Citation: Zhi FANG, Liang SUN, Mingze ZHENG, Wenhao SHENG, Hongliang HUANG, Chongli ZHONG. An aluminum-based metal-organic framework with slit pores for the efficient separation and recovery of electronic specialty gas C3F8[J]. Chinese Journal of Inorganic Chemistry, 2025, 41(10): 2054-2062. doi: 10.11862/CJIC.20250096
一种铝基平板孔金属有机骨架用于电子特种气体C3F8的高效分离与回收
English
An aluminum-based metal-organic framework with slit pores for the efficient separation and recovery of electronic specialty gas C3F8
-
0. 引言
全氟碳化合物(perfluorocarbons,PFCs)是一类具有独特化学和物理性质的含氟有机化合物,其分子中的所有氢原子被氟原子取代。由于氟原子的高电负性和强键能,PFCs表现出优异的化学稳定性、热稳定性和低化学反应性,使得PFCs在多个领域具有广泛的应用前景,包括电子工业、半导体制造、医学成像、制冷剂、航空航天以及材料科学等[1-3]。八氟丙烷(C3F8)作为PFCs的重要成员之一,具有极高的化学稳定性、热稳定性和低毒性,广泛应用于半导体工业中的等离子体蚀刻和腔室清洗工艺[4]。然而,在集成电路制造过程中,使用过后的C3F8通常会用N2进行吹扫形成C3F8/N2混合气,并排放到大气中[5-6]。由于C3F8的全球变暖潜能值是CO2的8 830倍,C3F8废气的直接排放不仅是对资源的极大浪费,而且破坏臭氧层,还会加剧温室效应[7-9]。目前,C3F8的传统回收工艺仍然依赖于低温精馏方法,但其面临分离效率低和能耗高的问题,不符合可持续发展目标[10-11]。因此,人们迫切需要开发一种高效、节能的替代技术,从而实现C3F8/N2的高效分离和C3F8的回收。采用先进的吸附分离技术,有望实现低能耗和低成本的C3F8/N2分离和C3F8的回收,其核心是开发高性能的吸附剂材料[12-15]。值得注意的是,目前关于C3F8/N2吸附分离的报道较少,主要包括多孔碳材料和沸石[16-17]。然而,多孔碳材料的非均匀孔隙结构和沸石的低比表面积限制了其C3F8/N2吸附分离效率。
金属有机骨架(metal-organic framework,MOF)材料作为一种新型多孔材料,具有大表面积、高孔隙率和明确的孔结构,特别是其结构和功能可根据实际需求进行精细调控[18-22]。近年来,MOF材料在气体储存[23-25]、气体分离[26-28]、多相催化[29-31]、化学传感[32-34]、药物控释[35-36]等方面展现出优异的应用前景。特别是MOF最近也被开始用于电子特种气体的吸附分离研究,包含C3F6/C3F8分离[5-6]、CF4/NF3分离[37-38],以及NF3/N2分离[39-40]。尽管如此,到目前为止,用于C3F8/N2分离的MOF鲜有报道[41-42],并且其C3F8吸附量和C3F8/N2分离选择性有待提高。
MOF材料的气体吸附量和选择性总是存在此消彼长的关系。为了同时实现高的C3F8吸附量和C3F8/N2分离选择性,理想的MOF材料应该具有高的孔隙率以保证较大的吸附容量,同时应该具有较小的孔尺寸和丰富的作用位点,从而保证足够的气体亲和力和分离选择性[43]。基于以上考虑,本工作选择Al-TCPP MOF作为吸附剂,以实现高效的C3F8/N2分离。Al-TCPP拥有独特的狭长平板孔道结构,狭缝宽度为0.6 nm[44]。由于狭缝孔的长度较大(1.1 nm),Al-TCPP整体孔隙率较高,从而保证其具有较高的C3F8吸附容量。特别值得注意的是,Al-TCPP孔道内密集分布的C—H位点与μ-OH基团可以与C3F8的F原子形成多重氢键作用位点,从而可以增强对C3F8的选择性吸附。
本研究按照文献方法[45],采用溶剂热合成策略,以N,N-二甲基甲酰胺(DMF)为溶剂,丙酸(PA)为调节剂,成功制备出具有高比表面积的Al-TCPP材料,其Brunauer-Emmett-Teller(BET)比表面积高达2 013 m2·g-1。吸附等温线结果显示,298 K下Al-TCPP对C3F8的吸附曲线较为陡峭,在0.18和100 kPa下的吸附量分别为2.8和96.1 cm3·g-1,远超过目前报道的用于C3F8/N2体系分离的Co0.2Cr-MIL-101(0.18 kPa下,1.7 cm3·g-1)[41]和全氟有机笼(100 kPa下,36.7 cm3·g-1)[42]。与之相比,Al-TCPP的N2吸附曲线趋近于水平,100 kPa下的吸附量仅为6.1 cm3·g-1。在低压区,C3F8的吸附热为50.6 kJ·mol-1,远高于N2的吸附热(16.5 kJ·mol-1)。同时,Al-TCPP在298 K、100 kPa下的C3F8/N2选择性高达244.8,远超目前已报道的Co0.2Cr-MIL-101(146.7)和全氟有机笼(152)。密度泛函理论(DFT)计算结果显示,Al-TCPP对C3F8(ΔE=-49.4 kJ·mol-1)的结合能远高于N2(ΔE=-20.4 kJ·mol-1),进一步表明Al-TCPP对C3F8具有强的相互作用力。穿透实验结果表明,Al-TCPP对C3F8/N2混合物展现出优异的动态分离性能。此外,Al-TCPP表现出优异的水稳定性和酸碱稳定性,以及良好的循环再生能力,因此Al-TCPP在C3F8/N2分离纯化方面具有重要的应用前景。
1. 实验部分
1.1 试剂
九水合硝酸铝(Al(NO3)3·9H2O,99.5%)购自安徽泽升科技股份有限公司。DMF(99.5%)、PA(99.5%)购自国药集团化学试剂有限公司。丙酮(99.5%)购自天津市风船化学试剂科技有限公司。5,10,15,20-四酮(4-羧苯)卟啉(H2TCPP)采用文献方法合成[46]。
1.2 吸附剂制备
Al-TCPP采用文献报道的方法制备[45]:取一个500 mL圆底烧瓶,预先加入200 mL DMF,随后将1 g H2TCPP加入其中,超声20 min使H2TCPP完全溶解;之后,继续加入1 g Al(NO3)3·9H2O和100 mL PA,超声10 min使溶液混合均匀。在150 ℃下回流加热72 h。冷却至室温后,通过离心(10 000 r·min-1,5 min)收集得到紫色晶体。将紫色晶体分别用DMF和丙酮浸泡3 d,每天更换3次溶液。最后,将获得的固体在150 ℃的真空烘箱中活化12 h,得到活化后的Al-TCPP样品。
1.3 仪器与表征
Al-TCPP的粉末X射线衍射(PXRD)图采用BRUKER AXS D2射线衍射仪测定,该设备配有Cu靶(Kα,λ=0.154 178 nm),工作电压为30 kV,工作电流为15 mA,扫描范围(2θ)为2°~50°,步长为0.03°。Al-TCPP的傅里叶变换红外光谱(FTIR)是采用Bruker Tensor Ⅱ FTIR光谱仪进行测量。Al-TCPP的晶体形貌采用蔡司Gemini 500扫描电子显微镜(SEM)进行观察。Al-TCPP在77 K下的N2吸附-脱附等温线采用贝士德公司生产的BSD-PS1比表面积及孔径分析仪进行测定,测试前需要将材料进行抽真空活化处理。
1.4 吸附性能测试
在273、298 K下的C3F8和N2的单组分吸附等温线采用BELSORP-MAX物理蒸汽吸附仪测量。在每次气体吸附测试前,需将约0.2 g的Al-TCPP样品在真空环境下120 ℃活化10 h。测试时采用恒温水浴保持温度(273和298 K)恒定。
1.5 DFT计算方法
采用DFT方法研究了C3F8和N2分子在Al-TCPP中的吸附行为,所用软件为CP2K[47],所用结构模型为周期性的Al-TCPP结构。所有计算均采用了混合高斯和平面波的基组。原子核内层电子是用规范守恒的Goedecker-Teter-Hutter赝势描述[48],而外层价电子波函数扩展为具有极化函数的双ζ的辅助平面波基组,截断能为360 Ry。采用Perdew-Burke-Enzerhof(PBE)的广义梯度近似交换关联泛函,每个构型均采用Broyden-Fletcher-Goldfarb-Shanno(BGFS)算法进行优化,收敛标准为1.0×10-8 au。为了考虑主客体之间的色散相互作用,计算能量项采用了Grimme′s DFT-D3模型对van der Waals作用进行校正[49]。
1.6 穿透测试
本工作采用多组分吸附穿透曲线分析仪(BSD MAB)进行了C3F8/N2混合物的分离性能测试。在装样前,需将Al-TCPP样品在真空环境下120 ℃活化10 h,然后装入固定床管中作为吸附柱(ϕ 6 mm×180 mm)。每次测量前,吸附柱需在10 mL·min-1的He流下120 ℃吹扫30 min。最后,将C3F8/N2二元混合气体(体积比5∶5)引入管道中,使其通过MOF吸附柱。采用质谱在线分析了穿出后气体的浓度。
2. 结果与讨论
2.1 Al-TCPP结构分析
本研究以Al(NO3)3·9H2O为金属盐、以H2TCPP配体为链接单元、以PA作为调节剂,通过溶剂热法合成了Al-TCPP[45]。如图 1a所示,Al-TCPP的晶体结构是由反式角桥接的AlO6六面体构型的一维无机链和H2TCPP连接组成的三维框架[50]。其中,相互平行的H2TCPP配体的卟啉面构成狭长的平板孔道。如图 1b所示,其狭缝宽度为0.6 nm。
图 1
图 1. (a) Al-TCPP的结构示意图; (b) Al-TCPP的康纳利(Connolly)表面结构图Figure 1. (a) Structural diagram of Al-TCPP; (b) Connolly surface structure of Al-TCPP2.2 Al-TCPP的表征
PXRD图分析结果表明,所合成的Al-TCPP样品的PXRD实验图与模拟图相吻合(图 2a),说明其具有高的结晶度和纯度。分析77 K下的N2吸附-脱附实验可以看出,Al-TCPP表现出可逆的典型Ⅰ型N2吸附-脱附等温线,并且吸附支和脱附支基本闭合,无迟滞现象(图 2b),说明其具有永久的微孔结构。Al-TCPP的BET比表面积和总孔隙体积分别为2 013 m2·g-1和0.93 cm3·g-1,与文献报道的Al-TCPP具有相近的BET比表面积(2 190 m2·g-1)[45]。通过孔径分布可以看到,Al-TCPP在0.62和0.69 nm处有2种孔径(图 2b),与文献报道的值相当[44]。通过分析Al-TCPP的FTIR谱图可以看出,在1 603和1 440 cm-1处分别出现C=O和卟啉结构的特征峰(图 2c),与文献报道一致[45]。SEM图显示,Al-TCPP的晶体形状为规则的梭型(图 2d)。以上结果证实了Al-TCPP样品的成功合成。
图 2
2.3 气体吸附性能
图 3a为Al-TCPP在298 K下的C3F8和N2单组分吸附等温线。可以看到,Al-TCPP对C3F8的吸附曲线较为陡峭,在100 kPa下C3F8的吸附量高达96.1 cm3·g-1,而其对N2的吸附曲线趋近于水平,吸附量仅为6.1 cm3·g-1。以上结果说明Al-TCPP孔道对C3F8具有强的相互作用力,而对N2的亲和力较弱,因此能够实现C3F8/N2的分离。另外,在273 K和100 kPa下,C3F8和N2的吸附量分别为112.2和10.2 cm3·g-1(图 3b)。显然,在273 K下C3F8和N2的吸附量高于298 K下对应的吸附量,说明Al-TCPP吸附剂对C3F8和N2的吸附均为物理吸附过程[51]。
图 3
图 3. Al-TCPP在(a) 298 K和(b) 273 K下对C3F8、N2的单组分吸附等温线; (c) Al-TCPP吸附C3F8、N2的Qst; Al-TCPP在(d) 298 K和(e) 273 K下的C3F8/N2选择性; (f) Al-TCPP与其他多孔吸附剂对C3F8的吸附量(298 K、100 kPa)比较Figure 3. Single-component adsorption isotherms of C3F8 and N2 at (a) 298 K and (b) 273 K; (c) Qst of Al-TCPP adsorbing C3F8 and N2; C3F8/N2 selectivity of Al-TCPP at (d) 298 K and (e) 273 K; (f) Comparison of adsorption capacity of Al-TCPP and other porous adsorbents for C3F8 (298 K, 100 kPa)为了定量说明Al-TCPP对C3F8和N2的作用力差异,本工作以273和298 K下的吸附等温线为基础,采用virial法估算了C3F8和N2的等量吸附热(Qst)。如图 3c所示,C3F8在低压区的Qst为50.6 kJ·mol-1,远高于N2的16.5 kJ·mol-1,说明Al-TCPP对C3F8的亲和力远大于N2。为了定量说明Al-TCPP对C3F8/N2的分离能力,本工作采用理想吸附溶液理论(IAST)计算了C3F8/N2(体积比5:5)在273和298 K下的选择性。如图 3d和3e所示,令人惊讶的是,在100 kPa、298 K下,Al-TCPP的选择性高达244.8,远超过迄今为止报道的Co0.2Cr-MIL-101 (146.7)[41]和全氟有机笼(152)[42]吸附剂,而在273 K下的选择性也高达521.4。值得注意的是,如图 3f所示,Al-TCPP在298 K和100 kPa下表现出优异的C3F8吸附性能,优于大多数报道的多孔吸附剂,如GC-K1(85.1 cm3·g-1)[52]、BASF-300(74.5 cm3·g-1)[4]、BLP-410(67.9 cm3·g-1)[4]、MIL-53(Al)(58.3 cm3·g-1)[4]、UiO-66(46.0 cm3·g-1)[4]、NaY Zeolite(43.6 cm3·g-1)[4]、F-cage(36.7 cm3·g-1)[42]、13X(33.1 cm3·g-1)[4]、ZSM-5(19.9 cm3·g-1)[4]、NOTT-300(Al)(4.9 cm3·g-1)[4],仅略低于Cu-BTC(101.2 cm3·g-1)[4]。
2.4 DFT计算分析
为了进一步探究Al-TCPP对C3F8和N2在分子水平上的吸附机理,本工作通过 DFT 方法对 Al-TCPP中 C3F8和 N2的吸附构型进行优化。如图 4a 和图 4b所示,由于C3F8具有较大的分子直径,使得F原子能够与平板孔相邻层吡咯环上的 H 原子(C—F…H—C:0.343 9~0.344 6 nm)、相邻层苯环上的H原子(C—F…H—C:0.283 9~0.328 4 nm),以及 μ-OH 基团(C—F…HO—μ:0.264 2 nm)形成多重氢键相互作用。因此,Al-TCPP对 C3F8具有较高的结合能(ΔEC3F8=-49.4 kJ·mol-1)。相比之下,N2与 MOF 作用力较弱,仅与μ-OH基团(N≡N…HO-μ:0.264 2 nm)发生氢键相互作用,与Al-TCPP的结合能仅为-20.4 kJ·mol-1,远低于 C3F8。以上结果进一步表明 Al-TCPP 对 C3F8具有强的相互作用力,与实验结果一致。
图 4
2.5 穿透性能及气体回收
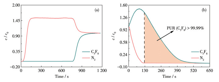
为了进一步证实Al-TCPP的C3F8/N2分离能力,本工作研究了Al-TCPP固定床分离柱在298 K下对C3F8/N2混合气体的穿透实验曲线。从图 5a中可以看出,N2在极短的时间内就从吸附柱中穿出,而C3F8在吸附柱中停留776 s后才穿出。C3F8的穿透吸附量为2.48 mmol,而N2的穿透吸附量仅为0.19 mmol。穿透实验中C3F8/N2的分离因子为13.05,这说明Al-TCPP对C3F8/N2混合气体具有良好的动态分离性能。为了回收获得高纯的C3F8,在达到穿透平衡后,我们采用He(10.0 mL·min-1)对Al-TCPP吸附柱进行了10 min的冲洗,以去除未吸附的C3F8。然后将吸附有C3F8的Al-TCPP吸附柱在100 ℃加热,同时通入He将C3F8解吸。如图 5b所示,127 s后可得到高纯度C3F8(纯度大于99.99%)。以上结果表明,在实际的动态分离条件下,Al-TCPP不仅可以有效地分离C3F8/N2混合气体,而且能够实现对电子特种气体C3F8的高纯度回收。
图 5
2.6 可循环性和稳定性
吸附剂的再生能力在实际应用中至关重要[53]。由图 6a可以看出,Al-TCPP在5次循环过程对C3F8的吸附容量基本保持不变,说明其具有良好的可再生能力。为了证明Al-TCPP在实际C3F8/N2混合物分离应用中的可回收性,我们连续进行了5次C3F8/N2混合物的穿透实验。每次实验结束后,将Al-TCPP粉末样品在100 ℃下真空解吸2 h。如图 6b所示,Al-TCPP吸附柱对C3F8的保留时间几乎相同,这表明Al-TCPP在实际的C3F8/N2分离条件下具有良好的可回收性。同时,通过对吸附循环和穿透循环后的样品进行PXRD测试可以看出,Al-TCPP样品仍保持良好的晶体结构(图 6c),进一步证明Al-TCPP具有优良的可再生性和可回收性。
图 6
图 6. (a) Al-TCPP对C3F8的五次吸附循环和(b) C3F8/N2混合气体的五次穿透实验循环; (c) Al-TCPP在吸附循环和穿透循环后的PXRD图; Al-TCPP(d) 在水中浸泡24 h后的PXRD图和(e) 在酸或碱溶液中浸泡24 h后的PXRD图; (f) Al-TCPP在水、pH=3和pH=9溶液中浸泡24 h后的N2吸附-脱附等温线(77 K)Figure 6. (a) Five cycles of C3F8 adsorption and (b) five cycles of C3F8/N2 mixed gas breakthrough experiments on Al-TCPP; (c) PXRD patterns of Al-TCPP after adsorption and breakthrough cycles; PXRD patterns of Al-TCPP (d) soaked in water for 24 h and (e) soaked in acid or base solution for 24 h; (f) N2 adsorption-desorption isotherms (77 K) of Al-TCPP soaked in water, pH=3, and pH=9 solution for 24 h在实际的工业应用中,吸附剂的化学稳定性也极为重要[54]。为此,我们将Al-TCPP样品在水中浸泡24 h,以验证其水稳定性。如图 6d所示,Al-TCPP在水中浸泡24 h后的PXRD图基本保持不变,表明其晶体结构保持良好,说明Al-TCPP具有较高的水稳定性。此外,我们还研究了Al-TCPP在不同pH值的水溶液中浸泡24 h后的化学稳定性。如图 6e所示,Al-TCPP仍然保持了良好的晶体结构。此外,化学稳定性测试后Al-TCPP仍保持良好的孔隙率(图 6f)。进一步证实Al-TCPP具有较高的化学稳定性。因此,考虑到优异的C3F8/N2分离能力、良好的再生能力和优异的化学稳定性,Al-TCPP在电子特种气C3F8回收方面具有良好的应用前景。
3. 结论
本工作合成了一种具有高比表面积、高孔隙率和狭缝超微孔的Al-TCPP作为吸附剂,并系统研究了其对电子特种气体C3F8的回收能力和C3F8/N2混合物的分离能力。由于拥有独特的狭长平板孔,以及孔道中丰富的氢键供体,Al-TCPP对C3F8具有远高于N2的吸附作用力。此外,在100 kPa下Al-TCPP的C3F8/N2选择性高达244.8,超过了目前文献中所报道的任何吸附剂材料。穿透实验表明,Al-TCPP具有良好的C3F8/N2分离纯化性能,并且可通过脱附工艺获得高纯度的C3F8(99.99%)。同时,Al-TCPP具有良好的可再生性能以及优异的化学稳定性,说明Al-TCPP在C3F8/N2高效分离纯化和C3F8的回收方面具有广阔的应用前景。
-
-
[1]
LEMAL D M. Perspective on fluorocarbon chemistry[J]. J. Org. Chem., 2004, 69(1): 1-11
-
[2]
TSAI W T, CHEN H P, HSIEN W Y. A review of uses, environmental hazards and recovery/recycle technologies of perfluorocarbons (PFCs) emissions from the semiconductor manufacturing processes[J]. J. Loss Prev. Process Ind., 2002, 15(2): 65-75
-
[3]
KIM J, FRASER P J, LI S, MÜHLE J, GANESAN A, KRUMMEL P B, STEELE L P, PARK S, KIM S K, PARK M K, ARNOLD T, HARTH C M, SALAMEH P K, PRINN R G, WEISS R F, KIM K R. Quantifying aluminum and semiconductor industry perfluorocarbon emissions from atmospheric measurements[J]. Geophys. Res. Lett., 2014, 41(13): 4787-4794
-
[4]
XIA W, ZHOU Z J, SHENG L Z, CHEN L, ZHENG F, ZHANG Z G, YANG Q W, REN Q L, BAO Z B. Deep purification of perfluorinated electronic specialty gas with a scalable metal-organic framework featuring tailored positive potential traps[J]. Sci. Bull., 2025, 70(2): 232-240
-
[5]
ZHENG M Z, XUE W J, YAN T A, JIANG Z F, FANG Z, HUANG H L, ZHONG C L. Fluorinated MOF-based hexafluoropropylene nanotrap for highly efficient purification of octafluoropropane electronic specialty gas[J]. Angew. Chem. ‒Int. Edit., 2024, 63(15): e202401770
-
[6]
XIA W, ZHOU Z J, SHENG L Z, CHEN L, SHEN F X, ZHENG F, ZHANG Z G, YANG Q W, REN Q L, BAO Z B. Bioinspired recognition in metal-organic frameworks enabling precise sieving separation of fluorinated propylene and propane mixtures[J]. Nat. Commun., 2024, 15(1): 8716
-
[7]
WANG S M, DUAN P G, YANG Q Y. Advances in porous adsorbents for perfluorocarbon greenhouse gas sorption and separation[J]. Coord. Chem. Rev., 2025, 525: 216339
-
[8]
AN M, PRINN R G, WESTERN L M, YAO B, ZHAO X, KIM J, MÜHLE J, CHI W, HARTH C M, HU J, GANESAN A L, RIGBY M. Substantial increase in perfluorocarbons CF4 (PFC-14) and C2F6 (PFC-116) emissions in China[J]. Proc. Natl. Acad. Sci. U. S. A., 2024, 121(30): e2400168121
-
[9]
WORTON D R, STURGES W T, GOHAR L K, SHINE K P, MARTINERIE P, ORAM D E, HUMPHREY S P, BEGLEY P, GUNN L, BARNOLA J M, SCHWANDER J, MULVANEY R. Atmospheric trends and radiative forcings of CF4 and C2F6 inferred from firn air[J]. Environ. Sci. Technol., 2007, 41(7): 2184-2189
-
[10]
CAO X P, LIU R J, LU Y, JIA S K, YUAN X G. Application of the thermally coupled extractive distillation for recycling octafluoropropane based on thermoeconomic analysis[J]. Sep. Purif. Technol., 2021, 279: 119813
-
[11]
WU Y, WANG S S, ZHANG W X, CHEN S H, ZHANG Z H, YANG B L, LI S P, MA H P. Enhancing perfluorinated electron specialty gases separation selectivity in ultra-microporous metal organic framework[J]. Sep. Purif. Technol., 2022, 289: 120739 doi: 10.1016/j.seppur.2022.120739
-
[12]
KUNDU T, WAHIDUZZAMAN M, SHAH B B, MAURIN G, ZHAO D. Solvent-induced control over breathing behavior in flexible metal-organic frameworks for natural-gas delivery[J]. Angew. Chem. ‒Int. Edit., 2019, 58(24): 8073-8077 doi: 10.1002/anie.201902738
-
[13]
WANG S B, WANG X C. Imidazolium ionic liquids, imidazolylidene heterocyclic carbenes, and zeolitic imidazolate frameworks for CO2 capture and photochemical reduction[J]. Angew. Chem. ‒Int. Edit., 2016, 55(7): 2308-2320 doi: 10.1002/anie.201507145
-
[14]
PENG Y, KRUNGLEVICIUTE V, ERYAZICI I, HUPP J T, FARHA O K, YILDIRIM T. Methane storage in metal-organic frameworks: Current records, surprise findings, and challenges[J]. J. Am. Chem. Soc., 2013, 135(32): 11887-11894 doi: 10.1021/ja4045289
-
[15]
WANG J, FU W X, WANG L M, LI Y L, LI Y P, SUI Z Y, XU X F. Modulation of pore structure in a microporous carbon for enhanced adsorption of perfluorinated electron specialty gases with efficient separation[J]. Chem. Eng. J., 2023, 477: 147128 doi: 10.1016/j.cej.2023.147128
-
[16]
SHIFLETT M B, CORBIN D R, ELLIOTT B A, SUBRAMONEY S, KANEKO K, YOKOZEKI A. Sorption of trifluoromethane in activated carbon[J]. Adsorption, 2014, 20(4): 565-575 doi: 10.1007/s10450-014-9601-4
-
[17]
DUNNE J A, RAO M, SIRCAR S, GORTE R J, MYERS A L. Calorimetric heats of adsorption and adsorption isotherms. 2. O2, N2, Ar, CO2, CH4, C2H6, and SF6 on NaX, H-ZSM-5, and Na-ZSM-5 zeolites[J]. Langmuir, 1996, 12(24): 5896-5904 doi: 10.1021/la960496r
-
[18]
ZHAO R C, XIE L H, LIU X M, LIU Z, LI X Y, LI J R. Removal of trace benzene from cyclohexane using a MOF molecular sieve[J]. J. Am. Chem. Soc., 2025, 147(3): 2467-2475 doi: 10.1021/jacs.4c13208
-
[19]
FURUKAWA H, CORDOVA K E, O′KEEFFE M, YAGHI O M. The chemistry and applications of metal-organic frameworks[J]. Science, 2013, 341(6149): 1230444 doi: 10.1126/science.1230444
-
[20]
JIAO L, SEOW J Y R, SKINNER W S, WANG Z U, JIANG H L. Metal-organic frameworks: Structures and functional applications[J]. Mater. Today, 2019, 27: 43-68 doi: 10.1016/j.mattod.2018.10.038
-
[21]
江梦珍, 王倩, 白俊峰. 面向工业烟道气CO2捕获的基于廉价配体金属有机骨架材料的研究进展[J]. 无机化学学报, 2025, 41(1): 1-13.JIANG M Z, WANG Q, BAI J F. Research progress on low-cost ligand-based metal-organic frameworks for carbon dioxide capture from industrial flue gas[J]. Chinese J. Inorg. Chem., 2025, 41(1): 1-13
-
[22]
ZHAO X, WANG Y X, LI D S, BU X H, FENG P Y. Metal-organic frameworks for separation[J]. Adv. Mater., 2018, 30(37): 1705189 doi: 10.1002/adma.201705189
-
[23]
季卿妍, 王倩, 李洪昕, 薛东旭, 白俊峰. 一个具有eea拓扑和高甲烷存储量的金属有机骨架材料[J]. 无机化学学报, 2017, 33(11): 2031-2037.JI Q Y, WANG Q, LI H X, XUE D X, BAL J F. An eea topological metal-organic framework with high methane uptake[J]. Chinese J. Inorg. Chem., 2017, 33(11): 2031-2037
-
[24]
YUSUF M, KUMAR R, ALI K M, AHMED M J, OTERO M, MUTHU P S, SON M, HWANG J H, HYOUNG L W, JEON B H. Metal-organic framework-based composites for biogas and natural gas uptake: An overview of adsorption and storage mechanisms of gaseous fuels[J]. Chem. Eng. J., 2023, 478: 147302 doi: 10.1016/j.cej.2023.147302
-
[25]
LI H, LI L B, LIN R B, ZHOU W, ZHANG Z J, XIANG S C, CHEN B L. Porous metal-organic frameworks for gas storage and separation: Status and challenges[J]. EnergyChem, 2019, 1(1): 100006 doi: 10.1016/j.enchem.2019.100006
-
[26]
LI H, WANG K C, SUN Y J, LOLLAR C T, LI J L, ZHOU H C. Recent advances in gas storage and separation using metal-organic frameworks[J]. Mater. Today, 2018, 21(2): 108-121 doi: 10.1016/j.mattod.2017.07.006
-
[27]
LIN R B, XIANG S C, XING H B, ZHOU W, CHEN B L. Exploration of porous metal-organic frameworks for gas separation and purification[J]. Coord. Chem. Rev., 2019, 378: 87-103 doi: 10.1016/j.ccr.2017.09.027
-
[28]
ZHANG X, LI Y, LI J R. Metal-organic frameworks for multicomponent gas separation[J]. Trends Chem., 2024, 6(1): 22-36 doi: 10.1016/j.trechm.2023.11.001
-
[29]
DHAKSHINAMOORTHY A, ASIRI A M, GARCIA H. 2D metal- organic frameworks as multifunctional materials in heterogeneous catalysis and electro/photocatalysis[J]. Adv. Mater., 2019, 31(41): 1900617 doi: 10.1002/adma.201900617
-
[30]
BASUMATARY S, PATIR K, DAS B, SAIKIA P, BRAHMA S, BASUMATARY B, NATH B, BASUMATARY B, BASUMATARY S. Production of renewable biodiesel using metal organic frameworks based materials as efficient heterogeneous catalysts[J]. J. Clean. Prod., 2022, 358: 131955 doi: 10.1016/j.jclepro.2022.131955
-
[31]
戴田霖, 张艳梅, 储刚, 张静. 核-壳结构磁性金属有机骨架材料Fe3O4@UiO-66-NH2的合成、表征及催化性能[J]. 无机化学学报, 2016, 32(4): 609-616.DAI T L, ZHANG Y M, CHU G, ZHANG J. Core-shell magnetic microsphere Fe3O4@UiO-66-NH2: Characterization and application as heterogeneous catalyst[J]. Chinese J. Inorg. Chem., 2016, 32(4): 609-616
-
[32]
KEMPAHANUMAKKAGARI S, VELLINGIRI K, DEEP A, KWON E E, BOLAN N, KIM K H. Metal-organic framework composites as electrocatalysts for electrochemical sensing applications[J]. Coord. Chem. Rev., 2018, 357: 105-129 doi: 10.1016/j.ccr.2017.11.028
-
[33]
HAMMAD S F, ABDALLAH I A, BEDAIR A, ABDELHAMEED R M, LOCATELLI M, MANSOUR F R. Metal organic framework‑ derived carbon nanomaterials and MOF hybrids for chemical sensing[J]. Trac-Trends Anal. Chem., 2024, 170: 117425 doi: 10.1016/j.trac.2023.117425
-
[34]
CHOWDHURY S, NUGRAHA A S, O′MAY R, WANG X H, CHENG P, XIN R J, OSMAN S M, HOSSAIN M S, YAMAUCHI Y, MASUD M K, KANETI Y V. Bimetallic metal-organic framework- derived porous one-dimensional carbon materials for electrochemical sensing of dopamine[J]. Chem. Eng. J., 2024, 492: 152124 doi: 10.1016/j.cej.2024.152124
-
[35]
DUAN W J, QIAO S, ZHUO M J, SUN J X, GUO M L, XU F, LIU J J, WANG T, GUO X X, ZHANG Y, GAO J, HUANG Y Y, ZHANG Z J, CHENG P, MA S Q, CHEN Y. Multifunctional platforms: Metal-organic frameworks for cutaneous and cosmetic treatment[J]. Chem, 2021, 7(2): 450-462 doi: 10.1016/j.chempr.2020.11.018
-
[36]
LIU J C, XU D J, XU G C, LI X N, DONG J T, LUAN X K, DU X Z. Smart controlled-release avermectin nanopesticides based on metal-organic frameworks with large pores for enhanced insecticidal efficacy[J]. Chem. Eng. J., 2023, 475: 146312 doi: 10.1016/j.cej.2023.146312
-
[37]
ZHANG M H, LIU L, LI Q H, GONG H, CHEN Y F. Theoretical design of MOFs and PSA process for efficient separation of CF4/NF3[J]. Ind. Eng. Chem. Res., 2023, 62(18): 7103-7113 doi: 10.1021/acs.iecr.2c04592
-
[38]
BRANKEN D J, KRIEG H M, LE R J P, LACHMANN G. Separation of NF3 and CF4 using amorphous glassy perfluoropolymer Teflon AF and Hyflon AD60 membranes[J]. J. Membr. Sci., 2014, 462: 75- 87 doi: 10.1016/j.memsci.2014.03.033
-
[39]
WANG S M, LAN H L, GUAN G W, YANG Q Y. Amino‑ functionalized microporous MOFs for capturing greenhouse gases CF4 and NF3 with record selectivity[J]. ACS Appl. Mater. Interfaces, 2022, 14(35): 40072-40081 doi: 10.1021/acsami.2c12164
-
[40]
WANG S M, ZHANG Q, LI Y T, LIU S C, YANG Q Y. Destructive adsorption of nitrogen trifluoride (NF3) using M-MOF-74 with open metal sites[J]. Chem & Bio Engineering, 2024, 1(6): 535-540
-
[41]
ZHAO C Y, JIA C Y, WEN Z, WEN H Y, JIAN Y G, LI L, HONG X. The preparation and adsorption performance of Co-doped MIL-101(Cr) for low-concentration C3F8[J]. Chem. Eng. Sci., 2023, 282: 119302 doi: 10.1016/j.ces.2023.119302
-
[42]
TIAN K, ELBERT S M, HU X Y, KIRSCHBAUM T, ZHANG W S, ROMINGER F, SCHRÖDER R R, MASTALERZ M. Highly selective adsorption of perfluorinated greenhouse gases by porous organic cages[J]. Adv. Mater., 2022, 34(31): 2202290 doi: 10.1002/adma.202202290
-
[43]
WANG L, XUE W J, ZHU H J, GUO X Y, HUANG H L, ZHONG C L. Stepwise engineering the pore aperture of a cage-like MOF for the efficient separation of isomeric C4 paraffins under humid conditions[J]. Angew. Chem. ‒Int. Edit., 2023, 62(11): e202218596 doi: 10.1002/anie.202218596
-
[44]
LI X Y, JIANG G P, JIAN M P, ZHAO C, HOU J, THORNTON A W, ZHANG X Y, LIU J Z, FREEMAN B D, WANG H T, JIANG L, ZHANG H C. Construction of angstrom-scale ion channels with versatile pore configurations and sizes by metal-organic frameworks[J]. Nat. Commun., 2023, 14(1): 286 doi: 10.1038/s41467-023-35970-x
-
[45]
LI G, YAN T A, ZHAO H F, LIU D H. Effective removal of nitroimidazole antibiotics in aqueous solution by an aluminum-based metal-organic framework: Performance and mechanistic studies[J]. J. Solid State Chem., 2023, 317: 123659 doi: 10.1016/j.jssc.2022.123659
-
[46]
FENG D W, GU Z Y, LI J R, JIANG H L, WEI Z W, ZHOU H C. Zirconium-metalloporphyrin PCN-222: Mesoporous metal-organic frameworks with ultrahigh stability as biomimetic catalysts[J]. Angew. Chem. ‒Int. Edit., 2012, 51(41): 10307-10310 doi: 10.1002/anie.201204475
-
[47]
VANDEVONDELE J, KRACK M, MOHAMED F, PARRINELLO M, CHASSAING T, HUTTER J. Quickstep: Fast and accurate density functional calculations using a mixed Gaussian and plane waves approach[J]. Comput. Phys. Commun., 2005, 167(2): 103-128 doi: 10.1016/j.cpc.2004.12.014
-
[48]
KRACK M, PARRINELLO M. All‑electron ab‑initio molecular dynamics[J]. Phys. Chem. Chem. Phys., 2000, 2(10): 2105-2112 doi: 10.1039/b001167n
-
[49]
GRIMME S, ANTONY J, EHRLICH S, KRIEG H. A consistent and accurate ab initio parametrization of density functional dispersion correction (DFT-D) for the 94 elements H-Pu[J]. J. Chem. Phys., 2010, 132(15): 154104 doi: 10.1063/1.3382344
-
[50]
FATEEVA ALEXANDRA, CHATER P A, IRELAND C P, TAHIR A A, KHIMYAK Y Z, WIPER P V, DARWENT J R, ROSSEINSKY M J. A water-stable porphyrin-based metal-organic framework active for visible-light photocatalysis[J]. Angew. Chem. ‒Int. Edit., 2012, 51(30): 7440-7444 doi: 10.1002/anie.201202471
-
[51]
ZHANG W X, LI Y H, WU Y, HUANG W B, WANG S S, FU Y, MA W J, LI X Y, MA H P. Polypyrene porous organic framework for efficiently capturing electron specialty gases[J]. ACS Appl. Mater. Interfaces, 2023, 15(24): 29468-29477 doi: 10.1021/acsami.3c05398
-
[52]
LI X X, YANG C T, DU S J, WU Y, HUANG B L, TAN A D, LIANG Z X, XIAO J. Dynamic adsorption separation of c-C4F8/C3F8 for effective purification of perfluoropropane electronic gas[J]. Chem. Eng. Sci., 2023, 273: 118656 doi: 10.1016/j.ces.2023.118656
-
[53]
BASKAR A V, BOLAN N, HOANG S A, SOORIYAKUMAR P, KUMAR M, SINGH L, JASEMIZAD T, PADHYE L P, SINGH G, VINU A, SARKAR B, KIRKHAM M B, RINKLEBE J, WANG S, WANG H, BALASUBRAMANIAN R, SIDDIQUE K H M. Recovery, regeneration and sustainable management of spent adsorbents from wastewater treatment streams: A review[J]. Sci. Total. Environ., 2022, 822: 153555 doi: 10.1016/j.scitotenv.2022.153555
-
[54]
JAHANDAR L M, KHIAVI S, SAYARI A. Stability of amine-functionalized CO2 adsorbents: A multifaceted puzzle[J]. Chem. Soc. Rev., 2019, 48(12): 3320-3405 doi: 10.1039/C8CS00877A
-
[1]
-
图 3 Al-TCPP在(a) 298 K和(b) 273 K下对C3F8、N2的单组分吸附等温线; (c) Al-TCPP吸附C3F8、N2的Qst; Al-TCPP在(d) 298 K和(e) 273 K下的C3F8/N2选择性; (f) Al-TCPP与其他多孔吸附剂对C3F8的吸附量(298 K、100 kPa)比较
Figure 3 Single-component adsorption isotherms of C3F8 and N2 at (a) 298 K and (b) 273 K; (c) Qst of Al-TCPP adsorbing C3F8 and N2; C3F8/N2 selectivity of Al-TCPP at (d) 298 K and (e) 273 K; (f) Comparison of adsorption capacity of Al-TCPP and other porous adsorbents for C3F8 (298 K, 100 kPa)
图 6 (a) Al-TCPP对C3F8的五次吸附循环和(b) C3F8/N2混合气体的五次穿透实验循环; (c) Al-TCPP在吸附循环和穿透循环后的PXRD图; Al-TCPP(d) 在水中浸泡24 h后的PXRD图和(e) 在酸或碱溶液中浸泡24 h后的PXRD图; (f) Al-TCPP在水、pH=3和pH=9溶液中浸泡24 h后的N2吸附-脱附等温线(77 K)
Figure 6 (a) Five cycles of C3F8 adsorption and (b) five cycles of C3F8/N2 mixed gas breakthrough experiments on Al-TCPP; (c) PXRD patterns of Al-TCPP after adsorption and breakthrough cycles; PXRD patterns of Al-TCPP (d) soaked in water for 24 h and (e) soaked in acid or base solution for 24 h; (f) N2 adsorption-desorption isotherms (77 K) of Al-TCPP soaked in water, pH=3, and pH=9 solution for 24 h
-
扫一扫看文章
计量
- PDF下载量: 4
- 文章访问数: 1464
- HTML全文浏览量: 200

下载:
下载: