Citation: Weizhong LING, Xiangyun CHEN, Wenjing LIU, Yingkai HUANG, Yu LI. Syntheses, crystal structures, and catalytic properties of three zinc(Ⅱ), cobalt(Ⅱ) and nickel(Ⅱ) coordination polymers constructed from 5-(4-carboxyphenoxy)nicotinic acid[J]. Chinese Journal of Inorganic Chemistry, ;2024, 40(9): 1803-1810. doi: 10.11862/CJIC.20240068 shu

Syntheses, crystal structures, and catalytic properties of three zinc(Ⅱ), cobalt(Ⅱ) and nickel(Ⅱ) coordination polymers constructed from 5-(4-carboxyphenoxy)nicotinic acid

  • Corresponding author: Yu LI, liyuletter@163.com
  • Received Date: 28 February 2024
    Revised Date: 28 June 2024

Figures(11)

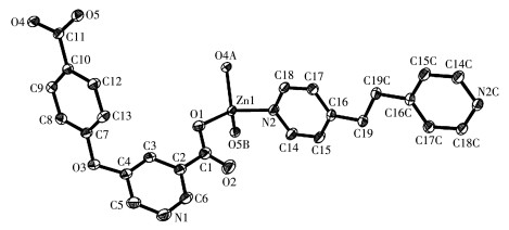
  • Three zinc(Ⅱ), cobalt(Ⅱ), and nickel(Ⅱ) coordination polymers, namely [Zn(μ3-cpna)(μ-dpea)0.5]n (1), [Co(μ3-cpna)(μ-dpey)0.5]n (2), and [Ni(μ3-cpna)(μ-dpey)0.5(H2O)]n (3), have been constructed hydrothermally using H2cpna (5-(4-carboxyphenoxy)nicotinic acid), dpea (1, 2-di(4-pyridyl)ethane), dpey (1, 2-di(4-pyridyl)ethylene), and zinc, cobalt, and nickel chlorides at 160 ℃. The products were isolated as stable crystalline solids and were characterized by IR spectra, elemental analyses, thermogravimetric analyses, and single-crystal X-ray diffraction analyses. Single-crystal X-ray diffraction analyses revealed that three compounds crystallize in the triclinic system, space group P1. Compounds 1-3 show 2D layer structures. The catalytic activities in the Knoevenagel condensation reaction of these compounds were investigated. Compounds 1 and 2 exhibit effective catalytic activities in the Knoevenagel condensation reaction at room temperature. For this reaction, various parameters were optimized, followed by the investigation of the substrate scope.
  • 加载中
    1. [1]

      Chakraborty G, Park I H, Medishetty R, Vittal J J. Two-dimensional metal-organic framework materials: Synthesis, structures, properties and applications[J]. Chem. Rev., 2021,121(7):3751-3891. doi: 10.1021/acs.chemrev.0c01049

    2. [2]

      Zheng J, Lu Z, Wu K, Ning G H, Li D. Coinage-metal-based cyclic trinuclear complexes with metal-metal interactions: Theories to experiments and structures to functions[J]. Chem. Rev., 2020,120(17):9675-9742. doi: 10.1021/acs.chemrev.0c00011

    3. [3]

      Gong W, Chen Z J, Dong J Q, Liu Y, Cui Y. Chiral metal-organic frameworks[J]. Chem. Rev., 2022,122(9):9078-9144. doi: 10.1021/acs.chemrev.1c00740

    4. [4]

      Gu J Z, Lu W G, Jiang L, Zhou H C, Lu T B. 3D porous metal-organic framework exhibiting selective adsorption of water over organic solvents[J]. Inorg. Chem., 2007,46(15):5835-5837. doi: 10.1021/ic7004908

    5. [5]

      Ji X X, Wu S Y, Song D X, Chen S Y, Chen Q, Gao E J, Xu J, Zhu X P, Zhu M C. A water-stable luminescent sensor based on Cd2+ coordination polymer for detecting nitroimidazole antibiotics in water[J]. Appl. Organomet. Chem., 2021,35(10)e6359. doi: 10.1002/aoc.6359

    6. [6]

      Alsharabasy A M, Pandit A, Farras P. Recent advances in the design and sensing applications of hemin/coordination polymer-based nanocomposites[J]. Adv. Mater., 2021,33(2)2003883. doi: 10.1002/adma.202003883

    7. [7]

      Gu Y F, Zheng J J, Otake K I, Shivanna M, Sakaki S, Yoshino H, Ohba M, Kawaguchi S, Wang Y, Li F T, Kitagawa S. Host-guest interaction modulation in porous coordination polymers for inverse selective CO2/C2H2 separation[J]. Angew. Chem. Int. Ed., 2021,60(21):11688-11694. doi: 10.1002/anie.202016673

    8. [8]

      Zhao X, Wang Y X, Li D S, Bu X H, Feng P Y. Metal-organic frameworks for separation[J]. Adv. Mater., 2018,30(37)1705189. doi: 10.1002/adma.201705189

    9. [9]

      Wei Y S, Zhang M, Zou R Q, Xu Q. Metal-organic framework-based catalysts with single metal sites[J]. Chem. Rev., 2020,120(21):12089-12174. doi: 10.1021/acs.chemrev.9b00757

    10. [10]

      Gu J Z, Wen M, Cai Y, Shi Z F, Nesterov D S, Kirillova M V, Kirillov A M. Cobalt(Ⅱ) coordination polymers assembled from unexplored pyridine-carboxylic acids: Structural diversity and catalytic oxidation of alcohols[J]. Inorg. Chem., 2019,58(9):5875-5885. doi: 10.1021/acs.inorgchem.9b00242

    11. [11]

      KANG X Q, WANG J H, GU J Z. Syntheses, crystal structures, and catalytic properties of three zinc(Ⅱ), nickel(Ⅱ) and cobalt(Ⅱ) coordination polymers constructed from 4, 4'-(pyridin-3, 5-diyl)dibenzoic acid[J]. Chinese. J. Inorg. Chem., 2023,39(12):2385-2392.

    12. [12]

      Zhang X, Man Lai E S, Martin-Aranda R, Yeung K L. An investigation of Knoevenagel condensation reaction in microreactors using a new zeolite catalyst[J]. Appl. Catal. A.-Gen, 2004,261(1):109-118. doi: 10.1016/j.apcata.2003.10.045

    13. [13]

      Dhakshinamoorthy A, Heidenreich N, Lenzen D, Stock N. Knoevenagel condensation reaction catalysed by Al-MOFs with CAU-1 and CAU-10-type structures[J]. CrystEngComm, 2017,19(29):4187-4193. doi: 10.1039/C6CE02664H

    14. [14]

      Daneshvar N, Goli-Jolodar O, Karimi-Chayjani R, Langarudi M S N, Shirini F. Sustainable and eco-friendly method for the synthesis of some bioactive derivatives of biscoumarin and pyrano[3,2-c]chromene-3-carbonitrile using taurine, as the catalyst[J]. ChemistrySelect, 2019,4(5):1562-1566. doi: 10.1002/slct.201803210

    15. [15]

      Dai Y F, Liu Y G, Sun B G, Yang S X, Tian H Y. Enantioselective syntheses and sensory properties of 2-alken-4-olides[J]. Flavour Frag. J., 2018,33(2):166-172. doi: 10.1002/ffj.3415

    16. [16]

      Gu J Z, Cui Y H, Liang X X, Wu J, Lv D Y, Kirillov A M. Structurally distinct metal-organic and H-bonded networks derived from 5-(6-carboxypyridin-3-yl)isophthalic acid: Coordination and template effect of 4, 4'-bipyridine[J]. Cryst. Growth Des., 2016,16(8):4658-4670. doi: 10.1021/acs.cgd.6b00735

    17. [17]

      Cheng X Y, Guo L R, Wang H Y, Gu J Z, Yang Y, Kirillova M V, Kirillov A M. Coordination polymers from biphenyl-dicarboxylate linkers: Synthesis, structural diversity, interpenetration, and catalytic properties[J]. Inorg. Chem., 2022,61(32):12577-12590. doi: 10.1021/acs.inorgchem.2c01488

    18. [18]

      Wu W P, Li Z S, Liu B, Liu P, Xi Z P, Wang Y Y. Double-step CO2 sorption and guest-induced single-crystal-to-single-crystal transformation in a flexible porous framework[J]. Dalton Trans., 2015,44(22):10141-10145. doi: 10.1039/C5DT00460H

    19. [19]

      Liu Y L, Chen F Y, Di Y Q, Cao J, Di Y Y, Zhou C S. Two coordination polymers based on a flexible tritopic pyridyldicarboxylate ligand: Structures and magnetic properties[J]. Z. Anorg. Allg. Chem., 2016,642(3):246-249. doi: 10.1002/zaac.201500759

    20. [20]

      ZHENG C Z, REN L D, DING T, SONG B, XU S W. Synthesis, crystal structure and fluorescence properties of 3D cadmium(Ⅱ) coordination polymer based on flexible aromatic carboxylic acid ligand[J]. Journal of Synthetic Crystals, 2014,43(4):1009-1014.

    21. [21]

      Gu J Z, Liang X X, Cai Y, Wu J, Shi Z F, Kirillov A M. Hydrothermal assembly, structures, topologies, luminescence, and magnetism of a novel series of coordination polymers driven by a trifunctional nicotinic acid building block[J]. Dalton Trans., 2017,46(33):10908-10925. doi: 10.1039/C7DT01742A

    22. [22]

      Sheldrick G M. SHELXS-2014/7: A program for structure refinement[J]. University of Göttingen, Germany, 2014.

    23. [23]

      Lv D Y, Gao Z Q, Gu J Z, Ren R, Dou W. Synthesis, crystal structures, magnetic and luminescent properties of nickel(Ⅱ) and cadmium(Ⅱ) coordination polymers bearing 5-(2'-carboxylphenyl) nicotate ligands[J]. Transit. Met. Chem., 2011,36:313-318. doi: 10.1007/s11243-011-9471-5

    24. [24]

      Cheng X Y, Guo L R, Wang H Y, Gu J Z, Yang Y, Kirillova M V, Kirillov A M. Coordination polymers constructed from an adaptable pyridine-dicarboxylic acid linker: Assembly, diversity of structures, and catalysis[J]. Inorg. Chem., 2022,61(45):17951-17962. doi: 10.1021/acs.inorgchem.2c01855

    25. [25]

      Karmakar A, Rúbio G M D M, Guedes da Silva M F C, Pombeiro A J L. Synthesis of metallomacrocycle and coordination polymers with pyridine-based amidocarboxylate ligands and their catalytic activities towards the Henry and Knoevenagel reaction[J]. ChemistryOpen, 2018,7(11):865-877. doi: 10.1002/open.201800170

    26. [26]

      Almáši M, Zeleňák V, Opanasenko M, Čejka J. A novel nickel metal-organic framework with fluorite-like structure: Gas adsorption properties and catalytic activity in Knoevenagel condensation[J]. Dalton Trans., 2014,43(9):3730-3738. doi: 10.1039/c3dt52698d

    27. [27]

      Loukopoulos E, Kostakis G E. Review: Recent advances of one-dimensional coordination polymers as catalysts[J]. J. Coord. Chem., 2018,71(3):371-410. doi: 10.1080/00958972.2018.1439163

    28. [28]

      Xue L P, Li Z H, Zhang T, Cui J J, Gao Y, Yao J X. Construction of two Zn(Ⅱ)/Cd(Ⅱ) multifunctional coordination polymers with mixed ligands for catalytic and sensing properties[J]. New J. Chem., 2018,42(17):14203-14209. doi: 10.1039/C8NJ02055H

  • 加载中
    1. [1]

      Zhenghua ZHAOQin ZHANGYufeng LIUZifa SHIJinzhong GU . Syntheses, crystal structures, catalytic and anti-wear properties of nickel(Ⅱ) and zinc(Ⅱ) coordination polymers based on 5-(2-carboxyphenyl)nicotinic acid. Chinese Journal of Inorganic Chemistry, 2024, 40(3): 621-628. doi: 10.11862/CJIC.20230342

    2. [2]

      Zihao XULirong GUOJinzhong GU . Syntheses, crystal structures, and catalytic properties of zinc(Ⅱ) and cadmium(Ⅱ) coordination polymers constructed from a dicarboxylate ligand. Chinese Journal of Inorganic Chemistry, 2026, 42(5): 1063-1072. doi: 10.11862/CJIC.20250345

    3. [3]

      Weizhong LINGJingyi LINJianglin ZHUYuyi LIANGShanshan DAIYu LI . Syntheses, structures, and catalytic performances of complexes with 4,4′-dihydroxy-[1,1′-biphenyl]-3,3′-dicarboxylic acid ligands. Chinese Journal of Inorganic Chemistry, 2026, 42(1): 152-160. doi: 10.11862/CJIC.20250204

    4. [4]

      Xiaonan LIHui HANYihan ZHANGJing XIONGTingting GUOJuanzhi YAN . A viologen‐based Cd(Ⅱ) coordination polymer: Self‐assembly, thermochromism, and electrochemical property. Chinese Journal of Inorganic Chemistry, 2025, 41(7): 1439-1444. doi: 10.11862/CJIC.20240376

    5. [5]

      Zhenzhong MEIHongyu WANGXiuqi KANGYongliang SHAOJinzhong GU . Syntheses and catalytic performances of three coordination polymers with tetracarboxylate ligands. Chinese Journal of Inorganic Chemistry, 2024, 40(9): 1795-1802. doi: 10.11862/CJIC.20240081

    6. [6]

      Youbo HUDonggang LIChanghua SUNZhenzhong LUSongjun GU . Coordination polymers based on anthracene- and pyrene-derived ligands: Crystal structure, fluorescent property, and framework isomerization. Chinese Journal of Inorganic Chemistry, 2025, 41(8): 1681-1688. doi: 10.11862/CJIC.20250004

    7. [7]

      Dongdong YANGJianhua XUEYuanyu YANGMeixia WUYujia BAIZongxuan WANGQi MA . Design and synthesis of two coordination polymers for the rapid detection of ciprofloxacin based on triphenylpolycarboxylic acid ligands. Chinese Journal of Inorganic Chemistry, 2024, 40(12): 2466-2474. doi: 10.11862/CJIC.20240266

    8. [8]

      Zhenghua ZHAOYufeng LIUQing ZHANGZifa SHIJinzhong GU . Syntheses, crystal structures, catalytic and anti-wear properties of zinc(Ⅱ), nickel(Ⅱ) and cadmium(Ⅱ) complexes constructed from a terphenyl-tricarboxylate ligand. Chinese Journal of Inorganic Chemistry, 2026, 42(1): 170-180. doi: 10.11862/CJIC.20250161

    9. [9]

      Junying LIXinyan CHENXihui DIAOMuhammad YaseenChao CHENHao WANGChuansong QIWei LI . Chiral fluorescent sensor Tb3+@Cd-CP based on camphoric acid for the enantioselective recognition of R- and S-propylene glycol. Chinese Journal of Inorganic Chemistry, 2024, 40(12): 2497-2504. doi: 10.11862/CJIC.20240084

    10. [10]

      Qingyan JIANGYanyong SHAChen CHENXiaojuan CHENWenlong LIUHao HUANGHongjiang LIUQi LIU . Constructing a one-dimensional Cu-coordination polymer-based cathode material for Li-ion batteries. Chinese Journal of Inorganic Chemistry, 2024, 40(4): 657-668. doi: 10.11862/CJIC.20240004

    11. [11]

      Jing RENRuikui YANXiaoli CHENHuali CUIHua YANGJijiang WANG . Synthesis and fluorescence sensing of a highly sensitive and multi-response cadmium coordination polymer. Chinese Journal of Inorganic Chemistry, 2025, 41(3): 574-586. doi: 10.11862/CJIC.20240287

    12. [12]

      Yu BAIJijiang WANGLong TANGErlin YUEChao BAIXiao WANGYuqi ZHANG . A cadmium(Ⅱ) coordination polymer based on a semirigid tetracarboxylate ligand for highly selective detection of Fe3+ and 4-nitrophenol. Chinese Journal of Inorganic Chemistry, 2025, 41(6): 1217-1226. doi: 10.11862/CJIC.20240457

    13. [13]

      Xiuli HAOChenhao ZHANGChenkun FENGHaolin HANXudong ZHAOGuoliang SHI . Synthesis, characterization, and ion exchange properties of octamolybdate-based Cu(Ⅱ) coordination polymer. Chinese Journal of Inorganic Chemistry, 2026, 42(4): 883-896. doi: 10.11862/CJIC.20250248

    14. [14]

      Xiumei LIYanju HUANGBo LIUYaru PAN . Syntheses, crystal structures, and quantum chemistry calculation of two Ni(Ⅱ) coordination polymers. Chinese Journal of Inorganic Chemistry, 2024, 40(10): 2031-2039. doi: 10.11862/CJIC.20240109

    15. [15]

      Xiumei LILinlin LIBo LIUYaru PAN . Syntheses, crystal structures, and characterizations of two cadmium(Ⅱ) coordination polymers. Chinese Journal of Inorganic Chemistry, 2025, 41(3): 613-623. doi: 10.11862/CJIC.20240273

    16. [16]

      Jiming XIYukang TENGRui ZHANGZhenzhong LU . Fluorescent coordination polymers based on anthracene-and pyrene-derivative ligands. Chinese Journal of Inorganic Chemistry, 2025, 41(5): 847-854. doi: 10.11862/CJIC.20240367

    17. [17]

      Shuwen SUNGaofeng WANG . Two cadmium coordination polymers constructed by varying Ⅴ-shaped co-ligands: Syntheses, structures, and fluorescence properties. Chinese Journal of Inorganic Chemistry, 2024, 40(3): 613-620. doi: 10.11862/CJIC.20230368

    18. [18]

      Yinxia SUNLiping LIUXue BAIYu SUNWanhong SUNZhepeng DENGJianghai CHENJianjun WANGLi XUShuzhen ZHANG . Synthesis and crystal structures of Co(Ⅱ)/Cu(Ⅱ) coordination polymers based on solvent and ligand concentration regulation strategy. Chinese Journal of Inorganic Chemistry, 2026, 42(2): 340-354. doi: 10.11862/CJIC.20250226

    19. [19]

      Ting WANGPeipei ZHANGShuqin LIURuihong WANGJianjun ZHANG . A Bi-CP-based solid-state thin-film sensor: Preparation and luminescence sensing for bioamine vapors. Chinese Journal of Inorganic Chemistry, 2024, 40(8): 1615-1621. doi: 10.11862/CJIC.20240134

    20. [20]

      Long TANGYaxin BIANLuyuan CHENXiangyang HOUXiao WANGJijiang WANG . Syntheses, structures, and properties of three coordination polymers based on 5-ethylpyridine-2,3-dicarboxylic acid and N-containing ligands. Chinese Journal of Inorganic Chemistry, 2024, 40(10): 1975-1985. doi: 10.11862/CJIC.20240180

Metrics
  • PDF Downloads(3)
  • Abstract views(1769)
  • HTML views(155)

通讯作者: 陈斌, bchen63@163.com
  • 1. 

    沈阳化工大学材料科学与工程学院 沈阳 110142

  1. 本站搜索
  2. 百度学术搜索
  3. 万方数据库搜索
  4. CNKI搜索
Address:Zhongguancun North First Street 2,100190 Beijing, PR China Tel: +86-010-82449177-888
Powered By info@rhhz.net

/

DownLoad:  Full-Size Img  PowerPoint
Return