Citation: Di WU, Ruimeng SHI, Zhaoyang WANG, Yuehua SHI, Fan YANG, Leyong ZENG. Construction of pH/photothermal dual-responsive delivery nanosystem for combination therapy of drug-resistant bladder cancer cell[J]. Chinese Journal of Inorganic Chemistry, ;2024, 40(9): 1679-1688. doi: 10.11862/CJIC.20240135 shu

Construction of pH/photothermal dual-responsive delivery nanosystem for combination therapy of drug-resistant bladder cancer cell

Figures(7)

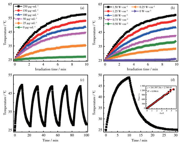
  • Mesoporous nanomaterials showed potential application in drug delivery, but non-specific leakage and multi-drug resistance seriously restricted the efficacy of chemotherapy. Based on the synthesis of mesoporous poly-dopamine (MPDA), pH/photothermal dual-responsive MPDA-DOX@PCM delivery nanosystem was constructed by loading chemotherapy drug doxorubicin (DOX) and coating phase-change material (PCM) 1-tetradecanol, by which the photothermal therapy (PTT) and chemotherapy were achieved towards drug-resistant bladder cancer cell (BIU-87/ADR). The results indicated that the size of MPDA-DOX@PCM was about 179 nm, the max loading rate of DOX was 22%, and the photothermal conversion efficiency was up to 49.1%. Under the conditions of pH=7.4 and 25 ℃, the accumulative release rate of DOX was 4.57%, but can increase to 60.13% with the conditions of pH=5.5 and 45 ℃. Under the irradiation of 808 nm laser, the viability of BIU-87/ADR cells incubated with MPDA-DOX@PCM decreased to 9.5%, demonstrating the excellent combination performance of PTT/chemotherapy.
  • 加载中
    1. [1]

      Bray F, Laversanne M, Sung H Y A, Ferlay J, Siegel R L, Soerjomataram I, Jemal A. Global cancer statistics 2022: GLOBOCAN estimates of incidence and mortality worldwide for 36 cancers in 185 countries[J]. CA-Cancer J. Clin., 2024,74(3):229-263.

    2. [2]

      Wei G Q, Wang Y, Yang G, Wang Y, Ju R. Recent progress in nanomedicine for enhanced cancer chemotherapy[J]. Theranostics, 2021,11(13):6370-6392. doi: 10.7150/thno.57828

    3. [3]

      Liu H, Jiang H, Liu X H, Wang X M. Tunable nanomaterials of intracellular crystallization for in situ biolabeling and biomedical imaging[J]. Chem. Biomed. Imaging, 2023,1(9):767-784. doi: 10.1021/cbmi.3c00021

    4. [4]

      Pei Z F, Lei H L, Cheng L. Bioactive inorganic nanomaterials for cancer theranostics[J]. Chem. Soc. Rev., 2023,52(6):2031-2081. doi: 10.1039/D2CS00352J

    5. [5]

      Patra J K, Das G, Fraceto L F, Campos E V R, Rodriguez-Torres M D P, Acosta-Torres L S, Diaz-Torres L A, Grillo R, Swamy M K, Sharma S, Habtemariam S, Shin H S. Nano based drug delivery systems: Recent developments and future prospects[J]. J. Nanobiotechnol., 2018,1671.

    6. [6]

      Manzano M, Vallet-Regí M. Mesoporous silica nanoparticles for drug delivery[J]. Adv. Funct. Mater., 2020,30(2)1902634. doi: 10.1002/adfm.201902634

    7. [7]

      He S N, Pan H F, Zhang J Y. Advances of typical mesoporous materials and the application in drug delivery[J]. Mater. Res. Express, 2023,10(4)042001.

    8. [8]

      Wu H, Wang M D, Zhu J D, Li Z L, Wang W Y, Gu L H, Shen F, Tang T. Mesoporous nanoparticles for diagnosis and treatment of liver cancer in the era of precise medicine[J]. Pharmaceutics, 2022,14(9)1760.

    9. [9]

      Vallet-Regí M, Schüth F, Lozano D, Colilla M, Manzano M. Engineering mesoporous silica nanoparticles for drug delivery: Where are we after two decades?[J]. Chem. Soc. Rev., 2022,51(13):5365-5451.

    10. [10]

      Zhou L B, Jing Y, Liu Y B, Liu Z H, Gao D Y, Chen H B, Song W Y, Wang T, Fang X F, Qin W P, Yuan Z, Dai S, Qiao Z A, Wu C. Mesoporous carbon nanospheres as a multifunctional carrier for cancer theranostics[J]. Theranostics, 2018,8(3):663-675.

    11. [11]

      Shi Y, Chang L N, Pan C S, Zhang H, Yang Y Q, Wu A G, Zeng L Y. Biodegradable hollow mesoporous bimetallic nanoreactors to boost chemodynamic therapy[J]. J. Colloid Interf. Sci., 2024,656:93-103.

    12. [12]

      Hou, Gong, Yang, Zhang, Yang, Chen, Y. Hybrid-membrane-decorated Prussian blue for effective cancer immunotherapy via tumor-associated macrophages polarization and hypoxia relief[J]. Adv. Mater., 2022,34(14)2200389.

    13. [13]

      Wang Z Y, Li Z K, Shi Y H, Zeng L Y. Mesoporous polydopamine delivery system for intelligent drug release and photothermal‑ enhanced chemodynamic therapy using MnO2 as gatekeeper[J]. Regen. Biomater., 2023,10rbad087.

    14. [14]

      Sun Z Y, Li T Y, Mei T X, Liu Y, Wu K R, Le W J, Hu Y H. Nanoscale MOFs in nanomedicine applications: From drug delivery to therapeutic agents[J]. J. Mater. Chem. B, 2023,11(15):3273-3294.

    15. [15]

      Wang Y N, Cheng W Y, Zhu J J, He L, Ren W Y, Bao D D, Piao J G. Programmed co-delivery of tamoxifen and docetaxel using lipid-coated mesoporous silica nanoparticles for overcoming CYP3A4-mediated resistance in triple-negative breast cancer treatment[J]. Biomed. Pharmacother., 2024,170116084.

    16. [16]

      Tang X P, Hou Y, Zhang G L, Liu X. Thermo/pH dually responsive drug delivery systems based on mesoporous silica nanoparticles[J]. J. Control. Release, 2017,259:E158-E158.

    17. [17]

      Thirupathi K, Santhamoorthy M, Radhakrishnan S, Ulagesan S, Nam T J, Phan T T V, Kim S C. Thermosensitive polymer-modified mesoporous silica for pH and temperature-responsive drug delivery[J]. Pharmaceutics, 2023,15(3)795.

    18. [18]

      Chen Z J, Yang S C, Liu X L, Gao Y H, Dong X, Lai X, Zhu M H, Feng H Y, Zhu X D, Lu Q, Zhao M, Chen H Z, Lovell J F, Fang C. Nanobowl-supported liposomes improve drug loading and delivery[J]. Nano Lett., 2020,20(6):4177-4187.

    19. [19]

      Zhang X, Wang S, Cheng G H, Yu P, Chang J, Chen X Y. Cascade drug-release strategy for enhanced anticancer therapy[J]. Matter, 2021,4(1):26-53.

    20. [20]

      Yang Z B, Chen H R. The recent progress of inorganic-based intelligent responsive nanoplatform for tumor theranostics[J]. VIEW, 2022,3(6)20220009.

    21. [21]

      Hu Y L, Li S K, Dong H, Weng L X, Yuwen L H, Xie Y N, Yang J, Shao J J, Song X J, Yang D L, Wang L H. Environment-responsive therapeutic platforms for the treatment of implant infection[J]. Adv. Healthcare Mater., 2023,12(26)2300985.

    22. [22]

      Kaushik N, Borkar S B, Nandanwar S K, Panda P K, Ha Choi E, Kaushik N K. Nanocarrier cancer therapeutics with functional stimuli-responsive mechanisms[J]. J. Nanobiotechnol., 2022,20(1)152.

    23. [23]

      Hyun D C, Lu P, Choi S I, Jeong U, Xia Y N. Microscale polymer bottles corked with a phase-change material for temperature-controlled release[J]. Angew. Chem. Int. Ed., 2013,52(40):10468-10471.

    24. [24]

      Zhang S C, Li Q Z, Yang N, Shi Y H, Ge W, Wang W J, Huang W, Song X J, Dong X C. Phase-change materials based nanoparticles for controlled hypoxia modulation and enhanced phototherapy[J]. Adv. Funct. Mater., 2019,29(49)1906805.

    25. [25]

      Regenold M, Kaneko K, Wang X, H , Peng H B, Evans J C, Bannigan P, Allen C. Triggered release from thermosensitive liposomes improves tumor targeting of vinorelbine[J]. J. Control. Release, 2023,354:19-33.

    26. [26]

      Lei B, Sun M J, Chen M X, Xu S H, Liu H L. pH and temperature double‑switch hybrid micelles for controllable drug release[J]. Langmuir, 2021,37(50):14628-14637.

    27. [27]

      Cheng H, He Y, Lu J Y, Yan Z W, Song L M, Mao Y L, Di D H, Gao Y K, Zhao Q F, Wang S L. Degradable iron-rich mesoporous dopamine as a dual-glutathione depletion nanoplatform for photothermal-enhanced ferroptosis and chemodynamic therapy[J]. J. Colloid Interf. Sci., 2023,639:249-262.

    28. [28]

      Wang Z Y, Shi Y H, Shi Y, Zhang J H, Hao R, Zhang G W, Zeng L. Ultrasmall gold coated mesoporous polydopamine nanoprobe to enhance chemodynamic therapy by self-supplying H2O2 and photothermal stimulation[J]. ACS Appl. Mater. Interfaces, 2022,14(49):54478-54487.

    29. [29]

      Yao S K, Chen Y C, Ding W Z, Xu F W, Liu Z P, Li Y H, Wu Y P, Li S M, He W J, Guo Z J. Single-atom engineering of hemicyanine and its amphiphilic derivative for optimized near infrared phototheranostics[J]. Chem. Sci., 2022,14(5):1234-1243.

    30. [30]

      WU D, FAN M, ZHANG L Y, XING J J, LV S F, ZENG L Y. Controllable synthesis, photothermal conversion and in vitro photothermal therapy of gold nanostars/nanobipyramids[J]. Chin. J. Lumin., 2018,39(3):280-286.

  • 加载中
    1. [1]

      Aiai WANGLu ZHAOYunfeng BAIFeng FENG . Research progress of bimetallic organic framework in tumor diagnosis and treatment. Chinese Journal of Inorganic Chemistry, 2024, 40(10): 1825-1839. doi: 10.11862/CJIC.20240225

    2. [2]

      Wenjun Yang Qiaoling Tan Wenjiao Xie Xiaoyu Pan Youyong Yuan . Construction and Characterization of Calcium Alginate Microparticle Drug Delivery System: A Novel Design and Teaching Practice in Polymer Experiments. University Chemistry, 2025, 40(3): 371-380. doi: 10.12461/PKU.DXHX202405150

    3. [3]

      Weijie Yang Mansheng Chen Chen Xu Fujian Xu . Hydroxyl-Rich Polycations: Innovative Materials Empowering Life and Health. University Chemistry, 2025, 40(9): 332-343. doi: 10.12461/PKU.DXHX202410072

    4. [4]

      Peng GENGGuangcan XIANGWen ZHANGHaichuang LANShuzhang XIAO . Hollow copper sulfide loaded protoporphyrin for photothermal-sonodynamic therapy of cancer cells. Chinese Journal of Inorganic Chemistry, 2024, 40(10): 1903-1910. doi: 10.11862/CJIC.20240155

    5. [5]

      Yuxia Luo Xiaoyu Xie Fangfang Chen . 药物递送魔法师——分子印迹聚合物. University Chemistry, 2025, 40(8): 202-210. doi: 10.12461/PKU.DXHX202409129

    6. [6]

      Ruifeng CHENChao XUJianting JIANGTianshe YANG . Gold nanorod/zinc oxide/mesoporous silica nanoplatform: A triple-modal platform for synergistic anticancer therapy. Chinese Journal of Inorganic Chemistry, 2025, 41(11): 2272-2282. doi: 10.11862/CJIC.20250117

    7. [7]

      Lin LIJiaxue LIMeixia YANGJiayu DINGJiaqi JINGRuiping ZHANG . Preparation of mitoxantrone self-assembled carrier-free nanodrugs regulated by sodium acetate for apoptosis induction of human breast carcinoma cells. Chinese Journal of Inorganic Chemistry, 2025, 41(12): 2536-2548. doi: 10.11862/CJIC.20250138

    8. [8]

      Qiang MAYiming ZHUMeiqi HUAGuangyu LUXingdong WANGHailong YUHuan PANGYuping LI . Research progress on metal-organic frameworks as comprehensive carrier platforms for delivering anti-glioma drugs. Chinese Journal of Inorganic Chemistry, 2026, 42(4): 657-667. doi: 10.11862/CJIC.20250250

    9. [9]

      Jiahao Zeng Hui Chao . 诱导程序性细胞死亡的金属抗肿瘤药物研究. University Chemistry, 2025, 40(6): 145-159. doi: 10.12461/PKU.DXHX202406019

    10. [10]

      Peiyu Zhang Aixin Song Jingcheng Hao Jiwei Cui . 高频超声法制备聚多巴胺薄膜综合实验. University Chemistry, 2025, 40(6): 210-214. doi: 10.12461/PKU.DXHX202407081

    11. [11]

      Shuyu Liu Xiaomin Sun Bohan Song Gaofeng Zeng Bingbing Du Chongshen Guo Cong Wang Lei Wang . Design and Fabrication of Phospholipid-Vesicle-based Artificial Cells towards Biomedical Applications. University Chemistry, 2024, 39(11): 182-188. doi: 10.12461/PKU.DXHX202404113

    12. [12]

      Wei Li Han Xu Chuancan Gu Ziyan Liu Yan'an Li Yan Geng . Digital Experiment on Nano-COF Materials Modulating Intracellular Ca²⁺ Concentration to Enhance Photodynamic Therapy. University Chemistry, 2026, 41(1): 354-362. doi: 10.12461/PKU.DXHX202506001

    13. [13]

      Siyi ZHONGXiaowen LINJiaxin LIURuyi WANGTao LIANGZhengfeng DENGAo ZHONGCuiping HAN . Targeting imaging and detection of ovarian cancer cells based on fluorescent magnetic carbon dots. Chinese Journal of Inorganic Chemistry, 2024, 40(8): 1483-1490. doi: 10.11862/CJIC.20240093

    14. [14]

      Tiejin ChenXiaokuang XueJian LiMinhui CuiYongliang HaoMianqi XueHaihua XiaoJiechao GePengfei Wang . Membrane-anchoring nanoengineered carbon dots as a pyroptosis amplifier for robust tumor photodynamic-immunotherapy. Acta Physico-Chimica Sinica, 2025, 41(10): 100113-0. doi: 10.1016/j.actphy.2025.100113

    15. [15]

      Xiuya Ma Yu Chen Yan Zhang . Stories about Pharmaceuticals. University Chemistry, 2025, 40(7): 232-240. doi: 10.12461/PKU.DXHX202408003

    16. [16]

      Jing SUBingrong LIYiyan BAIWenjuan JIHaiying YANGZhefeng Fan . Highly sensitive electrochemical dopamine sensor based on a highly stable In-based metal-organic framework with amino-enriched pores. Chinese Journal of Inorganic Chemistry, 2024, 40(7): 1337-1346. doi: 10.11862/CJIC.20230414

    17. [17]

      Ziheng Zhuang Xiao Xu Kin Shing Chan . Superdrugs for Superbugs. University Chemistry, 2024, 39(9): 128-133. doi: 10.3866/PKU.DXHX202309040

    18. [18]

      Qingtao CHENXiangdong SHIXianghai RAOJiong LIXiaoyun QINYiwen GUANBinyan ZOUGuixia LIUFenghua CHEN . Employing polydopamine as an electron bridge to construct an S-scheme heterojunction and flexible film for highly efficient photocatalytic degradation of water pollutants. Chinese Journal of Inorganic Chemistry, 2026, 42(4): 747-759. doi: 10.11862/CJIC.20250286

    19. [19]

      Bing LIUHuang ZHANGHongliang HANChangwen HUYinglei ZHANG . Visible light degradation of methylene blue from water by triangle Au@TiO2 mesoporous catalyst. Chinese Journal of Inorganic Chemistry, 2024, 40(5): 941-952. doi: 10.11862/CJIC.20230398

    20. [20]

      Yuanpei ZHANGJiahong WANGJinming HUANGZhi HU . Preparation of magnetic mesoporous carbon loaded nano zero-valent iron for removal of Cr(Ⅲ) organic complexes from high-salt wastewater. Chinese Journal of Inorganic Chemistry, 2024, 40(9): 1731-1742. doi: 10.11862/CJIC.20240077

Metrics
  • PDF Downloads(27)
  • Abstract views(2765)
  • HTML views(570)

通讯作者: 陈斌, bchen63@163.com
  • 1. 

    沈阳化工大学材料科学与工程学院 沈阳 110142

  1. 本站搜索
  2. 百度学术搜索
  3. 万方数据库搜索
  4. CNKI搜索
Address:Zhongguancun North First Street 2,100190 Beijing, PR China Tel: +86-010-82449177-888
Powered By info@rhhz.net

/

DownLoad:  Full-Size Img  PowerPoint
Return