Citation: Zeyu XU, Tongzhou LU, Haibo SHAO, Jianming WANG. Preparation and electrochemical lithium storage performance of porous silicon microsphere composite with metal modification and carbon coating[J]. Chinese Journal of Inorganic Chemistry, ;2024, 40(10): 1995-2008. doi: 10.11862/CJIC.20240164 shu

Preparation and electrochemical lithium storage performance of porous silicon microsphere composite with metal modification and carbon coating

  • Corresponding author: Jianming WANG, wjm@zju.edu.cn
  • Received Date: 4 June 2024
    Revised Date: 22 July 2024

Figures(8)

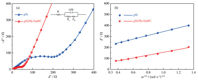
  • This work adopts a multi-step etching-heat treatment strategy to prepare porous silicon microsphere composite with Sb-Sn surface modification and carbon coating (pSi/Sb-Sn@C), using industrial grade SiAl alloy micro-spheres as a precursor. pSi/Sb-Sn@C had a 3D structure with bimetallic (Sb-Sn) modified porous silicon micro-spheres (pSi/Sb-Sn) as the core and carbon coating as the shell. Carbon shells can improve the electronic conductivity and mechanical stability of porous silicon microspheres, which is beneficial for obtaining a stable solid electrolyte interface (SEI) film. The 3D porous core promotes the diffusion of lithium ions, increases the intercalation/delithiation active sites, and buffers the volume expansion during the intercalation process. The introduction of active metals (Sb-Sn) can improve the conductivity of the composite and contribute to a certain amount of lithium storage capacity. Due to its unique composition and microstructure, pSi/Sb-Sn@C showed a reversible capacity of 1 247.4 mAh·g-1 after 300 charge/discharge cycles at a current density of 1.0 A·g-1, demonstrating excellent rate lithium storage performance and enhanced electrochemical cycling stability.
  • 加载中
    1. [1]

      Goodenough J B, Park K S. The Li-ion rechargeable battery: A per-spective[J]. J. Am. Chem. Soc., 2013,135(4):1167-1176. doi: 10.1021/ja3091438

    2. [2]

      LUO Z H, SHI Y, AN J Y, ZHENG D Y, LI L, OUYANG Q S, SHI B, SHAO J J. Two-dimensional silica-modified polyethylene oxide solid polymer electrolyte to enhance the performance of lithium-ion batter-ies[J]. Chinese J. Inorg. Chem., 2024,40(5):1005-1014.

    3. [3]

      XU H Y, WANG R, KANG Q L, LI D Y, XU Y, GE H L, LU Q Y. Research progress on design of high entropy oxides and their applica-tions in lithium-ion batteries[J]. Chinese J. Inorg. Chem., 2023,39(12):2241-2255. doi: 10.11862/CJIC.2023.206

    4. [4]

      Sun L, Jiang X W, Jin Z. Interfacial engineering of porous SiOx@C composite anodes toward high-performance lithium-ion batteries[J]. Chem. Eng. J., 2023,474145960. doi: 10.1016/j.cej.2023.145960

    5. [5]

      Li L, Deng J, Wang L, Wang C, Hu Y H. Boron-doped and carbon-controlled porous Si/C anode for high-performance lithium-ion batter-ies[J]. ACS Appl. Energy Mater., 2021,4(8):8488-8495. doi: 10.1021/acsaem.1c01688

    6. [6]

      Jiang X W, Sun L, Lu Y Y, Wang H Y, Shi J W, Yang L D, Zhang L, Lv R G, Jin Z. Ladderlike polysilsesquioxanes derived dual-carbon-buffer-shell structural silicon as stable anode materials for lithium-ion batteries[J]. J. Power Sources, 2024,602234331. doi: 10.1016/j.jpowsour.2024.234331

    7. [7]

      Xie J, Sun L, Liu Y X, Xi X G, Chen R Y, Jin Z. SiOx/C-Ag nanosheets derived from Zintl phase CaSi2 via a facile redox reaction for high performance lithium storage[J]. Nano Res., 2022,15(1):395-400. doi: 10.1007/s12274-021-3491-z

    8. [8]

      Wang L, Zheng X Y, Yu Y L, Xi F S, Li S Y, Ma W H, Tong Z Q, Wan X H. Scalable synthesis of high-performance Si/CNTs/C anodes for lithium-ion batteries based on recycling of silicon cutting waste[J]. J. Electroanal. Chem., 2024,952117942. doi: 10.1016/j.jelechem.2023.117942

    9. [9]

      Liu X H, Zhong L, Huang S, Mao S X, Zhu T, Huang J Y. Size-depen-dent fracture of silicon nanoparticles during lithiation[J]. ACS Nano, 2012,6(2):1522-1531. doi: 10.1021/nn204476h

    10. [10]

      Chen S Q, Shen L F, van Aken P A, Maier J, Yu Y. Dual-functional-ized double carbon shells coated silicon nanoparticles for high per-formance lithium-ion batteries[J]. Adv. Mater., 2017,29(21)1605650. doi: 10.1002/adma.201605650

    11. [11]

      Luo F, Liu B N, Zheng J Y, Chu G, Zhong K F, Li H, Huang X J, Chen L Q. Review-Nano-silicon/carbon composite anode materials towards practical application for next generation Li-ion batteries[J]. J. Electrochem. Soc., 2015,162(14):A2509-A2528. doi: 10.1149/2.0131514jes

    12. [12]

      Xu Y H, Zhu Y J, Han F D, Luo C, Wang C S. 3D Si/C fiber paper electrodes fabricated using a combined electrospray/electrospinning technique for Li-ion batteries[J]. Adv. Energy Mater., 2015,5(1)1400753. doi: 10.1002/aenm.201400753

    13. [13]

      SUN L, XIE J, HUANG S C, LIU Y X, ZHANG L, WU J, JIN Z. Rapid CO2 exfoliation of Zintl phase CaSi2-derived ultrathin free-standing Si/SiOx/C nanosheets for high-performance lithium storage[J]. Sci. China-Mater., 2022,65(1):51-58.

    14. [14]

      Lv X S, Wei W, Huang B B, Dai Y. Achieving high energy density for lithium-ion battery anodes by Si/C nanostructure design[J]. J. Mater. Chem. A, 2019,7(5):2165-2171. doi: 10.1039/C8TA10936B

    15. [15]

      Wang K, Pei S E, He Z S, Huang L A, Zhu S S, Guo J F, Shao H B, Wang J M. Synthesis of a novel porous silicon microsphere@carbon core-shell composite via in situ MOF coating for lithium ion battery anodes[J]. Chem. Eng. J., 2019,356:272-281. doi: 10.1016/j.cej.2018.09.027

    16. [16]

      Ensafi A A, Abarghoui M M, Rezaei B. Metal (Ni and Bi) coated porous silicon nanostructure, high-performance anode materials for lithium ion batteries with high capacity and stability[J]. J. Alloy. Compd., 2017,712:233-240. doi: 10.1016/j.jallcom.2017.04.103

    17. [17]

      Umirov N, Seo D H, Kim T, Kim H Y, Kim S S. Microstructure and electrochemical properties of rapidly solidified Si-Ni alloys as anode for lithium-ion batteries[J]. J. Ind. Eng. Chem., 2019,71:351-360. doi: 10.1016/j.jiec.2018.11.046

    18. [18]

      Deng L, Wu Z Y, Yin Z W, Lu Y Q, Huang Z G, You J H, Li J T, Huang L, Sun S G. High-performance Si-Mn/C composite anodes with integrating inactive Mn4Si7 alloy for lithium-ion batteries[J]. Electrochim. Acta, 2018,260:830-837. doi: 10.1016/j.electacta.2017.12.048

    19. [19]

      Li C L, Zhang P, Jiang Z Y. Effect of nano Cu coating on porous Si prepared by acid etching Al-Si alloy powder[J]. Electrochim. Acta, 2015,161:408-412. doi: 10.1016/j.electacta.2015.02.087

    20. [20]

      Lin N, Zhou J, Zhou J B, Han Y, Zhu Y C, Qian Y T. Synchronous synthesis of a Si/Cu/C ternary nano-composite as an anode for Li ion batteries[J]. J. Mater. Chem. A, 2015,3(34):17544-17548. doi: 10.1039/C5TA04354A

    21. [21]

      XIAO Z W, XU Z Y, WANG J M. Solution-phase synthesis of bimetallic (Sn/Ni) doped porous silicon microspheres with electro-chemical lithium storage[J]. Chinese J. Inorg. Chem., 2023,39(6):1031-1041.

    22. [22]

      Ma B J, Luo J, Deng X L, Wu Z Y, Luo Z G, Wang X Y, Wang Y. Hollow silicon-tin nanospheres encapsulated by N-doped carbon as anode materials for lithium-ion batteries[J]. ACS Appl. Nano Mater., 2018,1(12):6989-6999. doi: 10.1021/acsanm.8b01793

    23. [23]

      Su X, Wu Q, Li J, Xiao X, Lott A, Lu W, Sheldon B W, Wu J. Silicon-based nanomaterials for lithium-ion batteries: A review[J]. Adv. Energy Mater., 2014,4(1)1300882. doi: 10.1002/aenm.201300882

    24. [24]

      Liu L, Lyu J, Li T, Zhao T. Well-constructed silicon-based materials as high-performance lithium-ion battery[J]. Nanoscale, 2016,8(2):701-722. doi: 10.1039/C5NR06278K

    25. [25]

      Liu N, Lu Z, Zhao J, McDowell M T, Lee H W, Zhao W, Cui Y. A pomegranate-inspired nanoscale design for large-volume-change bat-tery anodes[J]. Nat. Nanotechnol., 2014,9(3):187-192. doi: 10.1038/nnano.2014.6

    26. [26]

      Bang B M, Kim H, Song H K, Cho J, Park S. Scalable approach to multi-dimensional bulk Si anodes via metal-assisted chemical etch-ing[J]. Energy Environ. Sci., 2011,4(12):5013-5019. doi: 10.1039/c1ee02310a

    27. [27]

      Sohn M, Lee D G, Park H, Park C, Choi J H, Kim H. Microstructure controlled porous silicon particles as a high capacity lithium storage material via dual step pore engineering[J]. Adv. Funct. Mater., 2018,28(23)1800855. doi: 10.1002/adfm.201800855

    28. [28]

      Ge M, Fang X, Rong J, Zhou C. Review of porous silicon preparation and its application for lithium-ion battery anodes[J]. Nanotechnology, 2013,24(42)422001. doi: 10.1088/0957-4484/24/42/422001

    29. [29]

      Kim K H, Lee D J, Cho K M, Kim S J, Park J K, Jung H T. Complete magnesiothermic reduction of vertically aligned mesoporous silica channels to form pure silicon nanoparticles[J]. Sci. Rep., 2015,59014. doi: 10.1038/srep09014

    30. [30]

      Xu Z Y, Hou Y P, Guo J F, Wang J M, Zhou S D. Metallic tin nanoparticle-reinforced tin-doped porous silicon microspheres with superior electrochemical lithium storage properties[J]. ACS Appl. Energy Mater., 2021,4(12):14141-14154. doi: 10.1021/acsaem.1c02916

    31. [31]

      Wang B R, Li W W, Wu T, Guo J, Wen Z Y. Self-template construc-tion of mesoporous silicon submicrocube anode for advanced lithium ion batteries[J]. Energy Storage Mater., 2018,15:139-147. doi: 10.1016/j.ensm.2018.03.025

    32. [32]

      Vrankovic D, Graczyk-Zajac M, Kalcher C, Rohrer J, Becker M, Stabler C, Trykowski G, Albe K, Riedel R. Highly porous silicon embedded in a ceramic matrix: A stable high-capacity electrode for Li-ion batteries[J]. ACS Nano, 2017,11(11):11409-11416. doi: 10.1021/acsnano.7b06031

    33. [33]

      Han X, Zhang Z Q, Zheng G R, You R, Wang J Y, Li C, Chen S Y, Yang Y. Scalable engineering of bulk porous Si anodes for high ini-tial efficiency and high-areal-capacity lithium-ion batteries[J]. ACS Appl. Mater. Interfaces, 2018,11(1):714-721.

    34. [34]

      Wang M S, Wang G L, Wang S, Zhang J, Wang J, Zhong W, Tang F, Yang Z L, Zheng J, Li X. In situ catalytic growth 3D multi-layers graphene sheets coated nano-silicon anode for high performance lithium-ion batteries[J]. Chem. Eng. J., 2019,356:895-903. doi: 10.1016/j.cej.2018.09.110

    35. [35]

      Fang R, Xiao W, Miao C, Mei P, Zhang Y, Yan X M, Jiang Y. En-hanced lithium storage performance of core-shell structural Si@TiO2/NC composite anode via facile sol-gel and in situ N-doped carbon coating processes[J]. Electrochim. Acta, 2019,317:575-582. doi: 10.1016/j.electacta.2019.06.028

    36. [36]

      Lu B, Ma B J, Deng X L, Wu B, Wu Z Y, Luo J, Wang X Y, Chen G R. Dual stabilized architecture of hollow Si@TiO2@C nanospheres as anode of high-performance Li-ion battery[J]. Chem. Eng. J., 2018,351:269-279. doi: 10.1016/j.cej.2018.06.109

    37. [37]

      Zhang X L, Huang L W, Zeng P, Wu L, Shen Q Q, Gao Z X, Chen Y G. Hierarchical MoS2 anchored on core-shell Si@C with increased active-sites and charge transfer for superior cycling and rate capabil-ity in lithium-ion batteries[J]. Chem. Eng. J., 2019,357:625-632. doi: 10.1016/j.cej.2018.09.163

    38. [38]

      Pan E Z, Jin Y H, Zhao C C, Jia M, Chang Q Q, Jia M Q. Dopamine-derived N-doped carbon encapsulating hollow Sn4P3 microspheres as anode materials with superior sodium storage performance[J]. J. Alloy. Compd., 2018,769:45-52. doi: 10.1016/j.jallcom.2018.07.361

    39. [39]

      Ye X C, Lin Z H, Liang S J, Huang X H, Qiu X Y, Qiu Y C, Liu X M, Xie D, Deng H, Xiong X H, Lin Z. Upcycling of electroplating sludge into ultrafine Sn@C nanorods with highly stable lithium stor-age performance[J]. Nano Lett., 2019,19(3):1860-1866. doi: 10.1021/acs.nanolett.8b04944

    40. [40]

      Zuo D C, Song S C, An C S, Tang L B, He Z J, Zheng J C. Synthesis of sandwich-like structured Sn/SnOx@MXene composite through in-situ growth for highly reversible lithium storage[J]. Nano Energy, 2019,62:401-409. doi: 10.1016/j.nanoen.2019.05.062

    41. [41]

      Wang L, Zhu L M, Zhang W F, Ding G C, Yang G, Xie L L, Cao X Y. Revealing the unique process of alloying reaction in Ni-Co-Sb/C nanosphere anode for high-performance lithium storage[J]. J. Colloid Interface Sci., 2021,586:730-740. doi: 10.1016/j.jcis.2020.10.142

    42. [42]

      Chen K T, Tuan H Y. Bi-Sb nanocrystals embedded in phosphorus as high-performance potassium ion battery electrodes[J]. ACS Nano, 2020,14(9):11648-11661. doi: 10.1021/acsnano.0c04203

    43. [43]

      Lin T C, Dawson A, King S C, Yan Y, Ashby D S, Mazzetti J A, Dunn B S, Weker J N, Tolbert S H. Understanding stabilization in nanoporous intermetallic alloy anodes for Li-ion batteries using oper-ando transmission X-ray microscopy[J]. ACS Nano, 2020,14(11):14820-14830. doi: 10.1021/acsnano.0c03756

    44. [44]

      Wang J Y, Huang W L, Kim Y S, Jeong Y K, Kim S C, Heo J, Lee H K, Liu B F, Nah J, Cui Y. Scalable synthesis of nanoporous silicon microparticles for highly cyclable lithium-ion batteries[J]. Nano Res., 2020,13(6):1558-1563. doi: 10.1007/s12274-020-2770-4

    45. [45]

      Lu X, Wang P, Liu K, Niu C M, Wang H K. Encapsulating nanopar-ticulate Sb/MoOx into porous carbon nanofibers via electrospinning for efficient lithium storage[J]. Chem. Eng. J., 2018,336:701-709. doi: 10.1016/j.cej.2017.12.022

    46. [46]

      Mu T S, Shen B C, Lou S F, Zhang Z G, Ren Y, Zhou X M, Zuo P J, Du C Y, Ma Y L, Huo H, Yin G P. Scalable mesoporous silicon mic-roparticles composed of interconnected nanoplates for superior lithi-um storage[J]. Chem. Eng. J., 2019,375121923. doi: 10.1016/j.cej.2019.121923

    47. [47]

      Pei S E, Guo J F, He Z S, Huang L A, Lu T Z, Gong J J, Shao H B, Wang J M. Porous Si-Cu3Si-Cu microsphere@C core-shell compos-ites with enhanced electrochemical lithium storage[J]. Chem. Eur. J., 2020,26(27):6006-6016. doi: 10.1002/chem.201904995

    48. [48]

      He Z S, Huang L A, Guo J F, Pei S E, Shao H B, Wang J M. Novel hierarchically branched CoC2O4@CoO/Co composite arrays with superior lithium storage performance[J]. Energy Storage Mater., 2020,24:362-372. doi: 10.1016/j.ensm.2019.07.037

    49. [49]

      Xiao Z X, Lei C, Yu C H, Chen X, Zhu Z X, Jiang H R, Wei F. Si@Si3N4@C composite with egg-like structure as high-performance anode material for lithium ion batteries[J]. Energy Storage Mater., 2020,24:565-573. doi: 10.1016/j.ensm.2019.06.031

    50. [50]

      He W, Tian H J, Zhang S L, Ying H J, Meng Z, Han W Q. Scalable synthesis of Si/C anode enhanced by FeSix nanoparticles from low-cost ferrosilicon for lithium-ion batteries[J]. J. Power Sources, 2017,353:270-276. doi: 10.1016/j.jpowsour.2017.04.019

    51. [51]

      Sun L, Wang F, Su T T, Du H B. Step-by-step assembly preparation of core-shell Si-mesoporous TiO2 composite nanospheres with enhanced lithium-storage properties[J]. Dalton Trans., 2017,46(35):11542-11546. doi: 10.1039/C7DT02132A

    52. [52]

      Yao K, Ling M, Liu G, Tong W. Chemical reduction synthesis and electrochemistry of Si-Sn nanocomposites as high-capacity anodes for Li-ion batteries[J]. J. Phys. Chem. Lett., 2018,9(17):5130-5134. doi: 10.1021/acs.jpclett.8b02066

    53. [53]

      Kang I, Jang J, Yi K W, Cho Y W. Porous nanocomposite anodes of silicon/iron silicide/3D carbon network for lithium-ion batteries[J]. J. Alloy. Compd., 2019,770:369-376. doi: 10.1016/j.jallcom.2018.08.083

    54. [54]

      Tamirat A G, Hou M Y, Liu Y, Bin D, Sun Y H, Fan L, Wang Y G, Xia Y Y. Highly stable carbon coated Mg2Si intermetallic nanoparti-cles for lithium-ion battery anode[J]. J. Power Sources, 2018,384:10-17. doi: 10.1016/j.jpowsour.2018.02.008

    55. [55]

      Shi P Y, Xiao W, Li Z K, Qian H M, Xie C, Zhang X H, Qin J, Yang H J, Wang J J, Li X F. Simultaneously manipulating carbon coating layers and void structures in silicon/carbon anode materials via bifunctional templates for lithium-ion batteries[J]. Appl. Surf. Sci., 2024,655159538. doi: 10.1016/j.apsusc.2024.159538

  • 加载中
    1. [1]

      Jiamin Xiong Baiying Huang Yuling Zhang Kaixin Zhou Yuxuan Liu Shengen Gong Zhiguang Xu Yongbo Wu Akif Zeb Xiaoming Lin . MOF-derived carbon-encapsulated ZnS/MnO porous microspheres for high-performance lithium storage. Chinese Journal of Structural Chemistry, 2026, 45(2): 100795-100795. doi: 10.1016/j.cjsc.2025.100795

    2. [2]

      Tao WeiJiahao LuPan ZhangQi ZhangGuang YangRuizhi YangDaifen ChenQian WangYongfu Tang . An intermittent lithium deposition model based on bimetallic MOFs derivatives for dendrite-free lithium anode with ultrahigh areal capacity. Chinese Chemical Letters, 2024, 35(8): 109122-. doi: 10.1016/j.cclet.2023.109122

    3. [3]

      Guang ZengYue ZengHuamin HuYaqing BaiFangjie NieJunfei DuanZhaoyong ChenQi-Long Zhu . Regulating pore structure and pseudo-graphitic phase of hard carbon anode towards enhanced sodium storage performance. Chinese Chemical Letters, 2025, 36(7): 110122-. doi: 10.1016/j.cclet.2024.110122

    4. [4]

      Zhicheng JUWenxuan FUBaoyan WANGAo LUOJiangmin JIANGYueli SHIYongli CUI . MOF-derived nickel-cobalt bimetallic sulfide microspheres coated by carbon: Preparation and long cycling performance for sodium storage. Chinese Journal of Inorganic Chemistry, 2025, 41(4): 661-674. doi: 10.11862/CJIC.20240363

    5. [5]

      Ting HuYuxuan GuoYixuan MengZe ZhangJi YuJianxin CaiZhenyu Yang . Uniform lithium deposition induced by copper phthalocyanine additive for durable lithium anode in lithium-sulfur batteries. Chinese Chemical Letters, 2024, 35(5): 108603-. doi: 10.1016/j.cclet.2023.108603

    6. [6]

      Bing JiangGang ZouBi LuoYan GuoJingru LiWendi ZhangQianxiao FanLehao LiuLihua ChuQiaobao ZhangMeicheng Li . Enhanced electrochemical performance of lithium-rich layered oxide materials: Exploring advanced coating strategies. Chinese Chemical Letters, 2025, 36(4): 109801-. doi: 10.1016/j.cclet.2024.109801

    7. [7]

      Peng ZhouZiang JiangYang LiPeng XiaoFeixiang Wu . Sulphur-template method for facile manufacturing porous silicon electrodes with enhanced electrochemical performance. Chinese Chemical Letters, 2024, 35(8): 109467-. doi: 10.1016/j.cclet.2023.109467

    8. [8]

      Yang LIULijun WANGHongyu WANGZhidong CHENLin SUN . Surface and interface modification of porous silicon anodes in lithium-ion batteries by the introduction of heterogeneous atoms and hybrid encapsulation. Chinese Journal of Inorganic Chemistry, 2025, 41(4): 773-785. doi: 10.11862/CJIC.20250015

    9. [9]

      Hanghang ZhaoWenbo QiXin TanXing XuFengmin SongXianzhao Shao . Metal single-atom catalysts derived from silicon-based materials for advanced oxidation applications. Chinese Chemical Letters, 2025, 36(6): 110898-. doi: 10.1016/j.cclet.2025.110898

    10. [10]

      Wei-Jia WangKaihong Chen . Molecular-based porous polymers with precise sites for photoreduction of carbon dioxide. Chinese Chemical Letters, 2025, 36(1): 109998-. doi: 10.1016/j.cclet.2024.109998

    11. [11]

      Jie XIEHongnan XUJianfeng LIAORuoyu CHENLin SUNZhong JIN . Nitrogen-doped 3D graphene-carbon nanotube network for efficient lithium storage. Chinese Journal of Inorganic Chemistry, 2024, 40(10): 1840-1849. doi: 10.11862/CJIC.20240216

    12. [12]

      Xianping DuYing HuangChen ChenZhenhe FengMeng Zong . Encapsulating Si particles in multiple carbon shells with pore-rich for constructing free-standing anodes of lithium storage. Chinese Chemical Letters, 2024, 35(12): 109990-. doi: 10.1016/j.cclet.2024.109990

    13. [13]

      Jie ChenHannan ChenBingbing Tian . Enhancing moisture and electrochemical stability of the Li5.7PS4.7Cl1.3 electrolyte by boron nitride coating for all-solid-state lithium metal batteries. Chinese Chemical Letters, 2025, 36(7): 109775-. doi: 10.1016/j.cclet.2024.109775

    14. [14]

      Hui GuMingyue GaoKuan ShenTianli ZhangJunhao ZhangXiangjun ZhengXingmei GuoYuanjun LiuFu CaoHongxing GuQinghong KongShenglin Xiong . F127 assisted fabrication of Ge/rGO/CNTs nanocomposites with three-dimensional network structure for efficient lithium storage. Chinese Chemical Letters, 2024, 35(9): 109273-. doi: 10.1016/j.cclet.2023.109273

    15. [15]

      Fenglei Qiu Xinting Zhang Fengquan Liu Linfeng Liang Wenjing Wang Kongzhao Su Daqiang Yuan . Ultrastable sp2 carbon-conjugated porous organic cage for selective per-chlorate capture and fast lithium‑ion transport. Chinese Journal of Structural Chemistry, 2026, 45(3): 100843-100843. doi: 10.1016/j.cjsc.2025.100843

    16. [16]

      Zhanheng YanWeiqing SuWeiwei XuQianhui MaoLisha XueHuanxin LiWuhua LiuXiu LiQiuhui Zhang . Carbon-based quantum dots/nanodots materials for potassium ion storage. Chinese Chemical Letters, 2025, 36(4): 110217-. doi: 10.1016/j.cclet.2024.110217

    17. [17]

      Yagang YangHanqing DongKai YuQiushi SongZhiqiang NingHongwei Xie . Electrochemical etching of photovoltaic micron-silicon scrap in molten KCl-LiCl for high-performance lithium-ion battery anodes. Chinese Chemical Letters, 2026, 37(4): 111492-. doi: 10.1016/j.cclet.2025.111492

    18. [18]

      Jie ZhouChuanxiang ZhangChangchun HuShuo LiYuan LiuZhu ChenSong LiHui ChenRokayya SamiYan Deng . Electrochemical aptasensor based on black phosphorus-porous graphene nanocomposites for high-performance detection of Hg2+. Chinese Chemical Letters, 2024, 35(11): 109561-. doi: 10.1016/j.cclet.2024.109561

    19. [19]

      Xingang KongYabei SuCuijuan XingWeijie ChengJianfeng HuangLifeng ZhangHaibo OuyangQi Feng . Facile synthesis of porous TiO2/SnO2 nanocomposite as lithium ion battery anode with enhanced cycling stability via nanoconfinement effect. Chinese Chemical Letters, 2024, 35(11): 109428-. doi: 10.1016/j.cclet.2023.109428

    20. [20]

      Yue WangWenli HuBinchao ShiHe JiaShilin MeiChang-Jiang Yao . Design of carbon@WS2 host with graham condenser-like structure for tunable sulfur loading of lithium-sulfur batteries. Chinese Chemical Letters, 2025, 36(6): 110065-. doi: 10.1016/j.cclet.2024.110065

Metrics
  • PDF Downloads(4)
  • Abstract views(1342)
  • HTML views(125)

通讯作者: 陈斌, bchen63@163.com
  • 1. 

    沈阳化工大学材料科学与工程学院 沈阳 110142

  1. 本站搜索
  2. 百度学术搜索
  3. 万方数据库搜索
  4. CNKI搜索
Address:Zhongguancun North First Street 2,100190 Beijing, PR China Tel: +86-010-82449177-888
Powered By info@rhhz.net

/

DownLoad:  Full-Size Img  PowerPoint
Return