Citation: Jianjun LI, Mingjie REN, Lili ZHANG, Lingling ZENG, Huiling WANG, Xiangwu MENG. UV-assisted degradation of tetracycline hydrochloride by MnFe2O4@activated carbon activated persulfate[J]. Chinese Journal of Inorganic Chemistry, ;2024, 40(10): 1869-1880. doi: 10.11862/CJIC.20240187 shu

UV-assisted degradation of tetracycline hydrochloride by MnFe2O4@activated carbon activated persulfate

  • Corresponding author: Jianjun LI, ljj.hero@126.com
  • Received Date: 21 May 2024
    Revised Date: 5 September 2024

Figures(14)

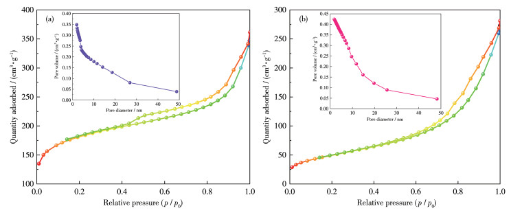
  • The magnetic catalyst MnFe2O4@AC (MFA) was synthesized using a water bath-inverse co-precipitation method and was systematically characterized to assess its structural and magnetic properties. The results indicated that MnFe 2O4 nanoparticles were successfully encapsulated on the surface of activated carbon (AC), resulting in a multistage pore structure. Although the specific surface area of MFA decreased compared to that of the AC base material, it remained high at 176 m2·g-1, with an average pore size of 8.49 nm. The specific magnetization intensity of MFA reached 38.92 emu·g-1, enabling high-efficiency solid-liquid separation when subjected to an external magnetic field. Tetracycline hydrochloride (TC) was degraded using activated peroxymonosulfate (PMS) with UV-assisted activation, employing MFA as a catalyst. The degradation rate of TC in the MFA/PMS system under UV irradiation achieved 97.70%, which was 1.2 times that of the system without UV irradiation. The presence of coexisting anions, the pharmaceutical matrix, and the initial mass concentration of TC significantly influenced the catalytic performance of the system. Notably, the degradation rate remained at 82.76% after five cycles. Free radical burst experiments revealed that superoxide radicals (·O2-) and monoclinic oxygen (1O2) were the primary reactive oxygen species in the UV-assisted MFA/PMS advanced oxidation system. Mechanistic analysis indicated that the high adsor p-tion capacity of MFA provided a solid foundation for catalytic degradation, and the synergistic effect of UV irradiation with the MFA/PMS advanced oxidation system significantly enhanced the generation efficiency of reactive species, thereby facilitating the degradation of organic molecules.
  • 加载中
    1. [1]

      Khan S, Naushad M, Govarthanan M, Iqbal J, Alfadul S M. Emerging contaminants of high concern for the environment: Current trends and future research[J]. Environ. Res., 2022,207112609. doi: 10.1016/j.envres.2021.112609

    2. [2]

      Das S, Ahn Y H. Synthesis and application of CdS nanorods for LED-based photocatalytic degradation of tetracycline antibiotic[J]. Chemosphere, 2021,291132870.

    3. [3]

      Tian K, Hu L M, Li L T, Zheng Q Z, Xin Y J, Zhang G S. Recent advances in persulfate-based advanced oxidation processes for organic wastewater treatment[J]. Chin. Chem. Lett., 2022,33:4461-4477. doi: 10.1016/j.cclet.2021.12.042

    4. [4]

      Kalli M, Noutsopoulos C, Mamais D. The fate and occurrence of antibiotic-resistant bacteria and antibiotic resistance genes during advanced wastewater treatment and disinfection: A review[J]. Water, 2023,152084. doi: 10.3390/w15112084

    5. [5]

      Du L Q, Ahmad S, Liu L A, Wang L, Tang J C. A review of antibiotics and antibiotic resistance genes (ARGs) adsorption by biochar and modified biochar in water[J]. Sci. Total Environ., 2022,858:159815-159815.

