氧(Olatt),531.6 eV则为表面吸附氧(Oads)[31]。随着煅烧时长增加,Cu2O/CuO中Cu2+的Olatt含量逐渐升高,同时Cu+中的Olatt含量呈现降低趋势,并且Oads的含量也随之降低。经测定,催化剂中各氧物种的含量变化情况,与Cu价态含量的变化趋势一致。结合XRD与FTIR表征结果证明,催化剂随着煅烧时长增加,Cu2O逐渐转变为CuO,使得CuO含量逐渐升高。通过计算铜氧化物样品中Cu元素的平均价态(图 4d),发现其展现出升高趋势,这表明煅烧使得催化剂的氧化程度升高。
2.4 光学性质分析
光催化剂的性能与其光学性质密切相关,我们采用UV-Vis吸收光谱研究催化剂的光吸收情况,结果如图 5a所示。Cu2O/CuO催化剂在可见光区域均有着明显吸收,且相较于单相Cu2O,其吸收范围具有一定的扩宽,复合结构的吸收边出现红移。这是由于复合相结构增强了催化剂的光吸收能力,进而有利于光催化过程中对光的吸收与利用[32]。如图 5b所示,通过Tauc法计算的Cu2O、CC-4、CC-8、CC-12和CuO催化剂的带隙分别为1.96、1.88、1.79、1.83和1.69 eV。Cu2O/CuO混合相结构的带隙小于纯相Cu2O,这归因于双相结构的形成改善了催化剂的光性能。
图 5
如图 5c所示,结合XPS-VB(价带)谱图进一步确定催化剂的能带结构,可知Cu2O和CuO的价带顶电势(EVB)分别为1.70和1.89 V(vs NHE)。根据带隙确定的Cu2O和CuO导带电势分别为-0.26和0.20 V(vs NHE),进而根据此结果绘制其VB结构(图 5d)。尽管CuO具有较窄的带隙,且光吸收能力优于Cu2O,然而,其光生载流子的复合现象较为严重,这会对光催化过程产生不利影响。CC-8催化剂中Cu2O和CuO的接触更加紧密,在光照情况下,其载流子迁移符合Ⅱ型异质结机制,这种机制有助于光生电子与空穴对的分离,能够提高光生载流子的利用率。
2.5 催化性能分析
对所得系列Cu2O/CuO催化剂分别进行可见光与黑暗条件下催化AB水解性能测试。图 6a和6b分别显示了在可见光与黑暗条件下催化剂催化产生的氢气体积随时间变化的曲线。结果表明,相较于其它煅烧条件的催化剂,CC-8催化释放所有氢气的时间最短,且产氢体积接近于理论值。另外,在可见光条件下,CC-8的产氢时间明显低于黑暗条件。如图 6c所示,在可见光条件下,随着催化剂对应煅烧时长增加,其产氢速率呈现先升高后降低的类火山型变化。当煅烧时长为8 h时,CC-8催化水解反应速率最优,产氢速率可达150.09 mL·g-1·min-1,对应的TOF为1.91 min-1。复合催化剂的催化效率明显高于单相Cu2O。这种催化效率的提升源于复合催化剂中形成的适当混合价态结构,该结构能够对载流子进行有效分离。此外,对比黑暗条件下催化剂的催化反应速率可知,随着煅烧条件的改变,R值同样呈现火山型变化(图 6d)。混合价态结构的催化活性高于单相Cu2O,这表明即便在无光照条件下,Cu2O与CuO之间存在的协同催化作用也能明显提高催化效率。对于同一催化剂而言,其在黑暗条件下的催化活性均低于可见光条件下的催化活性。在可见光下,CC-8的R值为黑暗条件下的153%。这是由于在可见光条件下,催化剂所具有的适当能带结构利于其对光的吸收与有效利用,进而提高催化活性[17]。相比之下,其它过短或过长煅烧时间形成的Cu2O/CuO催化剂中未形成适当组分含量的结构,在催化过程中未能高效光能吸收,导致催化活性有所降低。
图 6
CC-8催化剂的动力学实验在298~313 K下进行,并对其进行分析。图 7a和7b分别为可见光与黑暗条件下CC-8的催化产氢曲线,不同温度下的氢气生成与时间均呈现一定的线性关系,且随着反应温度升高,催化水解速率均加快(图 7c)[33]。根据图 7d的阿伦尼乌斯图,计算可得到在催化剂存在下AB水解反应所需的活化能(Ea)。在可见光条件下,CC-8催化反应的Ea为37.1 kJ·mol-1,明显低于黑暗条件(43.0 kJ·mol-1),这表明可见光条件明显降低了催化剂催化反应所需的反应能垒,进而提高了产氢效率。CC-8在313 K下催化R值可达326.1 mL·g-1·min-1,相应的TOF值为4.16 min-1。通过对比含铜非贵金属催化剂的催化活性及Ea,发现该催化剂催化活性优于含Au催化剂和多元催化剂[2, 34-35]。同时,其Ea也低于报道水平[5, 36]。
图 7
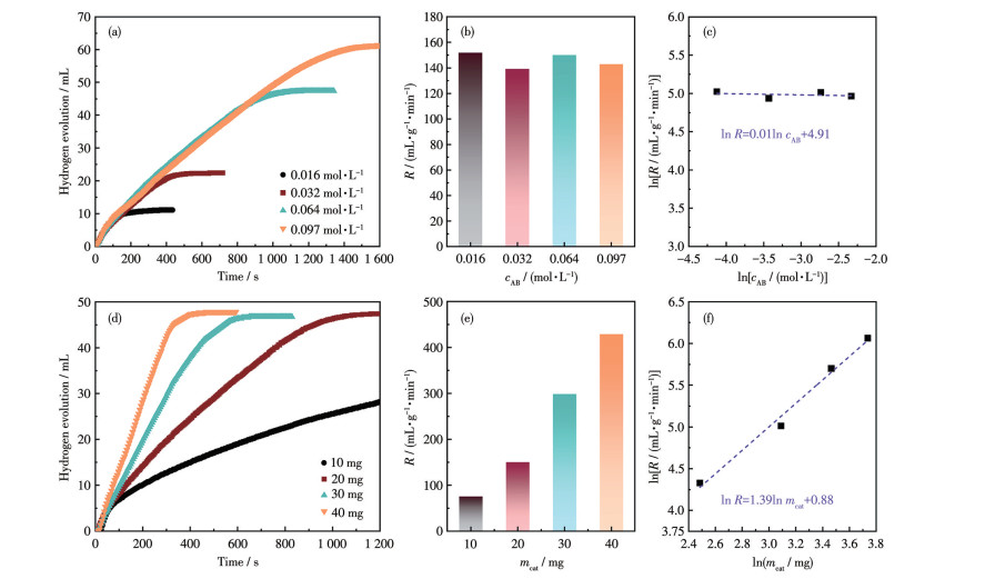
图 7. 可见光和黑暗条件不同反应温度下CC-8催化剂的催化产氢曲线(a、b)和对应的R值(c)以及ln k与1 000/T的阿伦尼乌斯曲线(d)Figure 7. Catalytic hydrogen evolution curves (a, b) and corresponding R values (c) obtained at different reaction temperatures under visible light and dark conditions, and Arrhenius plots of ln k versus 1 000/T (d) of CC-8 catalysts为探究不同浓度AB对催化水解速率的影响,在室温(298 K)、可见光照射、20 mg CC-8催化剂存在的条件下,测试氢气释放随时间变化的曲线。虽然各AB浓度下催化剂催化产生氢气的总量不同,但初始阶段的氢气释放曲线几乎重叠,氢气生成速率几乎相同(图 8a、8b)。另外,图 8c还显示了反应速率的对数和AB浓度对数的关系曲线,线性拟合后求得直线斜率为0.01,这表明催化剂催化速率与AB浓度无关。Cu2O/CuO催化AB生成氢的反应对于AB分子而言是零级反应,该结果排除了AB活化单独作为速率决定步骤的可能性。
