Perfluroalkane functionalization on MOF-808 for acetylene purification

Huiying LIN Xiang ZHAO Banghao WEI Bufeng WANG Zhiyong LU Junfeng BAI

Citation:  Huiying LIN, Xiang ZHAO, Banghao WEI, Bufeng WANG, Zhiyong LU, Junfeng BAI. Perfluroalkane functionalization on MOF-808 for acetylene purification[J]. Chinese Journal of Inorganic Chemistry, 2025, 41(10): 2103-2114. doi: 10.11862/CJIC.20250110 shu

全氟烷基功能化MOF-808的乙炔纯化性能

    通讯作者: 卢治拥, zhiyong.lu@njtech.edu.cn
    白俊峰, bjunfeng@njtech.edu.cn
  • 基金项目:

    江苏省自然科学基金 BK20221498

    国家自然科学基金 22271150

摘要: 采用不同链长的全氟烷基酸(包括三氟乙酸、七氟丁酸和九氟戊酸)作为第二配体来替换MOF-808中Zr6簇上的甲酸, 生成了一系列含氟配体负载的MOF-808-R材料(R=F3、F7、F9, 分别对应三氟乙酸、七氟丁酸和九氟戊酸), 并研究了第二配体修饰对MOF孔径和孔环境的影响。第二配体的负载量通过核磁共振波谱等方法确定。在不同温度下对MOF-808和MOF-808-R进行了乙炔和二氧化碳的吸附测试, 以探索配体多样化对乙炔分离性能的影响。研究发现, MOF-808-F7展现了最佳的乙炔/二氧化碳分离性能。

English

  • Acetylene (C2H2), a vital petrochemical feedstock, serves as a cornerstone material in synthesizing fibers, conductive polymers, synthetic rubber, and industrial derivatives[1-2]. The purity of C2H2 is highly demanded in these applications, and it often needs to reach over 99.9%. Conventional production of C2H2 via natural gas cracking, however, faces inherent limitations: side reactions generate impurities like ethylene (C2H4), while ca. 8% of the carbon dioxide (CO2) present in feedstock natural gas persists into the final C2H2 product[3-4]. Therefore, the purification of C2H2 is primarily focused on the removal of C2H4 and CO2 from C2H2. Traditional methods for the distillation of C2H2 are often energy-intensive, leading to the emergence of more energy-efficient alternatives based on physical adsorption by porous materials[5-6]. However, due to the very similar molecule dimensions of C2H2 (0.33 nm×0.33 nm×0.57 nm), C2H4 (0.33 nm×0.42 nm×0.48 nm), and CO2 (0.32 nm×0.33 nm×0.54 nm), the separation of C2H4 and CO2 from C2H2 by porous materials remains a significant challenge in C2H2 purification[7-8].

    Metal-organic frameworks (MOFs)[9], as an emerging class of adsorbents, have attracted significant attention in the field of low-energy C2H2 separation due to their ability to selectively adsorb specific gases through physical adsorption[10-13]. However, most MOFs exhibit poor stability, making them difficult to apply directly in the separation of C2H2 and CO2. Zr-based MOFs, distinguished by strong Zr—O bonds and exceptional chemical stability, emerge as promising candidates for industrial gas separation[14-17]. Nevertheless, the suboptimal pore dimensions (typically exceeding 1 nm) and lack of C2H2-selective binding sites have hindered the comprehensive exploration of these materials for C2H2 purification. A case in point is MOF-808, a Zr-based framework celebrated for its exceptional water stability and versatility in applications ranging from heavy metal capture to gas adsorption. However, its oversized pore architecture creates insufficient confinement effects for small gas molecules like C2H2 (kinetic diameter: 0.33 nm), fundamentally limiting its ability to differentiate C2H2 from CO2/C2H4 through size-sieving mechanisms. This structural mismatch results in compromised selectivity under mixed-gas conditions.

    To effectively enhance the C2H2 selectivity of MOF-808, we consider employing a series of auxiliary fluorinated ligands to systematically narrow the pore size of MOF-808 as well as creating a hydrogen-bonding-favored inner environment to enhance the affinity of C2H2[18-20]. A series of perfluoroalkyl acids with different chain lengths, including trifluoroacetic acid, heptafluorobutyric acid, and nonafluoropentanoic acid, was introduced in MOF-808 as the auxiliary ligands (Fig. 1). As the length of perfluoroalkyl acids increased, the pore sizes of functionalized-MOF-808 samples gradually decreased, which aligned with our experimental expectations. According to the Hard-Soft acid-base (HSAB) theory, weaker acids can be replaced by stronger acids. Specifically, formic acid has a pKa of 3.8, while trifluoroacetic acid, heptafluorobutyric acid, and nonafluoropentanoic acid have pKa values of 0.23, 0.17, and 0.40, respectively[21]. Therefore, perfluoroalkyl acids of varying chain lengths can replace the formate residue coordinated to the Zr6 nodes in MOF-808, resulting in a series of perfluoroalkane-functionalized MOF-808-R materials (where R=F3, F7, and F9, corresponding to trifluoroacetic acid, heptafluorobutyric acid, and nonafluoropentanoic acid). We conducted gas adsorption tests for C2H2 and CO2 on MOF-808-R with different perfluoroalkyl acids, and the results showed that MOF-808-F7 exhibited the highest selectivity of C2H2 adsorption against CO2 among all the analogues including the original MOF-808 material, indicating that MOF-808-F7 is a suitable material for C2H2/CO2 separation.