    6. [6]

      Ma L P, Yang H Y, Guan L, Liu X Y, Zhang T. Risks of antibiotic resistance genes and antimicrobial resistance under chlorination disinfection with public health concerns[J]. Environ. Int., 2022,158106978. doi: 10.1016/j.envint.2021.106978

    7. [7]

      Nasrollahi N, Vatanpour V, Khataee A. Removal of antibiotics from wastewaters by membrane technology: Limitations, successes, and future improvements[J]. Sci. Total Environ., 2022,838156010. doi: 10.1016/j.scitotenv.2022.156010

    8. [8]

      Kim T, Lee H Y H, Kim C M, Jang A. Elucidating the relation between residual oxidants formation behavior and quinolone antibiotic removal efficiency on catalytic ozonation in seawater-based aquaculture wastewater[J]. J. Clean Prod., 2023,426138779. doi: 10.1016/j.jclepro.2023.138779

    9. [9]

      Lu H, Li Q P, Feng W H, Zhang X Y. Application progress of O3/PMS advanced oxidation technology in the treatment of organic pollutants in drinking water[J]. Sustainability, 2022,1411718. doi: 10.3390/su141811718

    10. [10]

      Wang D B, Jia F Y, Wang H, Chen F, Fang Y, Dong W B, Zeng G M, Li X M, Yang Q, Yuan X Z. Simultaneously efficient adsorption and photocatalytic degradation of tetracycline by Fe-based MOFs[J]. J. Colloid Interface Sci., 2018,519:273-284. doi: 10.1016/j.jcis.2018.02.067

    11. [11]

      Dong C C, Fang W Z, Yi Q Y, Zhang J L. A comprehensive review on reactive oxygen species (ROS) in advanced oxidation processes (AOPs)[J]. Chemosphere, 2022,308136205. doi: 10.1016/j.chemosphere.2022.136205

    12. [12]

      Giannakis S, Lin K Y A, Ghanbari F. A review of the recent advances on the treatment of industrial wastewaters by sulfate radical-based advanced oxidation processes (SR-AOPs)[J]. Chem. Eng. J., 2021,406127083. doi: 10.1016/j.cej.2020.127083

    13. [13]

      Ling L, Zhang D P, Fan C H, Shang C. A Fe(Ⅱ)/citrate/UV/PMS process for carbamazepine degradation at a very low Fe(Ⅱ)/PMS ratio and neutral pH: The mechanisms[J]. Water Res., 2017,124:446-453. doi: 10.1016/j.watres.2017.07.066

    14. [14]

      Wang P, Zhang H X, Wu Z H, Zhao X, Sun Y, Duan N, Liu Z D, Liu W. A data-based review on norfloxacin degradation by persulfate-based advanced oxidation processes: Systematic evaluation and mechanisms[J]. Chin. Chem. Lett., 2023,34(12)108722. doi: 10.1016/j.cclet.2023.108722

    15. [15]

      Gao Z M, Zhu J Z, Zhu Q Z, Wang C S, Cao Y Y. Spinel ferrites materials for sulfate radical-based advanced oxidation process: A review[J]. Sci. Total Environ., 2022,8471574055.

    16. [16]

      Qin H, He Y Z, Xu P A, Huang D L, Wang Z W, Wang H, Wang Z X, Zhao Y, Tian Q Y, Wang C L. Spinel ferrites (MFe2O4): Synthesis, improvement and catalytic application in environment and energy field[J]. Adv. Colloid Interface Sci., 2021,294102486. doi: 10.1016/j.cis.2021.102486

    17. [17]

      Kefeni K K, Mamba B B. Photocatalytic application of spinel ferrite nanoparticles and nanocomposites in wastewater treatment: Review[J]. Sustain. Mater. Technol., 2020,23e00140.

    18. [18]

      Dhanalakshmi R, Giridharan N V, Denardin J C. Magnetic field- assisted photocatalytic degradation of organic pollutants over Bi1-xRxFeO3 (R=Ce, Tb; x=0.00, 0.05, 0.10 and 0.15) nanostructures[J]. Materials, 2021,14:4079-4079. doi: 10.3390/ma14154079

    19. [19]

      Honarmandrad Z, Sun X, Wang Z H, Naushad M, Boczkaj G. Activated persulfate and peroxymonosulfate based advanced oxidation processes (AOPs) for antibiotics degradation—A review[J]. Water Resour. Ind., 2023,29100194. doi: 10.1016/j.wri.2022.100194

    20. [20]

      Ferreira M E C, Bernardino E G, de Barros M A S D, Bergamasco R, Yamaguchi N U. An overview of nanostructured manganese ferrite as a promising visible-light-driven photocatalyst for wastewater remediation[J]. J. Water Process. Eng., 2023,54104049. doi: 10.1016/j.jwpe.2023.104049

    21. [21]

      Liu Q, Li H, Zhang H, Shen Z R, Ji H M. The role of Cs dopants for improved activation of molecular oxygen and degradation of tetracycline over carbon nitride[J]. Chin. Chem. Lett., 2022,33:4756-4760. doi: 10.1016/j.cclet.2021.12.089

    22. [22]

      Zhao X D, Liu Q, Li X L, Ji H M, Shen Z R. Two-dimensional g-C3N4 nanosheets-based photo-catalysts for typical sustainable processes[J]. Chin. Chem. Lett., 2023,34:82-92.

    23. [23]

      Kuang X, Fu M, Kang H, Lu P, Bai J W, Yang Y, Gao S X. A BiOIO3/BiOBr n-n heterojunction was constructed to enhance the photocatalytic degradation of TC[J]. Opt. Mater., 2023,138113690. doi: 10.1016/j.optmat.2023.113690

    24. [24]

      Guo H L, Song J B, Zhang Q Y, Qiu L W, Kang X D, Wang L P. Construction of Z-scheme NH2-UiO-66/Bi2O2CO3 heterojunction with enhanced photocatalytic degradation of TC under visible light[J]. Opt. Mater., 2023,139113729. doi: 10.1016/j.optmat.2023.113729

    25. [25]

      Li Y H, Chen L J, Zhang J W, Zhu C Q, Liu L. Synergistic photocatalytic degradation of TC-HCl by Mn3+/Co2+/Bi2O3 and PMS[J]. Inorg. Chem. Commun., 2023,150110468. doi: 10.1016/j.inoche.2023.110468

    26. [26]

      Wang G H, Li Y J, Dai J L, Deng N S. Highly efficient photocatalytic oxidation of antibiotic ciprofloxacin using TiO2@g-C3N4@biochar composite[J]. Environ. Sci. Pollut. Res. Int., 2022,29:48522-48538. doi: 10.1007/s11356-022-19269-w

    27. [27]

      Ma S M, Xia X X, Song Q Q, Zhao Y, Yang J. Heterogeneous junction Ni-MOF@ BiOBr composites: Photocatalytic degradation of methylene blue and ciprofloxacin[J]. Solid State Sci., 2023,138107135. doi: 10.1016/j.solidstatesciences.2023.107135

    28. [28]

      Masunga N, Mmelesi O K, Kefeni K K, Mamba B B. Recent advances in copper ferrite nanoparticles and nanocomposites synthesis, magnetic properties and application in water treatment: Review[J]. J. Environ. Chem. Eng., 2019,7103179. doi: 10.1016/j.jece.2019.103179

    29. [29]

      Akhlaghi N, Najafpour-Darzi G. Manganese ferrite (MnFe2O4) nanoparticles: From synthesis to application—A review[J]. J. Ind. Eng. Chem., 2021,103:292-304. doi: 10.1016/j.jiec.2021.07.043

    30. [30]

      Peng W, Zhang K, Zong F X, Chen C, Fang Z D. Enhancement of H2O2 decomposition by the synergistic effect on CuO-MnFe2O4 nanoparticles for sulfamethoxazole degradation over a wide pH range[J]. J. Dispersion Sci. Technol., 2019,41(14):2211-2222.

    31. [31]

      Yao B, Chen X, Zhou K, Luo Z R, Li P P, Yang Z H, Zhou Y Y. p-arsanilic acid decontamination over a wide pH range using biochar-supported manganese ferrite material as an effective persulfate catalyst: Performances and mechanisms[J]. Biochar, 2022,431. doi: 10.1007/s42773-022-00158-x

    32. [32]

      Bakkaloglu S, Ersan M, Karan T, Apul G O. Effect of superfine pulverization of powdered activated carbon on adsorption of carbamazepine in natural source waters[J]. Sci. Total Environ., 2021,79314847.

    33. [33]

      Foo K Y, Hameed B H. Decontamination of textile wastewater via TiO2/activated carbon composite materials[J]. Adv. Colloid Interface Sci., 2010,159:130-143. doi: 10.1016/j.cis.2010.06.002

    34. [34]

      Huang W H, Wu R M, Chang O S, Juang S Y, Lee D J. Manganese ferrite modified agricultural waste-derived biochars for copper ions adsorption[J]. Bioresour. Technol., 2023,367128303. doi: 10.1016/j.biortech.2022.128303

    35. [35]

      Wang G S, Ma Y Y, Tong Y, Dong X F. Development of manganese ferrite/graphene oxide nanocomposites for magnetorheological fluid with enhanced sedimentation stability[J]. J. Ind. Eng. Chem., 2017,48:142-150. doi: 10.1016/j.jiec.2016.12.032

    36. [36]

      Wang G S, Zhao D X, Ma Y Y, Zhang Z X, Che H W, Mu J B, Zhang X L, Zhang Z. Synthesis and characterization of polymer-coated manganese ferrite nanoparticles as controlled drug delivery[J]. Appl. Surf. Sci., 2018,428:258-263. doi: 10.1016/j.apsusc.2017.09.096

    37. [37]

      Wang L, Li J J, Du Z A, Jin M Y, Yao J, Zhang Z Q. MnFe2O4/zeolite composite catalyst for activating peroxymonosulfate to efficiently degrade antibiotic[J]. Mater. Lett., 2023,344134460. doi: 10.1016/j.matlet.2023.134460

    38. [38]

      Du J K, Bao J G, Liu Y, Ling H B, Zheng H, Kim S H, Dionysiou D D. Efficient activation of peroxymonosulfate by magnetic Mn-MGO for degradation of bisphenol A[J]. J. Hazard. Mater., 2016,320:150-159. doi: 10.1016/j.jhazmat.2016.08.021

    39. [39]

      Deng J, Feng S F, Zhang K J, Li J, Wang H Y, Zhang T Q, Ma X Y. Heterogeneous activation of peroxymonosulfate using ordered mesoporous Co3O4 for the degradation of chloramphenicol at neutral pH[J]. Chem. Eng. J., 2017,308:505-515. doi: 10.1016/j.cej.2016.09.075

    40. [40]

      Yang L M, Chen W D, Sheng C H, Wu H L, Mao N T, Zhang H. Fe/N-codoped carbocatalysts loaded on carbon cloth (CC) for activating peroxymonosulfate (PMS) to degrade methyl orange dyes[J]. Appl. Surf. Sci., 2021,549149300. doi: 10.1016/j.apsusc.2021.149300

    41. [41]

      Ma R, Chen Z J, Xu W H, Yu R, Zhang Y C, Chen F, Peng X M, Ni B J, Qian J. Fe-MOFs/CuS nanocomposite-mediated peroxymonosulfate activation for tetracycline degradation: Boosted dual redox cycles[J]. J. Clean Prod., 2024,442140885. doi: 10.1016/j.jclepro.2024.140885

    42. [42]

      Luciano A J R, Soletti L D, Ferreira M E C, Cusioli L F, de Andrade M B, Bergamasco R, Yamaguchi N U. Manganese ferrite dispersed over graphene sand composite for methylene blue photocatalytic degradation[J]. J. Environ. Chem. Eng., 2020,8104191. doi: 10.1016/j.jece.2020.104191

    43. [43]

      Wang G, Zhao D Y, Kou F Y, Ouyang Q, Chen J Y, Fang Z Q. Removal of norfloxacin by surface Fenton system (MnFe2O4/H2O2): Kinetics, mechanism and degradation pathway[J]. Chem. Eng. J., 2018,351:747-755. doi: 10.1016/j.cej.2018.06.033

    44. [44]

      Wei Z Q, Huang S P, Zhang X D, Lu C G, He Y J. Hydrothermal synthesis and photo-Fenton degradation of magnetic MnFe2O4/rGO nanocomposites[J]. J. Mater. Sci.-Mater. Electron., 2020,31:5176-5186. doi: 10.1007/s10854-020-03077-4

    45. [45]

      Cam N T D, Pham H D, Pham T D, Phuong T T T, Hoang C V, Tung M H T, Trung N T, Huong N T, Hien T T T. Novel photocatalytic performance of magnetically recoverable MnFe2O4 /BiVO4 for polluted antibiotics degradation[J]. Ceram. Int., 2020,47:1686-1692.

    46. [46]

      Hu T Y, Li J J, Wang L, Wang H Y, Zhang Z Q, Jiang W X, Xue C G. ZnO/ZnFe2O4/zeolite composite catalyst for peroxymonosulfate oxidation and photocatalysis[J]. Mater. Lett., 2023,330133310. doi: 10.1016/j.matlet.2022.133310

  • 加载中
    1. [1]

      Yuanqing WangYusong PanHongwu ZhuYanlei XiangRong HanRun HuangChao DuChengling Pan . Enhanced Catalytic Activity of Bi2WO6 for Organic Pollutants Degradation under the Synergism between Advanced Oxidative Processes and Visible Light Irradiation. Acta Physico-Chimica Sinica, 2024, 40(4): 2304050-0. doi: 10.3866/PKU.WHXB202304050

    2. [2]

      Qiqi LiSu ZhangYuting JiangLinna ZhuNannan GuoJing ZhangYutong LiTong WeiZhuangjun Fan . Preparation of High Density Activated Carbon by Mechanical Compression of Precursors for Compact Capacitive Energy Storage. Acta Physico-Chimica Sinica, 2025, 41(3): 100028-0. doi: 10.3866/PKU.WHXB202406009

    3. [3]

      Jing ZhangSu ZhangQiqi LiLinken JiYutong LiYukang RenXiaobei ZangNing CaoHan HuPeng LiangZhuangjun Fan . Integrating high surface area and electric conductivity in activated carbon by in situ formation of the less-defective carbon network during selective chemical etching. Acta Physico-Chimica Sinica, 2025, 41(10): 100114-0. doi: 10.1016/j.actphy.2025.100114

    4. [4]

      Ping Song Nan Zhang Jie Wang Rui Yan Zhiqiang Wang Yingxue Jin . Experimental Teaching Design on Synthesis and Antitumor Activity Study of Cu-Pyropheophorbide-a Methyl Ester. University Chemistry, 2024, 39(6): 278-286. doi: 10.3866/PKU.DXHX202310087

    5. [5]

      Xinxin YUYongxing LIUXiaohong YIMiao CHANGFei WANGPeng WANGChongchen WANG . Photocatalytic peroxydisulfate activation for degrading organic pollutants over the zero-valent iron recovered from subway tunnels. Chinese Journal of Inorganic Chemistry, 2025, 41(5): 864-876. doi: 10.11862/CJIC.20240438

    6. [6]

      Siyu HOUWeiyao LIJiadong LIUFei WANGWensi LIUJing YANGYing ZHANG . Preparation and catalytic performance of magnetic nano iron oxide by oxidation co-precipitation method. Chinese Journal of Inorganic Chemistry, 2024, 40(8): 1577-1582. doi: 10.11862/CJIC.20230469

    7. [7]

      Lijuan Wang Yuping Ning Jian Li Sha Luo Xiongfei Luo Ruiwen Wang . Enhancing the Advanced Nature of Natural Product Chemistry Laboratory Courses with New Research Findings: A Case Study of the Application of Berberine Hydrochloride in Photodynamic Antimicrobial Films. University Chemistry, 2024, 39(11): 241-250. doi: 10.12461/PKU.DXHX202403017

    8. [8]

      Peng GENGGuangcan XIANGWen ZHANGHaichuang LANShuzhang XIAO . Hollow copper sulfide loaded protoporphyrin for photothermal-sonodynamic therapy of cancer cells. Chinese Journal of Inorganic Chemistry, 2024, 40(10): 1903-1910. doi: 10.11862/CJIC.20240155

    9. [9]

      Guanghui SUIYanyan CHENG . Application of rice husk-based activated carbon-loaded MgO composite for symmetric supercapacitors. Chinese Journal of Inorganic Chemistry, 2025, 41(3): 521-530. doi: 10.11862/CJIC.20240221

    10. [10]

      Yadan LuoHao ZhengXin LiFengmin LiHua TangXilin She . Modulating reactive oxygen species in O, S co-doped C3N4 to enhance photocatalytic degradation of microplastics. Acta Physico-Chimica Sinica, 2025, 41(6): 100052-0. doi: 10.1016/j.actphy.2025.100052

    11. [11]

      Qing XueShengyi LiYanan ZhaoPeng ShengLi XuZhengxi LiBo ZhangHui LiBo WangLibin YangYuliang CaoZhongxue Chen . Novel Alkaline Sodium-Ion Battery Capacitor Based on Active Carbon||Na0.44MnO2 towards Low Cost, High-Rate Capability and Long-Term Lifespan. Acta Physico-Chimica Sinica, 2024, 40(2): 2303041-0. doi: 10.3866/PKU.WHXB202303041

    12. [12]

      Yajuan XingHui XueJing SunNiankun GuoTianshan SongJiawen SunYi-Ru HaoQin Wang . Cu3P-Induced Charge-Oriented Transfer and Surface Reconstruction of Ni2P to Achieve Efficient Oxygen Evolution Activity. Acta Physico-Chimica Sinica, 2024, 40(3): 2304046-0. doi: 10.3866/PKU.WHXB202304046

    13. [13]

      Shiqian WEIXinyu TIANHong LIUMaoxia CHENFan TANGQiang FANWeifeng FANYu HU . Oxygen reduction reaction/oxygen evolution reaction catalytic performances of different active sites on nitrogen-doped graphene loaded with iron single atoms. Chinese Journal of Inorganic Chemistry, 2025, 41(9): 1776-1788. doi: 10.11862/CJIC.20250102

    14. [14]

      Chunmei GUOWeihan YINJingyi SHIJianhang ZHAOYing CHENQuli FAN . Facile construction and peroxidase-like activity of single-atom platinum nanozyme. Chinese Journal of Inorganic Chemistry, 2024, 40(9): 1633-1639. doi: 10.11862/CJIC.20240162

    15. [15]

      Zilin HuYaoshen NiuXiaohui RongYongsheng Hu . Suppression of Voltage Decay through Ni3+ Barrier in Anionic-Redox Active Cathode for Na-Ion Batteries. Acta Physico-Chimica Sinica, 2024, 40(6): 2306005-0. doi: 10.3866/PKU.WHXB202306005

    16. [16]

      Hao XURuopeng LIPeixia YANGAnmin LIUJie BAI . Regulation mechanism of halogen axial coordination atoms on the oxygen reduction activity of Fe-N4 site: A density functional theory study. Chinese Journal of Inorganic Chemistry, 2025, 41(4): 695-701. doi: 10.11862/CJIC.20240302

    17. [17]

      Pengcheng YanPeng WangJing HuangZhao MoLi XuYun ChenYu ZhangZhichong QiHui XuHenan Li . Engineering Multiple Optimization Strategy on Bismuth Oxyhalide Photoactive Materials for Efficient Photoelectrochemical Applications. Acta Physico-Chimica Sinica, 2025, 41(2): 100014-0. doi: 10.3866/PKU.WHXB202309047

    18. [18]

      Jingkun YuXue YongAng CaoSiyu Lu . Bi-Layer Single Atom Catalysts Boosted Nitrate-to-Ammonia Electroreduction with High Activity and Selectivity. Acta Physico-Chimica Sinica, 2024, 40(6): 2307015-0. doi: 10.3866/PKU.WHXB202307015

    19. [19]

      Jianan HongChenyu XuYan LiuChangqi LiMenglin WangYanwei Zhang . Decoding the interfacial competition between hydrogen evolution and CO2 reduction via edge-active-site modulation in photothermal catalysis. Acta Physico-Chimica Sinica, 2025, 41(9): 100099-0. doi: 10.1016/j.actphy.2025.100099

    20. [20]

      Wentao XuXuyan MoYang ZhouZuxian WengKunling MoYanhua WuXinlin JiangDan LiTangqi LanHuan WenFuqin ZhengYoujun FanWei Chen . Bimetal Leaching Induced Reconstruction of Water Oxidation Electrocatalyst for Enhanced Activity and Stability. Acta Physico-Chimica Sinica, 2024, 40(8): 2308003-0. doi: 10.3866/PKU.WHXB202308003

Metrics
  • PDF Downloads(15)
  • Abstract views(2093)
  • HTML views(527)

通讯作者: 陈斌, bchen63@163.com
  • 1. 

    沈阳化工大学材料科学与工程学院 沈阳 110142

  1. 本站搜索
  2. 百度学术搜索
  3. 万方数据库搜索
  4. CNKI搜索
Address:Zhongguancun North First Street 2,100190 Beijing, PR China Tel: +86-010-82449177-888
Powered By info@rhhz.net

/

DownLoad:  Full-Size Img  PowerPoint
Return