图 8
图 8. 不同AB浓度下CC-8催化剂催化产氢曲线(a)、对应的R值(b)及氢气生成率与AB浓度对数图(c); 不同催化剂用量下CC-8催化剂催化产氢曲线(d)、对应的R值(e)及氢气生成率与催化剂用量对数图(f)Figure 8. Catalytic hydrogen releasing curves (a), corresponding R value (b), and the logarithmic plot of hydrogen generation rate versus AB concentration (c) of CC-8 catalysts obtained at different AB concentrations; Catalytic hydrogen releasing curves (d), corresponding R value (e), and the logarithmic plot of hydrogen generation rate versus catalyst dosage (f) of CC-8 catalysts obtained at different catalyst dosage为进一步探讨催化剂用量对催化活性的影响,采用不同量的CC-8在298 K、可见光照射AB浓度为0.064 mol·L-1的条件下进行催化水解反应。如图 8d所示,随着催化剂使用量的增加,催化反应完全释放氢气所需的时间明显缩短,而催化速率逐渐提高。当催化剂用量为40 mg时,R值可达429.09 mL·g-1·min-1,TOF值为5.47 min-1(图 8e)。CC-8催化产氢速率的对数与其用量对数之间关系曲线如图 8f所示,线性拟合后直线的斜率为1.39,该趋势表明催化剂的用量与氢气生成速率呈线性相关。这是由于催化剂用量增加时,可提供更多的催化反应活性位点,进而促进催化反应。综合以上AB浓度和催化剂用量对催化反应的影响,结果表明,AB水解反应不受反应物扩散的影响,其反应速率仅取决于催化剂结构[37]。
同时,对催化剂的可回收性进行了研究。待催化剂进行完水解反应后,去掉反应溶液,将催化剂继续分散在新的AB溶液中进行催化反应。图 9显示了后续循环催化过程的氢气生成曲线及所保留催化剂的催化产氢速率。从图中可知,当使用次数增加,水解反应完全释放氢气所需时间逐渐增长,但产氢量无明显下降,均接近于理论值。经过比较发现,在连续使用过程中,催化剂催化活性明显下降,催化使用5次后仅能维持原活性的51%。在多次催化反应进程中,副产物会吸附于催化剂表面,导致催化剂的活性位点被逐步覆盖,这一现象可能是催化活性降低的原因之一。另外,如图 9插图所示,通过SEM观察5次使用后的催化剂,发现原先的纳米球状转变为不规则形貌,这可能是由于多次循环使用后,催化剂的微观形貌被破坏,这也使得催化剂活性降低。因此,提高氧化物催化剂稳定性仍是未来研究的目标。
图 9
2.6 催化机制分析
为探究催化剂活性的根本来源以及使用后的相关变化,对使用过的催化剂进行表征分析。图 10a为使用后催化剂的XRD图,相较于使用前的氧化物混合相结构,使用后的样品在2θ=43.3°和50.4°出现新的衍射峰,分别对应于金属态Cu (PDF No. 04-0836)的(111)、(200)晶面,这一结果表明催化剂中形成了Cu物相结构。其形成原因是,AB具有还原性,在催化过程中可将Cu2O/CuO中氧化态Cu元素还原为金属态[26, 38]。如图 10b所示,对使用后的CC-8催化剂进行物理状态观察后发现,该催化剂仍呈现疏松的黑色粉末状,较使用前未发生明显变化。进一步通过微观表征手段确定,其微观形貌为相对均一的类树莓状空心结构,表面突起较使用前有所增大,但空心纳米球平均粒径与使用前保持一致(图 10c)。图 10d的TEM图显示使用后催化剂的孔洞有所增多,详细分析其晶面,可分辨出间距为0.210 nm晶面对应于金属Cu的(111)晶面,表明了Cu的存在(图 10e)。综合上述分析可知,催化剂在使用后仍能维持其原有的物理状态和微观形貌,仅在内部形成了金属Cu结构,发生了物相的改变,该金属的存在可作为光生电子富集位,对光催化反应起到促进作用。
图 10
图 10. 催化使用前后CC-8的XRD图(a)和物态照片(b); 催化使用后CC-8的SEM (c)、TEM (d)和HRTEM (e)图像; 催化使用前后CC-8的Cu2p (f)和O1s (g)高分辨XPS谱图以及Cu LMM俄歇电子能谱图(h)Figure 10. XRD patterns (a) and physical photographs (b) of CC-8 before and after catalytic use; SEM (c), TEM (d), and HRTEM (e) images of CC-8 after catalytic use; Cu2p (f) and O1s (g) high-resolution XPS spectra, and Cu LMM Auger spectra (h) of CC-8 before and after catalytic use利用XPS对使用后的催化剂进行表面电子状态分析,使用后催化剂的Cu2p XPS谱图如图 10f所示。结合XRD结果判断,位于932.4和952.3 eV的峰归因于Cu0和Cu+,另外还具有指示Cu2+的峰,相较于使用前催化剂中Cu2+的峰强度有所降低。图 10g展示了O1s XPS谱图的拟合分析,其结果与Cu2p XPS谱图分析结果相似。通过各拟合峰的面积确定了各价态的相对含量,结果如表 1所示。对比使用前催化剂中各价态含量,Cu2+含量明显降低。由于XPS中Cu+与Cu0的结合能值接近,利用Cu LMM俄歇电子能谱进行进一步区分,结果如图 10h所示。在对光谱拟合分析的过程中,观察到了Cu+(569.6 eV)、Cu0和Cu2+(567.9 eV)的特征峰,由此证明了Cu0、Cu2O和CuO结构的共同存在。此外,通过LMM俄歇电子能谱分析确定,催化剂在使用后,Cu2+和Cu0的总含量略微升高(表 1)。对照Cu2p和O1s精细谱图发现,催化剂在使用后,Cu2+含量降低的同时,Cu2+和Cu0的总含量升高,说明金属态Cu0不仅来源于Cu2+的还原,氧化态Cu+在使用过程中也被部分还原成金属态Cu0,二者共同作用使得催化剂表面发生重构,形成了Cu/Cu2O/CuO复合结构。
表 1
Sample Atomic fraction/% Cu2+ in Cu2p spectrum Cu2+ in O1s spectrum Cu2+ and Cu0 in Cu LMM spectrum CC-8 59.1 60.5 49.7 Used CC-8 22.2 20.9 54.1 为了解所合成催化剂对H2O分子中O—H键解离的影响,使用D2O代替H2O溶液进行动力学同位素效应(KIE)实验[38-39](图 11)。如图 11a所示,CC-8在D2O中氢气释放速率明显低于H2O,TOF值较低(图 11c),计算得到KIE值(H2O的释放速率与D2O的释放速率的比值)为3.19(图 11d),这证实了H2O解离是限制AB水解反应速率的步骤。同时,通过相同制备方法仅更换还原剂为NaBH4溶液,获得纯Cu金属催化剂,测试其催化AB水解制氢性能,结果如图 11b和11c所示。Cu金属催化剂在H2O中催化TOF值仅为0.17 min-1,明显低于CC-8,表明Cu2O/CuO催化剂在光辅助条件下对AB水解具有高效的促进作用。确定Cu在D2O中的氢气释放速率并计算KIE值为2.26,低于CC-8催化体系。Cu2O/CuO催化剂与Cu相比,明显加速了水解反应中H2O分子中O—H键的裂解,从而加快了催化反应的动力学过程,提高了催化速率,因此KIE值较大。这表明氧化物结构对水解反应中H2O的O—H键活化相较于金属Cu更加有利。
图 11
综合以上结果,在催化AB水解制氢反应时,由于AB的还原性,Cu2O/CuO催化剂表面发生原位重构生成Cu/Cu2O/CuO复合结构,此为本催化剂催化的真正活性位点。为了对氢气的生成过程提出合理的解释,基于实验结果,我们提出了相关催化机制[37, 40]。如图 12a所示,在黑暗条件下,金属态Cu0与氧化态CuO/Cu2O作为活性位点,分别对AB中的B—H键与H2O中O—H键进行活化,H2O中O—H键在氧化物表面被活化后发生断裂,生成活性中间体H*和*OH;同时在Cu表面,*OH也有助于攻击AB中的B,导致B—H键断裂,生成另一个H*,从而2个生成的H*结合成H2分子,逸出催化剂表面,如此循环往复可完全生成3 mol氢气。在可见光条件下,综合催化剂光学性质与其能带结构,可行性机制如图 12b所示。在可见光照射下CuO与Cu2O均可产生光生电子与空穴,由于具有Ⅱ型交错能带结构,来自Cu2O的光生电子注入CuO和Cu中,而来自CuO的光生空穴则可转移到Cu2O,此时光生载流子得到了有效分离,并且提高了催化过程中金属表面的电子密度。当与反应物接触时,富电子的金属Cu表面光生电子攻击B—H键,释放活性H*,而CuO由于较优的水分子吸附能力利于其活化,产生另一活性H*,从而提供高效的活性H*产生过程;另外,光生空穴氧化H2O分子可生成*OH,也利于攻击AB分子中的B—H键。因此,整个催化系统中活性H*产出效率明显提高,氢气生成速率显著加快。复合催化剂对可见光的吸收能力较强,可以有效利用光能,并提供高效的电荷转移,进而提供相较于黑暗条件更优的催化效率。因此,可以得出结论,催化剂的光学特性显著增强了催化剂的催化活性。
图 12
3. 结论
通过合成一系列价态含量可控的类树莓状Cu2O/CuO空心纳米球,探究了其催化AB水解制氢的性能。Cu2O/CuO异质结构光学性能较单相结构有所提升,且在黑暗条件和可见光条件下,催化水解制氢活性均随着Cu2+含量的增加呈现出类火山型的趋势变化,其中可见光下催化反应的R值可达150.09 mL·g-1·min-1,是黑暗条件的153%,且反应所需活化能仅为37.1 kJ·mol-1。对使用后催化剂的探究发现,在催化过程中,Cu2O/CuO发生了表面重构现象,形成了Cu/Cu2O/CuO的复合结构。在光辅助条件下,该复合结构的活性位点对AB与H2O分子的活化作用明显增强,提供了更加高效的活性氢产生过程,明显提升了其催化性能。
-
-
[1]
REN G J, LI N, WU J, CHANG Q, XUE C R, YANG J L, HU S L. Hydrolysis of ammonia borane using a carbon dot-mediated Cu-Cu2O nanocatalyst enabled with photothermal and photocatalytic coupling[J]. ACS Appl. Nano Mater., 2024, 7(6): 6659-6668 doi: 10.1021/acsanm.4c00630
-
[2]