    Figure 1

    Figure 1.  Schematic illustration of post-synthetic modification of MOF-808-R

    All reagents [ZrOCl2·8H2O (Aladdin, 99%), H3BTC (Aladdin, 98%), trifluoroacetic acid (Aladdin, 99%), heptafluorobutyric acid (J&K Scientific, AR), and nonafluoropentanoic acid (J&K Scientific, AR)] were obtained from commercial vendors, unless otherwise noted, were used without further purification. The powder X-ray diffraction (XRD) patterns were collected using a Bruker D8 ADVANCE X-ray diffractometer with a Cu target (λ=0.154 18 nm), operating at a current of 40 mA and voltage of 40 kV, with a scanning speed of 5 (°)·min-1 and a scanning range of 3°-20°. The morphologies of the samples was examined using an FEG 250 scanning electron microscope (SEM), with silver coating applied before testing to enhance conductivity. The characteristic absorption peaks of the samples were analyzed using a Nicolet iS10 Fourier transform infrared spectrophotometer (FTIR) over the frequency range of 400-4 000 cm-1. The thermal stabilities and intermediate products of the samples were tested and analyzed using HCT-1 simultaneous thermal analyzer, with a temperature range of 25-700 ℃ and a heating rate of 10 ℃·min-1. A BELSORP MINI X physical adsorption instrument was used to conduct N2 adsorption-desorption experiments at 77 K to obtain information on the pore size distributions and specific surface areas of the materials. Gas adsorption experiments with gases such as C2H2 and CO2 were conducted at 273 and 298 K to compare the gas adsorption properties of the materials. Before testing, the samples were evacuated at room temperature for approximately 10 h and then activated overnight in a vacuum at 120 ℃. The molecular structures of the samples were analyzed using an ASC64 nuclear magnetic resonance (NMR) spectrometer operating at a resonance frequency of 400 MHz. MOF samples (2 mg) were digested in 1.5 mL glass vials with D2SO4 (3 to 4 drops) under 10 min of ultrasonication. To the mixture, 1 mg of 1, 4-dibromo-2, 5-bis-trifluoromethyl-benzene and 20 drops of dimethyl sulfoxide (DMSO) were added, and then the clear supernatant solution was transferred to an NMR tube.

    1.2.1   Synthesis of MOF-808

    MOF-808 was synthesized following a modified literature protocol[22]. Briefly, ZrOCl2·8H₂O (0.48 g) and H3BTC (0.33 g) were dissolved in 60 mL of dimethylformamide (DMF) and formic acid. The homogeneous solution was transferred to a sealed reaction vessel and heated at 100 ℃ for 48 h to yield a white precipitate. The crude product was thoroughly washed with DMF (five times) to eliminate residual templates and uncoordinated ligands, followed by sequential solvent exchange with acetone (three times), with the final cycle involving 16 h of immersion to ensure complete pore purification. The material was subsequently activated under vacuum at 60 ℃ for 2 h, affording MOF-808 powder.

    1.2.2   Preparation of MOF-808-F3

    MOF-808 (200 mg) was loaded into a 20 mL scintillation vial, followed by the addition of 50 mL of DMF and 400 μL of trifluoroacetic acid. The sealed vial was heated at 80 ℃ in an oven for 48 h. After cooling, the product underwent sequential washing with DMF (three cycles, 8 h intervals) to remove residual reactants. Solvent exchange was then performed by immersing the material in acetone for 3 d, with fresh acetone exchanged every 8 h. Finally, the sample was vacuum-filtered and dried at 60 ℃ under reduced pressure for 2 h.

    1.2.3   Preparation of MOF-808-F7

    MOF-808 (200 mg) was dispersed in a 20 mL scintillation vial containing 50 mL DMF and 400 µL heptafluorobutyric acid. The sealed system was heated in a preheated oven at 80 ℃ for 48 h to facilitate ligand modification. Subsequent purification involved three cycles of DMF washing (8 h per cycle) to remove excess reactants, followed by progressive solvent exchange with acetone over 72 h with 8-hourly solvent replenishment. The resulting material was dried at 60 ℃ under reduced pressure for 2 h.

    1.2.4   Preparation of MOF-808-F9

    Specifically, 200 mg of MOF-808 was suspended in 50 mL DMF containing 400 µL perfluorovaleric acid within a 20 mL scintillation vial, and then the reaction system was maintained at 80 ℃ for 48 h. Subsequent purification comprised three successive DMF wash cycles (8 h intervals) to remove excess reactants, followed by stepwise solvent replacement with acetone over 72 h (8 h solvent refreshment cycles). The resulting material was dried at 60 ℃ under reduced pressure for 2 h.

    1.3.1   Calculation of theoretical gas selectivity

    The separation performance of the material for C2H2 and CO2 was evaluated using the IAST (ideal adsorption solution theory). Before the calculations, the adsorption isotherms were fitted using the dual-site Langmuir equation. The specific formula is as follows:

    $ q={q}_{m1}·\frac{{b}_{1}{p}^{1/{n}_{1}}}{1+{b}_{1}{p}^{1/{n}_{1}}}+{q}_{m2}·\frac{{b}_{2}{p}^{1/{n}_{2}}}{1+{b}_{2}{p}^{1/{n}_{2}}} $

    (1)

    where p (kPa) represents equilibrium gas pressure, q (mol·kg-1) represents adsorption capacity per unit mass of adsorbent, qm1 and qm2 (mol·kg-1) represent saturation capacities of site 1 and site 2, b1 and b2 (kPa-1) represent affinity constants of site 1 and site 2, n1 and n2 represent deviation coefficients for an ideal adsorption surface, respectively. For the IAST equation:

    $ p_{y_i}=p_i^*(\varPi) x_i $

    (2)

    where $ {p}_{{y}_{i}} $ (kPa) represents the total pressure, yi represents the molar fraction of component i in the gas phase, pi* (kPa) represents the pressure of pure gas i at the same spreading pressure (Π) as the mixture, and xi represents the molar fraction of component i in the adsorbed phase. For a binary system of components A and B, the IAST equations become:

    $ {p}_{{y}_{A}} = p_{A}^{*}(\varPi)x_{A} $

    (3)

    $ {p}_{{y}_{B}} = p_{B}^{*}(\varPi)x_{B} $

    (4)

    $ x_{A} + x_{B} = 1 $

    (5)

    $ y_{A} + y_{B} = 1 $

    (6)

    where A and B represent component A and B in the gas and adsorbed phases, respectively.

