Citation: Nian LIU, Biao ZHENG, Kun WANG, Chunbao ZHENG, Qingyan HAN, Enjie HE, Saidong XUE. Synthesis and spectroscopic performance of double perovskite Li0.5La0.5MgSrWO6∶Mn4+ phosphors for plant growth lighting[J]. Chinese Journal of Inorganic Chemistry, 2026, 42(1): 129-140. doi: 10.11862/CJIC.20250069
植物生长照明用双钙钛矿荧光粉Li0.5La0.5MgSrWO6∶Mn4+的合成及发光性能
English
Synthesis and spectroscopic performance of double perovskite Li0.5La0.5MgSrWO6∶Mn4+ phosphors for plant growth lighting
-
Key words:
- phosphors
- / Mn4+
- / phytochrome
- / perovskite
-
0. 引言
人口增长导致的资源匮乏、环境恶化等全球性问题可能进一步加剧粮食短缺,进而引发各类社会问题。为有效推动农业发展,减少海啸、山洪、暴雨等恶劣环境对植物生长造成的负面影响,植物工厂应运而生[1]。LED作为一种新型的固态半导体光源,以其高效率、低能耗、窄带宽、高稳定性等优点成为植物工厂的首选照明光源[2]。如何设计符合植物生长需求的LED,成为现代农业生产亟待解决的一个重要课题。
众所周知,植物光敏色素对植物的萌芽、开花、茎叶伸长、结果等均有重要影响,其作用贯穿植物生长的全过程。植物光敏色素主要有2种形式,即红光吸收型(Pr)和远红光吸收型(Pfr),该色素对于波长在600~750 nm的红光和远红光较为敏感。因此,设计该波段内具有有效辐射的LED可以促进植物生长[3]。Ⅶ族过渡金属离子Mn4+可在八面体强晶体场作用下劈裂出最低激发态能级2Eg,通过2Eg→4A2g辐射跃迁实现620~750 nm的红光或远红光发射,这与Pfr的吸收光谱相匹配。研究表明,Mn4+作为激活剂的双钙钛矿结构的荧光粉应用到植物工厂照明光源中的潜力巨大[4]。
Mn4+掺杂的氟化物和氧化物是最普遍的植物照明用荧光粉。氟化物荧光粉应用较为成熟,其中K2SiF∶Mn4+(KSFM)和K2TiF6∶Mn4+(KTFM)因其原料价格低廉、制备工艺简单、发光效果较好,已进入市场应用。但大多数氟化物荧光粉在制备过程中均需使用有毒的氢氟酸,且在潮湿环境下容易分解,使得其发光效率降低,发射波长峰值大多小于700 nm,与植物光敏色素吸收范围匹配较差[5]。因而,氟化物荧光粉并非最优选择。
目前具有钙钛矿结构的ABO3荧光粉已成为研究热点,其中A为半径较大的碱金属或稀土离子,B为半径较小的过渡金属离子。但由于B位的过渡金属离子容易发生能量转移,致使该结构材料的发光性能较差。而A2BB′O6型双钙钛矿型荧光粉(B′为过渡金属离子用于部分取代B的位点)因其稳定的八面体配位[BO6]或[B′O6]成为首选的荧光粉基质[6]。
我们采用简单方便的高温固相反应法,通过引入Li+-La3+阳离子对,合成了一种新颖的双钙钛矿结构的钨酸盐荧光粉Li0.5La0.5MgSrWO6∶xMn4+(LLSMW∶xMn4+,x=0.002、0.004、0.006、0.008、0.010、0.012、0.015、0.020、0.025、0.030),其中x为Mn4+占LLSMW的物质的量分数。并通过多种表征手段对该合成荧光粉的微观形貌、物相结构和荧光性能等进行分析,探究Mn4+掺杂浓度对样品荧光性能的影响。
1. 实验部分
1.1 样品制备
采用高温固相反应法合成LLSMW∶xMn4+荧光粉。将Li2CO3(上海沪试,99.99%)、La2O3(Aladdin,99.99%)、MgO(Aladdin,99.99%)、SrCO3(Aladdin,99.95%)、H28N6O41W12(Aladdin,99.50%)和MnCO3(Aladdin,99.95%)根据化学计量比准确称重后,混合并置于玛瑙研钵中充分研磨2 h,再转移至刚玉坩埚,置于马弗炉中在600 ℃下预烧4 h后,再升温至1 100 ℃高温烧结6 h。待样品自然冷却至室温后,取出并研磨成粉末。
1.2 样品表征
采用扫描电子显微镜(SEM,卡尔蔡司EVO-18)、高分辨透射电子显微镜(HRTEM,加速电压为200 kV,日本电子,JEM-2100F)分析LLSMW∶xMn4+的形貌。采用X射线衍射仪[XRD,Shimadzu XRD-6100,日本,Cu靶Kα辐射,工作电压为40 kV,工作电流为30 mA,λ=0.154 06 nm,测试扫描范围2θ=10°~80°,扫描速率为6 (°)·min-1]进行物相分析。使用Rietica软件对样品XRD数据进行精修,Vesta软件绘制晶体结构。使用英国爱丁堡FLS-1000稳态/瞬态荧光光谱仪测定荧光粉激发、发射光谱、荧光寿命、变温光谱和内量子效率。除变温光谱外,所有数据均在室温下采集。
2. 结果与讨论
2.1 物相分析
LLSMW∶0.012Mn4+的SEM图显示,高温煅烧后的粉体有团聚现象,粒径在1 μm以下,部分大颗粒团聚达5 μm左右(图 1a)。图 1b和1c分别为样品LLSMW∶0.012Mn4+的TEM和HRTEM图。利用DigitalMicrograph软件对HRTEM图像进行分析,得到其晶面间距d=0.778 4 nm(图 1d)。
图 1
图 1. LLSMW∶0.012Mn4+的(a) SEM图、(b) TEM图、(c) HRTEM图和(d) (001)晶面图Figure 1. (a) SEM image, (b) TEM image, (c) HRTEM image, and (d) (001) crystal plane diagram of LLSMW∶0.012Mn4+图 2a是样品LLSMW∶xMn4+的XRD图。由于无机晶体库中缺少LLMSW的对应数据,因此采用与该样品结构类似的标准卡片Sr2MgWO6(PDF No.15-0173)进行比对。由图可以看出,制备的样品除在27°附近出现SrWO4杂峰外,其余部分均与Sr2MgWO6标准卡片吻合,这表明制备的样品较纯,且Mn4+掺杂也并未改变晶体结构。但可能由于Mn4+占据W6+格位,Li+-La3+形成的阳离子对部分取代Sr2+的格位,导致样品中存在少量SrWO4,Li+的引入,平衡了La3+格位取代时的多余电荷,实现了有效的电荷补偿[7]。
图 2
采用Rietica软件对样品LLSMW∶0.012Mn4+ XRD结构进行精修,精修结果如图 2b所示。LLSMW样品结构空间群为I4/m,在x=0.012时晶胞参数a=b=0.569 nm,c=0.788 nm, α=β=γ=90°,V=0.244 nm3,精修后的残差因子Rwp=5.6%,全谱因子Rp=6.9%,结果可靠。为进一步探究晶胞结构参数随Mn4+浓度的变化情况,对所有样品均进行精修,并作出晶胞参数随Mn4+浓度的变化曲线(图 2c)。从图中可以看出,随着Mn4+掺杂浓度的增大,晶胞体积减小,但晶体结构并未改变,说明Mn4+成功地进入了基质材料中,并且不会改变晶体结构。
图 2d为LLSMW∶0.012Mn4+晶体的空间结构图,该结构属于四方晶系,空间群为I4/m,属于双钙钛矿结构,其中Mg2+和W6+分别与6个氧原子配位形成[MgO6]和[WO6]八面体。由于Mn4+的离子半径[r=0.053 nm,配位数(CN)=6]和W6+(r=0.062 nm,CN=6)及Mg2+(r=0.072 nm,CN=6)的接近,Mn4+取代了Li0.5La0.5MgSrWO6基质中W6+或Mg2+格位形成[MnO6]发光中心。La3+的离子半径(r=0.105 nm,CN=6)与Sr2+(r=0.118 nm,CN=6)接近,La3+取代了Sr2+格位,与引入的Li+结合,形成了阳离子对,平衡了格位取代时的多余电荷,实现了有效的电荷补偿。同时阳离子对的引入也可能导致Mn4+周边局域环境发生变化,使Mn4+偏离[MnO6]八面体中心,从而打破发光中心的反演对称性,这有利于实现2Eg→4A2g发光的增强[8]。为进一步确定Mn4+取代W6+的可能性,采用公式1计算Mn4+与替代离子半径的差值百分比(DR)[8]。根据离子半径相近原则,取代离子和掺杂离子之间的DR应在30%以内。通过式1计算可得,Mn4+取代Mg2+的DR为26.39%,Mn4+取代W6+的DR仅为5.35%,因此,Mn4+取代W6+的可能性更大。随着Mn4+离子掺杂浓度增大,晶格体积减小,但仍保持双钙钛矿结构。
$ {D}_\rm{R}=\frac{{R}_\rm{s}-{R}_\rm{d}}{{R}_\rm{s}}\times 100\% $ (1) 式中Rs为取代离子的半径,Rd为掺杂离子半径。
2.2 光谱分析
LLSMW∶0.012Mn4+荧光粉在室温下的激发和发射光谱如图 3a所示。监测708 nm的发射荧光时,有效激发波段为270~600 nm,涵盖紫外到可见光谱中蓝绿光谱范围,其峰值波长在332和480 nm处。对激发光谱进行高斯拟合,得到4条高斯曲线,其峰值分别为318、342、361和484 nm。这4条高斯曲线分别对应Mn→O电荷转移带(318 nm)、4A2g→4T1g(342 nm)、4A2g→2T2g(361 nm)和4A2g→4T2g(484 nm)自旋允许跃迁。以332 nm作为激发波长,得到LLSMW∶xMn4+荧光粉的发射光谱(图 3b)。该光谱发光范围为650~800 nm,样品发射波长为708 nm,呈深红色,对应了Mn4+的自旋禁戒2Eg→4A2g跃迁。尽管样品中Mn4+浓度有所不同,但发射光谱形貌基本一致,这也说明LLSMW∶xMn4+荧光粉的发射属性与Mn4+浓度并无直接关联。但是发射强度随Mn4+浓度的增加先增强,在Mn4+浓度达到0.012时达到峰值,接着随着Mn4+浓度的进一步增强而降低,表现出明显的浓度猝灭现象。为进一步研究浓度猝灭机制,采用Blasses理论[9]计算了临界距离(Rc):
$ {R}_\rm{c}=2{\left(\frac{3V}{4\pi {X}_\rm{c}Z}\right)}^{\frac{1}{3}} $ (2) 图 3
图 3. (a) LLSMW∶0.012Mn4+的激发、发射光谱及其高斯拟合曲线; LLSMW∶xMn4+ (b) 332 nm波长下的发射发谱和(c) lg x与lg(I/x)的线性关系图; (d) LLSMW∶0.012Mn4+在不同激发波长下的发射光谱; (e、f) LLSMW∶0.012Mn4+的发射光谱与Pfr吸收光谱的对比Figure 3. (a) Exicitation, emission spectra and Gaussian fitting peaks of LLSMW∶0.012Mn4+; (b) Emission spectra (λex=332 nm) and (c) relationship between lg(I/x) and lg x of the LLSMW∶xMn4+; (d) Emission spectra of the LLSWM∶0.012Mn4+ at different excitation wavelengths; (e, f) Comparison of the emission spectrum of LLSMW∶0.012Mn4+ phosphors and the absorption spectrum of phytochrome PfrInset in b: relationship between the peak intensity of the emission spectrum of LLSMW∶xMn4+ phosphor and the concentration of Mn4+;
Inset in d: relationship between the peak intensity of the emission spectrum and the excitation wavelength of LLSMW∶xMn4+ fluorescent powder.式中V为晶胞体积,Xc为猝灭浓度,Z为晶胞中阳离子个数。对于LLSMW基质,V=0.244 nm3,Z=4,Xc=0.012,求出Rc=2.135 nm。由于Rc≫0.5 nm,因此该基质的浓度猝灭主要由多极相互作用引起。
式3为Dexter原理表达式[10],可通过该式计算基质在600~800 nm波长范围内发射光谱的积分强度(I)与该光强所对应的Mn4+浓度x之间的关系,从而进一步确定LLSMW∶xMn4+荧光粉的多级相互作用类型:
$ \frac{I}{x}=K(1+\beta {x}^{\frac{\theta }{3}}{)}^{-1} $ (3) 其中,β和K均为常数,θ为多极子特性参数,其数值对应不同的能量转移机制,当θ=6、8、10时分别对应多极-多极相互作用中的偶极-偶极、偶极-四极、四极-四极相互作用。在高浓度区域(x≥0.012)对该式取对数,得出lg(I/x)与lg x关系:
$ \lg \frac{I}{x}=K^{\prime}-\frac{\theta}{3} \lg x $ (4) 式中K′为常数。lg(I/x)与lg x呈线性关系,斜率为-θ/3,由此可以计算θ,从而确定相互作用类型。图 3c为对lg(I/x)与lg x进行线性分析后的结果,可以看出,该拟合直线斜率-θ/3=-1.78,θ值为5.34,接近6,可确定该基质浓度猝灭主要由偶极-偶极相互作用引起。
为了进一步探究不同激发波长对样品的影响,分别采用332、365、450、470 nm波长激发LLSMW∶0.012Mn4+样品,结果如图 3d所示。从图中可以看出,不同激发波长下,样品发射光谱形貌基本一致,且发射峰强度与激发光谱中的激发强度吻合。将365和450 nm波长激发下LLSMW∶0.012Mn4+荧光粉的发射光谱与植物生长光敏色素Pfr的吸收光谱归一化强度值进行对比,结果显示所得样品的发射光谱与植物光敏色素吸收光谱重叠较好,光谱匹配度较高(图 3e和3f),故该荧光粉可适用于植物生长用LED的封装。
2.3 荧光寿命分析
图 4为LLSMW∶0.012Mn4+样品在332 nm波长激发下、708 nm发射波长监测下的荧光衰减曲线,其中黄色曲线为寿命的双指数拟合曲线,拟合方程为:
$I_t=I_0+A_1 \exp \left(-t / \tau_1\right)+A_2 \exp \left(-t / \tau_2\right)$ (5) $ \tau =\frac{{A}_{1}{\tau }_{1}^{2}+{A}_{2}{\tau }_{2}^{2}}{{A}_{1}{\tau }_{1}+{A}_{2}{\tau }_{2}} $ (6) 图 4
式中,It为样品在t时的发光强度;I0表示时间为0时的发光强度;A1、A2表示常数,分别对应短寿命和长寿命组分在整体衰减中的贡献比例;τ1、τ2分别为指数分量的短寿命和长寿命;τ为平均荧光寿命。拟合计算得出该样品的平均荧光寿命为1.528 ms。用同样的方法计算得到LLSMW∶xMn4+的平均荧光寿命,如表 1所示。所制备样品的寿命均较长,在毫秒量级,这可能是Mn4+的2Eg→4A2g跃迁同时被宇称选择定则和自旋选择定则禁戒引起的[11]。此外,Mn4+间无辐射能量转移概率的增加也导致该组样品荧光寿命随Mn4+浓度升高而缩短。
表 1
Sample τ / ms LLSMW∶0.002Mn4+ 1.663 LLSMW∶0.004Mn4+ 1.632 LLSMW∶0.006Mn4+ 1.618 LLSMW∶0.008Mn4+ 1.590 LLSMW∶0.010Mn4+ 1.542 LLSMW∶0.012Mn4+ 1.528 LLSMW∶0.015Mn4+ 1.462 LLSMW∶0.020Mn4+ 1.403 LLSMW∶0.025Mn4+ 1.115 LLSMW∶0.030Mn4+ 1.038 2.4 晶体场分析
由于Mn4+外层属于未填满的3d3电子组态,其离子特性和光谱特征容易受到外部环境影响。为了进一步探究位于八面体结构中心Mn4+的发光机理,采用Tanabe-Sugano能级图描述Mn4+能级结构(图 5a)。在LLSMW∶xMn4+基质中,[WO6]八面体格位的晶体场将d轨道劈裂成二重简并的Eg轨道和三重简并的T2g轨道。在近紫外到蓝绿光的激发下,Mn4+中处于4A2g基态的电子被激发到激发态4T1g、2T2g、4T2g上,分别对应4A2g→4T1g(342 nm)、4A2g→2T2g(361 nm)、4A2g→4T2g(484 nm)。然而,这些位于激发态的电子并不稳定,会在相应能级短暂停留后,以无辐射跃迁的形式跃迁至2Eg能级,随后通过辐射跃迁的形式释放光子,回到基态4A2g,实现Mn4+的自旋禁戒 2Eg→4A2g跃迁,产生708 nm的远红光发射,发光机理如图 5b所示。利用式7可以估算Mn4+在八面体中心点的晶体场强度(Dq)[12]:
$ {D}_{q}={E}_{{A}_{2}{T}_{2}}/10 $ (7) $ \frac{{D}_\rm{q}}{B}=\frac{15(x-8)}{{x}^{2}-10x} $ (8) $ x=\frac{{E}_{{A}_{2}{T}_{1}}-{E}_{{A}_{2}{T}_{2}}}{{D}_{q}} $ (9) $ \frac{E_{\mathrm{EGA}_2}}{B}=\frac{3.05 C}{B}+7.9-\frac{1.8 B}{D_{\mathrm{q}}} $ (10) 图 5
式中B和C为Racah参数,用来衡量电子间的排斥作用,B越小,基质共价性越弱;
、$ {E}_{{A}_{2}{T}_{1}} $ 、$ {E}_{{A}_{2}{T}_{2}} $ 分别代表4A2g→4T1g(29 239 cm-1)、4A2g→4T2g(20 661cm-1)、2Eg→4A2g(14 124 cm-1)跃迁所对应的峰值能量。将$ E_{\mathrm{EGA}_{2}} $ 、$ {E}_{{A}_{2}{T}_{1}} $ 、$ {E}_{{A}_{2}{T}_{2}} $ 代入公式计算,得到Dq(2 066 cm-1)、B(869 cm-1)和C(2 595 cm-1)。Dq/B为2.38,大于2.2,表现为强晶体场。与Mn4+掺杂其他基质材料性质相比较,LLSWM的B值相对较大,因此Mn4+—O2-共价性较强,发射光波长较长。$ E_{\mathrm{EGA}_{2}} $ 进一步计算Mn4+—O2-键的电子云膨胀效应参数(β):
$ \beta =\sqrt{{\left(\frac{B}{{B}_{0}}\right)}^{2}+{\left(\frac{C}{{C}_{0}}\right)}^{2}} $ (11) 其中B0=1 160 cm-1,C0=4 303 cm-1,这2个值分别为Mn4+自由态下的Racah常数。将上述数值代入式11中,可以得到β=0.961 9。这一结果同Brik等[8]的研究结论类似,即Mn4+的2Eg发射能(E)依赖于Mn4+—O2-的共价性,β越小,表明Mn4+—O2-共价性越强,电子云膨胀效应也越强,进而导致2Eg能级降低,Mn4+发射波长增长。所得结果不仅与Racah参数B值结果一致,也与表 2中列出的各基质材料结果一致。LLSMW∶xMn4+为氧化物,相较氟化物,其共价性更强[11]。同时,B、β、E的数值可能还与基质中引入的Li+-La3+阳离子对有关。Li+-La3+阳离子对取代了Sr2+格位,改变了离子间价键的键长,扭曲了Mn4+所处的局域晶场环境。此时,Mn4+位置偏离了理想的[WO6]八面体中心,增大了Mn4+的3d轨道与配体轨道电子云的重叠,降低了2Eg→4A2g发射能,使得波长红移。表 2为不同基质的Mn4+掺杂荧光粉的相关参数,通过线性拟合方程E=20 620.97β-5 273.92得出不同基质材料的E与β的关系(图 6)。本工作数据点为(0.962,14 124),在5%预测范围内,数据可靠。
表 2
Host Dq / cm-1 B / cm-1 C / cm-1 β E / cm-1 λ / nm Ref. Gd2ZnTiO6 2 041 794 2 783 0.941 7 14 205 704 [12] Li2MgTi3O8 2 062 765 3 004 0.960 4 14 706 680 [13] Ca2ScNbO6 1 969 814 2 824 0.960 8 14 438 693 [14] Ba2GdNbO6 1 931 878 2 728 0.987 3 14 535 688 [15] Sr2MgGe2O7 2 387 833 2 989 0.999 1 15 174 659 [16] SrMgAl4Ga6O17 2 045 821 3 051 1.001 8 15 047 665 [17] K2LiAl0.4Ga0.6F6 2 174 557 3 796 1.004 4 15 723 636 [18] Mg2TiO4 2 053 842 3 006 1.007 4 15 198 658 [19] (NH4)2NaInF6 2 144 536 3 863 1.009 7 15 773 634 [20] K3AlF6 2 141 672 3 594 1.016 5 15 898 629 [21] Na2TiF6 2 101 505 4 053 1.037 6 16 129 620 [22] (NH4)3AlF6 2 132 562 4 006 1.049 5 16 393 610 [23] K3HF2WO2F4 2 151 836 3 340 1.059 2 16 920 591 [24] NaMgLaTeO6 2 092 696 2 997 0.919 3 14 225 703 [25] LLSMW∶xMn4+ 2 066 869 2 595 0.961 9 14 124 708 This work 图 6
2.5 CIE坐标及内量子效率
采用CIE1931软件对LLSMW∶0.012Mn4+荧光粉进行色坐标计算,结果如图 7a所示,样品色坐标为(0.732 8,0.267 2)。式12为色纯度(pc)计算公式,将样品色坐标(X,Y)=(0.733 3,0.266 7)、标准白光坐标(Xi,Yi)=(0.333 3,0.333 3)、样品最强峰值坐标(Xd,Yd)=(0.734 7,0.265 3)代入计算,得到LLSMW∶0.012Mn4+色纯度为99.38%,说明样品色纯度非常高,具有较高的显示饱和度。
$ p_{\mathrm{c}}=\frac{\sqrt{\left(X-X_{\mathrm{i}}\right)^2+\left(Y-Y_{\mathrm{i}}\right)^2}}{\left(X_{\mathrm{d}}-X_{\mathrm{i}}\right)^2+\left(Y_{\mathrm{d}}-Y_{\mathrm{i}}\right)^2} \times 100 \%$ (12) 图 7
内量子效率(η)是衡量荧光粉发光性能的一个重要指标,其计算公式[26]为:
$ \eta=\frac{\int L_{\mathrm{s}}}{\int E_{\mathrm{R}}-\int E_{\mathrm{s}}} $ (13) 其中,Ls为样品发射光谱强度,Es和ER分别为样品和硫酸钡的激发光谱强度。图 7b为LLSMW∶xMn4+的内量子效率,从图上可以看出,随着Mn4+浓度增大,样品的内量子效率呈下降趋势,这可能与样品LLSMW∶xMn4+的杂质浓度及粒径尺寸有关。从图 2a样品的XRD结果来看,较低浓度Mn4+掺杂的样品在27°~30°之间的杂质峰明显低于高浓度下样品的杂质峰。杂质峰越多,LLSMW∶xMn4+的缺陷密度越高,非辐射复合中心越多。另外从图 2c也可以看出,随着Mn4+掺杂浓度升高,晶胞体积呈减小趋势,粒径尺寸的减小可能导致样品表面态和缺陷态的数量相对增多。而这些表面态和缺陷态会成为非辐射复合中心,进而降低了内量子效率。因此,随着Mn4+浓度增大,上述原因导致的非辐射复合中心密度逐渐增大,载流子复合概率降低,导致样品内量子效率随着浓度增高而降低。而在332 nm激发波长下,样品LLSMW∶xMn4+的发光强度随Mn4+掺杂浓度增大先升高,Mn4+浓度达到0.012时,样品发光强度最高,后由于存在浓度猝灭,随着Mn4+浓度进一步增大,样品发光强度降低。因此即使LLSMW∶0.002Mn4+样品的内量子效率最高,但Mn4+浓度较低导致其在600~800 nm下的发光强度不足。所以从发光强度和内量子效率综合来看,LLSMW∶0.012Mn4+掺杂为最优掺杂。在332 nm波长激发下,样品LLSMW∶0.012Mn4+的内量子效率为65.74%,与CaGdAlO4(η=45%)[1]、Ca2LaSbO6(η=52.2%)[26]、Li2MgTi3O8(η=34%)[13]、Ca2ScNbO6(η=35.8%)[14]等类似结构荧光粉相比具有明显的优势。
2.6 热稳定性分析
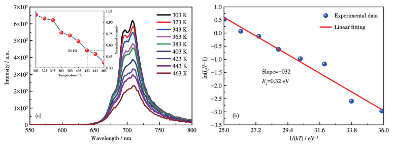
荧光粉的热稳定性是评估其能否应用于LED器件的关键指标。通常LED工作温度为150 ℃,可通过测试不同温度下荧光粉发光强度的衰减,系统分析材料的热猝灭效应,进而分析样品在不同温度下的热稳定性。图 8a为332 nm激发波长下,样品LLSMW∶0.012Mn4+在303~463 K的发射光谱。由于Mn4+的非辐射跃迁,样品的荧光强度呈现缓慢下降的趋势,到423 K(150 ℃)时下降为室温的53.1%。活化能(Ea)用来衡量电子被加热时跨越势垒所需的能量,Ea越大,跨越势垒难度越高。采用Arrhenius方程(式14)进一步计算样品LLSMW∶0.012Mn4+的活化能。
$ I=I_0\left[1+C \exp \left(\frac{-E_{\mathrm{a}}}{k T}\right)\right]^{-1} $ (14) 图 8
图 8. (a) 332 nm激发波长下,LLSMW∶0.012Mn4+在303~463 K的发射光谱; (b) ln(I0/I)-1和1/(kT)的线性拟合曲线Figure 8. (a) Emission spectra of LLSMW∶0.012Mn4+at 303-463 K under excitation wavelength of 332 nm; (b) Linear fitting curve of ln(I0/I)-1 and 1/(kT)Inset: the normalized PL intensity of LLSMW∶0.012Mn4+ phosphors as a function of temperature.
其中,I0和I分别为303 K和温度T下的发射强度,C为常数,k为玻尔兹曼常数。因此,ln(I0/I-1)与1/(kT)的拟合直线的斜率即为LLSMW∶0.012Mn4+的活化能。在332 nm波长的激发下,LLSMW∶0.012Mn4+的活化能由ln(I0/I)-1和1/(kT)的线性拟合曲线(图 8b)计算得到,Ea=0.32 eV。与部分具有类似结构的荧光粉相比,如Ca2ScNbO6(423 K时荧光强度为室温下的50.1%)[14]、Ca2LaSbO6(423 K时荧光强度为室温下的17.1%)[26]、Sr2LaSbO6∶Mn4+(423 K时荧光强度为室温下的35.7%)[27],LLSMW∶0.012Mn4+的热稳定性明显较好。这说明LLSMW∶0.012Mn4+荧光粉在热稳定性方面也具有一定的优势,能够用于制备植物照明用LED。
2.7 植物生长用LED封装及光色电性能
为了更进一步探究荧光粉的实际应用潜力,将有机硅胶和LLSMW∶0.012Mn4+荧光粉均匀混合后的胶体分别注入365和470 nm芯片,制作成LED器件。图 9b、9d为所制得的LED器件的EL光谱,可以看出其EL光谱均与LLSMW∶0.012Mn4+荧光粉发射光谱保持一致。在3 V电压和40 mA电流驱动下,365 nm芯片驱动的LED单珠展现出以下性能参数:光通量为0.03 lm,光效率为0.2 lm·W-1,光辐射功率为17.7 mW,光子通量为105.414 μmol·s-1(380~780 nm),能效为0.032,且能效等级为A++(EU 874-2012)。该LED单珠呈深红色,其峰值波长为708 nm,半高宽(FWHM)为37.6 nm,CIE色坐标为(0.724 0,0.269 6),色纯度为98.1%。在相同的电压和电流条件下,470 nm芯片驱动的LED单珠的性能参数如下:光通量为0.06 lm,光效率为0.6 lm·W-1,光辐射功率为29.3 mW,光子通量达174.076 μmol·s-1(380~780 nm),能效为0.032,且能效等级为A++(EU 874-2012)。该LED单珠呈粉白色,其峰值波长为708 nm,FWHM为37.6 nm,CIE色坐标为(0.464 1,0.299 2),色纯度为50.9%。表 3为20~120 mA电流驱动下2个LED的性能参数。从表 3可以看出,365 nm芯片相较于470 nm芯片,随着电流增长其色纯度和色温(CCT)均相对稳定,这可能是由于不同驱动电流对470 nm芯片发光强度的影响不同,从而导致LED综合发光特性受影响。但总体来看,365和470 nm芯片制备的LED均能用于植物生长。
图 9
表 3
I / mA CIE (X, Y) CCT / K FWHM / nm pc / % 365 nm 470 nm 365 nm 470 nm 365 nm 470 nm 365 nm 470 nm 20 (0.705 3, 0.270 1) (0.500 2, 0.304 8) 1 600 1 526 37.4 37.6 92.7 41.6 40 (0.724 0, 0.269 6) (0.464 1, 0.299 2) 1 691 1 776 37.6 37.6 98.1 50.9 60 (0.705 7, 0.283 2) (0.464 2, 0.271 3) 1 520 1 567 38.0 37.8 96.7 73.4 80 (0.699 8, 0.285 1) (0.432 8, 0.275 9) 1 483 1 887 37.8 38.0 95.5 30.7 100 (0.730 0, 0.269 3) (0.421 8, 0.266 9) 1 721 1 933 38.4 38.4 99.8 82.7 120 (0.724 9, 0.273 4) (0.399 7, 0.262 7) 1 669 2 212 38.8 38.0 99.5 20.2 3. 结论
通过阳离子取代策略,采用高温固相反应法制备了LLSMW∶xMn4+双钙钛矿结构荧光粉。实验结果显示,Mn4+有效地取代了W6+,占据了[WO6]八面体中心。LLSMW∶xMn4+的最佳激发波长为332 nm,由4条吸收带组成,分别为Mn→O电荷转移带、4A2g→4T1g、4A2g→2T2g和4A2g→4T2g。在332 nm波长激发下,该荧光粉发射光谱范围在650~800 nm,峰值波长为708 nm,归属2Eg→4A2g自旋禁戒跃迁。经研究确定,Mn4+的最优掺杂浓度为0.012,在此掺杂浓度下,样品的荧光寿命可达1.528 ms,内量子效率为65.74%。当温度升高至423 K时,其荧光强度下降至室温条件下的53.1%,经计算,对应的活化能为0.32 eV。采用365 nm芯片制备的LED在40 mA驱动电流下,色坐标位于(0.724 0,0.269 6),色纯度为98.1%,呈深红色,且与植物生长光敏色素Pfr有较高匹配度,在植物生长照明领域有较高的潜在应用价值。
-
-
[1]
HU J X, HUANG T H, ZHANG Y P, LU B, YE H Q, CHEN B J, XIA H P, JI C Y. Enhanced deep-red emission from Mn4+/Mg2+ co-doped CaGdAlO4 phosphors for plant cultivation[J]. Dalton Trans., 2019, 48(7): 2455-2466 doi: 10.1039/C8DT04955F
-
[2]
HE F, SONG E H, CHANG H, ZHOU Y Y, XIA Z G, ZHANG Q Y. Interstitial Li+ occupancy enabling radiative/nonradiative transition control toward highly efficient Cr3+-based near-infrared luminescence[J]. ACS Appl. Mater. Interfaces., 2022, 14(27): 31035-31043 doi: 10.1021/acsami.2c07495
-
[3]
SHI L, LI J X, HAN Y J, LI W L, ZHANG Z W. Highly efficient and thermally stable of a novel red phosphor Sr3NaSbO6∶Mn4+ for indoor plant growth[J]. J. Lumin., 2019, 208: 201-207 doi: 10.1016/j.jlumin.2018.12.039
-
[4]
CAO R P, LIU X, BAI K L, CHEN T, GUO S L, HU Z F, XIAO F, LUO Z Y. Photoluminescence properties of red-emitting Li2ZnSn2O6∶Mn4+ phosphor for solid-state lighting[J]. J. Lumin., 2018, 197: 169-174 doi: 10.1016/j.jlumin.2018.01.023
-
[5]
LI X S, CHEN Z K, WANG B, LIANG R Z, LI Y T. Effects of impurity doping on the luminescence performance of Mn4+-doped aluminates with the magnetoplumbite-type structure for plant cultivation[J]. Materials, 2018, 12(1): 86 doi: 10.3390/ma12010086
-
[6]
SHAO Y M, LI C L, ZOU Z Q, WANG J F, SUN H Y, QIN R K. A high-efficiency double perovskite phosphor SrLaNaTeO6∶Mn4+: Potential applications in w-LEDs and indoor plant growth lighting[J]. Ceram. Int., 2024, 50: 4433-4445 doi: 10.1016/j.ceramint.2023.11.161
-
[7]
WANG Y F, DING F, WU J Y, KE J B, YUAN X Z, WANG X F, QIU Z X, ZHOU W L, ZHANG J L, LIAN S X. Site preference-driven Mn4+ stabilization in double perovskite phosphor regulating quantum efficiency from zero to champion[J]. Inorg. Chem., 2022, 61(8): 3631-3640 doi: 10.1021/acs.inorgchem.1c03756
-
[8]
BRIK M G, CAMARDELLO S J, SRIVASTAVA A M, AVRAM N M, SUCHOCHI A. Spin-forbidden transitions in the spectra of transition metal ions and nephelauxetic effect[J]. ECS J. Solid State Sci. Technol., 2015, 5(1): R3067-R3077
-
[9]
KUMARI C, MANAM J, SHARMA S K. Strong red emission in double perovskite Sr3LiSbO6: Eu3+phosphor with high color purity for solid-state lighting applications[J]. Mater. Sci. Semicond Process., 2023, 158: 107385 doi: 10.1016/j.mssp.2023.107385
-
[10]
PATNAM H, HUSSAIN S K, YU J S. Rare-earth-free Mn4+ ions activated Ba2YSbO6 phosphors for solid-state lighting, flexible display, and anti-counterfeiting applications[J]. Ceram. Int., 2023, 49(2): 2967-2977 doi: 10.1016/j.ceramint.2022.09.281
-
[11]
BRIK M G, MA C G, PIASECKI M, SRIVASTAVA A M. Mn4+ ions for solid state lighting[J]. Chin. J. Lumin., 2020, 41(9): 1011-1029 doi: 10.37188/fgxb20204109.1011
-
[12]
CHEN H, LIN H, HUANG Q M, HUANG F, XU J, WANG B, LIN Z B, ZHOU J C, WANG Y S. A novel double-perovskite Gd2ZnTiO6∶Mn4+ red phosphor for UV-based w-LEDs: Structure and luminescence properties[J]. J. Mater. Chem. C, 2016, 4(12): 2374-2381 doi: 10.1039/C6TC00313C
-
[13]
ZHANG S A, HU Y H, DUAN H, FU Y R, HE M. An efficient broad-band red-emitting Li2MgTi3O8∶Mn4+ phosphor for blue-converted white LEDs[J]. J. Alloy. Compd., 2017, 693: 315-325 doi: 10.1016/j.jallcom.2016.09.203
-
[14]
CHEN Z L, TIAN Z B, ZHANG J, LI F, DU S M, ZHANG S J, ZHU K M, CUI W, YUAN X Y, CHEN K X, LIU G H. Novel deep‑red-emitting double-perovskite type Ca2ScNbO6∶Mn4+ phosphor: Structure, spectral study, and improvement by NaF flux[J]. J. Am Ceram. Soc., 2022, 105(6): 4230-4241 doi: 10.1111/jace.18424
-
[15]
FU A J, ZHOU C Y, CHEN Q, LU Z Z, HUANG T J, WANG H, ZHOU L Y. Preparation and optical properties of a novel double-perovskite phosphor, Ba2GdNbO6∶Mn4+, for light-emitting diodes[J]. Ceram. Int., 2017, 43(8): 6353-6362 doi: 10.1016/j.ceramint.2017.02.044
-
[16]
CHEN W, CHENG Y Z, SHEN L L, SHEN C Y, LIANG X J, XIANG W D. Red-emitting Sr2MgGe2O7∶Mn4+ phosphors: Structure, luminescence properties, and application in warm white light emitting diodes[J]. J. Alloy. Compd., 2018, 762: 688-696 doi: 10.1016/j.jallcom.2018.05.264
-
[17]
GU S M, XIA M, ZHOU C, KONG Z H, MOLOKEEV M S, LIU L, WONG W Y, ZHOU Z. Red shift properties, crystal field theory and nephelauxetic effect on Mn4+-doped SrMgAl10-yGayO17 red phosphor for plant growth LED light[J]. Chem. Eng. J., 2020, 396: 125208 doi: 10.1016/j.cej.2020.125208
-
[18]
HONG F, XU H P, PANG G, LIU G X, DONG X T, YU W S. Optical characteristics, morphology evolution and thermal stability of novel red-emitting Mn4+-activated K2LiAl1-yGayF6 solid solution phosphors for high-performance warm WLED[J]. J. Alloy. Compd., 2020, 824: 153818 doi: 10.1016/j.jallcom.2020.153818
-
[19]
WANG Z X, LIN H, ZHANG D W, SHEN Y M, LI Y, HONG R J, TAO C X, HAN Z X, CHEN L, ZHOU S M. Deep-red emitting Mg2TiO4∶Mn4+ phosphor ceramics for plant lighting[J]. J. Adv. Ceram., 2021, 10: 88-97 doi: 10.1007/s40145-020-0421-6
-
[20]
WANG H, LIU X Y, HONG F, DONG Y K, LI Y N, LIU G X, WANG J X, LI D, YU W S, DONG X T. Luminescence properties, crystal field and nephelauxetic effect on (NH4)2NaMF6∶Mn4+ (M=Al, Ga and In) red phosphors for warm white light-emitting diodes[J]. J. Lumin., 2022, 251: 119242 doi: 10.1016/j.jlumin.2022.119242
-
[21]
LIU Y M, WANG T M, ZHANG X Z, CAO C C, YANG L, HUANG Y H, LIAO S, ZHANG H X. Synthesis, luminescence properties and nephelauxetic effect of nano stick phosphors K3AlF6∶Mn4+ for warm white LED[J]. J. Mater. Sci. -Mater. Electron., 2019, 30: 1870-1877 doi: 10.1007/s10854-018-0459-1
-
[22]
LIU Y M, WANG T M, TAN Z R, MENG J M, HUANG W J, HUANG Y H, LIAO S, ZHANG H X. Novel emission bands of Na2TiF6∶Mn4+ phosphors induced by the cation exchange method[J]. Ceram. Int., 2019, 45(5): 6243-6249 doi: 10.1016/j.ceramint.2018.12.104
-
[23]
HUMAYOUN U B, KWON S B, SAMI S K, YOON D H. (NH4)3AlF6∶Mn4+ a novel red phosphor—Facile synthesis, structure and luminescence characteristics[J]. J. Alloy. Compd., 2019, 776: 594-598 doi: 10.1016/j.jallcom.2018.10.117
-
[24]
JANSEN T, FUNKE L M, GOROBEZ J, BÖHNISH D, HOFFMANN R D, HELETTA L, PÖTTGEN R, HANSEN M R, JÜSTEL T, ECKERT H. Red-emitting K3HF2WO2F4∶Mn4+ for application in warm‑white phosphor‑converted LEDs—Optical properties and magnetic resonance characterization[J]. Dalton Trans., 2019, 48(16): 5361-5371 doi: 10.1039/C9DT00091G
-
[25]
LI K, LIAN H Z, VAN DEUN R, BRIK M G. A far-red-emitting NaMgLaTeO6∶Mn4+ phosphor with perovskite structure for indoor plant growth[J]. Dyes Pigment., 2019, 162: 214-221 doi: 10.1016/j.dyepig.2018.09.084
-
[26]
SHI L, HAN Y J, ZHANG Z G, JI Z X, SHI D C, GENG X Y, ZHANG H, LI M, ZHANG Z W. Synthesis and photoluminescence properties of novel Ca2LaSbO6∶Mn4+ double perovskite phosphor for plant growth LEDs[J]. Ceram. Int., 2019, 45(4): 4739-4746 doi: 10.1016/j.ceramint.2018.11.166
-
[27]
SHI L, WANG S, HAN Y J, JI Z X, MA D, MU Z F, MAO Z Y, WANG D J, ZHANG Z W, LIU L. Sr2LaSbO6∶Mn4+ far-red phosphor for plant cultivation: Synthesis, luminescence properties and emission enhancement by Al3+ ions[J]. J. Lumin., 2020, 221: 117091 doi: 10.1016/j.jlumin.2020.117091
-
[1]
-
图 3 (a) LLSMW∶0.012Mn4+的激发、发射光谱及其高斯拟合曲线; LLSMW∶xMn4+ (b) 332 nm波长下的发射发谱和(c) lg x与lg(I/x)的线性关系图; (d) LLSMW∶0.012Mn4+在不同激发波长下的发射光谱; (e、f) LLSMW∶0.012Mn4+的发射光谱与Pfr吸收光谱的对比
Figure 3 (a) Exicitation, emission spectra and Gaussian fitting peaks of LLSMW∶0.012Mn4+; (b) Emission spectra (λex=332 nm) and (c) relationship between lg(I/x) and lg x of the LLSMW∶xMn4+; (d) Emission spectra of the LLSWM∶0.012Mn4+ at different excitation wavelengths; (e, f) Comparison of the emission spectrum of LLSMW∶0.012Mn4+ phosphors and the absorption spectrum of phytochrome Pfr
Inset in b: relationship between the peak intensity of the emission spectrum of LLSMW∶xMn4+ phosphor and the concentration of Mn4+;
Inset in d: relationship between the peak intensity of the emission spectrum and the excitation wavelength of LLSMW∶xMn4+ fluorescent powder.图 8 (a) 332 nm激发波长下,LLSMW∶0.012Mn4+在303~463 K的发射光谱; (b) ln(I0/I)-1和1/(kT)的线性拟合曲线
Figure 8 (a) Emission spectra of LLSMW∶0.012Mn4+at 303-463 K under excitation wavelength of 332 nm; (b) Linear fitting curve of ln(I0/I)-1 and 1/(kT)
Inset: the normalized PL intensity of LLSMW∶0.012Mn4+ phosphors as a function of temperature.
表 1 LLSMW∶xMn4+的荧光衰减寿命
Table 1. Decay lifetime data of LLSMW∶xMn4+
Sample τ / ms LLSMW∶0.002Mn4+ 1.663 LLSMW∶0.004Mn4+ 1.632 LLSMW∶0.006Mn4+ 1.618 LLSMW∶0.008Mn4+ 1.590 LLSMW∶0.010Mn4+ 1.542 LLSMW∶0.012Mn4+ 1.528 LLSMW∶0.015Mn4+ 1.462 LLSMW∶0.020Mn4+ 1.403 LLSMW∶0.025Mn4+ 1.115 LLSMW∶0.030Mn4+ 1.038 表 2 不同基质材料中Mn4+的光谱参数
Table 2. Spectral parameters of Mn4+ in different matrix materials
Host Dq / cm-1 B / cm-1 C / cm-1 β E / cm-1 λ / nm Ref. Gd2ZnTiO6 2 041 794 2 783 0.941 7 14 205 704 [12] Li2MgTi3O8 2 062 765 3 004 0.960 4 14 706 680 [13] Ca2ScNbO6 1 969 814 2 824 0.960 8 14 438 693 [14] Ba2GdNbO6 1 931 878 2 728 0.987 3 14 535 688 [15] Sr2MgGe2O7 2 387 833 2 989 0.999 1 15 174 659 [16] SrMgAl4Ga6O17 2 045 821 3 051 1.001 8 15 047 665 [17] K2LiAl0.4Ga0.6F6 2 174 557 3 796 1.004 4 15 723 636 [18] Mg2TiO4 2 053 842 3 006 1.007 4 15 198 658 [19] (NH4)2NaInF6 2 144 536 3 863 1.009 7 15 773 634 [20] K3AlF6 2 141 672 3 594 1.016 5 15 898 629 [21] Na2TiF6 2 101 505 4 053 1.037 6 16 129 620 [22] (NH4)3AlF6 2 132 562 4 006 1.049 5 16 393 610 [23] K3HF2WO2F4 2 151 836 3 340 1.059 2 16 920 591 [24] NaMgLaTeO6 2 092 696 2 997 0.919 3 14 225 703 [25] LLSMW∶xMn4+ 2 066 869 2 595 0.961 9 14 124 708 This work 表 3 不同驱动电流下LED性能参数
Table 3. LED performance parameters with different driving currents
I / mA CIE (X, Y) CCT / K FWHM / nm pc / % 365 nm 470 nm 365 nm 470 nm 365 nm 470 nm 365 nm 470 nm 20 (0.705 3, 0.270 1) (0.500 2, 0.304 8) 1 600 1 526 37.4 37.6 92.7 41.6 40 (0.724 0, 0.269 6) (0.464 1, 0.299 2) 1 691 1 776 37.6 37.6 98.1 50.9 60 (0.705 7, 0.283 2) (0.464 2, 0.271 3) 1 520 1 567 38.0 37.8 96.7 73.4 80 (0.699 8, 0.285 1) (0.432 8, 0.275 9) 1 483 1 887 37.8 38.0 95.5 30.7 100 (0.730 0, 0.269 3) (0.421 8, 0.266 9) 1 721 1 933 38.4 38.4 99.8 82.7 120 (0.724 9, 0.273 4) (0.399 7, 0.262 7) 1 669 2 212 38.8 38.0 99.5 20.2 -
扫一扫看文章
计量
- PDF下载量: 1
- 文章访问数: 2506
- HTML全文浏览量: 457

下载:
下载: