Citation: Yang WANG, Xiaoqin ZHENG, Yang LIU, Kai ZHANG, Jiahui KOU, Linbing SUN. Mn single-atom catalysts based on confined space: Fabrication and the electrocatalytic oxygen evolution reaction performance[J]. Chinese Journal of Inorganic Chemistry, 2024, 40(11): 2175-2185. doi: 10.11862/CJIC.20240165
基于限阈空间制备Mn单原子催化剂及其电催化析氧性能
English
Mn single-atom catalysts based on confined space: Fabrication and the electrocatalytic oxygen evolution reaction performance
-
Key words:
- single-atom catalyst
- / confined space
- / mesoporous silica
- / oxygen evolution reaction
-
0. 引言
近年来,单原子催化剂(SACs)凭借其优异的催化效果和较高的原子利用率成为催化领域的研究热点[1-6]。作为一种非均相催化剂,SACs不仅稳定、易于分离,而且具备均相催化剂所具有的孤立活性位点,成为连接均相催化剂和非均相催化剂之间的桥梁[7-13]。SACs中单个分散的原子会与载体原子之间产生一定强度的相互作用。这种相互作用具有2个方面的作用:一方面,可以通过改变其活性中心的配位环境来调节其电子的结构,从而提高其催化性;另一方面还可以形成共价键和离子键,更好地锚定活性金属原子,增强催化剂的稳定性[14]。相较于传统的纳米颗粒催化剂,SACs可以最大程度地利用金属原子的活性。研究表明,当单个金属原子被分离并锚定在载体上时,SACs中的金属催化活性可达100%[15],其制备消耗更少、成本更低,所以在二氧化碳还原反应[16]、氧还原反应[17]、析氢反应[18]、氮还原反应[19]等方面得到广泛应用。
在催化剂结构中,单个金属活性位点是否以孤立原子形式分散是决定催化剂活性的重要因素。除了最大程度地应用载体本身的优势以外,合成方法也是影响金属活性位点分布以及尺寸、形貌的重要因素。目前,经过研究者们的努力,已经开发多种策略来合成SACs。包括空间限制[20-22]、浸渍和共沉淀[23-24]、原子层沉积[25-27]、气体迁移[28-30]、电化学沉积[31-33]等。Yang课题组[34]通过将氮化硼纳米片超声12 h后洗涤干燥得到了有缺陷的氮化硼纳米片,然后加入前驱体铑盐超声2 h,经过碱液调节pH后,冰浴12 h冷冻干燥得到Rh SACs。Pan课题组[35]通过将ZIF-8与KCl研磨超声后干燥并在氩气气氛下热处理得到了氮掺杂碳纳米片,将其与前驱体钴盐超声并旋蒸12 h后,在氩气气氛下热处理,洗涤干燥后得到Co SACs。这些研究为合成SACs提供了多种有效的方法。然而,高能耗、苛刻的条件或繁琐的过程等问题阻碍了SACs的发展。如何简单高效地制备SACs仍是一个巨大的挑战。
在本研究中,我们报道了一种通过未去除模板剂的介孔二氧化硅KIT-6(TOK)中模板与二氧化硅壁之间的限阈空间来构建Mn单原子的简捷方法。众所周知,载体在制备SACs过程中非常重要,介孔二氧化硅KIT-6由于具有丰富的孔隙和表面可修饰性,是一种理想的多孔载体。通常研究者们使用焙烧后去除了模板剂的KIT-6作为载体。实际上,TOK中的模板剂和硅壁之间存在固有的限阈空间,限阈空间的存在能够使得金属高度分散,甚至在理想情况下产生单原子。基于此,我们设计了一种限阈空间策略,如图 1所示,利用TOK的限阈空间与丰富的Si—OH,通过固相研磨和焙烧制备高分散的Mn基SACs(MnTOK)。为了突出TOK的限阈空间作用,采用相同的方法将含等量金属Mn的前驱体Mn(CH3COO)2·4H2O引入到去除了模板剂的介孔氧化硅载体(TFK)上,再经过焙烧得到对比样品MnTFK。实验数据和密度泛函理论(DFT)的计算结果表明,金属Mn单原子以Mn—O—Si的形式存在。将所得的催化剂用于电催化析氧反应(OER)中,结果显示,在金属负载量相同的情况下,相比于MnTFK,MnTOK的催化活性更优异。
图 1
图 1. (a) 利用TOK的限阈空间制得高分散的Mn单原子和(b) 利用传统方法在TFK中制得聚集的MnO2的示意图Figure 1. (a) Schematic diagram of highly dispersed Mn single atoms produced using the confined space of TOK and (b) aggregated MnO2 produced in TFK using the traditional method1. 实验部分
1.1 实验材料
四水合醋酸锰(Mn(CH3COO)2·4H2O,99%)购自西陇科学股份有限公司;聚环氧乙烷-聚环氧丙烷-聚环氧乙烷三嵌段共聚物(P123)和正丁醇购自Sigma-Aldrich公司;正硅酸四乙酯(TEOS)、氢氧化钾、乙醇购自国药集团上海试剂有限公司;盐酸购自南京盛跃精细化工发展有限公司;空气(> 99.9%)购自南京特种气体厂股份有限公司;萘酚购自上海阿拉丁生化科技股份有限公司。
1.2 材料的制备
1.2.1 载体TOK的合成
按照文献中所述的合成方法来制备载体TOK[36]。首先称取4.0 g模板剂P123,并将其溶解于114 g去离子水、7.4 g质量分数为37%的HCl混合溶液中,在35 ℃的水浴锅中均匀搅拌3 h使P123充分溶解。后将4.0 g正丁醇逐滴加入上述混合液中,1 h后向混合液中逐滴加入8.5 g TEOS,之后继续在35 ℃水浴锅中搅拌20 h,将得到的均一溶胶体系转移至聚四氟乙烯内衬高压釜中,并在100 ℃烘箱内,陈化处理24 h。所合成的胶体体系中,TEOS、P123、HCl、H2O、BuOH的物质的量之比为1∶0.017∶1.93∶193∶1.31。最后,将陈化所得的白色固体进行过滤洗涤,在60 ℃下干燥6 h,便得到TOK。原粉TOK在550 ℃空气氛围下焙烧5 h得到的即为脱除模板剂的TFK。
1.2.2 MnTOK和MnTFK的合成
称取2.5 mg的Mn(CH3COO)2·4H2O和0.2 g的TOK置于研钵中,在室温下固相研磨30 min,Mn(CH3COO)2·4H2O前驱体盐进入到TOK的孔道中。固相混合物的焙烧:升温速率2 ℃·min-1,550 ℃下焙烧3 h,过程中不断地通入空气,将所得到的样品命名为MnTOK。作为对比,通过同样的操作将Mn(CH3COO)2·4H2O与TFK进行研磨焙烧后得到对比样品,将其命名为MnTFK。
1.3 表征仪器
采用日本Rigaku公司的Smartlab型X射线衍射(XRD)仪获取样品的XRD图,仪器使用Cu Kα射线(λ=0.154 nm)和Ni单色器,在40 kV和100 mA的工作电压和电流下,以0.5 (°)·s-1的扫描速度从10°扫到80°。采用FEI Tecnai G2 F20型透射电镜(TEM,工作电压为200 kV)对样品进行形貌分析。采用Themis G2 300型FEI Titan Cube的高角度环形暗场扫描透射电子显微镜(HAADF-STEM,工作电压为300 kV)对样品进行更高分辨率下原子级别的形貌分析。采用PHI 550型电子能谱仪得到样品的X射线光电子能谱(XPS),仪器用Al靶射线源,分析深度2~3 nm,用标准碳谱C1s谱峰284.6 eV对电子结合能进行校正。采用Nicolet IS10型傅里叶变换红外光谱仪得到样品的红外光谱图(FTIR),波数扫描范围为650~4 000 cm-1,分辨率为8 cm-1。采用德国Netzsch公司STA-409PC型同步热分析仪来测试样品的热稳定性(TG),测试温度范围为40~800 ℃,载气为10 mL·min-1的空气。采用日本MicrotracBEL公司的比表面和孔隙分析仪BELSORP-max Ⅱ测试样品的吸附-脱附等温线,根据BET(Brunauer- Emmett-Teller)方程计算得到样品的比表面积,根据p/p0为0.99时的氮气吸附量计算得到总孔体积。采用瑞士万通公司的Autolab PGSTAT 302N进行电化学测试。采用Perkin Elmer OPTIMA7000DV电感耦合等离子体原子发射光谱(ICP-AES)检测Mn含量。在上海光源BL11B光束线站上进行了Mn K边的X射线吸收光谱(EXAFS),测试得到X射线吸收精细结构谱(XANES)的数据。
1.4 电化学性能测试
首先,分别用丙酮、乙醇和去离子水超声处理碳布15 min。超声波处理后,让碳布自然干燥,得到洁净干燥的碳布。将催化剂(10.0 mg)和炭黑(10.0 mg)在含有450 μL乙醇和50 μL Nafion(质量分数5.0%)的溶液中混合,超声2 h后获得均匀的催化剂墨汁。然后,取5 μL分散均匀的墨汁滴加到碳布上,待液浆干燥后对样品进行OER测试。本实验采用由Hg/HgO(参比电极)、1 cm×1 cm Pt片(对电极)和碳布(工作电极)组成的三电极体系,在电化学工作站(PGSTAT 302N)进行电化学性能测试。电解质由0.1 mol·L-1 KOH水溶液制成。测试前,对电解液进行30 min的N2通气处理,排尽电解液中的氧气。测试方式包括在线性扫描伏安法(LSV,0.2~1.0 V,扫描速率5 mV·s-1)、循环伏安法(CV)、恒压稳定性测试(v-t)、电化学阻抗谱测试(EIS)。为便于比较,所有相对Hg/HgO电极电位(E′)均转化为相对可逆氢电极(RHE)电位(E):
$ E=E^{\prime}+0.0592 \mathrm{pH}+0.098 $ (1) 1.5 密度泛函理论计算
模拟计算采用密度泛函理论(DFT)方法,在Gaussian 16软件中进行。具体而言,我们使用B3LYP DFT方法,采用6-31G(d)基组表述无机元素的电子行为,而金属元素则使用SDD赝势基组进行描述。此外,还使用GD3BJ色散修正进行几何优化,并在相同水平上计算单点能。
2. 结果与讨论
2.1 Mn单原子的结构特性和活性组分分散状态
