Citation: Jie WEI, Qing ZHOU, Dandan DING, Xiang JING, Fei LI. Photothermal toxicity of Prussian blue nanoparticles to cervical cancer cells[J]. Chinese Journal of Inorganic Chemistry, 2025, 41(11): 2345-2357. doi: 10.11862/CJIC.20240435
普鲁士蓝纳米粒子对HeLa细胞的光热毒性
English
Photothermal toxicity of Prussian blue nanoparticles to cervical cancer cells
-
Key words:
- Prussian blue
- / nanoparticles
- / photothermal toxicity
-
宫颈癌(cervical cancer,CC)是世界上最常见的妇科恶性肿瘤。据2022年全球癌症统计数据显示[1],在低、中等人类发展指数地区,宫颈癌的发病率和死亡率均位居第四位。宫颈癌的诊断和治疗技术创新对提高患者生存率及预后具有重要意义。光热疗法(photothermal therapy,PTT)是一种新兴的癌症治疗方法,它通过光热转换剂将吸收的光能转化为热能,诱导靶细胞的高温死亡,以达到对肿瘤的热损伤[2-3]。与正常细胞相比,癌细胞的热阈值较低,因此光热疗法对癌细胞的杀伤作用更强。通过光热疗法,能更好地提高癌症治疗效果[4]。
普鲁士蓝(Prussian blue,PB)分子式为Fe4[Fe(CN)6]3,是一种古老的试剂,又被称为中国蓝、贡蓝、亚铁氰化铁等,在染料、铊中毒解毒、纳米生物传感器、成像、靶向治疗等方面被普遍应用[5-6]。2012年,付光磊等首次发现并证实了普鲁士蓝纳米粒子(Prussian blue nanoparticles,PB NPs)的光热特性,这种光热特性可以杀死肿瘤细胞[7]。进一步的研究表明,PB NPs在808 nm处的摩尔吸光系数(1.09×109 L·mol-1·cm-1)显著高于常规光热剂,具有较高的光热转换效率,是一种较好的光热转换剂[8]。研究还发现,不同形貌、尺寸的PB NPs会影响其比表面积、吸收横截面积、表面等离子体共振、激光功率密度的反应、能级跃迁,进而影响光热转换效率[8]。通过设计合适的基于PB NPs的药物,可以有效地实现增强的光热性能、靶向能力、多模态治疗和基于成像的癌症治疗[9]。尽管有关PB NPs的光热性能有许多文献研究,但利用PB NPs进行肿瘤光热治疗研究仍是近年来研究者关注的热点,因此关于PB NPs对宫颈癌细胞(HeLa细胞)的光热毒性机制还需要更深一步的研究。本研究旨在利用PB NPs的纳米酶特性与通过特定波长激光激发产生的光热转换性能诱导肿瘤细胞死亡,探讨PB NPs对HeLa细胞致死作用的机制,进而提高肿瘤治疗效果。
1. 实验部分
1.1 仪器与试剂
一水合柠檬酸(C6H8O7·H2O)、六水合三氯化铁(FeCl3·6H2O)均购买于国药集团。三水合六氰基铁酸钾([K4Fe(CN)6]·3H2O)购买于阿法埃莎公司。0.4%台盼蓝染液购买于北京索莱宝公司。1640培养基、DMEM培养基、磷酸盐缓冲溶液(PBS)均购买于北京赛默飞世尔公司。Annexin V-FITC/碘化丙啶(PI)细胞凋亡检测试剂盒、活性氧(ROS)检测试剂盒均购买于南京凯基公司。细胞周期检测试剂盒购买于美国Beckman Coulter公司。
采用JEOL JEM-2010透射电子显微镜(TEM,日本电子株式会社)在200 kV加速电压下进行微观结构分析。采用Hitachi S-4800扫描电子电镜(SEM,日本日立公司)在3.0 kV加速电压下观察试样的微观形貌。采用Rigaku DMAX 2000粉末X射线衍射仪(日本Rigaku公司)对试样的物相组成进行分析,粉末X射线衍射(PXRD,Cu Kα辐射,λ=0.154 18 nm)图在室温条件下获得,工作电压和电流分别为40 kV和30 mA,扫描范围10°~80°,扫描速率为4 (°)·min-1。采用Nicolet Avatar 370 DTGS红外光谱仪(美国Thermo Fisher公司)对试样的结构进行分析。采用DU 730核酸蛋白分析仪(美国Beckman Coulter公司)测试样品在400~1 000 nm范围内的吸光强度。采用Malvern Zetasizer Nano-ZS 90纳米粒度电位仪(英国马尔文仪器有限公司)对试样粒径进行分析。采用808 nm激光器(上海熙隆公司)和FLIRA 300红外热像仪(美国菲力尔公司)研究试样的光热性能。采用Thermo Multiskan MK3酶标仪(美国Thermo Fisher公司)检测HeLa细胞存活率。采用Quanta SC流式细胞仪(美国Beckman Coulter公司)对HeLa细胞分类检测和计数。采用Leica TCS SP5 Ⅱ激光扫描共聚焦显微镜(德国徕卡公司)获取HeLa细胞荧光图像。
1.2 实验方法
1.2.1 PB NPs的制备
将490 mg C6H8O7·H2O和5.4 mg FeCl3·6H2O溶解在20 mL去离子水中,缓慢加热得到60 ℃的橘黄色溶液。再将98 mg C6H8O7·H2O和8.44 mg [K4Fe(CN)6]·3H2O溶解在20 mL去离子水中,以50 mL·h-1的速度用注射泵缓慢滴注到上述橘黄色溶液中。溶液很快变绿、变蓝,之后变成深蓝色。用磁力搅拌器低速均匀搅拌,并冷却至室温。加入50 mL乙醇,以18 000 r·min-1离心15 min。最后,加入乙醇和水多次离心洗涤,密封保存。
1.2.2 PB NPs的光热性质
将制得的PB NPs分散在水中,得到质量浓度分别为0、10、25和50 μg·mL-1的PB NPs分散液。各取1 mL不同质量浓度的PB NPs分散液加入比色皿中,以1 W·cm-2功率密度的808 nm激光照射10 min,再缓慢冷却至室温,用热像仪记录温度变化。
再配制50 μg·mL-1的PB NPs分散液1 mL,选用功率密度为1 W·cm-2的808 nm激光照射10 min,再自然冷却至室温。然后再开启激光器,照射10 min后关闭,使PB NPs分散液冷却至室温。如此循环反复8次,整个过程用热像仪记录温度变化。
1.2.3 细胞培养
HeLa细胞(ATCC,购自中科院武汉研究所)培养于含10%胎牛血清和1%青霉素-链霉素的RPMI-1640培养基,培养箱温度为37 ℃、湿度为95%、CO2体积分数为5%。
1.2.4 MTT实验
将处于对数生长期的HeLa细胞用0.25%胰酶消化后,调整细胞密度为每毫升1×106个的单细胞悬液,按每孔100 μL接种于96孔板中培养,待细胞贴壁后再行处理。考虑PB NPs分散液对细胞增殖的影响,分为对照组和6个PB NPs实验组(0、10、20、30、40和50 μg·mL-1),针对每个浓度实验组,再分成6组,每组设3个复孔,施以不同功率密度的激光强度(0、0.1、0.15、0.2、0.25、0.3 W·cm-2)照射10 min处理。培养10 h后,每孔各加入10 μL的MTT液继续培养4 h;然后小心吸去上清液,每孔加入150 μL DMSO,避光,在振荡器上轻轻振荡5 min后,用酶标仪测定各孔的吸光度(A492),按下式计算各处理组的细胞存活率:Rcv=A492, treated/A492, control×100%。
1.2.5 台盼蓝实验
实验分为空白组、激光组、PB NPs组和PB NPs+激光实验组。空白组:不对HeLa细胞进行处理;激光组:以0.2 W·cm-2功率密度照射HeLa细胞10 min;PB NPs组,以50 μg·mL-1的PB NPs与HeLa细胞一起培养4 h;PB NPs+激光实验组:以50 μg·mL-1的PB NPs与HeLa细胞一起培养4 h,然后以0.2 W·cm-2功率密度激光照射10 min后再培养1 h。用PBS清洗2遍,并按每孔100 μL滴加PBS,向每孔加入10 μL 0.4%的台盼蓝,染色3 min后用PBS清洗3次。将100 μL PBS加入到细胞中,置于倒置显微镜拍摄。实验重复3次。
1.2.6 激光共聚焦实验
实验分组及处理方法同台盼蓝实验。将PB NPs加入到每组HeLa细胞中培养4 h,以功率密度为0.2 W·cm-2的808 nm激光照射10 min后,再培养1 h。向培养皿中加800 μL钙黄绿素(Calcein-AM)与PI混合液(含有2 μmol·L-1 Calcein-AM,4 μmol·L-1 PI),再培养15 min后,使用共聚焦显微镜拍摄(Calcein-AM的发射波长为515 nm,激发波长为490 nm;PI的发射波长为617 nm,激发波长为535 nm)。实验重复3次。
1.2.7 AnnexinV-FITC流式细胞实验
将6组50 μg·mL-1的PB NPs与HeLa细胞共同培养4 h后,分别采用不同功率密度(0、0.1、0.15、0.2、0.25、0.3 W·cm-2)的激光照射HeLa细胞10 min。再培养1 h后用PBS润洗2次,用0.5 mL不含EDTA的0.25%胰酶进行消化、离心,1.5 mL离心管离心收集。每管加入500 μL Binding Buffer作为连接液,便于细胞染色。再加5 μL AnnexinV-FITC避光混匀,之后再加入5 μL PI避光混匀。室温静置15 min后,用流式细胞仪进行检测。实验重复3次。
再分别将质量浓度为0、10、20、30、40、50 μg·mL-1的6组PB NPs培养4 h后,分别以0.2 W·cm-2功率密度激光照射HeLa细胞10 min。之后方法处理与上述流式细胞实验一致。
1.2.8 细胞周期检测实验
将6组20 μg·mL-1的PB NPs与HeLa细胞共同培养4 h后,以0、0.1、0.15、0.2、0.25、0.3 W·cm-2的808 nm激光照射10 min后继续培养1 h,用0.5 mL的0.25%胰酶消化后PBS润洗2次,1.5 mL离心管离心收集。每管使用100 μL的LPR试剂悬浮细胞,避光,室温下染色20 min。再加入DNA stain 1000 μL悬浮细胞,室温环境条件下,避光放置20 min。最后用流式细胞仪检测,Flow Jo 7.6.5软件分析。实验重复3次。
再分别将质量浓度为0、5、10、15、20、25 μg·mL-1的6组PB NPs培养HeLa细胞4 h后,0.2 W·cm-2功率密度激光照射HeLa细胞10 min。之后方法处理与上述细胞周期实验一致。
1.2.9 ROS检测实验
细胞分组和预处理与细胞周期实验一致,另外再增加阳性对照组(Rosup)。在阳性对照组中加入1 μL ROS阳性诱导药物Rosup,培养30 min。再用PBS清洗2次,以除去未反应的Rosup。每孔加入1 mL 1‰的DCFH-DA溶液,避光培养30 min后,用1640培养基洗细胞3次,收集细胞后,用无血清1640培养基分散细胞,再用流式细胞仪检测分析(激发波长为488 nm,发射波长为510~540 nm)。最后用Flow Jo 7.6.5软件处理。实验重复3次。
1.3 统计分析
利用Microsoft Excel 2010进行实验数据整理,数据结果以平均值±标准差表示,利用SPSS 29.0软件,单因素分析方法(ANOVA)进行显著性分析,p < 0.05表示有统计学意义。
2. 结果与讨论
2.1 PB NPs的表征
TEM观察显示制备的PB NPs呈现规则的立方体结构,样品大小均一,分散性良好,晶格规则,结晶状态良好,尺寸多集中分布在(215.4±17.4) nm范围内(图 1a~1c)。SEM图像显示其均为大小统一的立方体结构,表面光滑完整,与TEM照片结果均保持一致(图 1d)。制备的PB NPs的PXRD图中特征峰与标准卡片PDF No.01-0239保持高度的一致性,所有标志性特征峰均相互吻合(图 1e)。红外光谱图中在2 080 cm-1有C≡N的标志性伸缩振动峰,在498 cm-1也出现了PB NPs的Fe2+-CN-Fe3+化学结构单元振动峰(图 1f)。紫外可见吸收光谱的最大吸收峰在715 nm处,是普鲁士蓝结构中Fe2+和Fe3+间的电荷迁移跃迁特征吸收峰(图 1g)。20 d的水合粒子半径追踪分析显示,PB NPs稳定性良好(图 1h)。
图 1
图 1. PB NPs的表征: (a、b) TEM图(插图: 粒径分布); (c) 电子衍射图; (d) SEM图; (e) PXRD图; (f) 红外谱图; (g) 紫外可见吸收谱图; (h) 水合半径粒径追踪Figure 1. Characterization of PB NPs: (a, b) TEM image (inset: particle size distribution); (c) electron diffraction pattern; (d) SEM image; (e) PXRD pattern; (f) IR spectrum; (g) UV-Vis absorption spectrum; (h) hydrated particle radius tracking2.2 PB NPs的光热性能
评价光热材料的重要指标是其光热稳定性和光热转换效率[10-11]。光热测试结果显示,10、25、50 μg·mL-1的PB NPs分散液的温度分别升高了7.0、14.1、18.5 ℃。但是到7 min以后,温度升高速率逐渐减小并达到一个平台期,温度基本都达到了稳定状态(图 2a)。1 W·cm-2的808 nm激光照射25 μg·mL-1的PB NPs共8个循环以后,光热效果并没有明显的衰减现象(图 2b),表明PB NPs具有较好的光稳定性,可以作为光热试剂进行循环使用,这也与PB NPs结构的稳定性有很大关系。
图 2
图 2. PB NPs的光热性能: (a) 以808 nm激光(1 W·cm-2, 10 min)照射时, 不同质量浓度的PB NPs溶液的温度变化曲线; (b) 25 μg·mL-1 PB NPs溶液的光热循环实验; (c) 25 μg·mL-1 PB NPs溶液的加热和冷却曲线; (d) t vs -ln θ的拟合直线Figure 2. Photothermal performance of PB NPs: (a) temperature variation curves of PB NPs solutions at different mass concentrations under irradiation with an 808 nm laser (1 W·cm-2, 10 min); (b) photothermal cycling experiment of 25 μg·mL-1 PB NPs solution; (c) heating and cooling curves of 25 μg·mL-1 PB NPs solution; (d) linear fit of t vs -ln θ参照Tian等的方法[12],评价了25 μg·mL-1 PB NPs的光热转换效率。溶液的光热转换效率η按公式1计算:
$ \eta=\frac{h S\left(T_{\max }-T_{\mathrm{surr}}\right)-Q_{\mathrm{Dis}}}{I\left(1-10^{-A_{808}}\right)} $ (1) 其中,h是传热系数;S是石英样品池口的面积;Tmax-Tsurr为平衡温度与环境温度的差值(14.1 ℃)(图 2d);QDis表示石英样品池自身吸收光能后散发的热量,该值通过使用装入纯水的石英比色皿单独测量(10.4 mW);I是808 nm激光功率密度(1 W·cm-2);A808是PB NPs在808 nm处的吸光度(0.66)。hS的值通过公式2确定:
$ \tau_{\mathrm{s}}=\frac{\sum\limits_i m_i C_{\mathrm{p}, i}}{h S} $ (2) 当PB NPs溶液的浓度很小时,可以用mC代替式中的分子,其中m是水的质量(1 g),C是水的比热(4.2 J·g-1·℃-1);τs是样品系统的时间常数。根据25 μg·mL-1 PB NPs随时间变化的温差曲线(图 2c),以冷却时间t对-ln θ作图(图 2d),所得拟合直线的斜率即为τs:
$ t=-\tau_{\mathrm{s}} \ln \theta $ (3) 其中,
,T是系统随时间变化的温度。$\theta=\frac{T-T_{\text {surr }}}{T_{\max }-T_{\text {surr }}} $ 经计算,25 μg·mL-1的PB NPs的光热转换效率为50.85%。我们制得的PB NPs直径为(215.4±17.4) nm,表面电荷为-22.6 mV,光热性能良好。有研究表明,光热杀死肿瘤细胞的温度临界值为42 ℃[13],因此,即使较低浓度PB NPs的光热效应也足以达到杀死肿瘤细胞的目的。张小漫等构建了一种具有高效光热转换性能的PB纳米颗粒,其光热转换效率的计算方法和本文相同,计算结果(η=56%)也与本文中光热转换效率结果相近,具有较好的参考价值[14]。
2.3 PB NPs的细胞毒性
2.3.1 PB NPs的细胞光热毒性
MTT实验结果(图 3)显示,HeLa细胞在只有激光照射条件下,存活率均在90%以上,表明激光对HeLa细胞毒性较弱;而不同浓度的PB NPs实验组中,存活率随着激光功率密度的增强开始出现大幅度的下降。当激光功率密度相同,随着PB NPs浓度的增加,细胞存活率呈下降趋势。在808 nm激光照射10 min后,HeLa细胞在PB NPs的光热作用下,存活率均表现出迅速地下降。50 μg·mL-1的PB NPs在0.2 W·cm-2的808 nm激光下可使HeLa细胞存活率降至24.2%,标志着细胞出现大面积死亡。结果表明,HeLa细胞的致死率呈现PB NPs质量浓度(0~50 μg·mL-1)和激光功率密度(0~0.3 W·cm-2)依赖性。
图 3
MTT的实验结果还显示,对照组PB NPs在0~50 μg·mL-1范围内培养HeLa细胞24 h,细胞存活率可达90%以上,对HeLa细胞毒性极微弱。实验组中,光热条件下PB NPs对HeLa细胞有高效致死毒性,如40 μg·mL-1 PB NPs在0.2 W·cm-2的激光照射10 min后,HeLa细胞存活率降至30%以下。有研究表明,PB NPs对正常细胞无毒性,具有优异的抗炎、抗氧化特性,能够抑制氧化应激条件下过度ROS的产生及对细胞的杀伤[15-17]。PB NPs还具有过氧化氢酶特性,可以催化分解肿瘤内的内源性过氧化氢,产生氧气以改善肿瘤乏氧,从而对于逆转肿瘤内免疫抑制环境具有显著功能[18-19]。有研究表明,肿瘤内氧含量的增加有助于CD8+T细胞在肿瘤内的浸润和活化,诱导肿瘤相关巨噬细胞从免疫抑制的M2亚型向促炎性抗肿瘤M1亚型的极化[20-21]。本实验中HeLa细胞在激光和PB NPs共培养条件下的存活率下降,可能是高热促进了细胞内部代谢机制的紊乱,加速了细胞死亡的进程。乏氧的肿瘤细胞往往比正常组织对热刺激响应更强烈,不能产生足够应激蛋白帮助细胞度过危险期,因此癌细胞死亡率增加[22]。
2.3.2 台盼蓝染色分析
台盼蓝染料常用于检测细胞膜的完整性,确认细胞是否存活。台盼蓝染色实验结果显示,空白对照组中,无HeLa细胞被染成蓝色,即无细胞死亡现象发生。0.2 W·cm-2激光组和50 μg·mL-1 PB NPs组则出现极少量细胞死亡的现象。而50 μg·mL-1 PB NPs+激光实验组中几乎所有细胞全部被染成了蓝色(图 4),显示HeLa细胞出现了普遍性的死亡。实验结果表明在PB NPs和激光的作用下,HeLa细胞的细胞膜已经被破坏,细胞死亡。
图 4
2.3.3 Calcein-AM与PI双染色激光共聚焦成像
选取Calcein-AM与PI两种细胞染色试剂,对实验组和对照组的细胞进行双染色实验(图 5)。实验结果显示,空白组HeLa细胞被Calcein-AM染色发绿光,50 μg·mL-1 PB NPs对照组和0.2 W·cm-2激光对照组中可见绝大多数的被染成绿色的活细胞和极少数的被染成红色的死细胞,说明几乎没有细胞存在死亡现象。而50 μg·mL-1 PB NPs+Laser组实验组可见绝大多数的被染成红色的死细胞,说明细胞死亡率极高,即绝大多数细胞在808 nm激光、PB NPs作用下发生了死亡。实验结果和台盼蓝实验相吻合,表明了PB NPs通过光热对细胞产生毒性作用,从而杀死癌细胞。
图 5
2.3.4 AnnexinV-FITC流式细胞分析
过热可诱导肿瘤细胞凋亡或坏死,从而对肿瘤组织造成损伤[23]。AnnexinV-FITC流式双染色实验结果显示(图 6和7),随着激光的功率密度增加和纳米粒子浓度的增加,大批HeLa细胞出现凋亡和坏死现象。在功率密度0.3 W·cm-2或PB NPs浓度50 μg·mL-1的条件下,HeLa细胞发生凋亡或者发生坏死的比例各占总死亡比例的50%左右。在PB NPs浓度为30 μg·mL-1且激光功率密度为0.2 W·cm-2时,凋亡和坏死比例增加较为显著。因此,光热致死过程中凋亡和坏死为细胞的主要死亡方式,凋亡和坏死率呈现出激光功率密度和纳米材料浓度依赖性。随着光照强度和纳米粒子浓度的增加,活细胞比例逐渐减小,细胞凋亡和坏死率均大大增加。
图 6
图 6. (a) HeLa细胞在50 μg·mL-1 PB NPs、不同功率密度激光(808 nm)作用下的流式双染色图; (b) 凋亡细胞的比例Figure 6. (a) Flow-cytometric dual-staining plots of HeLa cells treated with 50 μg·mL-1 PB NPs and irradiated at different laser power densities (808 nm); (b) Proportion of apoptotic cells** represents the comparison with the corresponding control group, p < 0.01.
图 7
图 7. (a) HeLa细胞在0.2 W·cm-2激光(808 nm)、不同PB NPs质量浓度作用下的流式双染色图; (b) 凋亡细胞的比例Figure 7. (a) Flow-cytometric dual-staining plots of HeLa cells treated with different mass concentrations of PB NPs and irradiated at 0.2 W·cm-2 laser (808 nm); (b) Proportion of apoptotic cells** represents the comparison with the corresponding control group, p < 0.01.
AnnexinV-FITC流式细胞实验表明光热导致HeLa细胞经由凋亡和坏死2种死亡模式发生不可逆损伤。PB NPs对HeLa细胞光热毒性包括2个方面,一是通过产生内源性ROS诱导肿瘤细胞凋亡,二是通过PB NPs的光热效应外源性地产生过高热造成细胞损伤。这意味着肿瘤细胞既经历了凋亡,也经历了热损伤。
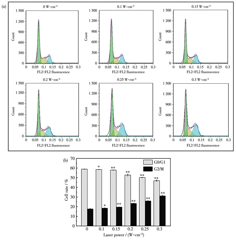
2.3.5 光热对细胞周期的影响
细胞增殖异常和细胞周期异常是所有人类癌症的标志[24]。通过PI单通道染色结合流式细胞术检测发现,PB NPs在激光照射下的光热毒性显著改变HeLa细胞周期分布(图 8和9)。与正常对照组相比,PB NPs+激光组中S期细胞比例保持稳定,G0/G1期细胞比例显著降低,而G2/M期细胞比例呈现明显阻滞(p < 0.05或p < 0.01),其中绝大部分细胞特异性阻滞于G2期。这一结果提示,PB NPs的光热效应可能通过干扰G2/M期检验点功能,导致细胞无法正常通过有丝分裂质检,进而停滞于G2期或启动程序性死亡,这与王馨等[25]的研究相一致。实验表明,PB NPs的光热作用通过抑制G0/G1期进程并诱导G2/M期阻滞,实现对HeLa细胞周期的特异性调控。
图 8
图 8. (a) HeLa细胞在20 μg·mL-1 PB NPs、不同功率密度激光(808 nm)作用下的细胞周期; (b) G0/G1和G2/M期周期的细胞比例Figure 8. (a) Cell cycles of HeLa cells treated with 20 μg·mL-1 PB NPs under laser irradiation (808 nm) at different power densities; (b) Ratios of cells in G0/G1 and G2/M phases of the cell cycle** represents the comparison with the corresponding control group, p < 0.01.
图 9
图 9. HeLa细胞在0.2 W·cm-2激光(808 nm)、不同PB NPs质量浓度作用下的细胞周期; (b) G0/G1和G2/M期周期的细胞比例Figure 9. (a) Cell cycles of HeLa cells treated with different mass concentrations of PB NPs under laser irradiation (808 nm) at 0.2 W·cm-2; (b) Ratios of cells in G0/G1 and G2/M phases of the cell cycle** represents the comparison with the corresponding control group, p < 0.01.
2.3.6 细胞内ROS实验
ROS检测试剂盒检测结果如图 10所示,HeLa细胞在PB NPs对照组和激光对照组的培养条件下,只检测到了极低的ROS含量,表现为DCF的荧光量在初始值的1.5倍以下。然而,当PB NPs和激光共同作用时,细胞内的ROS迅速上升,其中在0.3 W·cm-2激光、20 μg·mL-1 PB NPs条件下细胞内ROS生成量上升11.5倍,在0.2 W·cm-2、20 μg·mL-1条件下细胞内的ROS生成量也上升10.3倍。由此可以看出,HeLa细胞在PB NPs和激光的共同作用下,可以诱导产生对细胞生存不利的ROS。
图 10
图 10. HeLa细胞在(a) 不同功率密度激光(20 μg·mL-1 PB NPs)和(b) 不同PB NPs质量浓度(0.2 W·cm-2激光)条件下产生的ROS检测Figure 10. Detection of ROS generated by HeLa cells under (a) different laser power densities (20 μg·mL-1 PB NPs) and (b) various PB NPs mass concentrations (0.2 W·cm-2 laser)λlaser=808 nm; ** represents the comparison with the corresponding control group, p < 0.01.
热疗常常会引起ROS的增加,尤其是羟自由基。同时,脂质过氧化增多、酶活性下降,各种高反应态下的自由基破坏细胞并启动细胞信号通路,改变基因的表达[26]。因此,检测细胞内的ROS对探究PB NPs的光热毒理具有非常重要的意义。ROS检测表明,PB NPs与808 nm激光的共同作用可使HeLa细胞内ROS表达量上升11.5倍,证明细胞内发生了氧化应激,细胞受到热刺激之后,引起氧化还原环境失衡,导致ROS的累积。根据Arrhenius公式可知,具有近红外吸收的纳米酶可以有效地将光能转化为热能以提高体系的温度,从而加速催化反应[27-28]。PB NPs作为一种良好的光热试剂和H2O2响应的纳米酶,不仅可以用于光热治疗[29-30],还可以作为Fenton反应的催化剂,促使Fe2+和H2O2反应生成羟自由基;随PB NPs浓度增加,铁离子释放增多,增强ROS的产生,导致肿瘤细胞线粒体不可逆转的破坏和DNA链断裂,从而杀死癌细胞[31-32]。PB NPs在激光的照射下,其吸收的光能被转换成热能,导致局部温度迅速升高。这种过高的热刺激也可能使细胞膜受损、蛋白质变性以及DNA损伤,引起线粒体结构和功能的破坏,表现为细胞内ROS骤增,同时大量的ROS破坏本身原有的氧化还原环境,还可能导致细胞内细胞色素c的大量释放、ATP的大量消耗、正常细胞周期受到阻滞等现象[33-35]。ROS既可以作为细胞损伤的重要信使参与普遍性细胞损伤,同时也可能导致细胞凋亡相关蛋白如Caspase家族蛋白的产生以及引起热休克蛋白的产生,最终导致细胞的凋亡和坏死现象[36]。
3. 结论
本研究成功制备了立方体结构的PB NPs,其具有优异的光热转换效率和稳定性。实验证实PB NPs对HeLa细胞的光热毒性具有浓度和激光功率依赖性:在50 μg·mL-1和0.2 W·cm-2条件下细胞存活率降至24.2%。机制研究表明,在激光照射条件下PB NPs通过破坏细胞膜完整性、诱导ROS迅速产生以及引发G2/M期阻滞等途径协同杀伤肿瘤细胞。这一研究为PB NPs在宫颈癌光热治疗中的应用提供了理论依据,并展示了其在肿瘤治疗中的广阔前景。未来研究可进一步探索PB NPs在分子信号通路中的作用机制,以优化其治疗效果。
-
-
[1]
BRAY F, LAVERSANNE M, SUNG H, Ferlay J, Siegel R L, Soerjomataram I, Jemal A. Global cancer statistics 2022: GLOBOCAN estimates of incidence and mortality worldwide for 36 cancers in 185 countries[J]. CA‒Cancer J. Clin., 2024, 74(3): 229-263. doi: 10.3322/caac.21834
-
[2]
DASH S R, KUNDU C N. Photothermal therapy: A new approach to eradicate cancer[J]. Curr. Nanosci., 2022, 18(1): 31-47. doi: 10.2174/1573413717666210301112058
-
[3]
LI X S, LOVELL J F, YOON J. Clinical development and potential of photothermal and photodynamic therapies for cancer[J]. Nat. Rev. Clin. Oncol., 2020, 17(11): 657-674. doi: 10.1038/s41571-020-0410-2
-
[4]
朱, 熊, 杜, 马, 张, 努尔尼沙·阿力甫. 近红外荧光-光热纳米粒子在宫颈癌光热治疗中的应用研究[J]. 中国生物医学工程学报, 2024,43,(4): 499-507. ZHU L J, XIONG J B, DU Z, MA R, ZHANG X L, NUERNISHA A. Application of near-infrared fluorescence-photothermal nanoparticles in photothermal therapy for cervical cancer[J]. Chinese Journal of Biomedical Engineering, 2024, 43(4): 499-507.
-
[5]
顾, 朱, 熊, 努尔尼沙·阿力甫. 普鲁士蓝纳米粒子在生物医学诊疗中的应用[J]. 中国医学物理学杂志, 2023,40,(9): 1161-1166. GU Y L, ZHU J Y, XIONG J B, NUERNISHA A. Application of Prussian blue nanoparticles in biomedical diagnosis and therapy[J]. Chinese Journal of Medical Physics, 2023, 40(9): 1161-1166.
-
[6]
GAO X R, WANG Q W, CHENG C, LIN S J, LIN T, TING LIN, LIU C, HAN X. The application of Prussian blue nanoparticles in tumor diagnosis and treatment[J]. Sensors, 2020, 20(23): 1-22. doi: 10.1109/JSEN.2020.3032359
-
[7]
FU G L, LIU W, FENG S S, YUE X L. Prussian blue nanoparticles operate as a new generation of photothermal ablation agents for cancer therapy[J]. Chem. Commun., 2012, 48(94): 11567. doi: 10.1039/c2cc36456e
-
[8]
张书鹏, 程友星, 任磊, 文凯, 吕晓林, 叶社房, 周樨. 不同形貌普鲁士蓝纳米粒子的合成及光热性能[J]. 高等学校化学学报, 2018,39,(2): 359-366. ZHANG S P, CHENG Y X, REN L, WEN K, Lü X L, YE S F, ZHOU X. Synthesis and photothermal properties of morphology-controlled Prussian blue nanoparticles[J]. Chem. J. Chinese Universities, 2018, 39(2): 359-366.
-
[9]
TANG K Y, LI X, HU Y L, ZHANG X N, NAN L, QIANG F, SHAO J J, LI S K, XIU W J, SONG Y N, YANG D L, ZHANG J J. Recent advances in Prussian blue-based photothermal therapy in cancer treatment[J]. Biomater. Sci., 2023, 11(13): 4411-4429. doi: 10.1039/D3BM00509G
-
[10]
HUANG Y F, SEFAH K, BAMRUNGSAP S, CHANG H T, TAN W. Selective photothermal therapy for mixed cancer cells using aptamer-conjugated nanorods[J]. Langmuir, 2008, 24(20): 11860-11865. doi: 10.1021/la801969c
-
[11]
刘涛, 田钰婷, 高珂, 韩旭炜, 闵薷楠, 赵文静, 阴彩霞. 一种用于肿瘤治疗的高光热转换效率和高稳定性的光热剂[J]. 无机化学学报, 2024,40,(8): 1622-1632. doi: 10.11862/CJIC.20240107LIU T, TIAN Y T, GAO K, HAN X W, MIN R A, ZHAO W J, YIN C X. A photothermal agent with high photothermal conversion efficiency and high stability for cancer therapy[J]. Chinese J. Inorg. Chem., 2024, 40(8): 1622-1632. doi: 10.11862/CJIC.20240107
-
[12]
TIAN Q W, JIANG F R, ZOU R J, LIU Q, CHEN Z G, ZHU M F, YANG S P, WANG J L, WANG J H, HU J Q. Hydrophilic Cu9S5 nanocrystals: A photothermal agent with a 25.7% heat conversion efficiency for photothermal ablation of cancer cells in vivo[J]. ACS Nano, 2011, 5(12): 9761-9771. doi: 10.1021/nn203293t
-
[13]
KE H T, WANG J R, DAI Z F, JIN Y S, QU E Z, XING Z W, GUO C X, YUE X L, LIU J B. Gold-nanoshelled microcapsules: A theranostic agent for ultrasound contrast imaging and photothermal therapy[J]. Angew. Chem.‒Int. Edit., 2011, 50(13): 3017-3021. doi: 10.1002/anie.201008286
-
[14]
张小漫, 李佳怡, 马泵, 李宝生, 石林林, 高社干. 普鲁士蓝纳米颗粒对食管鳞状细胞癌的光热治疗作用及机制研究[J]. 中华肿瘤防治杂志, 2025,32,(14): 850-861. ZHANG X M, LI J Y, MA B, LI B S, SHI L L, GAO S G. Photothermal therapy effect and mechanism of Prussian blue nanoparticles on esophageal squamous cell carcinoma[J]. Chinese Journal of Cancer Prevention and Treatment, 2025, 32(14): 850-861.
-
[15]
ESTELRICH J, BUSQUETS M. Prussian Blue: A nanozyme with versatile catalytic properties[J]. Int. J. Mol. Sci., 2021, 22(11): 5993. doi: 10.3390/ijms22115993
-
[16]
王青, 刘学, 孙亚娟, 杨成. 负载普鲁士蓝的CoOOH纳米片用于抗氧化活性检测的研究[J]. 现代化工, 2023,43,(2): 234-238. WANG Q, LIU X, SUN Y J, YANG C. Prussian blue-loaded CoOOH nanosheets for antioxidant activity detection[J]. Modern Chemical Industry, 2023, 43(2): 234-238.
-
[17]
贝颖, 李文靖, 李美运, 苏梦, 张津, 黄玉, 朱彦兆, 李嘉丽, 武艳. 普鲁士蓝纳米颗粒促进糖尿病皮肤创面愈合[J]. 中国组织工程研究, 2024,28,(10): 1526-1532. BEI Y, LI W J, LI M Y, SU M, ZHANG J, HUANG Y, ZHU Y Z, LI J L, WU Y. Prussian blue nanoparticles promote diabetic skin wound healing[J]. Chinese Journal of Tissue Engineering Research, 2024, 28(10): 1526-1532.
-
[18]
叶佳佳, 张武翔, 倪建聪, 胡世荣. Fe-Co普鲁士蓝比色法检测过氧化氢和谷胱甘肽[J]. 闽南师范大学学报(自然科学版), 2024,37,(2): 52-63. YE J J, ZHANG W X, NI J C, HU S R. Detection of hydrogen peroxide and glutathione by Fe-Co Prussian blue colorimetric method[J]. Journal of Minnan Normal University (Natural Science Edition), 2024, 37(2): 52-63.
-
[19]
ZENG X M, YAN S G, CHEN P, DU W, LIU B F. Modulation of tumor microenvironment by metal-organic-framework-derived nanoenzyme for enhancing nucleus-targeted photodynamic therapy[J]. Nano Res., 2020, 13(6): 1527-1535. doi: 10.1007/s12274-020-2746-4
-
[20]
赵琪, 刘庄. 基于纳米生物材料的肿瘤乏氧调控与放疗增效研究进展[J]. 肿瘤防治研究, 2021,48,(2): 109-114. ZHAO Q, LIU Z. Research progress on tumor hypoxia regulation and radiotherapy enhancement based on nano-biomaterials[J]. Cancer Research on Prevention and Treatment, 2021, 48(2): 109-114.
-
[21]
肖俊娟, 李岩, 梁婧. 乏氧微环境与肿瘤免疫应答[J]. 国际肿瘤学杂志, 2017,44,(1): 31-33. XIAO J J, LI Y, LIANG J. Hypoxic microenvironment and tumor immune response[J]. Journal of International Oncology, 2017, 44(1): 31-33.
-
[22]
PARK J E, DUTTA B, TSE S W, GUPTA N, TAN C F, LOW J K, YEOH K W, KON O L, TAM J P, SZE S K. Hypoxia-induced tumor exosomes promote M2-like macrophage polarization of infiltrating myeloid cells and microRNA-mediated metabolic shift[J]. Oncogene, 2019, 38(26): 5158-5173. doi: 10.1038/s41388-019-0782-x
-
[23]
YU C, ZHOU Z G, WANG J, SUN J, LIU W, SUN Y N, KONG B, YANG H, YANG S P. In depth analysis of apoptosis induced by silica coated manganese oxide nanoparticles in vitro[J]. J. Hazard. Mater., 2014, 283: 519-528.
-
[24]
PANAGOPOULOS A, ALTMEYER M. The hammer and the dance of cell cycle control[J]. Trends Biochem. Sci., 2021, 46(4): 301-314. doi: 10.1016/j.tibs.2020.11.002
-
[25]
王馨, 陈姝彤, 侯宗昊, 杨蕊, 张若文. 姜黄素对前列腺癌细胞增殖、侵袭及细胞周期的影响[J]. 北华大学学报(自然科学版), 2024,25,(6): 770-775. WANG X, CHEN S T, HOU Z H, YANG R, ZHANG R W. The effects of curcumin on prostate cancer cell proliferation, invasion, and cell cycle[J]. Journal of Beihua University(Natural Science Edition), 2024, 25(6): 770-775.
-
[26]
WANG C, ZHOU H M, KURBONIYON M S, TANG Y P, CAI Z M, NING S F, ZHANG L T, LIANG X Q. Chemodynamic PtMn nanocubes for effective photothermal ROS storm a key anti-tumor therapy in-vivo[J]. Int. J. Nanomed., 2024, 19: 5045-5056. doi: 10.2147/IJN.S455936
-
[27]
LI S S, SHANG L, XU B L, WANG S H, GU K, WU Q Y, SUN Y, ZHANG Q H, YANG H L, ZHANG F R, GU L, ZHANG T R, LIU H Y. A nanozyme with photo‐enhanced dual enzyme‐like activities for deep pancreatic cancer therapy[J]. Angew. Chem.‒Int. Edit., 2019, 58(36): 12624-12631. doi: 10.1002/anie.201904751
-
[28]
ZHAO Y Y, YANG J, SHAN G, LIU Z Y, CUI A N, WANG A L, CHEN Y W, LIU Y C. Photothermal-enhanced tandem enzyme-like activity of Ag2-xCuxS nanoparticles for one-step colorimetric glucose detection in unprocessed human urine[J]. Sens. Actuator B‒Chem., 2020, 305: 127420. doi: 10.1016/j.snb.2019.127420
-
[29]
ZHANG W X, LI W Y, SHU Y, WANG J H. Manganese-enriched Prussian blue nanohybrids with smaller electrode potential and lower charge transfer resistance to enhance combination therapy[J]. Colloid Surf. B‒Biointerfaces, 2024, 241: 114045. doi: 10.1016/j.colsurfb.2024.114045
-
[30]
YAO J L, QIU Y, XING J, LI Z H, ZHANG A, TU K, PENG M J, WU X X, YANG F, WU A. Highly-efficient gallium-interference tumor therapy mediated by gallium-enriched Prussian blue nanomedicine[J]. ACS Nano, 2024, 18(7): 5556-5570.
-
[31]
LIU Y, QUAN X, LI J, HUO J W, LI X, ZHAO Z P, LI S M, WAN J, LI J, LIU S, WANG T, ZHANG X, GUAN B, WEN R, ZHAO Z W, WANG C R, BAI C L. Liposomes embedded with PEGylated iron oxide nanoparticles enable ferroptosis and combination therapy in cancer[J]. Natl. Sci. Rev., 2023, 10(1): 246-258.
-
[32]
WANG P F, SUN S H, BAI G S, ZHANG R Q, LIANG F, ZHANG Y Z. Nano-sized Prussian blue and its analogs for bioimaging and cancer theranostics[J]. Acta Biomater., 2024, 176: 77-98. doi: 10.1016/j.actbio.2023.12.047
-
[33]
ZHANG Y J, FENG Y Y, HUANG Y Q, WANG Y F, QIU L, LIU Y L, PENG S S, LI R, KUANG N Z, SHI Q F, SHI Y M, CHEN Y J, JOSHI R, WANG Z G, YUAN K, MIM W P. Tumor-targeted gene silencing IDO synergizes PTT-induced apoptosis and enhances anti-tumor immunity[J]. Front. Immunol., 2020, 11: 968. doi: 10.3389/fimmu.2020.00968
-
[34]
TAO L, FU R, WANG X P. LL-202, A newly synthesized flavonoid, inhibits tumor growth via inducing G2/M phase arrest and cell apoptosis in MCF-7 human breast cancer cells in vitro and in vivo[J]. Toxicol. Lett., 2014, 228(1): 1-12. doi: 10.1016/j.toxlet.2014.04.002
-
[35]
MUENYI C S, TRIVEDI A P, HELM C W, STATES J C. Cisplatin plus sodium arsenite and hyperthermia induces pseudo-G1 associated apoptotic cell death in ovarian cancer cells[J]. Toxicol. Sci., 2014, 139(1): 74-82. doi: 10.1093/toxsci/kfu029
-
[36]
XIE M Z, GONG T J, WANG Y T, LI Z Z, LU M X, LUO Y, MIN L, TU C Q, ZHANG X D, ZENG Q, ZHOU Y. Advancements in photothermal therapy using near-infrared light for bone tumors[J]. Int. J. Mol. Sci., 2024, 25(8): 4139. doi: 10.3390/ijms25084139
-
[1]
-
图 1 PB NPs的表征: (a、b) TEM图(插图: 粒径分布); (c) 电子衍射图; (d) SEM图; (e) PXRD图; (f) 红外谱图; (g) 紫外可见吸收谱图; (h) 水合半径粒径追踪
Figure 1 Characterization of PB NPs: (a, b) TEM image (inset: particle size distribution); (c) electron diffraction pattern; (d) SEM image; (e) PXRD pattern; (f) IR spectrum; (g) UV-Vis absorption spectrum; (h) hydrated particle radius tracking
图 2 PB NPs的光热性能: (a) 以808 nm激光(1 W·cm-2, 10 min)照射时, 不同质量浓度的PB NPs溶液的温度变化曲线; (b) 25 μg·mL-1 PB NPs溶液的光热循环实验; (c) 25 μg·mL-1 PB NPs溶液的加热和冷却曲线; (d) t vs -ln θ的拟合直线
Figure 2 Photothermal performance of PB NPs: (a) temperature variation curves of PB NPs solutions at different mass concentrations under irradiation with an 808 nm laser (1 W·cm-2, 10 min); (b) photothermal cycling experiment of 25 μg·mL-1 PB NPs solution; (c) heating and cooling curves of 25 μg·mL-1 PB NPs solution; (d) linear fit of t vs -ln θ
图 6 (a) HeLa细胞在50 μg·mL-1 PB NPs、不同功率密度激光(808 nm)作用下的流式双染色图; (b) 凋亡细胞的比例
Figure 6 (a) Flow-cytometric dual-staining plots of HeLa cells treated with 50 μg·mL-1 PB NPs and irradiated at different laser power densities (808 nm); (b) Proportion of apoptotic cells
** represents the comparison with the corresponding control group, p < 0.01.
图 7 (a) HeLa细胞在0.2 W·cm-2激光(808 nm)、不同PB NPs质量浓度作用下的流式双染色图; (b) 凋亡细胞的比例
Figure 7 (a) Flow-cytometric dual-staining plots of HeLa cells treated with different mass concentrations of PB NPs and irradiated at 0.2 W·cm-2 laser (808 nm); (b) Proportion of apoptotic cells
** represents the comparison with the corresponding control group, p < 0.01.
图 8 (a) HeLa细胞在20 μg·mL-1 PB NPs、不同功率密度激光(808 nm)作用下的细胞周期; (b) G0/G1和G2/M期周期的细胞比例
Figure 8 (a) Cell cycles of HeLa cells treated with 20 μg·mL-1 PB NPs under laser irradiation (808 nm) at different power densities; (b) Ratios of cells in G0/G1 and G2/M phases of the cell cycle
** represents the comparison with the corresponding control group, p < 0.01.
图 9 HeLa细胞在0.2 W·cm-2激光(808 nm)、不同PB NPs质量浓度作用下的细胞周期; (b) G0/G1和G2/M期周期的细胞比例
Figure 9 (a) Cell cycles of HeLa cells treated with different mass concentrations of PB NPs under laser irradiation (808 nm) at 0.2 W·cm-2; (b) Ratios of cells in G0/G1 and G2/M phases of the cell cycle
** represents the comparison with the corresponding control group, p < 0.01.
图 10 HeLa细胞在(a) 不同功率密度激光(20 μg·mL-1 PB NPs)和(b) 不同PB NPs质量浓度(0.2 W·cm-2激光)条件下产生的ROS检测
Figure 10 Detection of ROS generated by HeLa cells under (a) different laser power densities (20 μg·mL-1 PB NPs) and (b) various PB NPs mass concentrations (0.2 W·cm-2 laser)
λlaser=808 nm; ** represents the comparison with the corresponding control group, p < 0.01.
-
扫一扫看文章
计量
- PDF下载量: 3
- 文章访问数: 816
- HTML全文浏览量: 88

下载:
下载: