SnCl2界面修饰全无机CsPbBr3钙钛矿太阳能电池的制备

殷逍遥 朱文昊 施谱垚 李宗盛 王艺超 朱能敏 汪杨 孙伟海

引用本文: 殷逍遥, 朱文昊, 施谱垚, 李宗盛, 王艺超, 朱能敏, 汪杨, 孙伟海. SnCl2界面修饰全无机CsPbBr3钙钛矿太阳能电池的制备[J]. 无机化学学报, 2025, 41(3): 469-479. doi: 10.11862/CJIC.20240309 shu
Citation:  Xiaoyao YIN, Wenhao ZHU, Puyao SHI, Zongsheng LI, Yichao WANG, Nengmin ZHU, Yang WANG, Weihai SUN. Fabrication of all-inorganic CsPbBr3 perovskite solar cells with SnCl2 interface modification[J]. Chinese Journal of Inorganic Chemistry, 2025, 41(3): 469-479. doi: 10.11862/CJIC.20240309 shu

SnCl2界面修饰全无机CsPbBr3钙钛矿太阳能电池的制备

    通讯作者: 孙伟海, E-mail:sunweihai@hqu.edu.cn
  • 基金项目:

    国家自然科学基金 61804058

    华侨大学中青年教师科研提升资助计划 ZQN-706

摘要: 为了解决全无机CsPbBr3钙钛矿太阳能电池中严重的载流子非辐射复合现象限制其光电转换效率提升的问题,通过在TiO2电子传输层表面旋涂质量浓度为1.5 mg·mL-1的SnCl2溶液来有效改善钙钛矿薄膜的结晶性和表面形貌,从而降低光生载流子的非辐射复合,提高载流子的提取和传输能力。实验结果表明,通过对TiO2表面施加SnCl2进行修饰后,器件最高开路电压(open-circuit voltage,VOC)达到1.59 V,短路电流密度(short circuit current density,JSC)达到7.62 mA·cm-2,同时获得了81.35%的填充因子(fill factor,FF),光电转换效率(photoelectric conversion efficiency,PCE)也从8.01%提高至9.92%。

English

  • 钙钛矿太阳能电池(perovskite solar cells,PSCs)作为光伏领域的新兴技术在近年来取得了显著的进展[1]。其构成材料具有载流子扩散长度较长[2]、复合率较低[3]和光吸收能力显著[4]等优势。该类太阳能电池的光电转换效率在近几年迅速提升,从最初的3.8%[5]提升到目前的26.1%[6]。然而,钙钛矿吸收层的主要成分——甲胺(MA+)、甲脒(FA+)等有机阳离子[7],容易受到环境中水、氧气和温度的影响,导致PSCs的光活性层发生不可逆的降解,进而难以维持其稳定性[8]。为了解决这一问题,研究者通过采用Cs+等无机阳离子替代有机阳离子,成功地提高了PSCs的稳定性[9],此类PSCs被称为全无机PSCs。在全无机PSCs中,用于制备钙钛矿吸光层的材料通常为CsPbX3(X一般为I、Br或混合卤族元素)[10]。其中无空穴传输层的全无机CsPbBr3 PSCs由于其低成本及优异的湿、热稳定性[11]和载流子传输特性[12],在近几年备受关注。PSCs中存在多个功能层,包括电子传输层(electron transport layer,ETL)、钙钛矿吸光层(perovskite absorption layer)、空穴传输层(hole transport layer,HTL)和顶部电极[13],这些层级间界面存在的缺陷或能级不匹配问题直接影响了载流子的复合过程[14]。因此,采用合理的界面修饰手段能够有效地降低界面处的缺陷密度[15],提高电子的收集效率[16],提升钙钛矿薄膜的结晶性[17],进而增强太阳能电池的光电转换性能。

    在过去数年,许多科研工作者通过不同的界面修饰手段对ETL进行优化,使得全无机PSCs性能不断提高。Cui等使用氨硅氟化物(ASF)对TiO2 ETLs/CsPbBr3钙钛矿界面进行修饰。ASF通过与硅氟化阴离子结合减少了TiO2表面的氧空位缺陷,并通过偶极效应调整了TiO2的能级,使界面带隙差异最小化,从而促进了电子的提取并减少了能量损失,最终实现了更高的光电转换效率(10.08%)[18]。Cao等通过使用Sr2+改性TiO2层,在典型的FTO/TiO2/CsPbBr3/碳结构的PSCs中将导带偏移(conduction band offset,CBO)值从0.94 eV降低到0.81 eV。Sr2+改性TiO2层有助于高效地从钙钛矿吸光层中提取电子,同时抑制PSCs中的载流子复合。最终,仅仅采用Sr2+改性TiO2层,PSCs的光电转换效率就从5.92%提高到了7.22%[19]。Wang等使用碳量子点(CQDs)和磷量子点(PQDs)分别修饰了TiO2/CsPbBr3和CsPbBr3/碳界面的全无机CsPbBr3 PSCs。通过设置中间能级,电子和空穴的提取能力得到了显著增强,优化后的PSCs实现了7.93%的光电转换效率[20]。Zou等在平面TiO2层上引入一层双(三氟甲基磺酰基)亚胺钠(NaTFSI)以修饰TiO2 ETLs和钙钛矿之间的界面。利用NaTFSI界面层修饰TiO2 ETLs的方法,不仅可以提高钙钛矿薄膜的结晶性,降低钙钛矿薄膜的非辐射复合损失,还能优化ETL表面的能级结构,使其与钙钛矿的能级更加匹配,从而加速电子在界面间的提取和传输效率。最后,通过优化NaTFSI界面层,实现了PSCs光电转换效率从18.62%至19.83%的显著提高[21]

    TiO2等常见的ETL材料常常面临着电子迁移率低以及载流子复合现象严重等问题,上述界面修饰手段为解决此类问题提供了一些思路。基于此,我们通过在TiO2 ETL/CsPbBr3界面旋涂不同质量浓度的SnCl2溶液对TiO2界面进行改性。实验表明,1.5 mg·mL-1的SnCl2溶液作用效果最佳,能够显著减少CsPbBr3钙钛矿薄膜中的杂相,提升薄膜质量,抑制因薄膜孔洞导致的非辐射复合,从而提高载流子的提取与传输能力,使光电转换效率(photoelectric conversion efficiency,PCE)从原来的8.01%提升至9.92%,器件最高开路电压(open-circuit voltage,VOC)达到了1.59 V,对应的短路电流密度(short circuit current density,JSC)和填充因子(fill factor,FF)分别为7.62 mA·cm-2和81.35%。

    氟掺杂氧化铟锡(fluorine-doped tin oxide,FTO)导电玻璃(15 Ω·cm-2)、溴化铯(CsBr,99.999%)、溴化铅(PbBr2,99.999%)均购买自辽宁优选科技有限公司。NN-二甲基甲酰胺(NN-dimethylformamide,DMF,99.8%)、无水乙醇(C2H5OH,AR)、正丁醇(C4H9OH,AR)、丙酮(CH3COCH3,AR)、异丙醇(C3H8O,IPA,AR)均购买自上海国药集团化学试剂有限公司。二水合氯化亚锡(SnCl2·2H2O,99.99%)、四氯化钛(TiCl4,99.9%)均购买自阿拉丁生化科技股份有限公司。导电碳浆(DD-10)购买自上海迈拓崴化工新材料科技有限公司。除非特别说明,所有试剂无须进一步纯化即可直接使用。

    TiCl4前驱液的配制:将400 mL冰镇后的去离子水置于冰水浴中搅拌,同时将9 mL TiCl4以均匀的速度逐滴滴入去离子水中,滴加完成后继续冰水浴搅拌5 min,配制成0.2 mmol·mL-1的TiCl4前驱液。

    SnCl2溶液的配制:按比例在分析天平上称取一定质量的二水合氯化亚锡溶解在去离子水中,冰水浴超声10 min,配制成不同质量浓度的SnCl2溶液备用。

    PbBr2溶液的配制:在氮气氛围的手套箱中称取6.06 g PbBr2固体于18 mL DMF中,100 ℃磁力搅拌至完全溶解,配制成1 mol·L-1的PbBr2溶液。

    CsBr溶液的配制:用分析天平称取2.489 9 g CsBr固体于9.6 mL去离子水和0.4 mL正丁醇混合溶剂中,在室温避光条件下溶解后,冰水浴超声20 min,配制成1.17 mol·L-1的CsBr溶液备用。

    首先,使用激光刻蚀机对FTO导电玻璃进行双面刻蚀,接着使用清洁剂将玻璃清洗2遍。用去离子水冲洗掉残留的清洁剂后,将玻璃依次使用足量去离子水、丙酮、无水乙醇超声清洗20 min后烘干。挑选合适数量的玻璃于培养皿中,使用紫外臭氧机清洗20 min后放入等离子清洗机中清洗6 min。随后,倒入配制好的TiCl4前驱液至培养皿容量的2/3处,将清洗好的玻璃放入培养皿中,封上保鲜膜并扎孔后放入恒温鼓风干燥箱中70 ℃沉积35~40 min。沉积后的玻璃依次经去离子水、无水乙醇清洗,然后经匀胶机甩干,置于100 ℃热台上退火5 min。接着将其放入马弗炉中以500 ℃煅烧60 min以形成TiO2薄膜。待玻璃冷却后分别将120 μL的0、1、1.5、2 mg·mL-1的SnCl2旋涂在TiO2层表面,在180 ℃下退火30 min。接着将玻璃放入等离子清洗机中清洗3 min,然后在100 ℃预热10~15 min,再使用移液枪移取100 μL 1 mol·L-1 PbBr2的DMF溶液以2 000 r·min-1、30 s的旋涂参数旋涂在SnCl2修饰层上,随后在100 ℃下退火30 min,待玻璃冷却后再用移液枪取120 μL预先配制的1.17 mol·L-1的CsBr溶液滴加到PbBr2层表面,加载15 s后再以2 000 r·min-1、30 s的旋涂参数进行旋涂,并在250 ℃退火处理15 min。待冷却后,使用异丙醇以同样旋涂参数进行清洗并退火5 min,从而完成CsPbBr3钙钛矿薄膜的制备。将制得的器件沿垂直于导电胶方向擦去一边,置于丝网下,再将碳浆通过有图案的网版印刷于器件上,再经过120 ℃退火15 min,至此器件制备完成。

    在光强为100 W·m-2的AM 1.5G模拟光源(Newport,PVIV-94043A)下使用Keithley-2400标准系统测试得到器件的电流密度-电压(J-V)特性曲线。通过原子力显微镜(atomic force microscope,AFM)对钙钛矿薄膜形貌进行了初步表征。使用场发射扫描电子显微镜(scanning electron microscopy,SEM)在加速电压为5.0 kV、放大倍率为20 000倍的前提下对钙钛矿层表面的形貌进行了进一步表征,同时使用能量色散X射线谱仪(energy-dispersive X-ray spectroscopy,EDS)对TiO2层进行元素分析;采用X射线粉末衍射仪(Bruker D8 Advance)分析钙钛矿薄膜的晶体结构,采用Cu (λ=0.154 05 nm)辐射,工作电压为40 kV,工作电流为40 mA,扫描速度为10 (°)·min-1,扫描范围为5°~55°。通过JC2000A静滴接触角测量仪测试了TiO2界面的水接触角。使用X射线光电子能谱(X-ray photoelectron spectroscopy,XPS)分析了引入SnCl2后Sn2+的稳定性。通过德国ZAHNER公司的Zahner型电化学工作站进行电化学阻抗谱(electrochemical impedance spectra,EIS)、瞬态光电流(transient photocurrent,TPC)、瞬态光电压(transient photovoltage,TPV)、空间电荷限制电流(space charge limited current,SCLC)的测试以及使用稳态荧光分光光谱仪(Thermo Scientific Lumina LF-1303003)和时间分辨光致发光光谱仪(OmniFluo TRPL5)来探究钙钛矿层内的电荷传输和复合情况。

    通过两步旋涂法制备的钙钛矿薄膜的结晶性和形貌较差,会导致载流子传输效率降低以及器件整体性能变差。为了改善钙钛矿薄膜的结晶性以及形貌,提高TiO2界面处载流子传输能力和器件整体性能,引入SnCl2对TiO2进行界面改性。图 1展示了SnCl2界面修饰层和CsPbBr3薄膜制备流程图。

    图 1

    图 1.  SnCl2界面修饰层和CsPbBr3薄膜制备流程图
    Figure 1.  Schematical illustration of the fabrication process for SnCl2 interface modification layer and CsPbBr3 film

    为了验证SnCl2是否被成功引入到了TiO2界面上,对原始TiO2界面和经1.5 mg·mL-1 SnCl2溶液界面修饰的TiO2界面进行了EDS元素分析。图S1a、S1b(Supporting information)分别为原始TiO2界面和经1.5 mg·mL-1 SnCl2溶液处理后TiO2界面的EDS元素映射图,表 1为原始TiO2界面和经1.5 mg·mL-1 SnCl2溶液处理后TiO2界面的元素含量统计。由EDS表征结果可知,未经SnCl2处理的TiO2界面上Sn元素的原子分数为29.59%,Cl元素的原子分数为0.09%;经1.5 mg·mL-1 SnCl2溶液界面修饰的TiO2界面上Sn元素的原子分数上升至30.06%,Cl元素的原子分数上升至0.31%。通过对比可以看出,经过1.5 mg·mL-1 SnCl2溶液界面修饰的TiO2界面中Sn与Cl元素信号增强且分布均匀,证明SnCl2被成功引入到TiO2界面。

    表 1

    表 1  1.5 mg·mL-1 SnCl2溶液处理前后TiO2界面中元素的原子分数
    Table 1.  Atomic fractions of elements in TiO2 interface before and after 1.5 mg·mL-1 SnCl2 solution treatment %
    下载: 导出CSV
    Sample Ti O Sn Cl
    Original TiO2 0.93 69.39 29.59 0.09
    TiO2 after 1.5 mg·mL-1 SnCl2 solution treatment 1.07 68.56 30.06 0.31

    为了分析引入不同质量浓度SnCl2溶液对CsPbBr3薄膜表面形态的影响,对原始CsPbBr3薄膜和经不同质量浓度SnCl2溶液界面修饰的CsPbBr3薄膜进行了AFM表征,所得AFM图像以及相应的3D AFM图像展示在图 2a~2h中。原始CsPbBr3薄膜的均方根粗糙度(root mean square roughness,Rq)为62.2 nm,说明薄膜表面不平整。经过SnCl2修饰的薄膜的Rq有所下降,其中1.5 mg·mL-1 SnCl2溶液修饰的薄膜的Rq下降到51.9 nm,表明该薄膜表面更加平整。对应的3D AFM图像更加直观地验证了这一结果。薄膜粗糙度的降低将增强薄膜与碳电极之间的相互作用,从而提升器件性能[22]

    图 2

    图 2.  (a) 原始及(b) 经1.0 mg·mL-1、(c) 1.5 mg·mL-1、(d) 2 mg·mL-1 SnCl2溶液界面修饰的CsPbBr3薄膜的AFM图像; (e~h) 相应的3D AFM图像
    Figure 2.  AFM images of (a) pristine, and (b) 1.0 mg·mL-1, (c) 1.5 mg·mL-1, (d) 2 mg·mL-1 SnCl2 solution interface-modified CsPbBr3 films; (e-h) Corresponding 3D AFM images

    为了进一步探究引入SnCl2对CsPbBr3薄膜表面形态的影响,对原始CsPbBr3薄膜和经1.5 mg·mL-1 SnCl2溶液界面修饰的CsPbBr3薄膜进行了SEM表征。结果如图S2a、S2b所示,由图可知,原始CsPbBr3薄膜孔洞较多,晶粒大小不一,而经1.5 mg·mL-1 SnCl2溶液界面修饰的CsPbBr3薄膜几乎没有孔洞,薄膜变得更加致密均匀。由此得出:相比于经SnCl2界面修饰的CsPbBr3薄膜(图S2b),原始CsPbBr3薄膜(图S2a)覆盖性较差,表面呈现出较多的孔洞。这说明SnCl2的引入有效改善了最终制得的CsPbBr3薄膜形貌,优化的CsPbBr3薄膜整体形貌更加平整,有利于降低薄膜的表面缺陷态密度,从而提升PSCs器件的整体性能。

    同时,为了探究引入SnCl2对CsPbBr3薄膜质量以及晶体结构变化的影响,对原始CsPbBr3薄膜(后文原始TiO2界面、原始薄膜及对应的原始PSCs器件在图中均标记为Control,下同)和经1.5 mg·mL-1 SnCl2溶液界面修饰的CsPbBr3薄膜(后文经界面修饰的薄膜及对应的PSCs器件在图中均标记为Target,下同)进行了XRD表征,结果如图 3a所示。由图可知,引入SnCl2后,CsPbBr3薄膜在21.6°、34.5°和37.9°处的衍射峰增强,对应CsPbBr3相的(110)、(210)和(211)晶面;在27.8°、29.8°、31.6°处对应的CsPb2Br5杂相的(114)、(220)、(300)晶面衍射峰明显减弱[23]。同时,对SnCl2界面修饰前后的TiO2界面进行了接触角(CA)测试(图 3b),结果表明经SnCl2界面修饰后薄膜的CA减小。这说明SnCl2处理增加了TiO2界面表面的润湿性,便于PbBr2和CsBr的铺展,且界面能降低,从而进一步促进钙钛矿形核,生成更多的纯相CsPbBr3[24]。以上结果证明了引入SnCl2能够提高CsPbBr3相的结晶度,减少杂相的生成,使晶体结构更为有序。高质量的晶体结构能够提供更直接的载流子迁移路径,减少载流子在迁移过程中遇到的障碍和陷阱,电子和空穴更容易到达电极且在薄膜内部的复合减少,这有助于降低电子-空穴对在晶界处的复合率,提高载流子的传输能力[25],与SEM表征结果一致。

    图 3

    图 3.  经SnCl2处理前后的(a) CsPbBr3薄膜的XRD图和(b) TiO2界面的CA
    Figure 3.  (a) XRD patterns of CsPbBr3 films and (b) CA of TiO2 interfaces before and after SnCl2 treatment

    为了研究SnCl2界面修饰后Sn2+是否起主要修饰作用,在旋涂CsPbBr3薄膜前对原始和经1.5 mg·mL-1 SnCl2溶液界面修饰的TiO2界面进行了Sn3d XPS表征,如图 4所示。从图中可以观察到,原始TiO2界面存在2种离子,即Sn2+和Sn4+,而Sn4+(488.68 eV)比Sn2+(486.03 eV)峰的强度大。经SnCl2界面修饰后,TiO2界面中Sn2+(485.93 eV)比Sn4+(488.13 eV)峰的强度大。结果表明,经SnCl2界面修饰后TiO2界面中的Sn元素大部分没有被氧化,更多地以Sn2+形式存在,起主要修饰作用的是Sn2+,同时也进一步证实了SnCl2的引入。

    图 4

    图 4.  原始和经SnCl2界面修饰后TiO2界面的Sn3d XPS谱图
    Figure 4.  Sn3d XPS spectra of pristine and SnCl2 interface-modified TiO2 interfaces

    SnCl2的质量浓度是影响器件性能的关键参数,为了进一步优化工艺,我们探究了不同质量浓度的SnCl2对器件光电性能的影响。在保持其他条件不变的情况下,分别将质量浓度梯度为0、1、1.5、2 mg·mL-1的SnCl2溶液旋涂在TiO2层表面,以此来探究最佳修饰质量浓度。

    通过J-V曲线(图 5)及表 2中的数据可以观察到,在SnCl2的质量浓度由0 mg·mL-1提升到2 mg·mL-1的过程中,器件的PCE、VOCJSC、FF等光电性能参数都获得了一定程度的提升且呈现先增后减的趋势,在1.5 mg·mL-1时获得最大PCE(9.92%),对应的VOCJSC、FF分别为1.59 V、7.62 mA·cm-2、81.35%。因此,1.5 mg·mL-1的SnCl2质量浓度最佳。

    图 5

    图 5.  不同质量浓度SnCl2溶液界面修饰CsPbBr3 PSCs的J-V曲线
    Figure 5.  J-V curves of CsPbBr3 PSCs with interface modification using different mass concentrations of SnCl2 solution

    表 2

    表 2  不同质量浓度SnCl2界面修饰的CsPbBr3 PSCs的光伏参数
    Table 2.  Photovoltaic parameters of CsPbBr3 PSCs with interface modification using different mass concentrations of SnCl2 solution
    下载: 导出CSV
    $ {\rho }_{\mathrm{S}\mathrm{n}\mathrm{C}{\mathrm{l}}_{2}} $ / (mg·mL-1) VOC / V JSC / (mA·cm-2) FF / % PCE / %
    0 1.51 7.23 73.41 8.01
    1 1.53 7.40 77.98 8.83
    1.5 1.59 7.62 81.35 9.92
    2 1.53 7.49 78.35 8.98

    为了探究引入SnCl2后器件在最大功率下的持续电流输出,对原始和经1.5 mg·mL-1 SnCl2溶液界面修饰的CsPbBr3 PSCs进行了稳态输出性能分析。图S3为二者的CsPbBr3 PSCs分别在1.2、1.25 V偏压加持下,同时以1个标准太阳光照射400 s的稳态输出分析图像。由结果可知:SnCl2界面修饰的CsPbBr3 PSCs在稳定光照条件下运行400 s得到的PCE、JSC分别为9.04%、7.23 mA·cm-2,明显超过了原始PSCs的PCE、JSC,表现出良好的光电稳定性。

    图S4展示了原始与经1.5 mg·mL-1 SnCl2溶液界面修饰后同一批次15个CsPbBr3 PSCs的4个关键光电参数VOCJSC、FF和PCE的统计结果。在去除了偶然误差的数据后,可以明显看出,经1.5 mg·mL-1 SnCl2溶液界面修饰后CsPbBr3 PSCs在各项光电参数中的中位数都处于最高点,并且分散程度最小。这表明,与原始CsPbBr3 PSCs相比,SnCl2界面修饰CsPbBr3 PSCs无论在光电性能还是重复性方面都表现得更加优异。多组数据的统计结果证明了SnCl2的引入可以显著提高PSCs的光电性能。这种改进反映在SnCl2界面修饰CsPbBr3 PSCs的较高中位数值和较小的变异性上,突显了SnCl2在稳定和提升PSCs性能方面的有效性与可重复性。

    为了研究SnCl2的引入对TiO2界面载流子传输和复合的影响,对2组器件分别进行了EIS表征。图 6a是原始和经1.5 mg·mL-1 SnCl2界面修饰的CsPbBr3 PSCs在暗态环境、1.4 V偏置电压条件下测试得到的EIS及对应的等效电路图,其中,Rs为串联电阻,Rrec为钙钛矿层与ETL间的复合电阻。暗态EIS的低频区出现一个半圆,该半圆与载流子的Rrec有关,其值越大,电荷越不容易复合[26]。从图中看出,Rrec因为钙钛矿与TiO2界面的变化而发生了改变,引入SnCl2制备的薄膜半圆半径明显大于未引入SnCl2制备的薄膜,Rrec由未引入时的4 808.3 Ω提升至9 616.6 Ω,这说明SnCl2能够有效抑制载流子复合,使其有利于被载流子传输层提取,这有利于提高器件的FF和JSC图 6b是在光态环境、1.1 V偏置电压条件下测试得到的EIS及其等效电路图,其中Rct为钙钛矿层与ETL间的电荷传输电阻。从光态EIS中可以看到左侧高频区出现了半圆,其与Rct有关,其值越小,传输能力则越强[26]。由图 6b可知,SnCl2的修饰使器件的Rct由434.5 Ω降低至368.1 Ω,进一步证明了SnCl2降低了TiO2界面处的缺陷态密度,增强了电荷传输能力[25]

    图 6

    图 6.  原始与经1.5 mg·mL-1 SnCl2溶液界面修饰的CsPbBr3 PSCs的暗态(a)、光态(b) Nyquist曲线
    Figure 6.  Nyquist curves in dark state (a) and light state (b) of pristine and 1.5 mg·mL-1 SnCl2 solution interface-modified CsPbBr3 PSCs

    Inset: corresponding equivalent circuits.

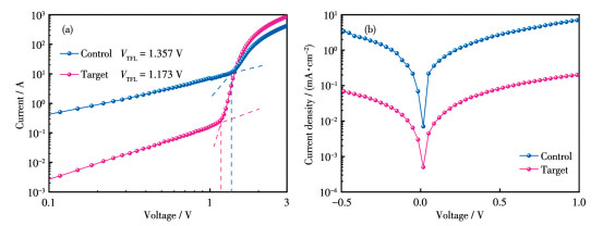
    为了深入研究引入SnCl2后对CsPbBr3薄膜缺陷态密度的影响,采用SCLC技术测试了2组器件在暗态条件下的J-V曲线,如图 7a所示。由图可知,经过SnCl2界面修饰后,陷阱填充限制电压(VTFL)显著降低,从1.357 V降至1.173 V。图 7b为补充的暗态J-V曲线,由图可知,经过SnCl2界面修饰的CsPbBr3 PSCs在暗态下的漏电流比原始CsPbBr3 PSCs低了一个数量级。这表明器件内电流泄漏路径减少,电荷复合受到抑制[27-28]。随后,通过公式ntrap=2ε0εrVTFL/(ed2)计算缺陷态密度(ntrap)[29],其中ε0εr分别表示真空和钙钛矿材料的介电常数,e是基本电荷,d是CsPbBr3薄膜的厚度。结合钙钛矿材料的其他常数,计算得出CsPbBr3薄膜在SnCl2修饰前后的缺陷态密度分别为1.907 6×1022和8.754 1×1021 cm-3,表明SnCl2能够有效降低CsPbBr3薄膜的缺陷态密度[30-32]。综合以上数据,我们可以确定SnCl2界面修饰在降低CsPbBr3薄膜的缺陷态密度方面发挥了关键作用。这有助于抑制电荷复合和增强电荷分离,从而显著提高VOC并提升整体器件性能。

    图 7

    图 7.  原始与经1.5 mg·mL-1 SnCl2溶液界面修饰的CsPbBr3 PSCs的(a) SCLC谱图和(b) 暗态J-V曲线
    Figure 7.  (a) SCLC spectra and (b) dark J-V curves of pristine and 1.5 mg·mL-1 SnCl2 solution interface-modified CsPbBr3 PSCs

    为了更好地探究引入SnCl2后TiO2界面处的载流子传输和复合行为,对2组器件进行了电容-电压(C-V)表征。图S5展示了原始和经1.5 mg·mL-1 SnCl2溶液界面修饰的CsPbBr3 PSCs在黑暗环境下的C-V曲线,测试频率为1 kHz,电压范围为-1.0~1.9 V。通过比较2组器件在此电压范围内的电容变化曲线可知,SnCl2界面修饰后CsPbBr3 PSCs的电容显著低于原始CsPbBr3 PSCs。这一现象表明SnCl2界面修饰后CsPbBr3 PSCs在界面处积累的电荷更少,说明引入SnCl2修饰TiO2界面后,界面处的电荷提取速率显著提高,载流子的传输效率得到了明显的提升。由于界面处的电荷积累减少,载流子的复合得到了有效抑制。这一改善对于提升器件的整体性能具有重要意义,因为载流子复合的减少直接提高了器件的PCE。

    同时为了验证引入SnCl2后对TiO2界面处载流子传输和复合的影响,对2组器件分别进行了TPC、TPV表征。由图 8a中TPC曲线拟合结果可以看出,光生载流子的提取寿命在引入SnCl2后由10.20 μs降低至6.58 μs。电子提取寿命缩短意味着在光生电子和空穴生成后,能够更快速地被提取出界面,减少了在界面处的停留时间。同时,由图 8b中TPC曲线拟合结果可以看到,载流子的复合寿命在引入SnCl2后由1.35 ms提高至1.64 ms,衰减变慢,电子寿命延长。电子寿命的延长意味着载流子在界面处的复合速率降低,进一步证明了SnCl2修饰对界面处的钝化效果,即提高了载流子的存活时间,增强了器件的电荷分离效率[33]。以上结果证明了SnCl2的界面修饰能够有效钝化TiO2界面,使得光生载流子更容易提取,从而抑制了载流子在缺陷处的复合。同时,载流子分离效率的提高说明光生电子和空穴更有可能分离并在电池中形成电流,而不是在缺陷处迅速复合。这与C-V表征结果保持一致。

    图 8

    图 8.  原始与经1.5 mg·mL-1 SnCl2溶液界面修饰的CsPbBr3 PSCs的(a) TPC和(b) TPV衰减曲线
    Figure 8.  (a) TPC and (b) TPV attenuation curves of the devices of pristine and 1.5 mg·mL-1 SnCl2 solution interface-modified CsPbBr3 PSCs

    为了进一步验证引入SnCl2对载流子复合过程的影响,对2组器件分别进行了光电流-光强(JSC-I)、光电压-光强(VOC-I)曲线表征。JSCI的关系如下:JSCIα,其中α表示指数因子,用以说明双分子重组的影响,α越接近1,则双分子重组影响越小[34]。从图S6a可以看出,在引入SnCl2α由0.912变为0.943,更接近1,证明引入SnCl2可以有效减小空间电荷效应的限制,增强载流子传输能力,具备更好的光响应特性[35]VOCI的关系则由式$ {V}_{\mathrm{O}\mathrm{C}}=n\frac{{k}_{\mathrm{B}}T}{e}\mathrm{l}\mathrm{n}I+B $表示,其中e为基础电荷,kB为玻尔兹曼常数,T为热力学温度,B为常数,n为与复合有关的理想因子[36]。由图S6b可以看出,经过SnCl2的修饰,n由2.33降低至2.22,说明SnCl2能够抑制TiO2界面处由缺陷导致的载流子复合,减少载流子损失,从而提高光电效率。与上述C-V表征以及TPC、TPV表征的分析结果相同。

    为了研究引入SnCl2对器件稳定性的影响,对未封装的2组器件在环境条件下进行了为期30 d的稳定性测试。如图 9所示,30 d后,SnCl2界面修饰的CsPbBr3 PSCs的PCE、VOC、FF、JSC均保持了较高的稳定性。其中,引入SnCl2后,CsPbBr3 PSCs的PCE在30 d后仍保留了初始值的80.55%,而原始CsPbBr3 PSCs的PCE则下降至初始值的60.32%。结果表明,与原始CsPbBr3 PSCs相比,经过SnCl2界面修饰的器件稳定性有所提高。此外,由表S1可知,本文中制备的器件具有明显优势。

    图 9

    图 9.  原始与经1.5 mg·mL-1 SnCl2溶液界面修饰的CsPbBr3 PSCs的归一化稳定性曲线
    Figure 9.  Normalized stability curves of pristine and 1.5 mg·mL-1 SnCl2 solution interface-modified CsPbBr3 PSCs

    通过引入1.5 mg·mL-1的SnCl2溶液对TiO2界面进行改性,有效改善了CsPbBr3薄膜的结晶性和表面形貌,降低了载流子非辐射复合率,进而增强了其提取和传输能力,并最终提高了电池的整体性能。研究表明,在质量浓度为1.5 mg·mL-1的SnCl2溶液条件下,CsPbBr3薄膜的结晶性最好,并且形貌最优,非辐射复合得到显著抑制,且各项光电性能参数达到最佳,器件最优VOCJSC、FF、PCE分别达到了1.59 V、7.62 mA·cm-2、81.35%、9.92%。总而言之,通过引入SnCl2对TiO2进行界面修饰,制备出的器件具备优异的光电性能,是一种高效可行的PSCs设计优化策略。

    Supporting information is available at http://www.wjhxxb.cn


    1. [1]

      张玮皓, 彭晓晨, 冯晓东. 钙钛矿太阳能电池的研究进展[J]. 电子元件与材料, 2014, 33(8): 7-11.ZHANG W H, PENG X C, FENG X D. Recent progress of perovskite solar cells[J]. Electronic Components and Materials, 2014, 33(8): 7-11

    2. [2]

      赵鹏, 欧阳晓平. 基于漂移-扩散理论的钙钛矿太阳能电池仿真综述[J]. 现代应用物理, 2020, 11(1): 4-12.ZHAO P, OUYANG X P. An overview of perovskite solar cell simulation based on drift-diffusion theory[J]. Modern Applied Physics, 2020, 11(1): 4-12

    3. [3]

      杨文超, 姚尧, 吴长勤. 钙钛矿太阳能电池中电子空穴的复合机制及其对开路电压的影响[C]//中国可再生能源学会光化学专业委员会. 第二届新型太阳能电池学术研讨会论文集: 第1卷. [出版地不详]: [出版者不详], 2015.YANG W C, YAO Y, WU C Q. Recombination mechanism of electron holes in perovskite solar cells and their effect on open-circuit voltage[C]//Photochemistry Committee of Chinese Renewable Energy Society. Proceedings of the 2nd Symposium on Novel Solar Cells: Vol. 1. [S.l.]: [s.n.], 2015.

    4. [4]

      黄楚涵. 碳基钙钛矿太阳能电池光吸收层的研究现状[J]. 当代化工研究, 2018(12): 141-142.HUANG C H. Research status of light absorption layer in carbon-based perovskite solar cells[J]. Modern Chemical Research, 2018(12): 141-142

    5. [5]

      KOJIMA A, TESHIMA K, SHIRAI Y, MIYASAKA T. Organometal halide perovskites as visible-light sensitizers for photovoltaic cells[J]. J. Am. Chem. Soc., 2009, 131(17): 6050-6051 doi: 10.1021/ja809598r

    6. [6]

      丘龙斌. 内置超分子复合物降低铅毒性提升钙钛矿太阳电池环境安全性与稳定[J]. 科学通报, 2023, 68(27): 3546-3548.QIU L B. Built-in supramolecular complex improving the environmental safety and stability of perovskite solar cells by largely reducing lead toxicity[J]. Sci. Bull., 2023, 68(27): 3546-3548

    7. [7]

      孟宪伟. 铯基全无机钙钛矿太阳能电池的制备及性能优化[D]. 吉林: 吉林大学, 2021: 107.MENG X W. Preparation and performance optimization of cesium-based all-inorganic perovskite solar cells[D]. Jilin: Jilin University, 2021: 107

    8. [8]

      WU T H, QIN Z Z, WANG Y B, WU Y Z, CHEN W, ZHANG S F, CAI M L, DAI S Y, ZHANG J, LIU J. The main progress of perovskite solar cells in 2020—2021[J]. Nano-Micro Lett., 2021, 13: 1-18 doi: 10.1007/s40820-020-00525-y

    9. [9]

      YU B C, ZHANG H Y, WU J H, LI Y S, LI H S, LI Y M, SHI J J, WU H J, LI D M, LUO Y H, MENG Q B. Solvent-engineering toward CsPb(IxBr1-x)3 films for high-performance inorganic perovskite solar cells[J]. J. Mater. Chem. A, 2018, 6(40): 19810-19816 doi: 10.1039/C8TA07968D

    10. [10]

      杨英, 马书鹏, 罗媛, 林飞宇, 朱刘, 郭学益. 多维CsPbX3无机钙钛矿材料的制备及其在太阳能电池中的应用[J]. 化学进展, 2021, 33(5): 779-801.YANG Y, MA S P, LUO Y, LIN F Y, ZHU L, GUO X Y. Multidimensional CsPbX3 inorganic perovskite materials: Synthesis and solar cells application[J]. Prog. Chem., 2021, 33(5): 779-801

    11. [11]

      CHANG X W, LI W P, ZHU L Q, LIU H C, GENG H F, XIANG S S, LIU J M, CHEN H N. Carbon-based CsPbBr3 perovskite solar cells: All-ambient processes and high thermal stability[J]. ACS Appl. Mater. Interfaces, 2016, 8(49): 33649-33655 doi: 10.1021/acsami.6b11393

    12. [12]

      STOUMPOS C, MALLIAKAS C, PETERS J, LIU Z, SEBASTIAN M, IM J, CHASAPIS T, WIBOWO A, CHUNG D, FREEMAN A, WESSELS B, KANATZIDIS M. Crystal growth of the perovskite semiconductor CsPbBr3: A new material for high-energy radiation detection[J]. Cryst. Growth Des., 2013, 13(7): 2722-2727 doi: 10.1021/cg400645t

    13. [13]

      KIESLICH G, SUN S, CHEETTHAM A K. An extended tolerance factor approach for organic-inorganic perovskites[J]. Chem. Sci., 2015, 6(6): 3430-3433 doi: 10.1039/C5SC00961H

    14. [14]

      单雪燕. 钙钛矿太阳电池界面载流子行为的调控[D]. 安徽: 中国科学技术大学, 2021: 115.SHAN X Y. Regulation of interface carrier behavior in perovskite solar cells[D]. Anhui: University of Science and Technology of China, 2021: 115

    15. [15]

      LI J D, SONG J, WU J H, XU Y, DENG C Y, SONG Z Y, WANG X B, DU Y T, CHEN Q, LI R S, SUN W H, LAN Z. Surface defect passivation by 1, 8-naphthyridine for efficient and stable formamidinium-based 2D/3D perovskite solar cells[J]. Chem. Eng. J., 2022, 449: 137806 doi: 10.1016/j.cej.2022.137806

    16. [16]

      吕晶. 界面修饰层对有机太阳能电池的性能影响研究[D]. 陕西: 陕西科技大学, 2017: 79.LÜ J. Study on interface modification effecting on the performance of organic solar cells[D]. Shaanxi: Shaanxi University of Science and Technology, 2017: 79

    17. [17]

      闫金定, 丁黎明, 杨岸夫, 杨涛, 任红轩. 钙钛矿太阳电池研究的前沿与趋势[J]. 科技中国, 2019(1): 4-6.YAN J D, DING L M, YANG A F, YANG T, REN H X. The frontiers and trends of research on perovskite solar cells[J]. Science and Technology of China, 2019(1): 4-6

    18. [18]

      CUI L F, HE B L, DING Y, ZHU J W, YAO X P, TI J J, CHEN H Y, DUAN Y Y, TANG Q W. Multifunctional interface modifier ammonium silicofluoride for efficient and stable all-inorganic CsPbBr3 perovskite solar cells[J]. Chem. Eng. J., 2022, 431: 134193 doi: 10.1016/j.cej.2021.134193

    19. [19]

      CAO X B, ZHANG G S, CAI Y F, JIANG L, CHEN Y, HE X, ZENG Q G, JIA Y, XING G C, WEI J Q. Enhanced performance of CsPbBr3 perovskite solar cells by reducing the conduction band offsets via a Sr-modified TiO2 layer[J]. Appl. Surf. Sci., 2020, 529: 147119 http://www.sciencedirect.com/science/article/pii/S0169433220318766

    20. [20]

      王静静, 孙丽娟, 许宇婷. 基于界面修饰的钙钛矿太阳能电池的制备及性能研究[J]. 化工技术与开发, 2022, 51(3): 28-31.WANG J J, SUN L J, XU Y T. Preparation and properties of perovskite solar cells based on interfacial modification[J]. Technology & Development of Chemical, 2022, 51(3): 28-31

    21. [21]

      邹宇, 李昭, 陈衡慧, 刘伊辰, 童安玲, 颜惠英, 何若玮, 花国鑫, 曾伟东, 孙伟海. NaTFSI界面修饰对平面TiO2基钙钛矿太阳能电池的影响[J]. 发光学报, 2021, 42(5): 682-690.ZOU Y, LI Z, CHEN H H, LIU Y C, TONG A L, YAN H Y, HE R W, HUA G X, ZENG W D, SUN W H. Effect of interfacial modification for TiO2-based planar perovskite solar cells using NaTFSI[J]. Chin. J. Lumin., 2021, 42(5): 682-690

    22. [22]

      YAN J, HOU S, LI X, DONG J J, ZOU L, YANG M L, XING J, LIU H, HAO H Y. Preparation of highly efficient and stable CsPbBr3 perovskite solar cells based on an anti-solvent rinsing strategy[J]. Sol. Energy Mater. Sol. Cells, 2022, 234: 111420 doi: 10.1016/j.solmat.2021.111420

    23. [23]

      WANG G Q, DONG W N, GURUNG A, CHEN K, WU F, HE Q Q, PATHAK R, QIAO Q Q. Improving photovoltaic performance of carbon-based CsPbBr3 perovskite solar cells by interfacial engineering using P3HT interlayer[J]. J. Power Sources, 2019, 432: 48-54 http://www.xueshufan.com/publication/2945236868

    24. [24]

      ABASHT B, ASL S K, AGHAJANI H, ASGARI A. Enhanced performance of ambient-air processed CsPbBr3 perovskite light-emitting electrochemical cells via synergistic incorporation of dual additives[J]. J. Alloy. Compd., 2024, 1005: 176113

    25. [25]

      吴林, 陈建林, 曾雨熙, 赵威, 武子寒, 俱佳尧, 黄金成, 彭卓寅, 陈荐. 四丁基铵六氟磷酸盐对全无机CsPbI2Br钙钛矿太阳电池的多功能界面改性[J]. 硅酸盐学报, 2024, 52(1): 75-88.WU L, CHEN J L, ZENG Y X, ZHAO W, WU Z H, JU J Y, HUANG J C, PENG Z Y, CHEN J. Multifunctional interface modification of tetrabutylammonium hexafluorophosphate to all-inorganic CsPbI2Br perovskite solar cells[J]. J. Chin. Ceram. Soc., 2024, 52(1): 75-88

    26. [26]

      邵梦婷, 林萍, 崔灿. 锡酸钡/钙钛矿的界面修饰对钙钛矿太阳能电池性能的影响[J]. 浙江理工大学学报(自然科学版), 2023, 49(1): 50-58.SHAO M T, LIN P, CUI C. Influence of BaSnO3/perovskite interface modification on the performance of perovskite solar cells[J]. Journal of Zhejiang Sci-Tech University (Natural Sciences), 2023, 49(1): 50-58

    27. [27]

      KUBLITSKIl J, HOFACKER A, BOROUJENI B K, BENDUHN J, NIKOLIS V C, KAISER C, SPOLTORE D, KLEEMANN H, FISCHER A, ELLINGER F, VANDEWAL K, LEO K. Reverse dark current in organic photodetectors and the major role of traps as source of noise[J]. Nat. Commun., 2021, 12(1): 551 http://www.socolar.com/Article/Index?aid=200258486681&jid=200000073712

    28. [28]

      DUAN J L, ZHAO Y Y, YANG X Y, WANG Y D, HE B L, TANG Q W. Lanthanide ions doped CsPbBr3 halides for HTM-free 10.14%-efficiency inorganic perovskite solar cell with an ultrahigh open-circuit voltage of 1.594 V[J]. Adv. Energy Mater., 2018, 8(31): 1802346

    29. [29]

      WANG S L, WANG P Y, CHEN B B, LI R J, REN N Y, LI Y C, SHI B, HUANG Q, ZHAO Y, GRATZEL M, ZHANG X D. Suppressed recombination for monolithic inorganic perovskite/silicon tandem solar cells with an approximate efficiency of 23%[J]. eScience, 2022, 2(3): 339-346

    30. [30]

      YU F, LIU J, HUANG J H, XU P, LI C H, ZHENG Y X, TANG H R, ZOU J L. Efficient and stable wide-bandgap perovskite solar cells derived from a thermodynamic phase-pure intermediate[J]. Sol. RRL, 2022, 6(2): 2100906

    31. [31]

      YU F, LIU J, XU P, HUANG J H, LI C H, ZHENG Y X. High-quality all-inorganic CsPbI2Br thin films derived from phase-pure intermediate for efficient wide-bandgap perovskite solar cells[J]. J. Solid State Chem., 2023, 317: 123728

    32. [32]

      HUANG J H, XU P, Yu F, LIU J, SHIRAI Y, ZHANG X P, LI C H, SONG Y. A stabilized γ-CsPbI3 by poly(allylamine hydrochloride) for wide-band gap perovskites solar cells with enhanced performance[J]. J. Solid State Chem., 2023, 324: 124087 http://www.nstl.gov.cn/paper_detail.html?id=bfbce3fd8acec5481b8e332085c6919a

    33. [33]

      柳斌. 基于n-i-p结构的钙钛矿太阳能电池界面修饰与光谱调控研究[D]. 吉林: 吉林大学, 2023: 141.LIU B. Research on interface modification and spectral regulation of perovskite solar cells based on n-i-p structure[D]. Jilin: Jilin University, 2023: 141

    34. [34]

      WANG S B, CAO F X, SUN W H, WANG C Y, YAN Z L, WANG N, LAN Z, WU J H. A green Bi-solvent system for processing high-quality CsPbBr3 films in efficient all-inorganic perovskite solar cells[J]. Mater. Today Phys., 2022, 22: 100614 http://www.sciencedirect.com/science/article/pii/S2542529322000128

    35. [35]

      BLOM P, MIHAILETCHI V, KOSTER L, MARKOV D. Device physics of polymer: Fullerene bulk heterojunction solar cells[J]. Adv. Mater., 2007, 19(12): 1551-1566 http://www.rug.nl/research/portal/files/6707436/2007AdvMaterBlom.pdf

    36. [36]

      LU K Y, WANG Y J, YUAN J Y, CUI Z Q, SHI G Z, SHI S H, HAN L, CHEN S, ZHANG Y N, LING X F, LIU Z K, CHI L F, CAO F X, FAN J, MA W L. Efficient PbS quantum dot solar cells employing a conventional structure[J]. J. Mater. Chem. A, 2017, 5(45): 23960-23966

    37. [37]

      YANG L, XU T W, BAI Z C, QIN S J. Improved open-circuit voltage of AZO/CsPbBr3/carbon structure perovskite solar cells by an Al-doped ZnO electron transport layer[J]. J. Phys. Chem. C, 2023, 127(15): 7492-7500

    38. [38]

      XIE G X, LU X C, DUAN J L, DONG Y, JIANG X R, TU F Z, DUAN Y Y, TANG Q W. Alkali chloride doped SnO2 electron-transporting layers for boosting charge transfer and passivating defects in all-inorganic CsPbBr3 perovskite solar cells[J]. J. Mater. Chem. A, 2021, 9(26): 15003-15011

    39. [39]

      ZHU J W, TANG M X, HE B L, ZHANG W Y, TANG Q W. Improved charge extraction through interface engineering for 10.12% efficiency and stable CsPbBr3 perovskite solar cells[J]. J. Mater. Chem. A, 2020, 8(40): 20987-20997

    40. [40]

      TI J J, ZHU J W, HE B L, ZONG Z H, YAO X P, TUI R, HUANG H, CHEN C, CHEN H Y, DUAN Y Y, TANG Q W. A "double-sided tape" modifier bridging the TiO2/perovskite buried interface for efficient and stable all-inorganic perovskite solar cells[J]. J. Mater. Chem. A, 2022, 10(12): 6649-6661

  • 图 1  SnCl2界面修饰层和CsPbBr3薄膜制备流程图

    Figure 1  Schematical illustration of the fabrication process for SnCl2 interface modification layer and CsPbBr3 film

    图 2  (a) 原始及(b) 经1.0 mg·mL-1、(c) 1.5 mg·mL-1、(d) 2 mg·mL-1 SnCl2溶液界面修饰的CsPbBr3薄膜的AFM图像; (e~h) 相应的3D AFM图像

    Figure 2  AFM images of (a) pristine, and (b) 1.0 mg·mL-1, (c) 1.5 mg·mL-1, (d) 2 mg·mL-1 SnCl2 solution interface-modified CsPbBr3 films; (e-h) Corresponding 3D AFM images

    图 3  经SnCl2处理前后的(a) CsPbBr3薄膜的XRD图和(b) TiO2界面的CA

    Figure 3  (a) XRD patterns of CsPbBr3 films and (b) CA of TiO2 interfaces before and after SnCl2 treatment

    图 4  原始和经SnCl2界面修饰后TiO2界面的Sn3d XPS谱图

    Figure 4  Sn3d XPS spectra of pristine and SnCl2 interface-modified TiO2 interfaces

    图 5  不同质量浓度SnCl2溶液界面修饰CsPbBr3 PSCs的J-V曲线

    Figure 5  J-V curves of CsPbBr3 PSCs with interface modification using different mass concentrations of SnCl2 solution

    图 6  原始与经1.5 mg·mL-1 SnCl2溶液界面修饰的CsPbBr3 PSCs的暗态(a)、光态(b) Nyquist曲线

    Figure 6  Nyquist curves in dark state (a) and light state (b) of pristine and 1.5 mg·mL-1 SnCl2 solution interface-modified CsPbBr3 PSCs

    Inset: corresponding equivalent circuits.

    图 7  原始与经1.5 mg·mL-1 SnCl2溶液界面修饰的CsPbBr3 PSCs的(a) SCLC谱图和(b) 暗态J-V曲线

    Figure 7  (a) SCLC spectra and (b) dark J-V curves of pristine and 1.5 mg·mL-1 SnCl2 solution interface-modified CsPbBr3 PSCs

    图 8  原始与经1.5 mg·mL-1 SnCl2溶液界面修饰的CsPbBr3 PSCs的(a) TPC和(b) TPV衰减曲线

    Figure 8  (a) TPC and (b) TPV attenuation curves of the devices of pristine and 1.5 mg·mL-1 SnCl2 solution interface-modified CsPbBr3 PSCs

    图 9  原始与经1.5 mg·mL-1 SnCl2溶液界面修饰的CsPbBr3 PSCs的归一化稳定性曲线

    Figure 9  Normalized stability curves of pristine and 1.5 mg·mL-1 SnCl2 solution interface-modified CsPbBr3 PSCs

    表 1  1.5 mg·mL-1 SnCl2溶液处理前后TiO2界面中元素的原子分数

    Table 1.  Atomic fractions of elements in TiO2 interface before and after 1.5 mg·mL-1 SnCl2 solution treatment %

    Sample Ti O Sn Cl
    Original TiO2 0.93 69.39 29.59 0.09
    TiO2 after 1.5 mg·mL-1 SnCl2 solution treatment 1.07 68.56 30.06 0.31
    下载: 导出CSV

    表 2  不同质量浓度SnCl2界面修饰的CsPbBr3 PSCs的光伏参数

    Table 2.  Photovoltaic parameters of CsPbBr3 PSCs with interface modification using different mass concentrations of SnCl2 solution

    $ {\rho }_{\mathrm{S}\mathrm{n}\mathrm{C}{\mathrm{l}}_{2}} $ / (mg·mL-1) VOC / V JSC / (mA·cm-2) FF / % PCE / %
    0 1.51 7.23 73.41 8.01
    1 1.53 7.40 77.98 8.83
    1.5 1.59 7.62 81.35 9.92
    2 1.53 7.49 78.35 8.98
    下载: 导出CSV
  • 加载中
计量
  • PDF下载量:  13
  • 文章访问数:  3417
  • HTML全文浏览量:  645
文章相关
  • 发布日期:  2025-03-10
  • 收稿日期:  2024-08-21
  • 修回日期:  2024-12-19
通讯作者: 陈斌, bchen63@163.com
  • 1. 

    沈阳化工大学材料科学与工程学院 沈阳 110142

  1. 本站搜索
  2. 百度学术搜索
  3. 万方数据库搜索
  4. CNKI搜索

/

返回文章