图 2a是载体TFK以及负载了金属的MnTOK、MnTFK样品的小角XRD图。从图中观察到所有的样品都出现了和载体类似的特征峰,这初步表明所制备的样品均维持与载体相同的三维六方介孔孔道结构。与TOK相比,TFK和MnTFK的衍射峰向高角度发生偏移,这是因为氧化硅骨架在焙烧去除模板剂时发生了一定程度的收缩,而MnTOK的衍射峰出现在与TOK相近的位置。这意味着Mn前驱体在焙烧的过程中进入了模板和硅壁之间的限阈空间内,从而抑制了氧化硅骨架在焙烧时的收缩。此外,在图 2b所示的广角XRD图上,我们可以看到所有样品在23°左右均出现了属于氧化硅无定形特征衍射峰。同时所有的样品均未出现属于Mn化合物的衍射峰,这初步表明金属Mn在氧化硅上分布较为均匀,没有形成大颗粒的聚集。
图 2
图 3是样品MnTOK和MnTFK的亮场TEM图。2个样品的TEM图上都可以看到规整的孔道结构,也更进一步证实了在载体TOK上通过固相研磨的方法引入Mn前驱体之后,仍然能够保持孔道结构,证实了小角XRD的结果。同时从图 3a和3b可以观察到TOK的孔道十分规整干净,没有出现大颗粒的金属团簇聚集,这也说明了通过固相研磨法将金属引入TOK的孔道后,Mn金属原子在孔道内分散良好。然而不同的是,在MnTFK的TEM图中,通过更直观的观察,可以发现部分孔道不清晰。综上所述,金属在TOK上可以均匀分散,而且没有破坏载体的孔道结构,TEM显示的结果与XRD得到的结论完全吻合。这也说明了TOK比TFK更容易促进金属颗粒的分散。
图 3
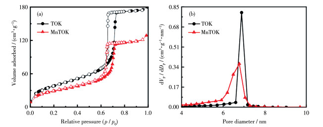
为了进一步了解引入金属之后载体的孔道结构变化,对样品TFK、MnTOK和MnTFK进行了N2吸附-脱附等温线测试。如图 4a所示,所有的样品均在0.6~0.8的相对压力之间出现了代表着介孔孔道结构的Ⅳ型等温线和H1型滞后环。表明在将Mn引入到载体以后,样品的介孔孔道结构没有被破坏。从表 1可以看出MnTOK与MnTFK的比表面积与孔体积相较于载体TFK均有一定程度的减小,这也进一步表明了Mn原子被引入到了孔道中。从表中还可以看出TFK的孔径原本为7.7 nm,在引入金属Mn之后,样品MnTOK的孔径并没有发生变化,然而,MnTFK的孔径有一定程度的减小,说明样品在TOK上要比在TFK上分布得更加均匀。
图 4
表 1
Sample SBET/(m2·g-1) Vp/(cm3·g-1) Dp/nm Metal mass fraction/% TFK 977 1.4 7.7 — MnTOK 896 1.1 7.7 1.28 MnTFK 665 0.8 7.4 1.34 * The metal mass fractions were determined by ICP-AES; SBET represents the specific surface area, Vp represents the porosity, Dp represents the pore size. 为了更直观可靠地观察到金属原子的分布状态,使用了像差校正的HAADF-STEM对样品进行分析。从图 5a的HAADF-STEM图可以看出,在MnTOK的样品中存在许多白色的亮点,这些都归属于Mn的单原子亮点。图 5b中相对应的元素分布图显示,Mn元素与Si和O元素的分布情况一致,都非常均匀。而从图 5c可以看出,MnTFK中存在许多属于MnO2颗粒的聚集亮斑,这说明在MnTFK的制备过程中,Mn在载体TFK上形成了MnO2颗粒。
图 5
图 6是样品的高分辨率Mn2p、Si2p和O1s的XPS谱图。从图 6a可以看出无论是MnTOK还是MnTFK的谱图都显示了归属于Mn金属的特征峰,与MnTFK相比,MnTOK中Mn的结合能向更高结合能发生偏移,这表明其化学环境发生了变化。同时,从图 6b和6c可以看出MnTOK中Si2p和O1s的结合能与负载Mn前的TFK相比向低结合能方向发生了偏移。这是因为在Mn单原子的形成过程中,Mn原子与TOK中硅壁上的Si—OH基团发生了结合,形成Mn—O—Si的共价结构。因此,Mn原子上的电子向SiO2发生了转移,从而使Mn价态增加,最终导致其结合能的增强。而Si和O在得到了电子之后,其价态略微减小,因此在Si2p和O1s中,MnTOK的结合能减小。
图 6
为进一步研究Mn的化学环境,对样品MnTOK和MnTFK进行了XANES和EXAFS测试,Mn箔和MnO2被用来作为参考。图 7a为MnTOK、MnTFK和参比样品的Mn K边的XANES谱图,从图中可以看出,Mn的吸收边缘位置介于Mn箔和MnO2之间,表明Mn的平均价态在0和+4之间,而且与MnTFK相比,MnTOK的峰值向更高的能量偏移,表明样品MnTOK中的Mn的氧化状态增加,这与XPS的结果一致。图 7b中是没有进行相位校正的EXAFS光谱,MnTOK在R空间中显示了一个以0.132 nm为中心的峰,对应于Mn—O的第一壳层,与MnO2在0.150 nm处的峰相比略有偏移。同时,在0.233 nm处的属于Mn箔的Mn—Mn配位峰也没有在MnTOK中观察到,这些结果都表明Mn物质在MnTOK中是原子分散的。为了进一步揭示Mn单原子的配位环境,图 7c和7d对荧光模式测量的EXAFS光谱进行了R空间和k空间的拟合,其拟合结果表明,第一壳层中Mn的平均配位数在3左右,这表明MnTOK中的Mn是以Mn—O—Si配位的形式与3个O原子进行配位。如图 8所示,通过DFT计算建立了TOK与MnTOK的结构模型,结果表明其中1个Mn阳离子与3个O阴离子耦合,与EXAFS光谱拟合结果一致。
图 7
图 7. MnTOK、MnTFK和参比样品的(a) Mn K边XANES光谱图(插图:吸收边缘的放大图)、(b) k3加权傅里叶变换EXAFS光谱图(未经过相位校正);MnTOK的(c) R空间和(d) k空间的拟合曲线Figure 7. (a) Mn K-edge XANES spectra (Inset: magnified plot of the absorption edge) and (b) Fourier-transformed k3-weighted EXAFS spectra (uncorrected for the phase shift) of MnTOK, MnTFK, and the reference samples; (c) R-space and (d) k-space fitting curves of MnTOK图 8
2.2 单原子Mn的形成原理
根据以上讨论,以TOK为载体可以得到Mn SACs。将Mn前驱体引入模板剂与硅壁之间的限阈空间应该是形成单原子的关键步骤。为了探索TOK中限阈空间促进金属分散形成单原子的机理,我们首先对所得样品进行了TG测试,结果如图 9所示。从图中样品焙烧之前的TG和微商热重分析(DTG)曲线中我们可以观察到,载体TOK在160~300 ℃区间内由于模板剂P123的受热分解约有50%的失重。根据图 9b DTG曲线可以观察到,TOK在178 ℃出现明显的失重峰,明显低于文献中报道的纯P123的分解温度,这是因为硅壁对P123的促进作用降低了P123的分解温度。同时,当金属Mn引入之后,分解温度提升到190 ℃,这是因为金属成功引入模板剂与硅壁的限阈空间内,在一定程度上阻碍了硅壁对模板剂分解的促进作用。由此,可以解释金属前驱体成功进入了限阈空间。
图 9
同时为了进一步验证Mn原子被成功引入到了TOK中存在的限阈空间内,我们在将Mn引入TOK载体前后,且这2个阶段未经焙烧的状态下,进行了低温N2吸附-脱附测试。如图 10所示,将金属Mn引入到TOK中后,其N2吸附量有了明显的下降,而且其孔径分布也有了明显的变化,通过Barrett-Joyner-Halenda方法与BET公式计算所得的孔径与比表面积的数值也显示了焙烧前样品的孔径与比表面积均小于焙烧后的。这表明金属Mn引入到了TOK的限阈空间内,造成了部分孔道的堵塞,导致N2吸附量以及孔体积下降。
图 10
限阈空间是促进金属原子分散并形成单原子的主要原因,但同时我们也不能忽略载体中丰富的Si—OH对于金属原子的锚定作用。为探究Si—OH对金属原子形成单原子的促进作用,我们进一步对焙烧前后的样品进行了FTIR的测试。从图 11a可以看出,TOK在2 850~3 000 cm-1和1 350~1 500 cm-1两处均有一系列属于模板剂P123中C—H的伸缩振动峰,同样在焙烧前的MnTOK中也存在同样的P123归属峰,经过焙烧后的样品其归属峰消失,说明模板剂经过焙烧后被脱除。同时,在960 cm-1处TOK和TFK都产生了由于表面Si—OH的振动造成的振动峰[13],通过对比还可以发现,经过焙烧,TFK中的Si—OH被大量消耗,导致其对应的振动峰强度明显弱于TOK,这也进一步证实了MnTOK上存在大量的Si—OH,从而使活性物质Mn和载体之间的作用力增强,抑制其金属原子移动,进一步使其分散均匀。
图 11
综上所述,TOK中限阈空间的存在和丰富的Si—OH基团是形成Mn单原子的关键。限阈空间的存在是容纳Mn前驱体的前提条件,而丰富的Si—OH基团对随后的Mn的锚定起到了重要作用。
2.3 Mn单原子的催化性能
我们对材料的OER催化活性进行了评估,结果如图 12所示。在每次LSV测量期间,所有电位值都经过iR校正,以抵消溶液的电阻。如图 12a所示,MnTOK表现出更好的电催化活性,随着电压的增加,MnTOK表现出更高的电流密度,当电流密度达到10 mA·cm-2时,MnTOK的过电位(0.5 V)明显低于MnTFK的过电位(0.56 V)。这一结果表明,更分散的MnTOK降低了OER的过电位,表明单原子在电催化OER中具有更好的电催化活性。离子和电荷传输是影响电化学OER催化剂性能的关键因素。根据EIS测量结果,在1.8 V电位下,MnTOK的电荷转移电阻小于MnTFK(图 12b),这表明Mn原子的存在有利于OER性能的提高。EIS分析表明,电荷转移电阻的顺序与LSV得到的结果一致。
图 12
图 12. MnTOK和MnTFK的(a) LSV曲线和(b) EIS曲线Figure 12. (a) LSV curves and (b) EIS curves of MnTOK and MnTFKInset: fitted equivalent circuit diagrams of MnTOK, where Rs stands for solution resistance, Rp stands for polarization impedance, W stands for Warburg impedance, and CPE stands for constant phase element.
对于催化剂的实际应用而言,催化剂的稳定性与活性同样重要。为此我们分别对MnTOK和MnTFK进行了CV实验。如图 13a所示,经过100个循环后,MnTOK的CV曲线与初始曲线基本相同。此外,在10 mA·cm-2的恒定电流下获得的电压与LSV图中10 mA·cm-2时的电压一致,并且在长达24 h的时间内保持稳定,没有降低的趋势(图 13b)。
图 13
3. 结论
我们报道了一种利用TOK中的限阈空间合成Mn SACs的简单方法。通过简单的固相研磨和随后的焙烧,Mn前驱体很容易进入TOK的限阈空间。DFT和实验结果表明,通过焙烧之后金属Mn原子与载体上的Si—OH结合,每个Mn阳离子与3个O阴离子配位并以Mn—O—Si的形式存在。从OER测试结果可以看出,以TOK为载体所制备的MnTOK在催化反应中显示出了更好的活性,在金属负载量相同的情况下,相比于MnTFK,MnTOK具有更低的过电位,而且具有优异的稳定性。这种简便的方法为SACs的制备提供了一种简单和通用的策略,这为开发其他功能性材料提供了新思路。
-
-
[1]
Cheng N C, Stambula S, Wang D, Banis M N, Liu J, Riese A, Xiao B W, Li R Y, Sham T K, Liu L M, Botton G A, Sun X L. Platinum single-atom and cluster catalysis of the hydrogen evolution reaction[J]. Nat. Commun., 2016, 7(1): 13638-13647. doi: 10.1038/ncomms13638
-
[2]
Di J, Chen C, Yang S Z, Chen S M, Duan M L, Xiong J, Zhu C, Long R, Hao W, Chi Z, Chen H L, Weng Y X, Xia J X, Song L, Li S Z, Li H M, Liu Z. Isolated single atom cobalt in Bi3O4Br atomic layers to trigger efficient CO2 photoreduction[J]. Nat. Commun., 2019, 10: 2840-2847. doi: 10.1038/s41467-019-10392-w
-
[3]
Han G K, Zhang X, Liu W, Zhang Q H, Wang Z Q, Cheng J, Yao T, Gu L, Du C Y, Gao Y Z, Yin G P. Substrate strain tunes operando geometric distortion and oxygen reduction activity of CuN2C2 single-atom sites[J]. Nat. Commun., 2021, 12(1): 6335-6344. doi: 10.1038/s41467-021-26747-1
-
[4]
Lee B H, Park S, Kim M, Sinha A K, Lee S C, Jung E, Chang W J, Lee K S, Kim J H, Cho S P, Kim H, Nam K T, Hyeon T. Reversible and cooperative photoactivation of single-atom Cu/TiO2 photocatalysts[J]. Nat. Mater., 2019, 18(6): 620-626. doi: 10.1038/s41563-019-0344-1
-
[5]
Wei S J, Li A, Liu J C, Li Z, Chen W X, Gong Y, Zhang Q H, Cheong W C, Wang Y, Zheng L R, Xiao H, Chen C, Wang D S, Peng Q, Gu L, Han X D, Li J, Li Y D. Direct observation of noble metal nanoparticles transforming to thermally stable single atoms[J]. Nat. Nanotechnol., 2018, 13(9): 856-861. doi: 10.1038/s41565-018-0197-9
-
[6]
Tang J, Robichaux M A, Wu K L, Pei J Q, Nguyen N T, Zhou Y B, Wensel T G, Xiao H. Single-atom fluorescence switch: A general approach toward visible-light-activated dyes for biological imaging[J]. J. Am. Chem. Soc., 2019, 141(37): 14699-14706. doi: 10.1021/jacs.9b06237
-
[7]
Jiao L, Zhang R, Wan G, Yang W J, Wan X, Zhou H, Shui J L, Yu S H, Jiang H L. Nanocasting SiO2 into metal‑organic frameworks imparts dual protection to high-loading Fe single-atom electrocatalysts[J]. Nat. Commun., 2020, 11(1): 2831-2838. doi: 10.1038/s41467-020-16715-6
-
[8]
He X H, Deng Y C, Zhang Y, He Q, Xiao D Q, Peng M, Zhao Y, Zhang H, Luo R C, Gan T, Ji H B, Ma D. Mechanochemical kilogram-scale synthesis of noble metal single-atom catalysts[J]. Cell Rep. Phys. Sci., 2020, 1(1): 100004-100016. doi: 10.1016/j.xcrp.2019.100004
-
[9]
Sui J F, Liu H, Hu S J, Sun K, Wan G, Zhou H, Zheng X, Jiang H L. A general strategy to immobilize single-atom catalysts in metal-organic frameworks for enhanced photocatalysis[J]. Adv. Mater., 2021, 34(6): 2109203.
-
[10]
Zhou H, Zhao Y F, Gan J, Xu J, Wang Y, Lv H W, Fang S, Wang Z Y, Deng Z L, Wang X Q, Liu P G, Guo W X, Mao B Y, Wang H, Yao T, Hong X, Wei S Q, Duan X Z, Luo J, Wu Y. Cation-exchange induced precise regulation of single copper site triggers room‑ temperature oxidation of benzene[J]. J. Am. Chem. Soc., 2020, 142(29): 12643-12650. doi: 10.1021/jacs.0c03415
-
[11]
Liu Y W, Wu X, Li Z, Zhang J, Liu S X, Liu S J, Gu L, Zheng L R, Li J, Wang D S, Li Y D. Fabricating polyoxometalates-stabilized single-atom site catalysts in confined space with enhanced activity for alkynes diboration[J]. Nat. Commun., 2021, 12(1): 4205-4214. doi: 10.1038/s41467-021-24513-x
-
[12]
Zheng X Q, Zhang K, Wang Y, Liu Y, Peng S S, Shao X B, Kou J, Sun L B. Construction of nickel single atoms by using the inherent confined space in template-occupied mesoporous silica[J]. Inorg. Chem., 2024, 63(18): 8312-8319. doi: 10.1021/acs.inorgchem.4c00626
-
[13]
Gu M X, Zheng X Q, Peng S S, Qi S C, Liu X Q, Sun L B. Fabrication of Fe single atoms by utilizing the inherent confined space for phenol hydroxylation[J]. ACS Sustain. Chem. Eng., 2023, 11(20): 7844-7850. doi: 10.1021/acssuschemeng.3c00856
-
[14]
Song W Q, Xiao C X, Ding J, Huang Z C, Yang X Y, Zhang T, Mitlin D, Hu W B. Review of carbon support coordination environments for single metal atom electrocatalysts (SACs)[J]. Adv. Mater., 2023, 36(1): 2301477-2301531.
-
[15]
Jeong H, Shin S, Lee H. Heterogeneous atomic catalysts overcoming the limitations of single-atom catalysts[J]. ACS Nano, 2020, 14(11): 14355-14374. doi: 10.1021/acsnano.0c06610
-
[16]
Sarma B B, Plessow P N, Agostini G, Concepción P, Pfänder N, Kang L, Wang F R, Studt F, Prieto G. Metal-specific reactivity in single-atom catalysts: CO oxidation on 4d and 5d transition metals atomically dispersed on MgO[J]. J. Am. Chem. Soc., 2020, 142(35): 14890-14902. doi: 10.1021/jacs.0c03627
-
[17]
Zhu Z J, Yin H J, Wang Y, Chuang C H, Xing L, Dong M Y, Lu Y R, Casillas Garcia G, Zheng Y L, Chen S, Dou Y H, Liu P, Cheng Q L, Zhao H J. Coexisting single-atomic Fe and Ni sites on hierarchically ordered porous carbon as a highly efficient ORR electrocatalyst[J]. Adv. Mater., 2020, 32(42): 2004670. doi: 10.1002/adma.202004670
-
[18]
Cao L L, Luo Q Q, Liu W, Lin Y K, Liu X K, Cao Y J, Zhang W, Wu Y, Yang J L, Yao T, Wei S Q. Identification of single-atom active sites in carbon-based cobalt catalysts during electrocatalytic hydrogen evolution[J]. Nat. Catal., 2018, 2(2): 134-141. doi: 10.1038/s41929-018-0203-5
-
[19]
Yang Y, Zhang W Y, Tan X H, Jiang K R, Zhai S L, Li Z. Atomic-level reactive sites for electrocatalytic nitrogen reduction to ammonia under ambient conditions[J]. Coord. Chem. Rev., 2023, 489: 215196-215218. doi: 10.1016/j.ccr.2023.215196
-
[20]
Wang M K, Hu Y, Pu J M, Zi Y, Huang W C. Emerging Xene-based single-atom catalysts: Theory, synthesis and catalytic applications[J]. Adv. Mater., 2023, 36(3): 2303492-2303599.
-
[21]
Zheng Y, Qiao S Z. Metal-organic framework assisted synthesis of single-atom catalysts for energy applications[J]. Natl. Sci. Rev., 2018, 5(5): 626-627. doi: 10.1093/nsr/nwy010
-
[22]
Gu M X, Gao L P, Peng S S, Qi S C, Shao X B, Liu X Q, Sun L B. Transition metal single atoms constructed by using inherent confined space[J]. ACS Nano, 2023, 17(5): 5025-5032. doi: 10.1021/acsnano.2c12817
-
[23]
Liu Y W, Li Z, Yu Q Y, Chen Y F, Chai Z W, Zhao G F, Liu S J, Cheong W C, Pan Y, Zhang Q H, Gu L, Zheng L R, Wang Y, Lu Y, Wang D S, Chen C, Peng Q, Liu Y Q, Liu L M, Chen J S, Li Y D. A general strategy for fabricating isolated single metal atomic site catalysts in Y zeolite[J]. J. Am. Chem. Soc., 2019, 141(23): 9305-9311. doi: 10.1021/jacs.9b02936
-
[24]
Jiao L, Jiang H L. Metal-organic-framework-based single-atom catalysts for energy applications[J]. Chem, 2019, 5(4): 786-804. doi: 10.1016/j.chempr.2018.12.011
-
[25]
Hülsey M J, Zhang B, Ma Z R, Asakura H, Do D A, Chen W, Tanaka T, Zhang P, Wu Z L, Yan N. In situ spectroscopy-guided engineering of rhodium single-atom catalysts for CO oxidation[J]. Nat. Commun., 2019, 10(1): 1330-1340. doi: 10.1038/s41467-019-09188-9
-
[26]
Qiao B T, Liang J X, Wang A Q, Xu C Q, Li J, Zhang T, Liu J Y. Ultrastable single-atom gold catalysts with strong covalent metal- support interaction (CMSI)[J]. Nano Res., 2015, 8(9): 2913-2924. doi: 10.1007/s12274-015-0796-9
-
[27]
Zhao S, Chen F, Duan S B, Shao B, Li T B, Tang H L, Lin Q Q, Zhang J Y, Li L, Huang J H, Bion N, Liu W, Sun H, Wang A Q, Haruta M, Qiao B T, Li J, Liu J Y, Zhang T. Remarkable active-site dependent H2O promoting effect in CO oxidation[J]. Nat. Commun., 2019, 10(1): 3824-3834. doi: 10.1038/s41467-019-11871-w
-
[28]
Ge X, Su G R, Che W, Yang J, Zhou X, Wang Z Y, Qu Y T, Yao T, Liu W, Wu Y. Atomic filtration by graphene oxide membranes to access atomically dispersed single atom catalysts[J]. ACS Catal., 2020, 10(18): 10468-10475. doi: 10.1021/acscatal.0c02203
-
[29]
Yang Z K, Chen B X, Chen W X, Qu Y T, Zhou F Y, Zhao C M, Xu Q, Zhang Q H, Duan X Z, Wu Y. Directly transforming copper oxide bulk into isolated single-atom copper sites catalyst through gas-transport approach[J]. Nat. Commun., 2019, 10(1): 3734-3741. doi: 10.1038/s41467-019-11796-4
-
[30]
Yang Z K, Zhao C M, Qu Y T, Zhou H, Zhou F Y, Wang J, Wu Y, Li Y D. Trifunctional self-supporting cobalt-embedded carbon nanotube films for ORR, OER, and HER triggered by solid diffusion from bulk metal[J]. Adv. Mater., 2019, 31(12): 1808043. doi: 10.1002/adma.201808043
-
[31]
Zhang J Q, Zhao Y F, Guo X, Chen C, Dong C L, Liu R S, Han C P, Li Y D, Gogotsi Y, Wang G X. Single platinum atoms immobilized on an MXene as an efficient catalyst for the hydrogen evolution reaction[J]. Nat. Catal., 2018, 1(12): 985-992. doi: 10.1038/s41929-018-0195-1
-
[32]
Zhang L H, Han L L, Liu H X, Liu X J, Luo J. Potential-cycling synthesis of single platinum atoms for efficient hydrogen evolution in neutral media[J]. Angew. Chem. Int. Ed., 2017, 56(44): 13694-13698. doi: 10.1002/anie.201706921
-
[33]
Zhang L Z, Fischer J M T A, Jia Y, Yan X C, Xu W C, Wang X C, Chen J, Yang D J, Liu H W, Zhuang L Z, Hankel M, Searles D J, Huang K K, Feng S H, Brown C L, Yao X D. Coordination of atomic Co-Pt coupling species at carbon defects as active sites for oxygen reduction reaction[J]. J. Am. Chem. Soc., 2018, 140(34): 10757-10763. doi: 10.1021/jacs.8b04647
-
[34]
Xiang J Q, Zhao H Y, Chen K, Yang X, Chu K. Electrocatalytic nitrite reduction to ammonia on an Rh single‑atom catalyst[J]. J. Colloid Interface Sci., 2024, 659: 432-438. doi: 10.1016/j.jcis.2024.01.013
-
[35]
Liu M H, Zhang J, Su H, Jiang Y L, Zhou W L, Yang C Y, Bo S W, Pan J, Liu Q H. In situ modulating coordination fields of single-atom cobalt catalyst for enhanced oxygen reduction reaction[J]. Nat. Commun., 2024, 15(1): 1675-1685. doi: 10.1038/s41467-024-45990-w
-
[36]
Pirez C, Caderon J M, Dacquin J P, Lee A F, Wilson K. Tunable KIT-6 mesoporous sulfonic acid catalysts for fatty acid esterification[J]. ACS Catal., 2012, 2(8): 1607-1614. doi: 10.1021/cs300161a
-
[1]
-
图 7 MnTOK、MnTFK和参比样品的(a) Mn K边XANES光谱图(插图:吸收边缘的放大图)、(b) k3加权傅里叶变换EXAFS光谱图(未经过相位校正);MnTOK的(c) R空间和(d) k空间的拟合曲线
Figure 7 (a) Mn K-edge XANES spectra (Inset: magnified plot of the absorption edge) and (b) Fourier-transformed k3-weighted EXAFS spectra (uncorrected for the phase shift) of MnTOK, MnTFK, and the reference samples; (c) R-space and (d) k-space fitting curves of MnTOK
图 12 MnTOK和MnTFK的(a) LSV曲线和(b) EIS曲线
Figure 12 (a) LSV curves and (b) EIS curves of MnTOK and MnTFK
Inset: fitted equivalent circuit diagrams of MnTOK, where Rs stands for solution resistance, Rp stands for polarization impedance, W stands for Warburg impedance, and CPE stands for constant phase element.
表 1 TFK、MnTOK和MnTFK的物性参数
Table 1. Physicochemical properties of TFK, MnTOK, and MnTFK*
Sample SBET/(m2·g-1) Vp/(cm3·g-1) Dp/nm Metal mass fraction/% TFK 977 1.4 7.7 — MnTOK 896 1.1 7.7 1.28 MnTFK 665 0.8 7.4 1.34 * The metal mass fractions were determined by ICP-AES; SBET represents the specific surface area, Vp represents the porosity, Dp represents the pore size. -
扫一扫看文章
计量
- PDF下载量: 10
- 文章访问数: 2143
- HTML全文浏览量: 383

下载:
下载: