Fluorescent coordination polymers based on anthracene-and pyrene-derivative ligands

Jiming XI Yukang TENG Rui ZHANG Zhenzhong LU

Citation:  Jiming XI, Yukang TENG, Rui ZHANG, Zhenzhong LU. Fluorescent coordination polymers based on anthracene-and pyrene-derivative ligands[J]. Chinese Journal of Inorganic Chemistry, 2025, 41(5): 847-854. doi: 10.11862/CJIC.20240367 shu

基于蒽和芘衍生物配体的荧光配位聚合物

    通讯作者: 张锐, chemzr@126.com
摘要: 本文报道了5种基于蒽和芘配体[1, 6-二(1H-咪唑-1-基)芘(dip)和9, 10-二(1H-咪唑-1-基)蒽(dia)]和阴离子配体[环己烷-1, 4-二羧酸(H2cda)和樟脑酸(H2cpa)]的配位聚合物。在{[Cd (dip)(cda)]·4H2O}n (1)中, Cd2+离子作为四面体节点, 通过dip和cda2-配体与4个Cd2+离子连接形成五重相互穿插的网络, 为dia拓扑结构。在{[Cd (dip)(cpa)]·4H2O}n (2)中, Cd2+离子作为4-连接体, 通过cpa2-和dip配体连接到cds拓扑结构的3D框架中。在{[Ni (dia)2Cl2]·DMF}n (3)中, Ni2+离子被4个dia配体连接成层状结构, 形成了横截面为1.35 nm×0.96 nm的1D通道。在{[Cd (dia)2(H2O)2](NO3)2·2DMSO}n (4)中, dia配体将Cd2+离子连接成二维层, 相邻层之间形成一维通道, 横截面为0.87 nm×0.43 nm。在[Zn (dip) Cl2]n (5)中, Zn2+原子通过dip配体连接成无限一维链。收集并分析了这些配位聚合物的红外、热重和荧光发射数据。

English

  • Coordination polymers (CPs) are a new class of solids consisting of metal-based nodes (single ions or clusters) bridged by organic linking groups, which have attracted much attention due to their excellent pros-pects in many applications, such as luminescence, car-bon capture, and heterogeneous catalysis[1-4]. Fluores-cent CPs showed prospects in many applications such as sensing and detecting[5], light-emitting diode[6-7], up-conversion luminescence[8], and bioimaging[9].

    Using organic ligands that can form strong metal-ligand bonds and exhibit highly fluorescent emissions is one strategy for building fluorescent CPs. Anthra-cene and pyrene derivatives[10] and anthracene and pyrene-based CPs showed interesting prospects in met-al ions sensing[11-12], optical properties modulation[13-14], CO2 reduction[15-16], and fluorophores in living cells[17], etc. Fluorescent properties of those functional CPs were enhanced by using ligands containing polycyclic aro-matic moiety of large conjugated systems.

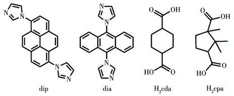
    We designed two highly fluorescent organic ligands based on anthracene or pyrene, 1, 6-di(1H-imidazol-1-yl)pyrene (dip) and 9, 10-di(1H-imidazol-1-yl)anthra-cene (dia), and synthesized five CPs using transitional metals, dip/dia, and anionic ligands [cyclohexane-1, 4-dicarboxylic acid (H2cda) and camphoric acid (H2cpa)] (Scheme 1). We herein report the synthesis, structures, thermal stability, and fluorescent properties of these CPs.

    Scheme 1

    Scheme 1.  Organic ligands used in this work

    Both dia and dip ligands were synthesized follow-ing reported procedures[18-19]. All reagents and solvents for the synthesis and analysis were of analytical grade and were used without further purification. The NMR experiment was recorded using a Bruker Advanced Triple HD 400 Spectrometer. Powder X-ray diffraction (PXRD) data were collected over the 2θ range of 3°-50° using a Bruker Advance D8 diffractometer with Cu 1 radiation (λ=0.154 056 nm, 40 kV, 40 mA). Thermogravimetric analysis (TGA) was performed using a PerkinElmer Diamond Thermogravimetric-Differential Thermal Analysis Analyzer, and the heat-ing rate was 5 ℃·min-1. The fluorescence spectrum was recorded using a Hitachi F-4600 fluorescence spectrophotometer equipped with a plotter.

    Cd(NO3)2·4H2O (12 mg, 0.04 mmol), H2cda (8 mg, 0.04 mmol) and dip (12 mg, 0.04 mmol) were dissolved in DMF (4 mL) and H2O (4 mL). The reaction mixture was transferred into a 25 mL Teflon-lined autoclave and sealed. The reaction took place at 90 ℃ for two days and afforded yellow crystals, which were collected by filtration, and washed with fresh DMF and acetone (Yield: 60% based on dip ligand).

    Cd(NO3)2·4H2O (12 mg, 0.04 mmol), H2cpa (8 mg, 0.04 mmol), and dip (12 mg, 0.04 mmol) were dis-solved in DMF (8 mL) and H2O (2 mL). The reaction mixture was transferred into a 25 mL Teflon-lined auto-clave and sealed. The reaction took place at 90 ℃ for two days and afforded colorless crystals, which were collected by filtration, and washed with fresh DMF and acetone (Yield: 50% based on dip ligand).

    NiCl2·4H2O (8 mg, 0.04 mmol) and dia (12 mg, 0.04 mmol) were dissolved in MeOH (12 mL). Thereaction mixture was transferred into a 25 mL Teflon-lined autoclave and sealed. The reaction took place at 70 ℃ for two days and afforded green crystals, which were collected by filtration, and washed with fresh MeOH and acetone (Yield: 80% based on dia ligand).

    Cd(NO3)2·4H2O (12 mg, 0.01 mmol) and dia (12 mg, 0.04 mmol) were dissolved in DMSO (8 mL) and H2O (4 mL). The reaction mixture was transferred into a 25 mL Teflon-lined autoclave and sealed. The reac-tion took place at 120 ℃ for two days and afforded col-orless crystals, which were collected by filtration, and washed with fresh DMSO and acetone (Yield: 50 % based on dia ligand).

    ZnCl2 (2 mg, 0.01 mmol) and dip (12 mg, 0.04 mmol) were dissolved in N-methyl-2-pyrrolidone (NMP, 8 mL) and H2O (2 mL). The reaction mixture was trans-ferred into a 25 mL Teflon-lined autoclave and sealed. The reaction took place at 120 ℃ for two days and afforded colorless crystals, which were collected by filtration, and washed with fresh NMP and acetone (Yield: 50% based on dip ligand).

    The single-crystal X-ray diffraction data were collected using a Bruker SMART APEX Ⅱ diffractom-eter with molybdenum source radiation (Mo , λ=0.071 073 nm). The crystal structure was solved by the SHELXT and OLEX2 programs with intrinsic phasing and refined by the SHELXL program. All the H-atoms were generated geometrically with isotropic thermal factors. The residual electron density belonging to dis-ordered solvent molecules in complex 2 was treated with a solvent mask, and the type and amount of sol-vent molecules in the structure were estimated by con-sidering the residual electron density and TGA result. The crystal data and refinement parameters are listed in Table 1.

    Table 1

    Table 1.  Crystal structure data of CPs 1-5
    下载: 导出CSV
    Parameter 1 2 3 4 5
    Formula C60H64Cd2N8O16 C64H56Cd2N8O8 C46H42Cl2N10NiO2 C44H44CdN10O10S2 C22H14Cl2N4Zn
    Formula weight 1 377.99 1 289.96 896.50 1 049.41 470.64
    Crystal system Monoclinic Monoclinic Triclinic Triclinic Monoclinic
    Space group P21/c P21 P1 P1 P21/c
    a/nm 1.421 90(9) 0.794 90(3) 0.885 50(3) 0.877 41(7) 0.902 69(4)
    b/nm 2.533 52(16) 2.241 04(9) 1. 195 78(4) 1. 109 6(1) 1.645 63(7)
    c/nm 0.751 50(5) 1.828 50(6) 1. 197 35(4) 1.239 7(1) 1.349 68(7)
    α/(°) 111. 152(1) 82.682(3)
    β/(°) 94.481(2) 97.208(2) 100.401(1) 83.491(3) 101.777(2)
    γ/(°) 100. 175(1) 88.435(3)
    V/nm3 2.698 9(3) 3.231 6(2) 1.121 85(7) 1. 189 3(1) 1.962 7(1)
    Z 2 2 1 1 4
    F(000) 1 408 1 312 466 538 952
    μ/mm-1 0.872 0.731 0.601 0.614 1.540
    Dc/(g·cm-3) 1.696 1.474 1.327 1.465 1.593
    Rint 0.097 6 0.048 5 0.056 0 0.049 6 0.067 7
    GOF on F2 1.079 0.977 1.065 1.062 1.027
    R1 [I > 2σ(I)] 0.084 1 0.033 1 0.047 0 0.030 9 0.060 9
    wR2 [I > 2σ(I)] 0.191 7 0.071 0 0.138 0 0.084 9 0.173 2

    CP 1 crystallizes in space group P21/c. The asym-metric unit of 1 contains one Cd2+ ion, one cda2- ligand, one dip ligand, and four lattice water molecules. The Cd2+ ionis in a twisted octahedral coordination environ-ment including two N atoms from dip ligands and four O atoms from cda2- ligands (Fig. 1a). There are two dip ligands and two cda2- ligands around one Cd2+ ion. Therefore, the Cd2+ ions, acting as tetrahedral nodes, are linked with four Cd2+ ions into a diamondoid (dia) net (Fig. 1b) following the classification from RCSR (reticular chemistry structure resource)[20]. The adaman-tane cage in the dia net is distorted with maximum intra-cage dimensions of 3.27 nm×1.76 nm×1.71 nm (Fig. 1c). The spacious nature of a single dia network allows four other identical networks to penetrate, result-ing in a five-fold interpenetrating dia array (Fig. 1d). The interpenetration vector of these five nets is the c-axis. The ππ interactions formed between pyrene groups of dip ligands stabilize the interpenetrating net-works (Cg…Cg distance: 0.376 nm, Fig.S1).

    Figure 1

    Figure 1.  (a) Coordination environment of the Cd2+ ion in CP 1 with an ellipsoid probability level of 50%;(b)dia network structure in 1; (c) 3D network of topology diain 1; (d) 5-fold interpenetration in 1

    Symmetry code: A: x-1, 1.5-y, z-0.5.

    CP 2 crystallizes in space group P21. The asymmetric unit of 2 contains one Cd2+ ion, one cpa2- ligand, one dip ligand, and four lattice water molecules. The Cd2+ ionis in a twisted octahedral coordination environ-ment with two N atoms from dip ligands and four O atoms from cpa2- ligands (Fig. 2a). The cpa2- ligands link the Cd2+ ions into an infinite 1D chain along the c-axis, and the dip ligands act as a bridge to connect the infinite chain into a 3D framework (Fig. 2b). The topology of the network in 2 is cds following the classifi-cation from RCSR, where the Cd2+ ions function as a 4-connector (Fig. 2c). The ππ interactions are observed between the pyrene groups of dip ligands (Cg…Cg distance: 0.362 nm, Fig.S2).

    Figure 2

    Figure 2.  (a) Coordination environment of the Cd2+ ion in CP 2 with an ellipsoid probability level of 50%; (b) 3D network structure in 2; (c) 3D network of topology cds in 2

    Symmetry code: A: 1-x, 0.5+y, 1-z.

    CP 3 crystallizes in space group P1. The asymmet-ric unit of 3 contains one Ni2+ ion, two Cl- anions, two dia ligands, and one uncoordinated DMF molecule. The Ni2+ ion is in an octahedral coordination environ-ment with four N atoms from dia ligands in the equato-rial plane and two Cl- ions in the axial positions (Fig. 3a).

    Figure 3

    Figure 3.  (a) Coordination environment of the Ni2+ ion in CP 3 with an ellipsoid probability level of 50%; (b) 2D layer constructed by dia and Ni2+ in 3; (c) 1D tubes along the b-axis formed between adjacent layers in 3

    Symmetry code: A: 1-x, 1-y, 1-z.

    The Ni2+ ionis linked by four dia ligands with four adjacent Ni2+ ions into a layer structure (Fig. 3b). Nano-tubes are formed between adjacent layers along the b-axis with across-section of 1.35 nm×0.96 nm consid-ering van der Waals radii (Fig. 3c). The uncoordinated DMF molecules reside in the tubes. The C—H … π interactions are observed between anthracene groups of dia ligands from adjacent layers (Fig. S3), and the H … Cg(anthracene) separation is 0.263 nm.

    CP 4 crystallizes in space group P1. The asymmet-ric unit of 4 contains one Cd2+ ion, two dia ligands, two coordinated water molecules, two NO3- anions, and two DMSO molecules. The Cd2+ ionis in an octahedral coor-dination environment with four N atoms from dia ligands in the equatorial plane and two water mole-cules in the axial positions (Fig. 4a). Two NO3- ions neu-tralize the positive charge on the [Cd(dia)2(H2O)2]2+ unit.

    Figure 4

    Figure 4.  (a) Coordination environment of the Cd2+ ion in CP 4 with an ellipsoid probability level of 50%; (b) 2D layer constructed by dia and Cd2+ in 4, where DMSO molecules are shown in space-filling mode; (c) 1D tubes along the b-axis formed between adjacent layers in 4

    Symmetry code: A: 2-x, 1-y, 1-z.

    The dia ligands connect Cd2+ ions into a 2D layer (Fig. 4b). The 1D channels are formed between adjacent layers along the b-axis with across-section of 0.87 nm×0.43 nm taking van der Waals radii into consideration (Fig. 4c). There are two NO3- ions and two DMSO mole-cules in the channels.

    CP 5 crystallizes in space group P21/c. The asym-metric unit of 5 contains one Zn2+ ion, one dip ligand, and two Cl- anions. The Zn2+ ion is in a distorted tetra-hedral coordination environment including two N atoms from dip ligands and two Cl- ions (Fig. 5a). The Zn2+ ion is linked by dip ligands into an infinite 1D chain (Fig. 5b). The C—H … π interactions are observed between pyrene groups of dip ligands from adjacent lay-ers (Fig. S5), and the H…Cg(pyrene) separations range from 0.286 to 0.296 nm.

    Figure 5

    Figure 5.  (a) Coordination environment of the Zn2+ ion in CP 5 with an ellipsoid probability level of 50%; (b) Infinite 1D chain in 5

    The PXRD patterns of as-synthesized samples of CPs 1-5 fitted well with the simulated patterns from single-crystal X-ray diffraction results, and indicated that pure phase samples were obtained (Fig. 6). TGA results showed well thermal stability for the five CPs, and their decomposition temperatures were in a range of 320-450 ℃ (Fig. S6). For example, CP 1 showed a weight loss of 6% below 110 ℃ corresponding to the loss of hydrogen-bonded H2O solvent, and a weight loss after 450 ℃ corresponding to the loss of organic ligand and collapse of the polymeric structure (Fig.S6a).

    Figure 6

    Figure 6.  PXRD patterns for complexes 1-5

    Fluorescent spectra for organic ligands dia and dip in solid state and in dilute solution, and for com-plexes 1-5 in solid state were collected at room temper-ature (Fig. 7). The dia ligand in dilute DMF solution showed two peaks and a shoulder at 397, 417, and 441 nm under excitation at 365 nm, and the dia solid sam-ple showed a broad peak at 507 nm, which should be attributed to the aggregation of dia molecules in the solid state. The emission peaks of solid samples 3 and 4 were similar to dia ligand in DMF solution and red-shifted by 27 and 30 nm, respectively (424, 439, and 470 nm for 3, 427, 450, and 478 nm for 4), and the emission peaks for 3 were broadened. This observation of the emission peaks for 3 and 4 indicated that there is not much interaction involved in the organic dia ligands, which is consistent with the crystal structure analysis, while in 3 and 4, the dia ligands are well separated by metal centers and cda2- ligands.

    Figure 7

    Figure 7.  Fluorescent emissions for CPs 1-5 and ligands dip and dia

    The dip ligand in dilute DMF solution showed two peaks and a shoulder at 381, 399, and 424 nm under excitation at 365 nm, and the dip solid sample showed much broader peaks around 490 nm, which should be attributed to the aggregation of dip molecules in the sol-id state. The emission peaks of solid sample 5 were similar to dip ligand in DMF solution and red-shifted by 23 nm, respectively (404, 423, and 449 nm). Com-plexes 1 and 2 showed broad emission peaks around 473 and 504 nm. The difference in fluorescent emis-sions of solid samples 1, 2, and 5 should originate from different intermolecular interactions and packing modes of dip in these three CPs, which is consistent with the results of crystal structure analysis. In 1 and 2, there are strong π-π interactions between the anthra-cene groups (Fig. S1), while in 5, the dip ligands are well separated by metal centers.

    We reported five coordination polymers (CPs) based on highly fluorescent anthracene and pyrene-derivative ligands. In [Cd(dip) (cda)]·4H2O}n (1), the Cd2+ ions, acting as tetrahedral nodes, are linked by dip and cda2- ligands into a five-fold interpenetrating net-work array of topology of dia. In {[Cd(dip)(cpa)]·4H2O}n (2), the Cd2+ ions, acting as a 4-connector, are linked by cpa2- and dip ligands into a 3D framework of cdsto-pology. In {[Ni(dia)2Cl2]·DMF}n (3), the Ni2+ ion is linked by four dia ligands into a layer structure, and 1D channels of across-section of 1.35 nm×0.96 nm are formed. In {[Cd(dia)2(H2O)2] (NO3)2·2DMSO}n (4), the dia ligands connect Cd2+ ions into a 2D layer, and 1D channels are formed between adjacent layers with a cross-section of 0.87 nm×0.43 nm. In [Zn(dip)Cl2]n (5), the Zn2+ ion is linked by dip ligands into an infinite 1D chain. The five CPs showed good thermal stability and strong fluorescent emission, in which, 1 showed a ther-mal decomposition temperature as high as 450 ℃ and also very strong blue fluorescent emission at 473 nm.

    Supporting information is available at http://www.wjhxxb.cn


    1. [1]

      LUSTING W P, MUKHERJEE S, RUDD N D, DESAI A V, LI J, GHOSH S K. Metal-organic frameworks: Functional luminescent and photonic materials for sensing applications[J]. Chem. Soc. Rev., 2017, 46:  3242-3285. doi: 10.1039/C6CS00930A

    2. [2]

      XIAO C, TIAN J D, CHEN Q H, HONG M C. Water-stable metal-organic frameworks (MOFs): Rational construction and carbon dioxide capture[J]. Chem. Sci., 2024, 15:  1570-1610. doi: 10.1039/D3SC06076D

    3. [3]

      LIU J W, CHEN L F, CUI H, ZHANG J Y, ZHANG L, SU C Y. Appli-cations of metal-organic frameworks in heterogeneous supramolecular catalysis[J]. Chem. Soc. Rev., 2014, 43:  6011-6061. doi: 10.1039/C4CS00094C

    4. [4]

      YOU L X, REN B Y, HE Y K, WANG S J, SUN Y G, DRAGUTAN V, XIONG G, DING F. Structural features of lanthanide coordination polymers with catalytic properties[J]. J. Mol. Struct., 2024, 1304:  137687. doi: 10.1016/j.molstruc.2024.137687

    5. [5]

      ZHANG X J, WANG W J, HU Z J, WANG G N, UVDAL K. Coordina-tion polymers for energy transfer: Preparations, properties, sensing applications, and perspectives[J]. Coord. Chem. Rev., 2015, 284:  206-235. doi: 10.1016/j.ccr.2014.10.006

    6. [6]

      LIN R B, LIU S Y, YE J W, LI X Y, ZHANG J P. Photoluminescent metal-organic frameworks for gas sensing[J]. Adv. Sci., 2016, 3:  1500434. doi: 10.1002/advs.201500434

    7. [7]

      FIGYEIRA-DUARTE T M, MULLEN K. Pyrene-based materials for organic electronics[J]. Chem. Rev., 2011, 111(11):  7260-7314. doi: 10.1021/cr100428a

    8. [8]

      WU N, BO C M, GUO S W. Luminescent Ln-MOFs for chemical sens-ing application on biomolecules[J]. ACS Sens., 2024, 9(9):  4402-4424. doi: 10.1021/acssensors.4c00614

    9. [9]

      WANG H S. Metal-organic frameworks for biosensing and bioimaging applications[J]. Coord. Chem. Rev., 2017, 349:  139-155. doi: 10.1016/j.ccr.2017.08.015

    10. [10]

      FENG X, WANG X H, REDSHAW C, TANG B Z. Aggregation behaviour of pyrene-based luminescent materials, from molecular design and optical properties to application[J]. Chem. Soc. Rev., 2023, 52:  6715-6753. doi: 10.1039/D3CS00251A

    11. [11]

      HALDER R, PRASAD K, SAMANTA P K, SWAPAN P, MAJI T K. Luminescent metal-organic complexes of pyrene or anthracene chro-mophores: Energy transfer assisted amplified exciplex emission and Al3+ sensing[J]. Cryst. Growth Des., 2016, 16(1):  82-91. doi: 10.1021/acs.cgd.5b01448

    12. [12]

      罗杰伟, 赵波, 张仕禄, 贾云飞, 刘军. 以9-蒽醛为荧光基团的吡唑啉衍生物荧光探针对Fe3+和Cu2+的检测[J]. 无机化学学报, 2021,37,(3): 421-430. LUO J W, ZHAO B, ZHANG S L, JIA Y F, LIU J. Detection of Fe3+and Cu2+by fluorescence probe of pyrazoline derivatives with 9-anthralaldehyde as fluorescent group[J]. Chinese J. Inorg. Chem., 2021, 37(3):  421-430.

    13. [13]

      麻秀芳, 秘鹏飞, 鲍松松, 郑丽敏. 掺杂对铒、钕蒽基配合物的光二聚反应及光磁性能调控的影响[J]. 无机化学学报, 2024,40,(1): 270-280. MA X F, MI P F, BAO S S, ZHENG L M. Effect of doping on the photodimerization reaction and the modulation of magneto-optical properties of erbium-and neodymium-anthracene complexes[J]. Chinese J. Inorg. Chem., 2024, 40(1):  270-280.

    14. [14]

      NIE H X, ZHANG B, LIU Y M, YU M H, CHANG Z. Subtle structural engineering of a coordination polymer host for the fluorescence mod-ulation of host-guest donor-acceptor systems[J]. Inorg. Chem. Front., 2023, 10:  6229. doi: 10.1039/D3QI01417G

    15. [15]

      JENA R, RAHIMI F A, KARMAKAR S, DEY A, KALITA D, DAS T N, MAJI T K. Electron rich guest regulated enhanced CO2 reduction in a multivariate porous coordination polymer[J]. Adv. Funct. Mater., 2024, 34(46):  2407721. doi: 10.1002/adfm.202407721

    16. [16]

      HUANG Z W, HU K Q, LI X B, BIN Z N, WU Q Y, ZHANG Z H, GUO Z J, WU W S, CHAI Z F, MEI L, SHI W Q. Thermally induced orderly alignment of porphyrin photoactive motifs in metal-organic frameworks for boosting photocatalytic CO2 reduction[J]. J. Am. Chem. Soc., 2023, 145(32):  18148-18159. doi: 10.1021/jacs.3c07047

    17. [17]

      AYYAVOO K, VWLUSAMY P. Pyrene based materials as fluores-cent probes in chemical and biological fields[J]. New J. Chem., 2021, 45:  10997-11017. doi: 10.1039/D1NJ00158B

    18. [18]

      VASYLEVAKYI S I, REGET K, RUGGI A, PETOUD S, PIGUET C, FROMM K M. cis-and trans-9, 10-di(1H-imidazol-1-yl)-anthracene based coordination polymers of ZnⅡ and CdⅡ: Synthesis, crystal structures and luminescence properties[J]. Dalton Trans., 2018, 47:  596-607. doi: 10.1039/C7DT03758A

    19. [19]

      LIU T F, LV J, GUO Z G, PROSERPIO D M, CAO R. New metal-organic framework with uninodal 4-connected topology displaying interpenetration, self-catenation, and second-order nonlinear optical response[J]. Cryst. Growth Des., 2010, 10(4):  1489-1491. doi: 10.1021/cg100174h

    20. [20]

      WANG Y, GAO N N, HU J Q. Multi-responsive luminescent probe with bis-imidazolyl biphenyl and aromatic polycarboxylic acids ligands for sensing Fe3+, Cr2O72-and CrO42- in aqueous solution[J]. ChemistrySelect, 2023, 8:  e202204549. doi: 10.1002/slct.202204549

  • Scheme 1  Organic ligands used in this work

    Figure 1  (a) Coordination environment of the Cd2+ ion in CP 1 with an ellipsoid probability level of 50%;(b)dia network structure in 1; (c) 3D network of topology diain 1; (d) 5-fold interpenetration in 1

    Symmetry code: A: x-1, 1.5-y, z-0.5.

    Figure 2  (a) Coordination environment of the Cd2+ ion in CP 2 with an ellipsoid probability level of 50%; (b) 3D network structure in 2; (c) 3D network of topology cds in 2

    Symmetry code: A: 1-x, 0.5+y, 1-z.

    Figure 3  (a) Coordination environment of the Ni2+ ion in CP 3 with an ellipsoid probability level of 50%; (b) 2D layer constructed by dia and Ni2+ in 3; (c) 1D tubes along the b-axis formed between adjacent layers in 3

    Symmetry code: A: 1-x, 1-y, 1-z.

    Figure 4  (a) Coordination environment of the Cd2+ ion in CP 4 with an ellipsoid probability level of 50%; (b) 2D layer constructed by dia and Cd2+ in 4, where DMSO molecules are shown in space-filling mode; (c) 1D tubes along the b-axis formed between adjacent layers in 4

    Symmetry code: A: 2-x, 1-y, 1-z.

    Figure 5  (a) Coordination environment of the Zn2+ ion in CP 5 with an ellipsoid probability level of 50%; (b) Infinite 1D chain in 5

    Figure 6  PXRD patterns for complexes 1-5

    Figure 7  Fluorescent emissions for CPs 1-5 and ligands dip and dia

    Table 1.  Crystal structure data of CPs 1-5

    Parameter 1 2 3 4 5
    Formula C60H64Cd2N8O16 C64H56Cd2N8O8 C46H42Cl2N10NiO2 C44H44CdN10O10S2 C22H14Cl2N4Zn
    Formula weight 1 377.99 1 289.96 896.50 1 049.41 470.64
    Crystal system Monoclinic Monoclinic Triclinic Triclinic Monoclinic
    Space group P21/c P21 P1 P1 P21/c
    a/nm 1.421 90(9) 0.794 90(3) 0.885 50(3) 0.877 41(7) 0.902 69(4)
    b/nm 2.533 52(16) 2.241 04(9) 1. 195 78(4) 1. 109 6(1) 1.645 63(7)
    c/nm 0.751 50(5) 1.828 50(6) 1. 197 35(4) 1.239 7(1) 1.349 68(7)
    α/(°) 111. 152(1) 82.682(3)
    β/(°) 94.481(2) 97.208(2) 100.401(1) 83.491(3) 101.777(2)
    γ/(°) 100. 175(1) 88.435(3)
    V/nm3 2.698 9(3) 3.231 6(2) 1.121 85(7) 1. 189 3(1) 1.962 7(1)
    Z 2 2 1 1 4
    F(000) 1 408 1 312 466 538 952
    μ/mm-1 0.872 0.731 0.601 0.614 1.540
    Dc/(g·cm-3) 1.696 1.474 1.327 1.465 1.593
    Rint 0.097 6 0.048 5 0.056 0 0.049 6 0.067 7
    GOF on F2 1.079 0.977 1.065 1.062 1.027
    R1 [I > 2σ(I)] 0.084 1 0.033 1 0.047 0 0.030 9 0.060 9
    wR2 [I > 2σ(I)] 0.191 7 0.071 0 0.138 0 0.084 9 0.173 2
    下载: 导出CSV
  • 加载中
计量
  • PDF下载量:  1
  • 文章访问数:  797
  • HTML全文浏览量:  53
文章相关
  • 发布日期:  2025-05-10
  • 收稿日期:  2024-10-13
  • 修回日期:  2025-03-31
通讯作者: 陈斌, bchen63@163.com
  • 1. 

    沈阳化工大学材料科学与工程学院 沈阳 110142

  1. 本站搜索
  2. 百度学术搜索
  3. 万方数据库搜索
  4. CNKI搜索

/

返回文章