FANG M J, LIN Y C, JAN J Y, LAI T H, HSIEH P Y, KUO M Y, CHIU Y H, TSAO C W, CHEN Y A, WANG Y T, HONG Y J, WU J Y, WU Y C S, LIN Y G, CHANG T F M, CHEN C Y, SONE M, CHANG S M, CHANG C L, HSU Y J. Au@Cu2O core@shell nanocrystals as sustainable catalysts for efficient hydrogen production from ammonia borane[J]. Appl. Catal. B‒Environ., 2023, 324: 122198 doi: 10.1016/j.apcatb.2022.122198
-
[3]
BHASKAR M P, NAIR S, SANTHANAGOPALAN D. Cobalt-free CuO catalyst for hydrolytic dehydrogenation of sodium borohydride and ammonia borane[J]. Int. J. Hydrog. Energy, 2024, 51: 551-561 doi: 10.1016/j.ijhydene.2023.08.260
-
[4]
ZHOU S Q, YANG Q L, LIU Y, CHENG L R, TAYLOR ISIMJAN T, TIAN J N, YANG X L. Electronic metal-support interactions for defect-induced Ru/Co-Sm2O3 mesosphere to achieve efficient NaBH4 hydrolysis activity[J]. J. Catal., 2024, 433: 115491 doi: 10.1016/j.jcat.2024.115491
-
[5]
LIAO J Y, FENG Y F, ZHANG X B, HUANG L X, HUANG S Q, LIU M W, LIU Q B, LI H. CuO-Co3O4 composite nanoplatelets for hydrolyzing ammonia borane[J]. ACS Appl. Nano Mater., 2021, 4(8): 7640-7649 doi: 10.1021/acsanm.1c00713
-
[6]
ASIM M, ZHANG S, MARYAM B, XIAO J, SHI C, PAN L, ZOU J J. Pt loading to promote hydrogen evolution from ammonia-borane hydrolysis of Ni2P under visible light[J]. Appl. Surf. Sci., 2023, 620: 156787 doi: 10.1016/j.apsusc.2023.156787
-
[7]
GUO L T, CAI Y Y, GE J M, ZHANG Y N, GONG L H, LI X H, WANG K X, REN Q Z, SU J, CHEN J S. Multifunctional Au-Co@CN nanocatalyst for highly efficient hydrolysis of ammonia borane[J]. ACS Catal., 2014, 5(1): 388-392
-
[8]
FENG Y F, ZHANG X F, SHAO Y X, CHEN X D, WANG H Z, LI J H, WU M, DONG H F, LIU Q B, LI H. Modulating the acidic properties of mesoporous Mox-Ni0.8Cu0.2O nanowires for enhanced catalytic performance toward the methanolysis of ammonia borane for hydrogen production[J]. ACS Appl. Mater. Interfaces, 2022, 14(24): 27979-27993 doi: 10.1021/acsami.2c06234
-
[9]
LI X G, YAO Q L, SHI R W, HUANG M S, LU Z H. A step-growth strategy to grow vertical porous aromatic framework nanosheets on graphene oxide: Hybrid material-confined Co for ammonia borane methanolysis[J]. Carbon Energy, 2023, 5(10): e357 doi: 10.1002/cey2.357
-
[10]
SONG B, LI N, CHANG Q, XUE C R, YANG J L, HU S L. Water state-driven catalytic hydrolysis of ammonia borane on Cu3P-carbon dot-Cu composite[J]. ACS Appl. Mater. Interfaces, 2023, 15(18): 22123-22131 doi: 10.1021/acsami.3c01679
-
[11]
LIAO J Y, SHAO Y X, FENG Y F, ZHANG J, SONG C X, ZENG W, TANG J T, DONG H F, LIU Q B, LI H. Interfacial charge transfer induced dual-active-sites of heterostructured Cu0.8Ni0.2Wo4 nanoparticles in ammonia borane methanolysis for fast hydrogen production[J]. Appl. Catal. B‒Environ., 2023, 320: 121973 doi: 10.1016/j.apcatb.2022.121973
-
[12]
金智康, 韦童, 许超, 贾洪柏, 宋俊杰, 祝宏亮, 杜向博文, 彭正鑫, 王刚, 刘军, 丁宏云, 何凡, 王敏, 李仁宏. 纳米晶态硼化钴的合成及其催化氨硼烷高效制氢[J]. 无机化学学报, 2022, 38(12): 2392-2400. doi: 10.11862/CJIC.2022.242JIN Z K, WEI T, XU C, JIA H B, SONG J J, ZHU H L, DU X B W, PENG Z X, WANG G, LIU J, DING H Y, HE F, WANG M, LI R H. Synthesis of nanocrystalline cobalt boride for efficient catalytic hydrogen production via ammonia borane hydrolysis[J]. Chinese J. Inorg. Chem., 2022, 38(12): 2392-2400 doi: 10.11862/CJIC.2022.242
-
[13]
YAO Q L, ZHANG X L, LU Z H, XU Q. Metal-organic framework-based catalysts for hydrogen production from liquid-phase chemical hydrides[J]. Coord. Chem. Rev., 2023, 493: 215302 doi: 10.1016/j.ccr.2023.215302
-
[14]
FENG Y F, LI Y Z, LIAO Q Y, ZHANG W M, HUANG Z Q, CHEN X, SHAO Y X, DONG H F, LIU Q B, LI H. Modulation the electronic structure of hollow structured CuO-NiCo2O4 nanosphere for enhanced catalytic activity towards methanolysis of ammonia borane[J]. Fuel, 2023, 332: 126045 doi: 10.1016/j.fuel.2022.126045
-
[15]
FENG Y F, WANG H Z, CHEN X D, LV F, LI Y Z, ZHU Y M, XU C J, ZHANG X B, LIU H R, LI H. Simple synthesis of Cu2O-CoO nanoplates with enhanced catalytic activity for hydrogen production from ammonia borane hydrolysis[J]. Int. J. Hydrog. Energy, 2020, 45(35): 17164-17173 doi: 10.1016/j.ijhydene.2020.04.257
-
[16]
LI Y Z, LI L L, FENG Y F, WANG H Z, LIAO J Y, REN J W, ZHOU W Y, HE M Y, LI H. Rattle-structured CuO/Co3O4@C microspheres, a potent bifunctional catalyst for hydrogen production from ammonia borane hydrolysis and methanolysis[J]. Appl. Surf. Sci., 2023, 636: 157840 doi: 10.1016/j.apsusc.2023.157840
-
[17]
SHAO Y X, LI Y Z, LIAN X Q, CHE X T, LI Q Y, FENG Y F, WANG H Z, LIAO J Y, LIU Q B, LI H. Methanolysis of ammonia borane catalyzed by NiO-CuO heterostructured nanosheets: Cooperation of visible light and oxygen vacancy[J]. Rare Met., 2025, 44: 389-403 doi: 10.1007/s12598-024-02949-6
-
[18]
LIAO J Y, WU Y J, FENG Y F, HU H, ZHANG L X, QIU J C, LI J H, LIU Q B, LI H. Boosted catalytic activity toward the hydrolysis of ammonia borane by mixing Co- and Cu-based catalysts[J]. Catalysts, 2022, 12(4): 426 doi: 10.3390/catal12040426
-
[19]
BUTENKO V R, KOMOVA O V, SIMAGINA V I, LIPATNIKOVA I L, OZEROVA A M, DANILOVA N A, ROGOV V A, ODEGOVA G V, BULAVCHENKO O A, CHESALOV Y A, NETSKINA O V. Co and Co3O4 in the hydrolysis of boron-containing hydrides: H2O activation on the metal and oxide active centers[J]. Materials, 2024, 17(8): 1794 doi: 10.3390/ma17081794
-
[20]
XU B, YANG X S, CHEN C S, ZHOU L, ZHOU S B, ZHANG K M, LIU X Q, JIANG W D. Attractive tandem hydrogenation of nitroaromatics using ab as a hydrogen source over pomelo peel-templated bimetallic CuO-NiO/PP nanocomposites[J]. ACS Appl. Nano Mater., 2024, 7(13): 15557-15569 doi: 10.1021/acsanm.4c02456
-
[21]
ZHU Q H, DENG Z S, XIE H J, XING M Y, ZHANG J L. Investigation of concerted proton-electron donors for promoting the selective production of HCOOH in CO2 photoreduction[J]. ACS Catal., 2023, 13(5): 3254-3262 doi: 10.1021/acscatal.3c00101
-
[22]
GAWANDE M B, GOSWAMI A, FELPIN F X, ASEFA T, HUANG X X, SILVA R, ZOU X X, ZBORIL R, VARMA R S. Cu and Cu-based nanoparticles: Synthesis and applications in catalysis[J]. Chem. Rev., 2016, 116(6): 3722-3811 doi: 10.1021/acs.chemrev.5b00482
-
[23]
MA G J, TANG W X, WANG A Q, ZHANG L, GUAN J, HAN N, CHEN Y F. Heterojunctioned CuO/Cu2O catalyst for highly efficient ozone removal[J]. J. Environ. Sci., 2023, 125: 340-348 doi: 10.1016/j.jes.2022.01.032
-
[24]
LIU P P, DÖRFLER A, TABRIZI A A, SKOKAN L, RAWACH D, WANG P K, PENG Z Y, ZHANG J M, RUEDIGER A P, CLAVERIE J P. In operando photoswitching of Cu oxidation states in Cu-based plasmonic heterogeneous photocatalysis for efficient H2 evolution[J]. ACS Appl. Mater. Interfaces, 2023, 15(23): 27832-27844 doi: 10.1021/acsami.3c01219
-
[25]
YURDERI M, BULUT A, ERTAS İ E, ZAHMAKIRAN M, KAYA M. Supported copper-copper oxide nanoparticles as active, stable and low-cost catalyst in the methanolysis of ammonia-borane for chemical hydrogen storage[J]. Appl. Catal. B‒Environ., 2015, 165: 169-175 doi: 10.1016/j.apcatb.2014.10.011
-
[26]
THOKA S, LEE A T, HUANG M H. Scalable synthesis of size- tunable small Cu2O nanocubes and octahedra for facet-dependent optical characterization and pseudomorphic conversion to Cu nanocrystals[J]. ACS Sustainable Chem. Eng., 2019, 7(12): 10467-10476 doi: 10.1021/acssuschemeng.9b00844
-
[27]
DENG S, TJOA V, FAN H M, TAN H R, SAYLE D C, OLIVO M, MHAISALKAR S, WEI J, SOW C H. Reduced graphene oxide conjugated Cu2O nanowire mesocrystals for high-performance NO2 gas sensor[J]. J. Am. Chem. Soc., 2012, 134(10): 4905-4917 doi: 10.1021/ja211683m
-
[28]
HU J, ZOU C, SU Y J, LI M, HAN Y T, KONG E S W, YANG Z, ZHANG Y F. An ultrasensitive NO2 gas sensor based on a hierarchical Cu2O/CuO mesocrystal nanoflower[J]. J. Mater. Chem. A, 2018, 6(35): 17120-17131 doi: 10.1039/C8TA04404J
-
[29]
LI J W, GUO J S, ZHANG J X, SUN Z L, GAO J P. Surface etching and photodeposition nanostructures core-shell Cu2O@CuO-Ag with S-scheme heterojunction for high efficiency photocatalysis[J]. Surf. Interfaces, 2022, 34: 102308 doi: 10.1016/j.surfin.2022.102308
-
[30]
WANG N, TAO W, GONG X Q, ZHAO L P, WANG T S, ZHAO L J, LIU F M, LIU X M, SUN P, LU G Y. Highly sensitive and selective NO2 gas sensor fabricated from Cu2O-CuO microflowers[J]. Sens. Actuator B‒Chem., 2022, 362: 131803 doi: 10.1016/j.snb.2022.131803
-
[31]
ZHAO C, FU H T, HE P, BAI Y, CHEN F, SHI N, MAO L Y, YANG X H, XIONG S X, AN X Z. Room-temperature sensing performance of CuO/Cu2O nanocomposites towards n-butanol[J]. Sens. Actuator B‒Chem., 2022, 373: 132630 doi: 10.1016/j.snb.2022.132630
-
[32]
JIANG D H, ZHANG Y G, LI X H. Synergistic effects of CuO and Au nanodomains on Cu2O cubes for improving photocatalytic activity and stability[J]. Chin. J. Catal., 2019, 40(1): 105-113 doi: 10.1016/S1872-2067(18)63164-X
-
[33]
AKBAYRAK S, ÇAKMAK G, ÖZTÜRK T, ÖZKAR S. Oxide coated nickel powder as support for platinum(0) nanoparticles: Magnetically separable catalysts for hydrogen generation from the hydrolysis of ammonia borane[J]. J. Alloy. Compd., 2024, 1002: 175199
-
[34]
YANG Y W, LU Z H, CHEN X S. Cu-based nanocatalysts for hydrogen generation via hydrolysis and methanolysis of ammonia borane[J]. Mater. Technol., 2015, 30(sup2): A89-A93 doi: 10.1179/17535557A15Y.000000004
-
[35]
CHANG J P, WANG C Y, HSU Y J, WANG C Y. Cu2O/UiO-66-NH2 composite photocatalysts for efficient hydrogen production from ammonia borane hydrolysis[J]. Appl. Catal. A‒Gen., 2023, 650: 119005 doi: 10.1016/j.apcata.2022.119005
-
[36]
XU W J, ZHANG S L, SHEN R F, PENG Z K, LIU B Z, LI J, ZHANG Z Y, LI B J. A catalytic copper/cobalt oxide interface for efficient hydrogen generation[J]. Energy Environ. Mater., 2022, 6(2): e12279
-
[37]
GUAN S Y, LIU Y Y, ZHANG H H, WEI H J, LIU T, WU X L, WEN H, SHEN R F, MEHDI S, GE X H, WANG C M, LIU B Z, LIANG E J, FAN Y P, LI B J. Atomic interface-exciting catalysis on cobalt nitride-oxide for accelerating hydrogen generation[J]. Small, 2022, 18(22): 2107417 doi: 10.1002/smll.202107417
-
[38]
WANG C Y, REN Y Y, ZHAO J L, SUN S, DU X H, WANG M M, MA G, YU H R, LI L L, YU X F, ZHANG X H, LU Z M, YANG X J. Oxygen vacancy-attired dual-active-sites Cu/Cu0.76Co2.24O4 drives electron transfer for efficient ammonia borane dehydrogenation[J]. Appl. Catal. B‒Environ., 2022, 314: 121494 doi: 10.1016/j.apcatb.2022.121494
-
[39]
GUAN S Y, LIU Y Y, ZHANG H H, SHEN R F, WEN H, KANG N X, ZHOU J J, LIU B Z, FAN Y P, JIANG J C, LI B J. Recent advances and perspectives on supported catalysts for heterogeneous hydrogen production from ammonia borane[J]. Adv. Sci., 2023, 10(21): 2300726 doi: 10.1002/advs.202300726
-
[40]
CUI L, CAO X Y, SUN X P, YANG W R, LIU J Q. A bunch-like copper oxide nanowire array as an efficient, durable, and economical catalyst for the methanolysis of ammonia borane[J]. ChemCatChem, 2018, 10(4): 710-715 doi: 10.1002/cctc.201701317
-
[1]
-
图 7 可见光和黑暗条件不同反应温度下CC-8催化剂的催化产氢曲线(a、b)和对应的R值(c)以及ln k与1 000/T的阿伦尼乌斯曲线(d)
Figure 7 Catalytic hydrogen evolution curves (a, b) and corresponding R values (c) obtained at different reaction temperatures under visible light and dark conditions, and Arrhenius plots of ln k versus 1 000/T (d) of CC-8 catalysts
图 8 不同AB浓度下CC-8催化剂催化产氢曲线(a)、对应的R值(b)及氢气生成率与AB浓度对数图(c); 不同催化剂用量下CC-8催化剂催化产氢曲线(d)、对应的R值(e)及氢气生成率与催化剂用量对数图(f)
Figure 8 Catalytic hydrogen releasing curves (a), corresponding R value (b), and the logarithmic plot of hydrogen generation rate versus AB concentration (c) of CC-8 catalysts obtained at different AB concentrations; Catalytic hydrogen releasing curves (d), corresponding R value (e), and the logarithmic plot of hydrogen generation rate versus catalyst dosage (f) of CC-8 catalysts obtained at different catalyst dosage
图 10 催化使用前后CC-8的XRD图(a)和物态照片(b); 催化使用后CC-8的SEM (c)、TEM (d)和HRTEM (e)图像; 催化使用前后CC-8的Cu2p (f)和O1s (g)高分辨XPS谱图以及Cu LMM俄歇电子能谱图(h)
Figure 10 XRD patterns (a) and physical photographs (b) of CC-8 before and after catalytic use; SEM (c), TEM (d), and HRTEM (e) images of CC-8 after catalytic use; Cu2p (f) and O1s (g) high-resolution XPS spectra, and Cu LMM Auger spectra (h) of CC-8 before and after catalytic use
表 1 Cu元素各价态的含量
Table 1. Content of Cu element in various valence states
Sample Atomic fraction/% Cu2+ in Cu2p spectrum Cu2+ in O1s spectrum Cu2+ and Cu0 in Cu LMM spectrum CC-8 59.1 60.5 49.7 Used CC-8 22.2 20.9 54.1 -
扫一扫看文章
计量
- PDF下载量: 0
- 文章访问数: 1886
- HTML全文浏览量: 407

下载:
下载: