Syntheses, structures, and properties of three coordination polymers based on 5-ethylpyridine-2,3-dicarboxylic acid and N-containing ligands

Long TANG Yaxin BIAN Luyuan CHEN Xiangyang HOU Xiao WANG Jijiang WANG

Citation:  Long TANG, Yaxin BIAN, Luyuan CHEN, Xiangyang HOU, Xiao WANG, Jijiang WANG. Syntheses, structures, and properties of three coordination polymers based on 5-ethylpyridine-2,3-dicarboxylic acid and N-containing ligands[J]. Chinese Journal of Inorganic Chemistry, 2024, 40(10): 1975-1985. doi: 10.11862/CJIC.20240180 shu

基于5-乙基吡啶-2,3-二羧酸和含N配体的三种配合物的合成、结构与性质

    通讯作者: 唐龙, ydtangl@126.com
    王记江, yadxwjj@126.com
  • 基金项目:

    国家自然科学基金 21763028

    国家自然科学基金 22169022

    陕西省榆林市科技计划项目 CXY-2021-125

摘要: 通过水热法合成了3种配位聚合物[Mn(epda)(2,2′-bipy)(H2O)] (1)、[Mn(epda)(phen)] (2)、[Co2(epda)2(bpe)2(H2O)4]·5H2O (3)(H2epda=5-乙基吡啶-2,3-二羧酸, 2,2′-bipy=2,2′-联吡啶, phen=菲咯啉, bpe=1,2-双(4-吡啶)乙烯), 并用单晶X射线衍射、热重分析、红外光谱和元素分析等手段对其进行了表征。单晶结构分析表明: 1是一个1D链状结构, 这些链进一步通过O—H…O氢键和π-π相互作用形成一个2D结构。2是2D层结构, 通过π-π相互作用形成一个3D结构。3是一个1D链状结构, 这些链进一步通过O—H…O氢键形成一个2D结构配合物。配合物13的荧光特性表明它们有望用作发光传感器。1通过不同的检测机制对邻硝基苯酚具有高度的选择性和敏感性, 而3对2,4,6-三硝基苯酚具有高度的选择性和敏感性。此外, 还研究了2的磁性行为。

English

  • Metal-organic coordination polymers (MOCPs) of mixed-ligands assembly have received much attention, not only because of their fascinating architectures but also owing to their potential applications in luminescence, catalysis, selective molecular recognition, adsorption or separation, ion exchange, magnetic properties, etc[1-6]. The mixed-ligand strategy, which uses various organic linkers, has been proven to be highly efficient among such systems. The most outstanding is the incorporation of polycarboxylates and N-donors co-ligands, which have successfully generated more diverse and interesting polymeric networks with potential properties[7-9]. Coordination polymers (CPs) with supramolecular interaction are also subjects in current research fields. The assembly of non-covalent interactions has been regarded as more than an academic curiosity, in the non-covalent assemblies, especially those based on hydrogen bonding and π-π stacking, are among the most explored and best investigated supramolecular architectures[10-11]. There has been increasing interest in the CPs of functional aromatic multidentate ligands, which offer a variety of coordination modes and hydrogen bonding acceptors/donors to develop a variety of intriguing structural motifs[12-13].

    As a strategy, in our studies, multidentate O- and N-donor ligands have been employed for the construction of CPs, e.g., with 5-ethyl-pyridine-2,3-dicarboxylic acid (H2epda) as a multidentate ligand[14-15]. Herein, we report three new CPs, [Mn(epda)(2,2′-bipy)(H2O)] (1), [Mn(epda)(phen)] (2), and [Co2(epda)2(bpe)2(H2O)4]·5H2O (3), where 2,2′-bipy=2,2′-bipyridine, phen=phenanthroline, bpe=1,2-bis(4-pyridyl) ethylene. The syntheses, crystal structures, and properties of the three compounds are presented and the results are discussed in this paper.

    The H2epda, 2,2′-bipy, phen, and bpe ligands were purchased in the Jinan Henghua Sci. & Tec. Co., Ltd. All other reagents and solvents employed were commercially available and used without further purification. Elemental analyses were performed with a Perkin-Elmer 2400 CHN Elemental analyzer. Infrared spectra on KBr pellets were recorded on a Nicolet 170SX FT-IR spectrophotometer in a range of 400-4 000 cm-1. Thermogravimetric (TG) analyses were conducted with a Nietzsch STA 449C micro analyzer under the atmosphere at a heating rate of 5 ℃·min-1. Powder X-ray diffraction (PXRD) patterns were recorded on a Shimadzu XRD-7000 diffractometer analyzer, the working voltage of PXRD was 40 kV, the current was 40 mA, the radiation source was Cu (λ=0.154 18 nm), and the scanning range was 20°-80°. The fluorescence spectra were studied using a Hitachi F-7100 fluorescence spectrophotometer at room temperature.

    A mixture of H2epda (0.019 6 g, 0.1 mmol), 2,2′-bipy (0.015 6 g, 0.1 mmol), Mn(OAc)2·4H2O (0.024 2 g, 0.1 mmol), H2O (3.0 mL), and CH3OH (3.0 mL) was stirred and heated in a 20 mL Teflon-lined autoclave at T=368 K for 5 d, and then slowly cooled to room temperature. Yellow block crystals of CP 1 were obtained, washed with CH3OH, and dried in the air. Yield: 47% (based on Mn). Elemental analysis Calcd. for C19H17MnN3O5(%): C 54.04, H 4.06, N 9.95; Found(%): C 54.12, H 4.02, N 9.87. IR data (KBr, cm-1): 3 433(vs), 2 971(w), 1 608(vs), 1 563(vs), 1 432(s), 1 384(m), 1 217(w), 809(s), 715(w), 625(w).

    CP 2 was prepared as for CP 1 by using the phen ligand (0.1 mmol, 0.018 g) instead of 2,2′-bipy. Yellow crystals of CP 2 were obtained with a yield of 51% based on Mn. Elemental analysis Calcd. for C21H15MnN3O4(%): C, 58.89; H, 3.53; N, 9.81. Found(%): C, 58.93; H, 3.48; N, 9.72. IR data (KBr, cm-1): 2 975(w), 1 647(vs), 1 603(vs), 1 512(w), 1 516(vs), 1 423(vs), 1 365(vs), 1 194(m), 1 094(m), 849(s), 728(s), 629(w).

    The preparation of CP 3 was similar to that of CP 1 using H2epda (0.019 6 g, 0.1 mmol), bpe (0.018 g, 0.1 mmol), and CoCl2·6H2O (0.023 g, 0.1 mmol). Red crystals of CP 3 were obtained. Yield: 47% based on Mn. Elemental analysis. Calcd. for C42H52Co2N6O17(%): C, 48.94; H, 5.08; N, 8.15. Found(%): C, 48.85; H, 5.47; N, 8.21. IR data (KBr, cm-1): 3 388(vs), 2 975(w), 1 612(s), 1 567(m), 1 423(m), 1 392(m), 1 352(m), 1 203(w), 1 094(m), 1 015(w), 835(s), 715(w), 633(w).

    Diffraction intensities for CPs 1-3 were collected at 293 K on a Bruker SMART 1000 CCD diffractometer employing graphite-monochromated Mo radiation (λ=0.071 073 nm). A semi-empirical absorption correction was applied using the SADABS program[16]. The structures were solved by direct methods and refined by full-matrix least-squares on F2 using the SHELXS 2014 and SHELXL 2014 programs, respectively[17-18]. Non-hydrogen atoms were refined anisotropically. H atoms bonded to C atoms were placed in geometrically calculated positions, with a C—H length of 0.093/0.096/0.097 nm and Uiso(H)=1.2Ueq(C) for aromatic H atoms. Water H atoms were refined in a riding mode with a restraint of O—H length of 0.081-0.090 nm and with Uiso(H)=1.5Ueq(O). DFIX restraints were applied to the O—H bond of carboxylic acid groups and coordination water, but the position of the O atom was not restricted. The crystallographic data for CPs 1-3 are listed in Table 1, and selected bond lengths and angles are listed in Table S1 (Supporting information).

    Table 1

    Table 1.  Crystal data and structural refinement summary of CPs 1-3
    下载: 导出CSV
    Parameter 1 2 3
    Empirical formula C19H17MnN3O5 C21H15MnN3O4 C42H52Co2N6O17
    Formula weight 422.29 428.30 1 030.75
    Crystal system Monoclinic Monoclinic Orthorhombic
    Space group C2/c P21/c Pbcn
    a / nm 2.732 4(2) 1.244 4(2) 1.836 8(6)
    b / nm 0.917 68(8) 1.064 2(2) 0.956 4(3)
    c / nm 1.508 34(13) 1.385 9(3) 2.751 7(9)
    β / (°) 103.845 0(10) 108.459(2)
    V / nm3 3.672 2(6) 1.740 9(6) 4.83 4(3)
    Dc / (g·cm-3) 1.528 1.634 1.416
    Z 8 4 4
    μ / mm-1 0.756 0.795 0.762
    θ range for data collection / (°) 2.348-24.998 2.462-24.988 1.849-25.471
    Reflection collected, unique 8 886, 3 214 (Rint=0.033 8) 8 537, 3 074 (Rint=0.014 2) 24 015, 4 460 (Rint=0.075 9)
    Data, restraint, number of parameters 3 214, 6, 259 3 074, 0, 263 4 460, 16, 318
    Goodness-of-fit (GOF) on F2 1.049 1.062 1.054
    Final R indices [I > 2σ(I)] R1=0.036 1, wR2=0.094 2 R1=0.022 1, wR2=0.559 R1=0.061 1, wR2=0.180 9
    Largest difference in peak and hole / (e·nm-3) 427 and -351 203 and -216 1 209 and -501
    2.1.1   Crystal structures of CP 1

    Single-crystal X-ray structure determination has revealed that CP 1 consists of one Mn(Ⅱ) ion, one completely deprotonated H2epda (epda2-), one 2,2′-bipy molecule, and one coordinated water molecule. Each Mn(Ⅱ) center is six-coordinated by three oxygen atoms from two epda2- ions and one coordinating water molecule, three nitrogen atoms from one epda2- ion and one 2,2′-bipy ligand, yielding a distorted MnO3N3 octahedral geometry (Fig.1). The bond lengths for Mn—O/N are between 0.211 08(19) and 0.231 6(2) nm, and the O/N—Mn—O/N bond angles cover a range of 71.37(8)°-175.22(8)° (Table S1). In CP 1, the coordination mode adopted by the epda2- ion can be classified as μ2-(κ3N3, O1∶O3). The β-carboxylate group of the epda2- ion is monodentate connecting one Mn(Ⅱ) center, while the α-carboxylate group is part of an O, N chelation of a second Mn(Ⅱ) center to form a chain along the c-axis direction (Fig.S1). Hydrogen bonding and π-π stacking interactions play an important role in the structure of 1. Adjacent chains are joined by strong intermolecular O—H…O hydrogen bonding [O5…O1 distance: 0.276 1(3) nm, O5…O2 distance: 0.281 3(3) nm] to generate a double chain structure (Fig.2, Table S2). All 2,2′-bipy ligands bristle out from two sides of the chains, and the double chains are packed into a 2D network through π-π stacking interactions between the 2,2′-bipy ligands (Fig.3). The pyridine ring (N1, C10 to C14) and pyridine ring (N2, C15 to C19) form the π plane, the centroid coordinates Cg of the π plane are (0.863 46, -0.008 32, 0.489 33) and (1.009 07, 0.102 217, 0.635 028), respectively. The centroid-to-centroid distance of the π plane is 0.441 84(3) nm, the distance from the centroid to the π plane is 0.368 8(4) nm, and the dihedral angle of two π planes is 8.3° (Fig.S2).

    Figure 1

    Figure 1.  Coordination environment of the Mn(Ⅱ) center in CP 1

    The hydrogen atoms except for coordinated water are omitted for clarity; Displacement ellipsoids are drawn at the 40% probability level; Symmetry code: #1: x, 1-y, 1/2+z.

    Figure 2

    Figure 2.  Double chain structure in CP 1

    Displacement ellipsoids are drawn at the 40% probability level.

    Figure 3

    Figure 3.  Two-dimensional layer structure in CP 1
    2.1.2   Crystal structures of CP 2

    CP 2 shows a 2D layer structure, it is made up of the Mn(Ⅱ) ion, epda2- ion, and phen molecule. Each six-coordinated Mn(Ⅱ) ion is located in a [MnO3N3] distorted octahedral geometry, and is coordinated to three oxygen atoms of three epda2- ions and three nitrogen atoms of one epda2- ion and one phen ligand, as shown in Fig.4. The bond lengths of Mn—O and Mn—N are in a range of 0.212 87(11)-0.236 20(13) nm, the O/N—Mn—O/N bond angles cover a range of 71.59(5)°-163.68(4)° (Table S1). Compared with CP 1, the coordination mode adopted by the epda2- ion of CP 2 can be classified as μ3-(κ4N1, O1∶O3∶O4). The β-carboxylate group of the epda2- ion is double monodentate bridging two Mn(Ⅱ) ions, and the α-carboxylate group is part of an O, N chelation of a third Mn(Ⅱ) ion to form a 2D layer structure (Fig.5). The π-π stacking interaction exists between adjacent layers of phen molecules in CP 2. The pyridine ring (N2, C10 to C14) and benzene ring (C13 to C18) form the π plane, and the centroid coordinates Cg of the π plane are (0.593 69, 0.365 13, 0.477 51). The centroid-to-centroid distance of the π plane is 0.387 2(3) nm, the distance from the centroid to the π plane is 0.347 2(4) nm, and the two π planes are parallel (Fig.S3). These 2D layers are packed into a 3D structure through π-π stacking interactions (Fig.6). Compared with the structure of CP 1, the Mn(Ⅱ) ion in CPs 1 and 2 is hexacoordinated. CP 1 has water molecules involved in coordination, resulting in the formation of a 1D chain structure, while in CP 2, the carboxyl oxygen atoms of the epda2- ion replace the coordinated water to form a 2D structure.

    Figure 4

    Figure 4.  Coordination environment of the Mn(Ⅱ) center in CP 2

    The hydrogen atoms are omitted for clarity; Displacement ellipsoids are drawn at the 40% probability level; Symmetry code: #1:-x+2, y-1/2, -z+3/2; #2: x, -y+3/2, z-1/2.

    Figure 5

    Figure 5.  Two-dimensional layer structure in CP 2

    Figure 6

    Figure 6.  Three-dimensional architecture of CP 2
    2.1.2   Crystal structures of CP 3

    CP 3 shows a 1D chain structure, it is made up of the Co(Ⅱ) ion, epda2- ion, bpe molecule, coordination water, and free water molecule. Each Co(Ⅱ) center is six-coordinated. Co1(Ⅱ) ion is coordinated to four oxygen atoms of coordination water molecule and two nitrogen atoms of two bpe ligands, and Co2(Ⅱ) ion is coordinated to two oxygen atoms of two epda2- ions and four nitrogen atoms of two bpe ligands and two epda2- ions, as shown in Fig.7. The bond lengths of Co—O and Co—N are in a range of 0.204 3(3)-0.218 6(4) nm. Compared with CPs 1 and 2, the coordination mode adopted by the epda2- ion of CP 3 can be classified as μ1-(κ2N3, O1), the α-carboxylate group is part of an O, N chelation of a Co(Ⅱ) ion, and the adjacent Co(Ⅱ) ions are connected to generate a 1D chain through bpe ligand bridging (Fig.8). There are two kinds of intermolecular hydrogen bonding: (ⅰ) hydrogen bonds between water molecules and carboxylato oxygen atoms [O5…O4 distance: 0.266 4(5) nm, O6…O3 distance: 0.262 4(5) nm, O7…O1 distance: 0.280 2(5) nm, O8…O2 distance: 0.293 6(7) nm]; (ⅱ) hydrogen bonds between water molecules [O5…O8 distance: 0.279 9(7) nm, O6…O7 distance: 0.271 6(6) nm, O9…O7 distance: 0.273 0(2) nm, O9…O8 distance: 0.289 0(2) nm] (Table S2 and Fig.S4). These 1D chains are further joined through O—H…O hydrogen bonding to produce a 3D architecture (Fig.9).

    Figure 7

    Figure 7.  Coordination environments of Co(Ⅱ) ions of CP 3

    Hydrogen atoms except for free H2O molecules and coordinated water are omitted for clarity; Displacement ellipsoids are drawn at the 40% probability level; Symmetry codes: #1:-x, y, -z+1/2; #2:-x+1, -y, -z.

    Figure 8

    Figure 8.  One-dimensional chain structure of CP 3

    Figure 9

    Figure 9.  Three-dimensional architecture of CP 3

    The experimental PXRD patterns featured peaks that were almost consistent with the simulated patterns, indicating that the products are almost pure phases (Fig.S5-S7). To study the thermal stability of CPs 1-3, TG analyses were performed on polycrystalline samples under a nitrogen atmosphere with a heating rate of 10 ℃·min-1 (Fig.S8-S10). TG curve of CP 1 reveals that the first weight loss of 4.4 % from 120 to 180 ℃ corresponds to the loss of coordinated water molecules (Calcd. 4.27%), and then the larger weight loss (Obsd. 82.8%) occurred in a range of 220-490 ℃, corresponding to the decomposition of the epda2- ion and 2,2′-bipy ligands (Calcd. 82.73%). The TG curve of CP 2 reveals that no weight loss occurred from room temperature up to about 230 ℃, above which significant weight losses of 87.3% were observed ending at about 520 ℃, corresponding to the decomposition of the epda2- ion and phen ligands (Calcd. 87.17%). The TG curve of CP 3 showed two-step weight losses, the first weight loss in a range of 100-230 ℃ (Obsd. 15.9%, Calcd. 15.73%) was assignable to the loss of free water and coordination water molecules. The second weight loss of 72.9% in a temperature range of 260-470 ℃ corresponds to the release of the epda2- ion and bpe ligands (Calcd. 72.84%). The final decomposition products of CPs 1-3 are confirmed to be MnO2 and CoO, which have also been further confirmed by PXRD patterns of the compounds.

    IR spectra of CPs 1-3 showed features attributable to the compositions of the CPs (Fig.S11-S13). The observed strong characteristic peaks appearing around 3433 cm-1 for 1 and 3 388 cm-1 for 3 in spectra are attributed to the O—H stretching vibrations, respectively. The intense characteristic peaks appearing around 1 607 and 1 563, 1 432 and 1 384 cm-1 for CP 1, 1 603 and 1 512, 1 423 and 1 365 cm-1 for CP 2, 1 612 and 1 567, 1 423 and 1 392 cm-1 for CP 3 in the IR spectra correspond to asymmetric and symmetric stretching vibrations of carboxylic groups, respectively. The presence of the characteristic bands at 1 064 cm-1 for CP 1, 1 096 cm-1 for CP 2, and 1 094 cm-1 for CP 3 suggest the νC—N stretching vibrations of the pyridine ring. The absorptions of 625-849 cm-1 of CPs 1-3 can be attributed to the γC—H plane bending vibration of the phenyl ring.

    The luminescent emission spectra of CPs 1-3 were examined in the solid state at room temperature as is shown in Fig.10. The main emission peak of the free ligand H2epda appeared at 348 nm (λex=311 nm) and can be assigned to the intra-ligand π*-π transitions[19]. CP 1 showed a strong emission peak at 415 nm (λex=356 nm), however, the intense emission of 2,2′-bipy ligand was observed at 419 and 443 nm(λex=390nm), respectively. Relative to their ligands, it probably owing to ligand-to-metal charge transfer (LMCT)[20-21]. CP 2 showed a weak emission peak at 394 nm (λex=345 nm), in comparison with that of free H2epda and phen [an intense emission at 398 nm (λex=306 nm)], which are attributed to H2epda or phen ligand-based charge transfer[22-23]. CP 3 showed a strong emission peak at 431 nm (λex=360 nm), in comparison with that of free H2epda and bpe [an intense emission at 439 nm (λex=360 nm)], which are attributed to LMCT in the bpe ligand.

    Figure 10

    Figure 10.  Emission spectra of the ligands, CPs 1-3

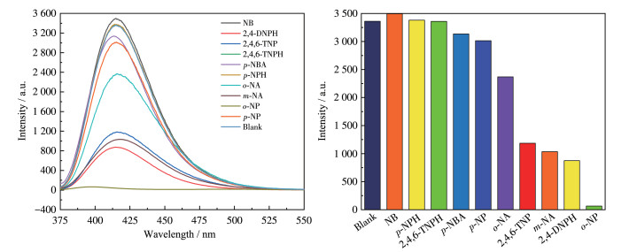
    The luminescent responses of CPs 1 and 3 were investigated by treating suspensions (2 mg of the CP dispersed in 2 mL aqueous solution) with 50 μmol·L-1 different analytes such as p-nitrobenzoic acid (p-NBA), m-nitroaniline (m-NA), o-nitroaniline (o-NA), o-nitrophenol (o-NP), p-nitrophenol (p-NP), p-nitrophenylhydrazine (p-NPH), nitrobenzene (NB), 2,4-dinitrophenylhydrazine (2,4-DNPH), 2,4,6-trinitrophenol (2,4,6-TNP) and 2,4,6-trinitrophenyl hydrazine (2,4,6-TNPH), respectively. Among these nitroaromatic compounds, o-NP almost quenched the luminescent intensity of CP 1 (Fig.11). The result indicates CP 1 may be regarded as a potential luminescent sensor for detecting o-NP. The luminescent intensities gradually decreased with the increasing concentration of o-NP. The best quenching efficiency observed for o-NP by CP 1 was calculated to be 99.28% upon incremental addition of 0-120 μL (1 mmol·L-1 o-NP) (Fig.12). To further analyze the luminescent titration results, the Stern-Volmer equation: I0/I=1+KsvcA was used to calculate the luminescence quenching efficiency, in which I0 and I are the luminescence intensities before and after the addition of o-NP, Ksv is the quenching constant (L·mol-1), and cA is the molar concentration of o-NP (mmol·L-1), respectively[24-25]. At low concentrations, the Stern-Volmer curve displayed an almost linear relationship, the linear equation was I0/I=1.116 13+41.873 67cA. The Ksv value for o-NP was calculated to be 41 873.7 L·mol-1 (Fig.13). The Stern-Volmer curve deviated from the linear correlation with the concentration increasing, demonstrating the simultaneous involvement of both the static and dynamic quenching process. Further detailed analysis denotes that the limit of detection (LOD) was 0.714 μmol·L-1 according to 3δ/k (δ and k represent standard error and slope, respectively)[26-27].

    Figure 11

    Figure 11.  Fluorescent spectra (left) and fluorescent intensity at 415 nm (right) of CP 1 dispersed in aqueous solutions with different nitroaromatic analytes

    Figure 12

    Figure 12.  Fluorescence response of CP 1 towards different concentrations of o-NP in aqueous solutions

    Figure 13

    Figure 13.  Stern-Volmer plot of I0/I vs the concentration of o-NP in the aqueous dispersion of CP 1 (left), and the area enlarged view for linearity of the plot at lower concentrations of o-NP (right)

    In the fluorescence titration, emission profiles of CP 3 showed selective and significant quenching for 2,4,6-TNP, and relatively low quenching was observed for other nitroaromatic analytes (Fig.14). The best quenching efficiency observed for 2,4,6-TNP by CP 3 was calculated to be 99.65% upon incremental addition of 0-80 μL (1 mmol·L-1 2,4,6-TNP, Fig.15). When the concentration of 2,4,6-TNP was as low as 0.090 9 mmol·L-1, the luminescent intensity of CP 3 was completely quenched by 2,4,6-TNP. As shown in Fig.16, good linearity of the plot at low concentrations of 2,4,6-TNP was observed which fitted well with the Stern-Volmer equation (I0/I=0.981 26+128.416cA). High fluorescence quenching efficiency was proved by the high Stern-Volmer binding constant (Ksv=128 416 L·mol-1), further detailed analysis denotes that the LOD was 0.193 μmol·L-1 according to 3δ/k. However, a nonlinear curvature at higher concentrations of 2,4,6-TNP was obtained. The nonlinear nature of the Stern-Volmer plot of 2,4,6-TNP can be attributed to self-absorption, a combination of static and dynamic quenching, or an energy-transfer process between 2,4,6-TNP and CP 3[28-30].

    Figure 14

    Figure 14.  Fluorescent spectra (left) and fluorescent intensity at 431 nm (right) of CP 3 dispersed in aqueous solutions with different nitroaromatic analytes

    Figure 15

    Figure 15.  Fluorescence response of CP 3 towards different concentrations of 2,4,6-TNP in aqueous solutions

    Figure 16

    Figure 16.  Stern-Volmer plot of I0/I vs the concentration of 2,4,6-TNP in the aqueous dispersion of CP 3 (left), and the area enlarged view for linearity of the plot at lower concentrations of 2,4,6-TNP (right)

    The magnetic behavior of CP 2 was investigated over a temperature range of 3-300 K in a field of 10 kOe (1 kOe=7.96×104 A·m-1). The magnetic susceptibilities χM vs T plots are shown in Fig.17. The χM per Mn(Ⅱ) ion decreased with increasing temperature to a round minimum value of 0.028 79 cm3·mol-1. The χMT value of 2 at 300 K was 8.637 cm3·mol-1·K, being close to that expected for a non-interacting pair of Mn(Ⅱ) ions (8.75 cm3·mol-1·K, S=5/2). The Mn1…Mn2 distance through the carboxylate bridges is 0.474 9 nm. The temperature dependence of the reciprocal susceptibility (1/χM) obeyed the Curie-Weiss law with θ= -1.388 K, C=6.46 cm3·mol-1·K, and R=1.772×10-4, where R=∑(χM, obs-χM, calcd)2/∑χM, obs2. The values of θ indicate antiferromagnetic interactions between adjacent Mn(Ⅱ) (S=5/2) ions.

    Figure 17

    Figure 17.  Plot of the χM and 1/χM vs T for CP 2

    ■: χM experimental values, △: 1/χM experimental values; The solid lines represent the best fit obtained from the Hamiltonian given in the text.

    In summary, three CPs have been synthesized and characterized by the self-assembly of Mn(Ⅱ)/Co(Ⅱ) salts with H2epda and N-containing ligands. CP 1 and 3 display a 1D chain structure, further, these chains are joined by O—H…O hydrogen bonding or π-π stacking interactions to generate a 2D layer structure. CP 2 displays a 2D layer structure, and adjacent layers are generated 3D architecture through π-π stacking interactions. The fluorescent properties of CPs 1 and 3 indicate that they can potentially be used as a luminescent sensor. CP 1 was highly selective and sensitive towards o-NP through different detection mechanisms, however, CP 3 was highly selective and sensitive towards 2,4,6-TNP. In addition, CP 2 exhibited weak antiferromagnetic behavior.

    Supporting information is available at http://www.wjhxxb.cn


    1. [1]

      Zhai Q G, Bu X H, Zhao X, Li D S, Feng P Y. Pore space partition in metal-organic frameworks. Acc. Chem. Res., 2017, 50: 407-417 doi: 10.1021/acs.accounts.6b00526

    2. [2]

      Park J, Xu M, Li F Y, Zhou H C. 3D long-range triplet migration in a water-stable metal-organic framework for upconversion-based ultralow-power in vivo imaging. J. Am. Chem. Soc., 2018, 140: 5493-5499 doi: 10.1021/jacs.8b01613

    3. [3]

      Liang Z B, Qu C, Xia D G, Zou R Q, Xu Q. Atomically dispersed metal sites in MOF-based materials for electrocatalytic and photocatalytic energy conversion. Angew. Chem. Int. Ed., 2018, 57: 9604-9633 doi: 10.1002/anie.201800269

    4. [4]

      Yang X G, Ma L F, Yan D P. Facile synthesis of 1D organic-inorganic perovskite micro-belts with high water stability for sensing and photonic applications. Chem. Sci., 2019, 10: 4567-4572 doi: 10.1039/C9SC00162J

    5. [5]

      Li Y, Mo Z W, Zhang X W, Zheng K, Zhou D D, Zhang J P. A metal-ligand layer compatible with various types of pillars for new porous coordination polymers. Cryst. Growth Des., 2020, 20: 7021-7026 doi: 10.1021/acs.cgd.0c01078

    6. [6]

      Chen L Y, Xu Q. Metal-organic framework composites for catalysis. Matter, 2019, 1: 57-89 doi: 10.1016/j.matt.2019.05.018

    7. [7]

      Rachuri Y, Parmar B, Bisht K K, Suresh E. Mixed ligand two dimensional Cd(Ⅱ)/Ni(Ⅱ) metal-organic frameworks containing dicarboxylate and tripodal N-donor ligands: Cd(Ⅱ) MOF is an efficient luminescent sensor for detection of picric acid in aqueous media. Dalton Trans., 2016, 45: 7881-7892 doi: 10.1039/C6DT00753H

    8. [8]

      Das A, Das S, Trivedi V, Biswas S. A dual functional MOF-based fluorescent sensor for intracellular phosphate and extracellular 4-nitrobenzaldehyde. Dalton Trans., 2019, 48: 1332-1343 doi: 10.1039/C8DT03964J

    9. [9]

      Wang J, Wu J, Lu L, Xu H J, Trivedi M, Kumar A, Liu J Q, Zheng M B. A new 3D 10-connected Cd(Ⅱ) based MOF with mixed ligands: A dual photoluminescent sensor for nitroaromatics and ferric ion. Front. Chem., 2019, 7: 244 doi: 10.3389/fchem.2019.00244

    10. [10]

      Sun Y, Zhang N, Guan Q L, Liu C H, Li B, Zhang K Y, Li G H, Xing Y H, Bai F Y, Sun L X. Sensing of Fe3+ and Cr2O72- in water and white light: Synthesis, characterization, and fluorescence properties of a crystalline bismuth-1,3,5-benzenetricarboxylic acid framework. Cryst. Growth Des., 2019, 19: 7217-7229 doi: 10.1021/acs.cgd.9b01098

    11. [11]

      Qin J H, Huang Y D, Zhao Y, Yang X G, Li F F, Wang C, Ma L F. Highly dense packing of chromophoric linkers achievable in a pyrene-based metal-organic framework for photoelectric response. Inorg. Chem., 2019, 58: 15013-15016 doi: 10.1021/acs.inorgchem.9b02203

    12. [12]

      Wu Y P, Xu G W, Dong W W, Zhao J, Li D S, Zhang J, Bu X H. Anionic lanthanide MOFs as a platform for iron-selective sensing systematic color tuning, and efficient nanoparticle catalysis. Inorg. Chem., 2017, 56: 1402-1411 doi: 10.1021/acs.inorgchem.6b02476

    13. [13]

      Tang L, Wang H H, Fu Y H, Wang Y T, Wang J J, Hou X Y. Three cobalt-based coordination polymers with tripodal carboxylate and imidazole-containing ligands: Syntheses, structures, properties and DFT studies. RSC Adv., 2019, 9: 38902-38911 doi: 10.1039/C9RA07737E

    14. [14]

      Li X L, Liu G Z, Xin L Y, Wang L Y. Three Zn(Ⅱ) metal-organic frameworks assembled from a versatile tecton 5-ethyl-pyridine-2,3-dicarboxylate and dipyridyl-type coligand. CrystEngComm, 2012, 14: 1729-1736 doi: 10.1039/C1CE06050C

    15. [15]

      Tang L, Shi D Q, Wang Y L, Yin S Y, Wang J J, Hou X Y. Structures and properties of two pillared-layer Mn(Ⅱ) MOFs with 5-ethyl-pyridine-2,3-dicarboxylate. Chin. J. Struct. Chem., 2019, 38: 1600-1608

    16. [16]

      Sheldrick G M. SADABS, A program for empirical absorption correction of area detector data. University of Göttingen, Germany, 2008.

    17. [17]

      Sheldrick G M. SHELXS-2014/7, Program for crystal structure solution. University of Göttingen, Germany, 2014.

    18. [18]

      Sheldrick G M. SHELXL-2014/7, Program for crystal structure refinement. University of Göttingen, Germany, 2014.

    19. [19]

      Gong Y, Hao Z, Sun J L, Shi H F, Jiang P G, Lin J H. Metal(Ⅱ) complexes based on 1,4-bis(3-pyridylaminomethyl)benzene: Structures, photoluminescence and photocatalytic properties. Dalton Trans., 2013, 42: 13241-13250 doi: 10.1039/c3dt51188j

    20. [20]

      Song S Y, Song X Z, Zhao S N, Qin C, Su S Q, Zhu M, Hao Z M, Zhang H J. Syntheses, structures and physical properties of transition metal-organic frameworks assembled from trigonal heterofunctional ligands. Dalton Trans., 2012, 41: 10412-10421 doi: 10.1039/c2dt30826f

    21. [21]

      Zhang L L, Wang X B, Hu M. Crystal structures and photoluminescent properties of two d10 metal coordination polymers based on 5-aminodiacetic isophthalic acid. Inorg. Chem. Commun., 2014, 45: 75-78 doi: 10.1016/j.inoche.2014.04.009

    22. [22]

      Yang X P, Wang S Q, Zhang L J, Huang S M, Li Z P, Wang C R, Zhu T, Bo L. First NIR luminescent polymeric high-nuclearity Cd-Ln nanoclusters from a long-chain Schiff base ligand. J. Mater. Chem. C, 2016, 4: 1589-1593 doi: 10.1039/C5TC04103A

    23. [23]

      Wang D, Zhang D, Han S D, Pan J, Xue Z Z, Li J H, Wang G M. A pillared-layer strategy to construct water-stable Zn-organic frameworks for iodine capture and luminescence sensing of Fe3+. Dalton Trans., 2019, 48: 602-608 doi: 10.1039/C8DT04091E

    24. [24]

      Wen G X, Han M L, Wu X Q, Wu Y P, Dong W W, Zhao J, Li D S, Ma L F. A multi-responsive luminescent sensor based on a super-stable sandwich-type terbium(Ⅲ)-organic framework. Dalton Trans., 2016, 45: 15492-15499 doi: 10.1039/C6DT03057B

    25. [25]

      Zhang Q S, Wang J, Kirillov A M, Dou W, Xu C, Xu C L, Yang L Z, Fang R, Liu W S. Multifunctional Ln-MOF luminescent probe for efficient sensing of Fe3+, Ce3+, and acetone. ACS Appl. Mater. Interfaces, 2018, 10: 23976-23986 doi: 10.1021/acsami.8b06103

    26. [26]

      Ju P, Zhang E S, Jiang L, Zhang Z, Hou X Y, Zhang Y Q, Yang H, Wang J J. A novel microporous Tb-MOF fluorescent sensor for highly selective and sensitive detection of picric acid. RSC Adv., 2018, 8: 21671-21678 doi: 10.1039/C8RA02602E

    27. [27]

      Hou B L, Tian D, Liu J, Dong L Z, Li S L, Li D S, Lan Y Q. A water-stable metal-organic framework for highly sensitive and selective sensing of Fe3+ ion. Inorg. Chem., 2016, 55: 10580-10586 doi: 10.1021/acs.inorgchem.6b01809

    28. [28]

      Wu K, Hu J S, Shi S N, Li J X, Cheng X F. A thermal stable pincer-MOF with high selective and sensitive nitro explosive TNP, metal ion Fe3+ and pH sensing in aqueous solution. Dyes Pigment., 2020, 173: 107993 doi: 10.1016/j.dyepig.2019.107993

    29. [29]

      Zhou X H, Li L, Li H H, Li A, Yang T, Huang W. A flexible Eu(Ⅲ)-based metal-organic framework: Turn-off luminescent sensor for the detection of Fe(Ⅲ) and picric acid. Dalton Trans., 2013, 42: 12403-12409 doi: 10.1039/c3dt51081f

    30. [30]

      王高峰, 孙述文, 宋少飞, 吕玫. 一种镉基配位聚合物的合成及其对2,4,6-三硝基苯酚的荧光识别. 无机化学学报, 2023, 39(12): 2407-2414 doi: 10.11862/CJIC.2023.197WANG G F, SUN S W, SONG S F, LÜ M. Synthesis of a Cd(Ⅱ)-based coordination polymer for luminescence detecting 2,4,6-trinitrophenol. Chinese J. Inorg. Chem., 2023, 39(12): 2407-2414 doi: 10.11862/CJIC.2023.197

  • Figure 1  Coordination environment of the Mn(Ⅱ) center in CP 1

    The hydrogen atoms except for coordinated water are omitted for clarity; Displacement ellipsoids are drawn at the 40% probability level; Symmetry code: #1: x, 1-y, 1/2+z.

    Figure 2  Double chain structure in CP 1

    Displacement ellipsoids are drawn at the 40% probability level.

    Figure 3  Two-dimensional layer structure in CP 1

    Figure 4  Coordination environment of the Mn(Ⅱ) center in CP 2

    The hydrogen atoms are omitted for clarity; Displacement ellipsoids are drawn at the 40% probability level; Symmetry code: #1:-x+2, y-1/2, -z+3/2; #2: x, -y+3/2, z-1/2.

    Figure 5  Two-dimensional layer structure in CP 2

    Figure 6  Three-dimensional architecture of CP 2

    Figure 7  Coordination environments of Co(Ⅱ) ions of CP 3

    Hydrogen atoms except for free H2O molecules and coordinated water are omitted for clarity; Displacement ellipsoids are drawn at the 40% probability level; Symmetry codes: #1:-x, y, -z+1/2; #2:-x+1, -y, -z.

    Figure 8  One-dimensional chain structure of CP 3

    Figure 9  Three-dimensional architecture of CP 3

    Figure 10  Emission spectra of the ligands, CPs 1-3

    Figure 11  Fluorescent spectra (left) and fluorescent intensity at 415 nm (right) of CP 1 dispersed in aqueous solutions with different nitroaromatic analytes

    Figure 12  Fluorescence response of CP 1 towards different concentrations of o-NP in aqueous solutions

    Figure 13  Stern-Volmer plot of I0/I vs the concentration of o-NP in the aqueous dispersion of CP 1 (left), and the area enlarged view for linearity of the plot at lower concentrations of o-NP (right)

    Figure 14  Fluorescent spectra (left) and fluorescent intensity at 431 nm (right) of CP 3 dispersed in aqueous solutions with different nitroaromatic analytes

    Figure 15  Fluorescence response of CP 3 towards different concentrations of 2,4,6-TNP in aqueous solutions

    Figure 16  Stern-Volmer plot of I0/I vs the concentration of 2,4,6-TNP in the aqueous dispersion of CP 3 (left), and the area enlarged view for linearity of the plot at lower concentrations of 2,4,6-TNP (right)

    Figure 17  Plot of the χM and 1/χM vs T for CP 2

    ■: χM experimental values, △: 1/χM experimental values; The solid lines represent the best fit obtained from the Hamiltonian given in the text.

    Table 1.  Crystal data and structural refinement summary of CPs 1-3

    Parameter 1 2 3
    Empirical formula C19H17MnN3O5 C21H15MnN3O4 C42H52Co2N6O17
    Formula weight 422.29 428.30 1 030.75
    Crystal system Monoclinic Monoclinic Orthorhombic
    Space group C2/c P21/c Pbcn
    a / nm 2.732 4(2) 1.244 4(2) 1.836 8(6)
    b / nm 0.917 68(8) 1.064 2(2) 0.956 4(3)
    c / nm 1.508 34(13) 1.385 9(3) 2.751 7(9)
    β / (°) 103.845 0(10) 108.459(2)
    V / nm3 3.672 2(6) 1.740 9(6) 4.83 4(3)
    Dc / (g·cm-3) 1.528 1.634 1.416
    Z 8 4 4
    μ / mm-1 0.756 0.795 0.762
    θ range for data collection / (°) 2.348-24.998 2.462-24.988 1.849-25.471
    Reflection collected, unique 8 886, 3 214 (Rint=0.033 8) 8 537, 3 074 (Rint=0.014 2) 24 015, 4 460 (Rint=0.075 9)
    Data, restraint, number of parameters 3 214, 6, 259 3 074, 0, 263 4 460, 16, 318
    Goodness-of-fit (GOF) on F2 1.049 1.062 1.054
    Final R indices [I > 2σ(I)] R1=0.036 1, wR2=0.094 2 R1=0.022 1, wR2=0.559 R1=0.061 1, wR2=0.180 9
    Largest difference in peak and hole / (e·nm-3) 427 and -351 203 and -216 1 209 and -501
    下载: 导出CSV
  • 加载中
计量
  • PDF下载量:  1
  • 文章访问数:  776
  • HTML全文浏览量:  70
文章相关
  • 发布日期:  2024-10-10
  • 收稿日期:  2024-05-16
  • 修回日期:  2024-07-09
通讯作者: 陈斌, bchen63@163.com
  • 1. 

    沈阳化工大学材料科学与工程学院 沈阳 110142

  1. 本站搜索
  2. 百度学术搜索
  3. 万方数据库搜索
  4. CNKI搜索

/

返回文章