    When the gas mixture ratio of A to B is 1∶1:

    $ p_{B}^{*} = pp_{A}^{*}/(2p_{A}^{*} - p)(7) $

    (7)

    The Π is calculated as:

    $ \varPi =\frac{RT}{A}{\int }_{0}^{P}\frac{q}{p}dp $

    (8)

    where A (m2) represents the surface area of the adsorbent, R represents the gas constant, T (K) represents the temperature, q (mmol·g-1) represents the adsorption capacity at pressure p. The selectivity of gas mixture (SA/B) is given by:

    $ S_{A/B} = (x_{A}/x_{B})(y_{A}/y_{B}) $

    (9)

    The data were fitted iteratively using 1st PRO software, yielding optimized parameters (Table S1-S4, Supporting information).

    1.3.2   Calculation of adsorption enthalpy

    The isosteric heat of adsorption (Qst) was calculated using the Clausius-Clapeyron equation. During adsorption, gas molecules transition from a disordered to an ordered state, change in entropy ΔS < 0 and change in Gibbs free energy ΔG < 0. From the Gibbs equation (Eq.10), it follows that change in Enthalpy ΔH < 0. By combining the Clausius-Clapeyron equation (Eq.11) and the virial equation (Eq.12), Qst is derived as (Eq.13):

    $ ΔG = ΔH - TΔS $

    (10)

    $ \frac{dlnp}{dT}=\frac{{Q}_{st}}{R{T}^{2}} $

    (11)

    $ lnp=lnN+\frac{1}{T}\sum\limits _{i=0}^{m}{a}_{i}{N}_{i}+\sum\limits _{j=0}^{m}{a}_{j}{N}_{j} $

    (12)

    $ {Q}_{st}=-R\sum\limits _{i=0}^{m}{a}_{i}{N}_{i} $

    (13)

    where p (Pa) represents the pressure, N (mmol·g-1) represent the gas adsorption capacity, T (K) represents the temperature, ai and aj represent temperature-dependent virial coefficients, m represent number of coefficients required to adequately describe the isotherm (iteratively increased until additional terms no longer statistically improve the fit or minimize the mean squared deviation from experimental data), Qst represents isosteric heat of adsorption, R represents universal gas constant.

    MOF-808 is a typical Zr-MOF consisting of three-connected trimesate and six-connected Zr6 nodes showing (3, 6)-c spn-topology. In the crystal structure of MOF-808, there are two types of pores: a closed tetrahedral cage with an inner cavity of 0.6-0.7 nm, and diamond-like apertures showing a pore size of approximately 1.6-1.9 nm[23-25]. This pore size is significantly larger than the kinetic sizes of most gases, including C2H2 and CO2 (0.33 nm)[25], thus making it a suitable candidate for post-synthetic functionalization towards different requirements for gas separation. Inside the apertures, each Zr6 node theoretically exposes six pairs of unsaturated sites towards the apertures; however, none of them were uncoordinated according to our current activation strategy. These sites were proven to be occupied by either hydroxyl-aqua pairs or formate residues[22, 26]. In the synthesized MOF-808 sample, each Zr6 node is coordinated with an average of four formate ligands. These formate residues can be selectively replaced by stronger acids (HCl and H2SO3, for instance) through either counterion-balancing or direct coordination bonding, leading to the formation of structurally stable analogues. This ligand substitution mechanism provides a versatile platform for MOF functionalization, enabling the introduction of diverse functional groups or the modulation of pore environment properties. Such a post-synthetic modification strategy not only preserves the framework integrity but also expands the applicability of MOF-808 in targeted applications, such as catalysis or gas separation.

    Fluorine atoms, as strong proton acceptors, exhibit a unique ability to form multiple hydrogen bonds with C2H2 molecules. This characteristic makes fluorine-functionalized MOFs particularly effective in enhancing host-guest interactions within the framework[21]. The introduction of fluorine groups into the MOF structure is expected to significantly improve C2H2 affinity[18-20]. Hence, we selected a series of perfluoroalkyl acids, trifluoroacetic acid, heptafluorobutyric acid, and nonafluoropentanoic acid, with different lengths for creating a favorable environment and pore sizes for selectively adsorbing C2H2. To guarantee a maximum loading for each perfluoroalkyl acid, the input ratio for each perfluoroalkyl acid to MOF-808 was two times higher than the theoretical incorporation loading. After thoroughly washing, the samples of MOF-808-F3, MOF-808-F7, and MOF-808-F9 were obtained.

    The structural integrity of these MOF-808 modified samples was confirmed by XRD pand SEM. As demonstrated in Fig. 2, the five characteristic diffraction peaks of the synthesized MOF-808 (observed at 2θ=4.3°, 8.3°, 8.7°, 10.0°, and 10.9°) showed good agreement with the simulated peak positions of MOF-808. Furthermore, the XRD patterns of MOF-808 functionalized with perfluoroalkyl acids of varying chain lengths showed no significant deviation from the pristine framework, confirming that the post-synthetic modification process preserves the crystallographic integrity of the parent structure. Further morphological analysis was conducted by SEM. As shown in Fig. 3a, MOF-808 exhibited apparent octahedral morphology, consistent with previously reported microstructures[27], and the particle size was relatively uniform (1-2 μm). The modified MOF-808-R (R=F3, F7, F9) samples, as shown in Fig. 3b-3d, indicated that the introduction of perfluoroalkyl acids did not alter the morphology or size of the original MOFs. The preservation of crystal integrity post-modification further highlights the stability of the framework, making it a promising candidate for advanced functionalization strategies.

    Figure 2

    Figure 2.  XRD patterns of MOF-808 and MOF-808-R

    Figure 3

    Figure 3.  SEM images of (a) MOF-808, (b) MOF-808-F3, (c) MOF-808-F7, and (d) MOF-808-F9

    To confirm the successful incorporation of perfluoroalkyl acids in MOF-808, we initially collected the FTIR spectra of all the modified analogues. In the MOF-808 sample, the absorption peak at 1 386 cm-1 arises from the symmetric stretching vibration of carbonyl groups in the trimesic acid ligand, while the peak at 1 623 cm-1 originates from the asymmetric stretching vibration of carbonyl groups coordinated to Zr metal centers. Additionally, an absorption peak corresponding to Zr—O stretching vibrations appeared at 655 cm-1 (Fig.S1a). In the MOF-808-R (R=F3, F7, F9) samples, not only the FTIR characteristic absorption peaks of MOF-808 presented (Fig.S1b), but also a new peak appeared at 1 240 cm-1, which corresponds to the asymmetric C—F stretching vibrations. This peak originates from the perfluoroalkyl acids, confirming its existence in MOF-808-R samples. The loadings of perfluoroalkylate in these samples were further confirmed by 1H NMR. All the samples were digested in two ways: the acidic way using D2SO4 in the solvent of DMSO-d6, and the alkalic way via NaOD in D2O. As shown in Fig.S2, the loadings of perfluoroalkate were all within the same level, which was about 3.6 perfluoroalkate per node. Meanwhile, from the 1H NMR spectra of these samples digested in an alkalic way, the content of formate residue was reduced from nearly four per node to less than one per node (Fig.S3). These loadings were further confirmed by their TG (thermogravimetric) curves. As shown in Fig.S4, according to their TG curves, within the range between 200 and 350 ℃, a weight loss gradually increased along with perfluoroalkylate′s length (or molecule weight) could be observed. By analyzing the weight loss in this area, we obtained the loadings of perfluoroalkylate ligands for these materials. The molar ratios (n/n) of the introduced perfluoroalkylate ligands to Zr6 clusters in MOF-808-R (R=F3, F7, F9) were 3.71∶1, 3.62∶1, and 3.91∶1, respectively, which are consistent with the loadings calculated from 1H NMR results. Surprisingly, the formate content in MOF-808 coincidentally consisted with the loading of perfluoroalkate in MOF-808-R anologues, which indicates the correlation between perfluoroalkyl acids and formate. A substitution of formate with perfluoroalkate occurred during the reaction. In addition, energy-dispersive X-ray spectroscopy (EDS) was also conducted to confirm the perfluoroalkate dispersion. The results from EDS indicated that the distributions of Zr and F elements in MOF-808-R was relatively even (Fig.S5), suggesting that perfluoroalkylate of different lengths were evenly loaded within the MOF-808 framework. By calculating the loading amounts of the second ligands in different samples based on the weight percentage and atomic percentage of the elements derived from the EDS results, we obtained the calculation results shown in Table S5. On average, each Zr6 cluster is loaded with approximately four perfluoroalkyl acids, which is consistent with the results from both TG analysis and 1H NMR.

    The water stability was then evaluated by soaking pristine MOF-808 and MOF-808-R samples in water for 14 d. XRD patterns (Fig.S6) demonstrate that all materials maintained their original peak positions and profiles without significant change, confirming that the fluorinated MOF-808-R derivatives retained excellent water stability comparable to their freshly synthesized counterpart.

    The N2 adsorption-desorption isotherms of these perfluoroalkate-functionalized MOF-808 samples were further collected. As shown in Fig. 4, the saturated uptake amount of N2 for these MOF-808 samples decreased progressively from 510 cm3·g-1 for MOF-808 to 310 cm3·g-1 for MOF-808-F3, 230 cm3·g-1 for MOF-808-F7, and 150 cm3·g-1 for MOF-808-F9. We then calculated the BET (Brunauer-Emmett-Teller) surface areas (SBET, Table 1) for the four samples (MOF-808: 2 091 cm2·g-1, MOF-808-F3: 1 379 cm2·g-1, MOF-808-F7: 682 cm2·g-1, and MOF-808-F9: 450 cm2·g-1). The pore volumes of the four samples were as follows: MOF-808 (0.78 cm3·g-1), MOF-808-F3 (0.48 cm3·g-1), MOF-808-F7 (0.36 cm3·g-1), and MOF-808-F9 (0.23 cm3·g-1). As shown in Fig.S7, the pore sizes also gradually decreased (MOF-808: 2.17 nm, MOF-808-F3: 1.63 nm, MOF-808-F7: 1.44 nm, and MOF-808-F9: 1.42 nm). The increasing length of perfluoroalkylate gradually reduces the pore size of MOF-808, leading to a decrease in the available surface area for gas adsorption.

    Figure 4

    Figure 4.  N2 adsorption-desorption isotherms of MOF-808 and MOF-808-R at 77 K

    Table 1

    Table 1.  Calculated gas adsorption performances for MOF-808 and MOF-808-R
    下载: 导出CSV
    MOF SBET /
    (m2·g-1)
    Pore volume /
    (cm3·g-1)
    C2H2 uptake
    amount / (cm3·g-1)
    CO2 uptake
    amount / (cm3·g-1)
    Qst for C2H2 /
    (kJ·mol-1)
    Qst for CO2 /
    (kJ·mol-1)
    MOF-808 2 091 0.78 40 29 22.7 23.2
    MOF-808-F3 1 379 0.48 28 16 29.8 25.0
    MOF-808-F7 682 0.36 18 10 30.4 27.3
    MOF-808-F9 450 0.23 10 6.2 24.8 24.1

    Since the pore sizes of MOF-808 were gradually decreased by elongating the perfluoroalkyl acids, the inner environment was subsequently systematically tuned. Therefore, to investigate the effect of both pore-size optimization and pore environment tuning on gas adsorption, we further collected the C2H2 and CO2 adsorption isotherms for MOF-808 analogues. Before measurements, the pre-treatment steps for each sample were consistent. Fig. 5a and 5e present the adsorption isotherms for MOF-808-R of C2H2 and CO2 at 273 and 298 K, respectively. At 273 K, the adsorption amount for MOF-808 of C2H2 at p/p0=1 reached 76 cm3·g-1, while the adsorption amount of CO2 was 49 cm3·g-1. At 298 K, under the same p/p0, the adsorption amount of C2H2 decreased to 40 cm3·g-1, and CO2 to 29 cm3·g-1. However, for MOF-808-R (R=F3, F7, F9), the adsorption capacities for both C2H2 and CO2 at p/p0=1 were observed to decrease at 273 and 298 K compared to the pristine MOF-808. This reduction in adsorption performance is primarily attributed to the decreased porosity resulting from the perfluoroalkane modifications. Nonetheless, the adsorption capacity for C2H2 consistently surpassed that of CO2, as depicted in Fig. 5. We further analyzed the linearity of the adsorption isotherm of C2H2 and found that for MOF-808-R (R=F3, F7, F9) the adsorption isotherms of C2H2 were more curved compared to MOF-808, which qualitatively indicates that the interaction force between the framework and C2H2 molecules is stronger. This phenomenon can likely be attributed to the enhanced interaction forces between the framework and C2H2 molecules induced by the incorporation of perfluoroalkane[28-29].

    Figure 5

    Figure 5.  Adsorption isotherms of C2H2 and CO2 at (a) 273 K and (e) 298 K for MOF-808 and MOF-808-R; Adsorption isotherms of C2H2 and CO2 for (b) MOF-808-F3, (c) MOF-808-F7, and (d) MOF-808-F9 at 273 K; Adsorption isotherms of C2H2 and CO2 for (f) MOF-808-F3, (g) MOF-808-F7, and (h) MOF-808-F9 at 298 K

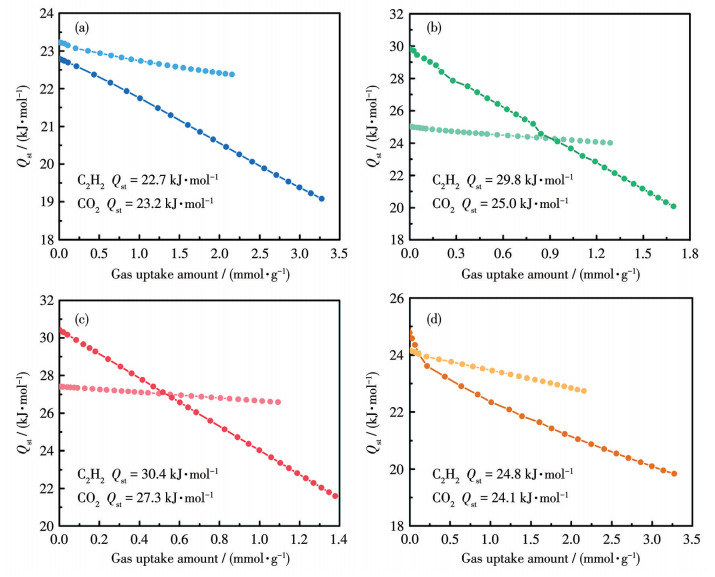
    The Qst was further determined through the gas adsorption isotherms obtained at 298 and 273 K. As illustrated in Fig. 6, the Qst values for C2H2 and CO2 of MOF-808 were estimated to be 22.7 and 23.2 kJ·mol-1, respectively. The Qst values of C2H2 were less than CO2. This may be due to the large pore (1.6-1.9 nm) in MOF-808 without any functional groups that can discriminate C2H2 from CO2. The Qst values for C2H2 adsorption in MOF-808-R (R=F3, F7, F9) series were consistently higher than those for CO2 adsorption. Specifically, MOF-808-F7 exhibited the highest Qst value for C2H2 at 30.4 kJ·mol-1, compared to 27.3 kJ·mol-1 for CO2, representing the maximum Qst value for C2H2 among the series. This enhanced adsorption affinity can be attributed to two primary factors: (1) the heptafluorobutyric acid chain is significantly larger than trifluoroacetic acid, resulting in further reduction of pore size and consequently stronger interactions between the framework and C2H2 molecules; (2) the increased number of fluorine atoms in heptafluorobutyric acid provides more interaction sites with C2H2 molecules, thereby enhancing the overall adsorption strength. The Qst decreased when the length of the perfluroalkane ligand extended to F9, which is due to such long chain in MOF-808 hindering the interaction between F atoms and C2H2.

    Figure 6

    Figure 6.  Isosteric heats of adsorption of (a) MOF-808, (b) MOF-808-F3, (c) MOF-808-F7, and (d) MOF-808-F9 for C2H2 and CO2

    To evaluate the selectivity of MOF-808-R on C2H2 and CO2, the IAST method was used to estimate the C2H2/CO2 (50∶50, V/V, the same below) separation ability at 298 K. As illustrated in Fig. 7, MOF-808 exhibited the lowest separation coefficient of 1.23 at a 50∶50 ratio among the four analogues. In comparison, the separation coefficients for the other materials were significantly higher, measuring 1.51, 4.80, and 1.73 at the same ratio. Notably, MOF-808-F7 demonstrated the most substantial enhancement in separation performance. To assess the separation performance under various application scenarios, we systematically calculated the separation coefficients for two commonly encountered gas mixture ratios (85∶15 and 90∶10). At a ratio of 90∶10 of C2H2 to CO2, MOF-808-F7 exhibited a superior separation coefficient of 6.79, substantially higher than those of MOF-808 (1.26), MOF-808-F3 (1.63), and MOF-808-F9 (1.82). Remarkably, the separation capability of MOF-808-F7 was approximately sixfold greater than that of the pristine MOF-808, demonstrating the most exceptional separation performance among all evaluated materials.

    Figure 7

    Figure 7.  Selectivity of different C2H2/CO2 mixing ratios at 298 K of (a) MOF-808, (b) MOF-808-F3, (c) MOF-808-F7, and (d) MOF-808-F9

    The comparative analysis of MOF-808-F7 with conventional materials[30-38] for C2H2/CO2 separation is presented in Fig. 8, revealing that MOF-808-F7 surpasses several benchmark materials in separation selectivity. This enhanced separation performance can be attributed to two synergistic factors: (1) the incorporation of fluorine sites strengthens the host-guest interactions between the framework and C2H2 molecules, and (2) the optimal pore size reduction increases the contact points between C2H2 molecules and the framework. It is noteworthy that while shorter chain lengths exhibit limited impact on framework dimensions, excessive chain length in perfluorinated acids can hinder gas molecule accessibility. Consequently, MOF-808-F7 demonstrates significantly improved separation performance compared to both MOF-808-F3 and MOF-808-F9, achieving an optimal balance between framework modification and molecular accessibility[39].

    Figure 8

    Figure 8.  Comparison of separation selectivity of C2H2 and CO2 from common materials (C2H2/CO2: 90∶10)[30-38]

    In this study, we demonstrate that the strategic incorporation of fluorine-containing molecules into MOF frameworks significantly enhances their affinity toward C2H2. Through comprehensive gas adsorption studies, the modified MOF series exhibited remarkable selectivity for C2H2 over CO2. Particularly noteworthy was MOF-808-F7, which achieved an exceptional separation coefficient of 6.79 at 298 K, representing a sixfold enhancement compared to the pristine MOF-808 under identical conditions. This breakthrough enables efficient C2H2/CO2 separation at ambient conditions, marking a significant advancement in gas separation technology.


    Acknowledgment: We thank for the financial support from the Natural Science Fund of Jiangsu Province (Grant No.BK20221498) and the National Natural Science Foundation of China (Grant No.22271150). Supporting information is available at http://www.wjhxxb.cn
    1. [1]

      MOREAU F, SILVA I D, AL SMAIL N H, EASUN T L, SAVAGE M, GODFREY H G W, PARKER S F, MANUEL P, YANG S, SCHRÖDER M. Unravelling exceptional acetylene and carbon dioxide adsorption within a tetra-amide functionalized metal-organic framework[J]. Nat. Commun., 2017, 8(1): 14085 doi: 10.1038/ncomms14085

    2. [2]

      JIE C K, MADDEN D G, SOUMYA M, TONY P, FORREST K A, AMRIT K, BRIAN S, JIE K, YU Z Q, ZAWOROTKO M J. Synergistic sorbent separation for one-step ethylene purification from a four-component mixture[J]. Science, 2019, 366(6462): 241-246 doi: 10.1126/science.aax8666

    3. [3]

      CHEN T W, ZHANG Q, WANG J F, WANG T. Simulation of industrial-scale gas quenching process for partial oxidation of nature gas to acetylene[J]. Chem. Eng. J., 2017, 329: 238-249 doi: 10.1016/j.cej.2017.04.016

    4. [4]

      AMGHIZAR I, VANDEWALLE L A, VAN GEEM K M, MARIN G B. New trends in olefin production[J]. Engineering, 2017, 3(2): 171-178 doi: 10.1016/J.ENG.2017.02.006

    5. [5]

      CAI L Z, YU X Y, WANG M S, YUAN D Q, CHEN W F, WU M Y, GUO G C. In situ stimulus response study on the acetylene/ethylene purification process in MOFs[J]. Angew. Chem.-Int. Edit., 2024, 64(5): e202417072

    6. [6]

      QAZVINI O T, BABARAO R, TELFER S G. Multipurpose metal-organic framework for the adsorption of acetylene: Ethylene purification and carbon dioxide removal[J]. Chem. Mater., 2019, 31(13): 4919-4926 doi: 10.1021/acs.chemmater.9b01691

    7. [7]

      YANG J C, TONG M M, HAN G P, CHANG M, YAN T A, YING Y P, YANG Q Y, LIU D H. Solubility-boosted molecular sieving-based separation for purification of acetylene in core-shell IL@MOF composites[J]. Adv. Funct. Mater., 2023, 33(15): 2213743 doi: 10.1002/adfm.202213743

    8. [8]

      WANG J W, MU X B, FAN S C, XIAO Y, FAN G J, PAN D C, YUAN W, ZHAI Q G. Maximizing electrostatic interaction in ultramicroporous metal-organic frameworks for the one-step purification of acetylene from ternary mixture[J]. Inorg. Chem., 2024, 63(7): 3436-3443 doi: 10.1021/acs.inorgchem.3c04156

    9. [9]

      YAGHI O M, O′KEEFFE M, OCKWIG N W, CHAE H K, EDDAOUDI M, KIM J. Reticular synthesis and the design of new materials[J]. Nature, 2003, 423(6941): 705-714 doi: 10.1038/nature01650

    10. [10]

      LI H P, WANG J W, DOU Z D, WU L Z, WANG Y, LIANG Y C, ZHAI Q G. Flexible-rigid aluminum-organic frameworks with ultra-fine pore-environment regulation for benchmark acetylene storage and purification[J]. Chem. Eng. J., 2024, 492: 152125 doi: 10.1016/j.cej.2024.152125

    11. [11]

      LI L B, LIN R B, KRISHNA R, LI H, XIANG S C, WU H, LI J P, ZHOU W, CHEN B L. Ethane/ethylene separation in a metal-organic framework with iron-peroxo sites[J]. Science, 2018, 362(6413): 443-446 doi: 10.1126/science.aat0586

    12. [12]

      HU T L, WANG H L, LI B, KRISHNA R, WU H, ZHOU W, ZHAO Y F, HAN Y, WANG X, ZHU W D, YAO Z Z, XIANG S C, CHEN B L. Microporous metal-organic framework with dual functionalities for highly efficient removal of acetylene from ethylene/acetylene mixtures[J]. Nat. Commun., 2015, 6(1): 7328 doi: 10.1038/ncomms8328

    13. [13]

      SHEN J, HE X, KE T, KRISHNA R, VAN BATEN J M, CHEN R, BAO Z B, XING H B, DINCǍ M, ZHANG Z G, YANG Q W, REN Q L. Simultaneous interlayer and intralayer space control in two-dimensional metal-organic frameworks for acetylene/ethylene separation[J]. Nat. Commun., 2020, 11(1): 6259 doi: 10.1038/s41467-020-20101-7

    14. [14]

      LU Z Y, DUAN J X, TAN H, DU L T, ZHAO X, WANG R, KATO S, YANG S L, HUPP J T. Isomer of NU-1000 with a blocking c-pore exhibits high water-vapor uptake capacity and greatly enhanced cycle stability[J]. J. Am. Chem. Soc., 2023, 145(7): 4150-4157 doi: 10.1021/jacs.2c12362

    15. [15]

      SHI L, YANG Z N, SHA F R, CHEN Z J. Design, synthesis and applications of functional zirconium-based metal-organic frameworks[J]. Sci. China Chem., 2023, 66(12): 3383-3397 doi: 10.1007/s11426-023-1809-8

    16. [16]

      TADDEI M. When defects turn into virtues: The curious case of zirconium-based metal-organic frameworks[J]. Coord. Chem. Rev., 2017, 343(15): 1-24

    17. [17]

      LIU X Y, KIRLIKOVALI K O, CHEN Z J, MA K K, IDREES K B, CAO R, ZHANG X, ISLAMOGLU T, LIU Y L, FARHA O K. Small molecules, big effects: Tuning adsorption and catalytic properties of metal-organic frameworks[J]. Chem. Mater., 2021, 33(4): 1444-1454 doi: 10.1021/acs.chemmater.0c04675

    18. [18]

      BELMABKHOUT Y, ZHANG Z Q, ADIL K, BHATT P M, CADIAU A, SOLOVYEVA V, XING H B, EDDAOUDI M. Hydrocarbon recovery using ultra-microporous fluorinated MOF platform with and without uncoordinated metal sites: I- structure properties relationships for C2H2/C2H4 and CO2/C2H2 separation[J]. Chem. Eng. J., 2019, 359: 32-36 doi: 10.1016/j.cej.2018.11.113

    19. [19]

      LI H Y, XUE Z Z, HAN S D, WANG G M, HE T. A microporous fluorinated MOF for efficient separation of C2H2 from C2H2/CO2 and C2H2/C2H4 mixtures[J]. Sep. Purif. Technol., 2025, 357: 130094 doi: 10.1016/j.seppur.2024.130094

    20. [20]

      YANG S Q, KRISHNA R, CHEN H W, LI L B, ZHOU L, AN Y F, ZHANG F Y, ZHANG Q, ZHANG Y H, LI W, HU T L, BU X H. Immobilization of the polar group into an ultramicroporous metal-organic framework enabling benchmark inverse selective CO2/C2H2 separation with record C2H2 production[J]. J. Am. Chem. Soc., 2023, 145(25): 13901-13911 doi: 10.1021/jacs.3c03265

    21. [21]

      MOROI Y, YANO H, SHIBATA O, YONEMITSU T. Determination of acidity constants of perfluoroalkanoic acids[J]. Bull. Chem. Soc. Jpn., 2002, 74(4): 667-672

    22. [22]

      LU Z Y, DUAN J X, DU L T, LIU Q, SCHWEITZER N M, HUPP J T. Incorporation of free halide ions stabilizes metal-organic frameworks (MOFs) against pore collapse and renders large-pore Zr-MOFs functional for water harvesting[J]. J. Mater. Chem. A, 2022, 10(12): 6442-6447 doi: 10.1039/D1TA10217F

    23. [23]

      LY H G T, FU G, KONDINSKI A, BUEKEN B, DE VOS D, PARAC-VOGT T N. Superactivity of MOF-808 toward peptide bond hydrolysis[J]. J. Am. Chem. Soc., 2018, 140(20): 6325-6335 doi: 10.1021/jacs.8b01902

    24. [24]

      HU Z G, KUNDU T, WANG Y X, SUN Y, ZENG K Y, ZHAO D. Modulated hydrothermal synthesis of highly stable MOF-808(Hf) for methane storage[J]. ACS Sustain. Chem. Eng., 2020, 8(46): 17042-17053 doi: 10.1021/acssuschemeng.0c04486

    25. [25]

      SHARMA A, LIM J, JEONG S, WON S, SEONG J, LEE S, KIM Y S, BAEK S B, LAH M S. Superprotonic conductivity of MOF-808 achieved by controlling the binding mode of grafted sulfamate[J]. Angew. Chem.-Int. Edit., 2021, 60(26): 14334-14338 doi: 10.1002/anie.202103191

    26. [26]

      LU Z Y, LIU J, ZHANG X, LIAO Y J, WANG R, ZHANG K, LYU J F, FARHA O K, HUPP J T. Node-accessible zirconium MOFs[J]. J. Am. Chem. Soc., 2020, 142(50): 21110-21121 doi: 10.1021/jacs.0c09782

    27. [27]

      ZHAO Z W, LEI R C, ZHANG Y Z, CAI T T, HAN B. Defect controlled MOF-808 for seawater uranium capture with high capacity and selectivity[J]. J. Mol. Liq., 2022, 367: 120514 doi: 10.1016/j.molliq.2022.120514

    28. [28]

      SNYDER B E R, TURKIEWICZ A B, FURUKAWA H, PALEY M V, VELASQUEZ E O, DODS M N, LONG J R. A ligand insertion mechanism for cooperative NH3 capture in metal-organic frameworks[J]. Nature, 2023, 613(7943): 287-291 doi: 10.1038/s41586-022-05409-2

    29. [29]

      CUI X L, CHEN K J, XING H B, YANG Q W, KRISHNA R, BAO Z B, WU H, ZHOU W, DONG X L, HAN Y, LI B, REN Q L, ZAWOROTKO M J, CHEN B L. Pore chemistry and size control in hybrid porous materials for acetylene capture from ethylene[J]. Science, 2016, 353(6295): 141-144 doi: 10.1126/science.aaf2458

    30. [30]

      ZHANG X, LIN R B, WU H, HUANG Y H, YE Y X, DUAN J G, ZHOU W, LI J R, CHEN B L. Maximizing acetylene packing density for highly efficient C2H2/CO2 separation through immobilization of amine sites within a prototype MOF[J]. Chem. Eng. J., 2022, 431(2): 134184

    31. [31]

      KITAGAWA S, MATSUDA R. Chemistry of coordination space of porous coordination polymers[J]. Coord. Chem. Rev., 2007, 251(21/22/23/24): 2490-2509

    32. [32]

      KAN L, LI G H, LIU Y L. Highly selective separation of C3H8 and C2H2 from CH4 within two water-stable Zn5 cluster-based metal-organic frameworks[J]. ACS Appl. Mater. Interfaces, 2020, 12(16): 18642-18649 doi: 10.1021/acsami.0c04538

    33. [33]

      LIU X F, XU C Y, YANG X H, HE Y B, GUO Z Y, YAN D. An amine functionalized carbazolic porous organic framework for selective adsorption of CO2 and C2H2 over CH4[J]. Microporous Mesoporous Mat., 2019, 275: 95-101 doi: 10.1016/j.micromeso.2018.08.015

    34. [34]

      ZHANG Y, DENG X Y, LI X R, LIU X, ZHANG P X, CHEN L H, YAN Z H, WANG J, DENG S G. A stable metal-organic framework with oxygen site for efficiently trapping acetylene from acetylene-containing mixtures[J]. Sep. Purif. Technol., 2023, 316: 123751 doi: 10.1016/j.seppur.2023.123751

    35. [35]

      XIA Y P, WANG C X, YU M H, BU X H. A unique 3D microporous MOF constructed by cross-linking 1D coordination polymer chains for effectively selective separation of CO2/CH4 and C2H2/CH4[J]. Chin. Chem. Lett., 2021, 32(3): 1153-1156 doi: 10.1016/j.cclet.2020.09.014

    36. [36]

      CHEN K J, SCOTT H S, MADDEN D G, PHAM T, KUMAR A, BAJPAI A, LUSI M, FORREST K A, SPACE B, PERRY J J. Benchmark C2H2/CO2 and CO2/C2H2 separation by two closely related hybrid ultramicroporous materials[J]. Chem, 2016, 1(5): 753-765 doi: 10.1016/j.chempr.2016.10.009

    37. [37]

      ZHENG Y L, YONG J Y, ZHU Z W, CHEN J Z, SONG Z Y, GAO J K. Spin crossover in metal-organic framework for improved separation of C2H2/CH4 at room temperature[J]. J. Solid State Chem., 2021, 304: 122554 doi: 10.1016/j.jssc.2021.122554

    38. [38]

      DUAN X, ZHANG Q, CAI J F, YANG Y, CUI Y J, HE Y B, WU C D, KRISHNA R, CHEN B L, QIAN G D. A new metal-organic framework with potential for adsorptive separation of methane from carbon dioxide, acetylene, ethylene, and ethane established by simulated breakthrough experiments[J]. J. Mater. Chem. A, 2014, 2(8): 2628-2633 doi: 10.1039/c3ta14454b

    39. [39]

      XIE Y, SHI Y S, CEDEÑO MORALES E M, EL KARCH A, WANG B, ARMAN H, TAN K, CHEN B L. Optimal binding affinity for sieving separation of propylene from propane in an oxyfluoride anion-based metal-organic framework[J]. J. Am. Chem. Soc., 2023, 145(4): 2386-2394 doi: 10.1021/jacs.2c11365

  • Figure 1  Schematic illustration of post-synthetic modification of MOF-808-R

    Figure 2  XRD patterns of MOF-808 and MOF-808-R

    Figure 3  SEM images of (a) MOF-808, (b) MOF-808-F3, (c) MOF-808-F7, and (d) MOF-808-F9

    Figure 4  N2 adsorption-desorption isotherms of MOF-808 and MOF-808-R at 77 K

    Figure 5  Adsorption isotherms of C2H2 and CO2 at (a) 273 K and (e) 298 K for MOF-808 and MOF-808-R; Adsorption isotherms of C2H2 and CO2 for (b) MOF-808-F3, (c) MOF-808-F7, and (d) MOF-808-F9 at 273 K; Adsorption isotherms of C2H2 and CO2 for (f) MOF-808-F3, (g) MOF-808-F7, and (h) MOF-808-F9 at 298 K

    Figure 6  Isosteric heats of adsorption of (a) MOF-808, (b) MOF-808-F3, (c) MOF-808-F7, and (d) MOF-808-F9 for C2H2 and CO2

    Figure 7  Selectivity of different C2H2/CO2 mixing ratios at 298 K of (a) MOF-808, (b) MOF-808-F3, (c) MOF-808-F7, and (d) MOF-808-F9

    Figure 8  Comparison of separation selectivity of C2H2 and CO2 from common materials (C2H2/CO2: 90∶10)[30-38]

    Table 1.  Calculated gas adsorption performances for MOF-808 and MOF-808-R

    MOF SBET /
    (m2·g-1)
    Pore volume /
    (cm3·g-1)
    C2H2 uptake
    amount / (cm3·g-1)
    CO2 uptake
    amount / (cm3·g-1)
    Qst for C2H2 /
    (kJ·mol-1)
    Qst for CO2 /
    (kJ·mol-1)
    MOF-808 2 091 0.78 40 29 22.7 23.2
    MOF-808-F3 1 379 0.48 28 16 29.8 25.0
    MOF-808-F7 682 0.36 18 10 30.4 27.3
    MOF-808-F9 450 0.23 10 6.2 24.8 24.1
    下载: 导出CSV
  • 加载中
计量
  • PDF下载量:  0
  • 文章访问数:  117
  • HTML全文浏览量:  9
文章相关
  • 发布日期:  2025-10-10
  • 收稿日期:  2025-04-01
  • 修回日期:  2025-07-22
通讯作者: 陈斌, bchen63@163.com
  • 1. 

    沈阳化工大学材料科学与工程学院 沈阳 110142

  1. 本站搜索
  2. 百度学术搜索
  3. 万方数据库搜索
  4. CNKI搜索

/

返回文章