Citation: Ruixin XU, Hongtuo LI, Chen SHI, Yanhong YAN. Factors influencing the spectral properties of composite luminescent materials SrTiO3: Eu3+/SrAl2O4: Eu2+, Dy3+[J]. Chinese Journal of Inorganic Chemistry, 2025, 41(11): 2307-2316. doi: 10.11862/CJIC.20250055
复合发光材料SrTiO3: Eu3+/SrAl2O4: Eu2+,Dy3+的光谱性能影响因素
English
Factors influencing the spectral properties of composite luminescent materials SrTiO3: Eu3+/SrAl2O4: Eu2+, Dy3+
-
0. 引言
夜光纤维作为一种新型功能材料,可在光照下储存光能并在黑暗中持久发光,具有发光强度高、余辉时间长等优势[1-2],在安全服装[3]、防伪标识[4]、刺绣工艺品[5]等领域展现出广阔的应用前景。目前,基于绿色光发光材料SrAl2O4∶Eu2+,Dy3+和蓝色光发光材料Sr2MgSi2O7∶Eu2+,Dy3+的长余辉纤维已实现产业化应用[6-10]。根据色光加法原理,通过调节红、绿、蓝三原色比例,即可得到任意光色。因此,在绿色和蓝色光纤维技术成熟背景下,若能实现夜光纤维的红色光发射,便可实现夜光纤维的全色谱调控,进而显著提高夜光纤维的应用价值。但由于红色发光材料自身的性能缺陷(余辉时间短、发光亮度低等),无法用于夜光纤维的制备。因此,开发具有高亮度、长余辉特性的红色发光材料成为当前研究的关键[11-12]。
近年来,研究者们尝试通过多种途径改善红色长余辉材料的性能。Chen等[13]将香豆素类光色转换剂掺杂在SrAl2O4体系中实现了发光材料及纤维的红光发射,但其余辉时间较短;Xue等[14]通过溶胶-凝胶法制备了CaS∶Eu2+红色荧光粉,但其化学稳定性较差。SrAl2O4∶Eu2+因优异的发光性能和化学稳定性被认为是理想的长余辉基质材料[15-16]。TiO2是一种优良的光催化材料,具有良好的光吸收能力,可以在不同波长的光照射下被激发,其作为光捕获剂被广泛用于荧光粉材料时,可以显著提高荧光粉的光吸收效率[17]。研究表明,TiO2的掺杂有助于发光材料中Eu3+和Eu2+的共存,实现红色光发射[18-19]。然而,这类关于TiO2掺杂SrAl2O4∶Eu2+体系的研究较少,且发光性能的影响机制尚缺乏系统研究。
基于以上分析,我们提出将TiO2引入SrAl2O4∶Eu2+,Dy3+体系中,并采用高温固相法制备Eu3+与Eu2+共掺杂的复合发光材料SrTiO3∶Eu3+/SrAl2O4∶Eu2+,Dy3+。另外,通过多种表征手段分析了复合发光材料的微观形貌与结构组成,并进行了激发光谱、发射光谱及余辉光谱的测试,研究了TiO2、Eu2O3及碳粉(还原剂)的添加量对发光性能的影响,进而探究了复合体系的发光机理,为高性能红色发光材料及红色夜光纤维的制备提供了理论依据和技术支持。
1. 实验部分
1.1 实验材料
实验中所用原料主要包括SrCO3(AR)、Al2O3(AR)、Eu2O3(99.99%)、Dy2O3(99.99%)、TiO2(CP)、H3BO3(AR)以及碳粉,均购自上海国药集团化学试剂有限公司。
1.2 样品的制备
采用高温固相法,以TiO2、SrCO3、Al2O3、Eu2O3和Dy2O3为原材料,按照表 1所示的原料用量进行混合,再加入占以上原料总物质的量的3%的助溶剂H3BO3,并以一定量碳粉作为还原剂。将混合物充分研磨1 h后,放入坩埚中,并置于高温煅烧炉内,以5 ℃·min-1的升温速率在高温煅烧炉内由室温升至1 200 ℃,煅烧4 h后,进行4 h的退火处理。自然冷却后,取出坩埚,再次充分研磨1 h,最终制备得到SrTiO3∶Eu3+/SrAl2O4∶Eu2+,Dy3+复合红色发光材料。
表 1
Sample / mol$ \begin{equation} n_{\mathrm{TiO}_2} \end{equation}$ / mol$ \begin{equation} n_{\mathrm{Eu}_2 \mathrm{O}_3} \end{equation}$ ncarbon / mol SP1 1 0.025 0 0.025 0 SP2 0.1 0.025 0 0.025 0 SP3 1 0.040 0 0.025 0 SP4 0.1 0.040 0 0.025 0 SP5 1 0.010 0 0.025 0 SP6 1 0.012 5 0.025 0 SP7 1 0.015 0 0.025 0 SP8 1 0.020 0 0.025 0 SP9 1 0.025 0 0.001 25 SP10 1 0.025 0 0 SP11 1 0.040 0 0.001 25 SP12 1 0.040 0 0 Other conditions: n(SrCO3)=1 mol, n(Al2O3)=1 mol, n(Dy2O3)=0.015 mol. 1.3 表征及性能测试
采用X射线衍射仪(XRD,ARL XTRA型)测试样品的物相组成,测试参数:Cu靶Kα辐射,λ= 0.154 05 nm,管电压为40 kV,管电流为40 mA,扫描范围为10°~80°,测量步长为0.02°,扫描速度5 (°)·min-1。采用扫描电子显微镜(SEM,Su1510)测试样品的微观形貌,测试参数:工作电压为5 kV,工作电流为52 mA。采用FS5荧光光谱仪(SC-10)测试样品的发射和激发光谱,测试参数:发射光谱检测波长为360 nm,激发光谱检测波长为520 nm,扫描步长均为2 nm。采用荧光余辉亮度测试仪(PR-305)测试样品的余辉亮度和余辉时间,测试参数:激发照度为1 000 lux,激发时长为15 min,激发停止后等待10 s,采样间隔为1 s,测定时长为1 h;另外在准备测试前,需要将待测样品在暗室内静置一整夜,使其在测试前的发光亮度接近0,避免不必要的误差。
2. 结果与讨论
2.1 物相及微观形貌分析
图 1为SP3的SEM图。由图可知,材料表面粗糙,颗粒尺寸分布不均且存在明显团聚现象,部分颗粒吸附于其他颗粒的表面。这可能是由于颗粒表面存在孔洞结构,材料质地坚硬,不易研磨,导致其粒径分布不均(小粒径颗粒直径约为10 μm,大粒径颗粒直径可达50 μm)。材料中纳米晶体的团聚效应是导致大粒径颗粒存在的主要原因。
图 1
图 2a、2b分别为SP3的SEM图和能谱(EDS)谱图,图 2c为相应的元素分布图。结果表明,材料中含有Al、Eu、O、Sr、Ti、Dy等目标元素,其中Sr、Ti元素显示出高度吻合的均匀分布特征,Al和部分Sr元素的面分布同样呈现出显著相关性。由此推测生成了复合材料SrTiO3∶Eu3+/SrAl2O4∶Eu2+,Dy3+。
图 2
2.2 XRD分析
图 3为SP3的XRD图。该图在2θ为32.5°、40.1°、46.6°、58.6°、68.0°和77.4°等处都出现较为尖锐的强衍射峰。通过MDI软件和标准PDF卡片分析可知,这些衍射峰均归属于SrTiO3。另外,样品中还检测到了SrAl2O4的特征峰,分别位于33.4°、40.5°、47.1°、58.7°和68.1°。结合EDS和XRD分析可知,Sr、Ti元素以SrTiO3晶相形式存在。这表明样品中含有SrTiO3和SrAl2O4两种物质,这与EDS元素分析中的推测一致。
图 3
2.3 TiO2添加量对光谱性能的影响
图 4为不同TiO2添加量下制备的SrTiO3∶Eu3+/SrAl2O4∶Eu2+,Dy3+的激发光谱。由图可知,高添加量的样品SP1、SP3在350~450 nm范围内表现出宽谱激发特征,其包含2个特征激发峰,分别位于374和415 nm,而低添加量的样品SP2、SP4仅在415 nm处出现单一激发峰。其中,374 nm处的激发峰为SrAl2O4∶Eu2+的特征峰,415 nm处的激发峰为SrTiO3∶Eu3+的特征峰[20-21]。另外,高添加量样品SP1、SP3的激发光强度远大于低添加量样品SP2、SP4的激发光强度,这一现象表明TiO2添加量的增加可增强材料的激发光强度并激发光谱范围。
图 4
图 5为不同TiO2添加量下制备的SrTiO3∶Eu3+/SrAl2O4∶Eu2+,Dy3+的发射光谱。由图可知,高添加量样品SP1、SP3的发射光谱在420~680 nm波段出现了一个中心位于518 nm的宽带,这是由于Eu2+离子从5d激发态到4f基态的跃迁[22]。高添加量样品SP1、SP3的主要发射峰有3个,分别位于518、618、640 nm,其中518 nm处的发射峰为SrAl2O4∶Eu2+的特征峰[21],而618和640 nm处的发射峰为SrTiO3∶Eu3+的特征峰[23]。低添加量样品SP2、SP4的发射光谱强度较弱,有4个主要发射峰,分别位于562、618、640、670 nm,且562、618 nm处的峰不明显。当TiO2的添加量为1 mol时,材料的发射光谱强度远大于添加量为0.1 mol时的强度。随着TiO2添加量的提高,SrTiO3∶Eu3+/SrAl2O4∶Eu2+,Dy3+的发射光谱强度呈现显著增强趋势。其作用机制可归因于TiO2作为光催化剂,提升了材料的光吸收能力[24]。另外,样品产生了多处位于红光波段(> 580 nm)的发射峰,表明发射光产生了偏向红光波段的移动效果,进而导致发射红色光。
图 5
图 6为不同TiO2添加量下制备的SrTiO3∶Eu3+/SrAl2O4∶Eu2+,Dy3+的余辉曲线。由图可知,样品的余辉衰减主要经历了快衰减(0~100 s)和慢衰减(100~ 1 000 s)两个过程,在停止光照时的起始亮度较高,之后的100 s内,余辉亮度衰减迅速,在500 s左右时,亮度衰减达到平稳。另外,高添加量样品SP1、SP3的初始亮度远高于低添加量样品SP2、SP4,分别可达到0.217和0.080 cd·m-2,且余辉时间也可达到1 000 s以上,而低添加量样品SP2、SP4的初始亮度较低,仅约为0.010 cd·m-2。由此可知TiO2的添加量为1 mol时制备的材料的整体亮度高于TiO2添加量为0.1 mol时的亮度,表明合理控制TiO2的添加量,可以提升材料整体的余辉亮度,明显改变其发光性能。
图 6
2.4 Eu2O3添加量对光谱性能的影响
图 7为不同Eu2O3添加量下制备的SrTiO3∶Eu3+/SrAl2O4∶Eu2+,Dy3+的激发光谱。由图可知,所有样品均在309和420 nm处呈现双激发峰特征,其中420 nm处的激发峰为主峰,强度远高于309 nm处的激发峰,这是由Eu2+离子的4f 7→4f 65d1跃迁引起的[22]。所有样品的激发光谱均表现出相似的峰型特征,这表明在基质中存在多个发光中心。
图 7
图 8为不同Eu2O3添加量下制备的SrTiO3∶Eu3+/SrAl2O4∶Eu2+,Dy3+的发射光谱。由图可知,所有样品在592、610、640和670 nm处均呈现4个发射主峰,均位于红光波段(> 580 nm),表明发生了明显的红光发射。随着Eu2O3添加量从0.010 0 mol(SP5)增加至0.015 0 mol(SP7),SrTiO3∶Eu3+/SrAl2O4∶Eu2+,Dy3+的红光发射强度逐渐增强,并在640 nm处达到峰值。继续增加Eu2O3添加量达到0.020 0 mol(SP8)时,则会降低其发射强度。由此可知,SrTiO3∶Eu3+/SrAl2O4∶Eu2+,Dy3+的发射强度会随着Eu2O3添加量的增加而增加,但过高的Eu2O3添加量则会导致强度降低,因此需要通过调控Eu2O3的添加量,增强SrTiO3∶Eu3+/SrAl2O4∶Eu2+,Dy3+的红色发射强度。另外,发射带的形状不对称进一步证实材料存在多个发光中心[25]。
图 8
图 9为不同Eu2O3添加量下制备的SrTiO3∶Eu3+/SrAl2O4∶Eu2+,Dy3+的余辉曲线。由图可知,该组样品的余辉曲线均高度重合,其中SP6的初始余辉亮度达到最大值0.006 cd·m-2,并且所有样品的余辉时间均超过1 000 s。由此可见,SrTiO3∶Eu3+/SrAl2O4∶Eu2+,Dy3+的余辉亮度和余辉时间并不随Eu2O3添加量的增加而产生明显变化。原因可能是SrTiO3∶Eu3+/SrAl2O4∶Eu2+,Dy3+具有丰富的电子能级,受光照激发时,晶格发生振动,Eu2+同步产生能级跃迁;借助晶格弛豫作用,部分Eu2+将能量传递并存储于特征缺陷能级。撤去光照后,缺陷能级中被俘获的电子缓慢释放,驱动材料呈现长余辉特性[26]。基于此推断,当Eu2O3的添加量达到0.010 0 mol时,SP5经过激发光照射后,其晶格缺陷能级所捕获的电子数达到饱和,不再随着Eu2O3添加量的增加而显著变化。
图 9
2.5 碳粉添加量对光谱性能的影响
图 10为不同碳粉添加量下制备的SrTiO3∶Eu3+/SrAl2O4∶Eu2+,Dy3+的激发光谱。由图可知,所有样品均呈现双激发峰特征,特征峰分别位于309和420 nm处,其中420 nm为主激发峰。添加碳粉的样品SP9、SP11的激发强度高于未添加碳粉的样品SP10、SP12。这一现象归因于碳粉作为还原剂,促进了Eu3+→Eu2+的还原反应,增加了Eu2+的浓度,进而增强了Eu2+离子的电子跃迁倾向,使得更多的Eu2+离子进入晶格并被缺陷能级捕获,进而使激发强度提升[27]。
图 10
图 11为不同碳粉添加量下SrTiO3∶Eu3+/SrAl2O4∶Eu2+,Dy3+的发射光谱。由图可知,添加碳粉的样品SP9、SP11呈现多峰发射特征(592、616、640、682 nm),这些峰均属于红光波段(> 580 nm)。未添加碳粉的样品SP10、SP12仅在640 nm处出现单一发射峰,且发射强度低于添加碳粉的样品SP9、SP11。表明碳粉的添加激活了材料的红光发射,并且显著增强了其发射强度。这一现象归因于碳粉作为还原剂参与反应,使部分Eu3+还原为Eu2+,而SrTiO3∶Eu3+/SrAl2O4∶Eu2+,Dy3+的长余辉特性主要是由于Eu2+的电子跃迁[28]和缺陷能级对电子的捕获[26],所以随着Eu2+的浓度增加,其电子跃迁和缺陷能级对电子捕获的强度增加,最终表现为碳粉的掺杂会增强材料的发射强度。
图 11
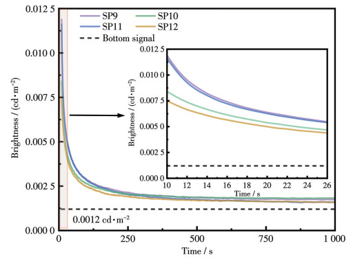
图 12为不同碳粉添加量下制备的SrTiO3∶Eu3+/SrAl2O4∶Eu2+,Dy3+的余辉曲线。由图可知,添加碳粉的样品SP9、SP11的初始余辉亮度分别为0.011和0.010 cd·m-2,而未添加碳粉的样品SP10、SP12的初始亮度较低,分别为0.007和0.006 cd·m-2。由此可知,碳粉的掺杂也会使材料的余辉强度增强,这与图 10和11中的分析结果吻合,说明碳粉的掺杂可以提升SrTiO3∶Eu3+/SrAl2O4∶Eu2+,Dy3+多方面的性能。
图 12
3. 结论
通过在稀土长余辉发光材料SrAl2O4∶Eu2+,Dy3+的制备过程中添加TiO2,制备得到Eu3+与Eu2+共掺杂的SrTiO3∶Eu3+/SrAl2O4∶Eu2+,Dy3+复合发光材料,通过调节TiO2、Eu2O3及还原剂碳粉的添加量确定了最佳制备条件。结果表明:(1) 复合发光材料表面呈不规则形貌,内部存在多孔结构,尺寸分布不均并伴随团聚现象。(2) TiO2的添加量增大时,材料的发光亮度及余辉持续时间呈现显著增强趋势。当TiO2添加量达到1 mol时,材料在618 nm的红色光发射最明显、余辉性能最好,亮度达到0.217 cd·m-2,且余辉时间达到1 000 s。(3) 在Eu2O3掺杂体系中,材料发光性能随添加量的增加呈现先增强后稳定的趋势。当Eu2O3的添加量达到0.015 0 mol时,材料的红色发射峰最强,而当添加量达到0.012 5 mol时,余辉性能最好,亮度达到0.006 cd·m-2,且余辉时间达到1 000 s。(4) 还原剂碳粉的添加量则显著促进了618 nm处发射峰的产生,发射光和激发光强度也随碳粉掺杂量的提高呈现显著增强趋势。当碳粉添加量达到0.001 25 mol时,在618 nm处的强度达到峰值,且余辉亮度也达到最强,为0.011 cd·m-2。
-
-
[1]
ZHU Y F, GE M Q, CHEN Z. Preparation and properties of rare earth luminous fiber containing red organic fluorescent pigment[J]. J. Rare Earths, 2013, 31(11): 1043-1048. doi: 10.1016/S1002-0721(12)60400-1
-
[2]
芦博慧, 魏新, 朱亚楠, 葛明桥. 稀土夜光纤维光色的研究与进展[J]. 化工新型材料, 2021,49,(12): 210-214. LU B H, WEI X, ZHU Y N, GE M Q. Research and development on light color property of rare earth luminous fiber[J]. New Chemical Materials, 2021, 49(12): 210-214.
-
[3]
闫彦红, 王来力, 顾冰菲. 儿童夜光安全服装的等效亮度[J]. 纺织学报, 2019,40,(8): 136-140. YAN Y H, WANG L L, GU B F. Equivalent luminance of children nocturnal safety garments[J]. Journal of Textile Research, 2019, 40(8): 136-140.
-
[4]
张技术, 葛明桥. 光谱指纹纤维的防伪特性[J]. 纺织学报, 2013,34,(4): 12-16. ZHANG J S, GE M Q. Anti-counterfeiting characteristics of spectrum-fingerprint fiber[J]. Journal of Textile Institute, 2013, 34(4): 12-16.
-
[5]
郭雪峰, 葛明桥. 彩色稀土铝酸锶夜光涤纶纤维的余辉和热释光特性[J]. 材料导报, 2012,26,(18): 14-17. GUO X F, GE M Q. The afterglow and thermoluminescence characteristics of rare-earth aluminate strontium luminous PET fiber with different color[J]. Mater. Rep., 2012, 26(18): 14-17.
-
[6]
ZHU Y N, ZHENG L B, GE M Q. Study on the properties of complex red luminescent fibers: Sr2MgSi2O7∶Eu2+, Dy3+/light conversion agents-polyacrylonitrile[J]. J. Ind. Text., 2022, 51(5S): 8196S-8207S.
-
[7]
GUO X F, ZHANG K Q, GE M Q. The luminous mechanism of Eu2+ and Dy3+ co-doped long persistent luminous fiber[J]. Text. Res. J., 2019, 89(17): 3601-3609. doi: 10.1177/0040517518817056
-
[8]
GE M Q, GUO X F, YAN Y H. Preparation and study on the structure and properties of rare-earth luminescent fiber[J]. Text. Res. J., 2012, 82(7): 677-684. doi: 10.1177/0040517511429606
-
[9]
赵辰阳, 王涛, 张冬琴, 陶娅妃, 刀坤, 何真真, 朱亚楠, 陈志军. Sr2MgSi2O7∶Eu2+, Dy3+-转换剂红色光夜光材料的制备及表征[J]. 稀土, 2019,40,(4): 53-59. ZHAO C Y, WANG T, ZHANG D Q, TAO Y F, DAO K, HE Z Z, ZHU Y N, CHEN Z J. Preparation and characterization of red light luminous material: Sr2MgSi2O7∶Eu2+, Dy3+/light conversion agent[J]. Chinese Rare Earths, 2019, 40(4): 53-59.
-
[10]
陈志, 罗军, 葛明桥. Sr2MgSi2O7∶Eu2+, Dy3+发光纳米纤维的制备及表征[J]. 稀土, 2015,36,(5): 37-42. CHEN Z, LUO J, GE M Q. Fabrication and characterization of Sr2MgSi2O7∶Eu2+, Dy3+ luminescent nanofibres[J]. Chinese Rare Earths, 2015, 36(5): 37-42.
-
[11]
EBRAHIMZADE A, MOJTAHEDI M R M, RAHBAR R S. Study on characteristics and afterglow properties of luminous polypropylene/ rare earth strontium aluminate fiber[J]. J. Mater. Sci. Mater. Electron., 2017, 28(11): 8167-8176. doi: 10.1007/s10854-017-6525-2
-
[12]
芦博慧, 饶曾慧, 史慕杨, 逄增媛, 朱亚楠. 多元光色稀土夜光纤维的制备及性能[J]. 化工进展, 2021,40,(11): 6254-6261. LU B H, RAO Z H, SHI M Y, PANG Z Y, ZHU Y N. Preparation and properties of rare earth noctilucent fibers with multiple photo-chromic colors[J]. Chem. Ind. Eng. Prog., 2021, 40(11): 6254-6261.
-
[13]
CHEN Z, ZHU Y N, GUO X F, LI M J, GE M Q. Comparison of the luminescent properties of warm-toned long-lasting phosphorescent composites: SiO2/red-emitting color converter@SrAl2O4∶Eu2+, Dy3+ and PMMA/red-emitting color converter@SSrAl2O4∶Eu2+, Dy3+[J]. J. Lumin., 2018, 199: 1-5. doi: 10.1016/j.jlumin.2018.03.010
-
[14]
薛昊龙, 朱亚楠, 葛明桥. 光转换剂/Sr4Al14O25红色荧光粉的制备与表征[J]. 化工新型材料, 2018,46,(4): 111-114. XUE H L, ZHU Y N, GE M Q. Preparation and characterization of light converter/Sr4Al14O25 red phosphor[J]. New Chemical Materials, 2018, 46(4): 111-114.
-
[15]
樊国栋, 肖国平. SSrAl2O4∶Eu2+, Dy3+, Pr3+纳米长余辉发光材料的制备与表征[J]. 硅酸盐学报, 2011,39,(2): 199-203. FAN G D, XIAO G P. Preparation and characterization of long-lasting phosphorescence SSrAl2O4∶Eu2+, Dy3+, Pr3+ nanoparticles[J]. J. Chin. Ceram. Soc., 2011, 39(2): 199-203.
-
[16]
朱聪旭, 徐辉, 杨圆明, 潘超全, 梁玮. SSrAl2O4∶Eu2+, Dy3+长余辉荧光材料的原位还原制备及其性能研究[J]. 硅酸盐通报, 2017,36,(11): 3648-3652. ZHU C X, XU H, YANG Y M, PAN C Q, LIANG W. In-situ reduction preparation and properties of SSrAl2O4∶Eu2+, Dy3+ long-lasting phosphor materials[J]. Bulletin of the Chinese Ceramic Society, 2017, 36(11): 3648-3652.
-
[17]
ZHANG J L, WU Y M, XING M Y, LEGHARI S A K, SAJJAD S M. Development of modified N-doped TiO2 photocatalyst with metals, nonmetals and metal oxides[J]. Energy Environ. Sci., 2010, 3(6): 715-726. doi: 10.1039/b927575d
-
[18]
DAWNGLIANA K M S, FANAI A L, RAI S. Structural and spectroscopic properties of Eu3+-doped SiO2-TiO2 nanoparticles for photonic applications[J]. Opt. Mater., 2024, 152: 115470. doi: 10.1016/j.optmat.2024.115470
-
[19]
MAAOUNI N, ROSAIAH P K, KUMAR K G, DHANALAKSHMI M A, ALBAQAMI M D, AYUB R. Enhanced DSSC efficiency through integration of red-emitting MgAl2O4∶Eu3+ phosphor within TiO2 layer[J]. Opt. Mater., 2024, 151: 115349. doi: 10.1016/j.optmat.2024.115349
-
[20]
WU J Z, LIU Y N, KOZLOWSKI M C. Visible-light TiO2-catalyzed synthesis of dihydrobenzofurans by oxidative[3+2] annulation of phenols with alkenyl phenols[J]. Chem. Sci., 2024, 15(19): 7150-7159. doi: 10.1039/D4SC00723A
-
[21]
OGUZLAR S, ONGUN M Z, KESKIN O Y, DELICE T K, AZEM F A, BIRLIK I, ERTEKIN K. Investigation of spectral interactions between a SrAl2O4∶Eu2+, Dy3+ phosphor and nano-scale TiO2[J]. J. Fluoresc., 2020, 30(4): 839-847. doi: 10.1007/s10895-020-02555-6
-
[22]
HU C K, PENG B, SONG K X, LIU B, WANG D W, REANEY I M. The cyan-green luminescent behaviour of nitrided Ba9Y2Si6O24∶Eu2+ phosphors for W-LED[J]. Ceram. Int., 2018, 44: 52-56.
-
[23]
耿杰, 吴召平, 陈玮, 罗澜. SSrAl2O4∶Eu2+, Dy3+发光粉体的长余辉特性研究[J]. 无机材料学报, 2003,18,(2): 480-484. GENG J, WU Z P, CHEN W, LUO L. Properties of long afterglow SrAl2O4∶Eu2+, Dy3+ phosphor[J]. J. Inorg. Mater., 2003, 18(2): 480-484.
-
[24]
OUYANG J L, CHANG M L, LI X J. CdS-sensitized ZnO nanorod arrays coated with TiO2 layer for visible light photoelectrocatalysis[J]. J. Mater. Sci., 2012, 47(9): 4187-4193. doi: 10.1007/s10853-012-6273-x
-
[25]
SHIN H, ULLAH S, CHUNG K. Effect of nominal substitution of Dy3+ for host cations in SSrAl2O4∶Eu2+ phosphor on phase evolution and long afterglow luminescence[J]. J. Alloy. Compd., 2012, 544: 181-187. doi: 10.1016/j.jallcom.2012.07.087
-
[26]
BHAGYA N P, PRASHANTH P A, KRISHNA R H, NAGABHUSHANA B, RAVEENDRA R. Photoluminescence studies of Eu3+-activated SrTiO 3 nanophosphor prepared by solution combustion approach[J]. Optik, 2017, 145: 678-687. doi: 10.1016/j.ijleo.2017.07.003
-
[27]
YE S S, LIN H B, ZHANG Q F, SU Y J, TANG X, DENG W, XIONG D K. The enhancing luminescence of B2O3-doped SSrAl2O4∶ Eu2+, Dy3+ single crystals[J]. J. Lumin., 2025, 277: 120920. doi: 10.1016/j.jlumin.2024.120920
-
[28]
WANG Y Q, MA W Q, SONG Y X, CHEN J J, XU J, WANG D J, MAO Z Y. Enhanced photocatalytic performance of SrTiO3 powder induced by europium dopants[J]. J. Rare Earths, 2021, 39(5): 541-547. doi: 10.1016/j.jre.2020.07.002
-
[1]
-
表 1 样品的制备方案
Table 1. Preparation protocol of samples
Sample / mol$ \begin{equation} n_{\mathrm{TiO}_2} \end{equation}$ / mol$ \begin{equation} n_{\mathrm{Eu}_2 \mathrm{O}_3} \end{equation}$ ncarbon / mol SP1 1 0.025 0 0.025 0 SP2 0.1 0.025 0 0.025 0 SP3 1 0.040 0 0.025 0 SP4 0.1 0.040 0 0.025 0 SP5 1 0.010 0 0.025 0 SP6 1 0.012 5 0.025 0 SP7 1 0.015 0 0.025 0 SP8 1 0.020 0 0.025 0 SP9 1 0.025 0 0.001 25 SP10 1 0.025 0 0 SP11 1 0.040 0 0.001 25 SP12 1 0.040 0 0 Other conditions: n(SrCO3)=1 mol, n(Al2O3)=1 mol, n(Dy2O3)=0.015 mol. -
扫一扫看文章
计量
- PDF下载量: 0
- 文章访问数: 837
- HTML全文浏览量: 59

下载:
下载: