Citation: Jingke LIU, Jia CHEN, Yingchao HAN. Nano hydroxyapatite stable suspension system: Preparation and cobalt adsorption performance[J]. Chinese Journal of Inorganic Chemistry, ;2024, 40(9): 1763-1774. doi: 10.11862/CJIC.20240060 shu

Nano hydroxyapatite stable suspension system: Preparation and cobalt adsorption performance

  • Corresponding author: Yingchao HAN, hanyingchao@whut.edu.cn
  • Received Date: 25 February 2024
    Revised Date: 10 June 2024

Figures(14)

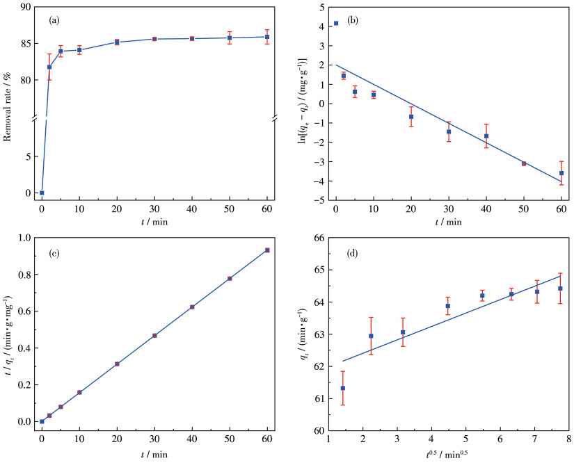
  • To improve the adsorption performance of nano-hydroxyapatite (HAP) as a heavy metal ion adsorbent, the polymer-induced liquid-like precursor mineralization process in the human body was simulated. A stable suspended nano HAP system was prepared by hydrothermal method using polyacrylic acid (PAA) as a regulator. The effects of R (the ratio of the amount of substance of COOH in PAA to Ca), reaction pH, and hydrothermal temperature on the prepared nano HAP were investigated. The optimized synthesis conditions for nano HAP were R=1, pH=9.00, 180 ℃, which is a spindle-shaped structure composed of small particles and stably suspended while maintaining several tens of nanoparticle sizes. Subsequently, the effects of adsorption time, initial metal ion concentration, pH of adsorption environment, and suspension on the Co2+ adsorption performance of nano HAP were investigated. The adsorption results indicate that the adsorption kinetics follow a pseudo-second-order kinetic model, and the adsorption process includes surface adsorption and intra-particle diffusion. The linear equation fitting results of the Freun-dlich and Langmuir models had a high degree of agreement with the experimental results. The adsorption belongs to the chemical adsorption of nonuniform adsorbents, and the linear fitting result of the Langmuir model corresponding to the maximum adsorption amount was 229.358 mg·g-1. The removal rate of Co2+ increased with the increase of adsorption environment pH (6.48-9.00), and the main adsorption mechanism was surface coordination reaction. The adsorption capacity of the prepared nano HAP suspension was significantly better than that of the non-suspended control nano HAP. The addition of PAA enhances the adsorption capacity of nano HAP.
  • 加载中
    1. [1]

      Guo Y A, Wang C S, Qin X Z, Lai W H, Zhou L Z. Microstructure and mechanical properties of a cobalt-based superalloy used for nuclear power station//Materials Science Forum. [S. 1. ]: Trans. Tech. Publications Ltd., 2015, 816: 529-533

    2. [2]

      Marie K, Božena P, Jiří D, Král P, Jiří Z, Karel H, Zyka J, Hrbacek K, Sklenicka V. Creep damage mechanisms in cast cobalt superalloys for applications in glass industry//Key Engineering Materials. [S. 1. ]: Trans. Tech. Publications Ltd., 2018, 774(1): 173-178

    3. [3]

      HAN M F, GU J, XUE S D, ZHU S J, HUANG R S. Preparation and properties of platinum-cobalt-manganese alloy catalysts for fuel cells[J]. Chinese J. Inorg. Chem., 2023,39(7):1253-1260.

    4. [4]

      WU M J. Cobalt and human health[J]. Studies of Trace Elements and Health, 2013,30(4):61-62.

    5. [5]

      Djingova R, Kuleff I. Concentration of caesium-137, cobalt-60 and potassium-40 in some wild and edible plants around the nuclear power plant in Bulgaria[J]. J. Environ. Radioact., 2002,59(1):61-73. doi: 10.1016/S0265-931X(01)00036-4

    6. [6]

      WU L S, HE Y, SUN X F, HUANG Y J, LI Y, LIU T, ZENG F, CHEN C F, SHANGGUAN Z H, YANG Z Q. Determination of gross beta activity excluding 40K in seawater around nuclear power plant by cobalt sulfide coprecipitation method[J]. Atomic Energy Science and Technology, 2022,56(1):15-21.

    7. [7]

      Dabrowski A, Hubicki Z, Podkoscielny P, Robens E. Selective removal of the heavy metal ions from waters and industrial wastewaters by ion-exchange method[J]. Chemosphere, 2004,56(2):91-106. doi: 10.1016/j.chemosphere.2004.03.006

    8. [8]

      WANG J L, LIU H Y. Research progress in membrane treatment technology for radioactive wastewater[J]. Acta Scientiae Circumstantiae, 2013,33(10):2639-2656.

    9. [9]

      Abdelbasir S M, Shewaikh A M, Sheikh S M, Ali O I. Novel modified chitosan nanocomposites for Co(Ⅱ) ions removal from industrial wastewater[J]. J. Water Process. Eng., 2021,41102008. doi: 10.1016/j.jwpe.2021.102008

    10. [10]

      Nayak A, Bhushan B. Hydroxyapatite as an advanced adsorbent for removal of heavy metal ions from water: Focus on its applications and limitations[J]. Mater. Today Proc., 2021,46(20):11029-11034.

    11. [11]

      Sundaram C S, Viswanathan N, Meenakshi S. Defluoridation chemistry of synthetic hydroxyapatite at nano scale: Equilibrium and kinetic studies[J]. J. Hazard. Mater., 2008,155(1):206-215.

    12. [12]

      Lin K L, Pan J Y, Chen Y W, Cheng R M, Xu X C. Study the adsorption of phenol from aqueous solution on hydroxyapatite nanopowders[J]. J. Hazard. Mater., 2009,161(1):231-240. doi: 10.1016/j.jhazmat.2008.03.076

    13. [13]

      Ma B, Shin W S, Oh S, Park Y J, Choi S J. Adsorptive removal of Co and Sr ions from aqueous solution by synthetic hydroxyapatite nanoparticles[J]. Sep. Sci. Technol., 2010,45(4):453-462. doi: 10.1080/01496390903484941

    14. [14]

      Prasad P S, Marupalli B C G, Das S, Das K. Surfactant-assisted synthesis of hydroxyapatite particles: A comprehensive review[J]. J. Mater. Sci., 2023,58(14):6076-6105. doi: 10.1007/s10853-023-08366-x

    15. [15]

      Currey J D. Materials science-Hierarchies in biomineral structures[J]. Science, 2005,309(5732):253-254. doi: 10.1126/science.1113954

    16. [16]

      Gebauer D, Coelfen H. Prenucleation clusters and non-classical nucleation[J]. Nano Today, 2011,6(6):564-584. doi: 10.1016/j.nantod.2011.10.005

    17. [17]

      Qin D, He Z, Li P, Zhang S T. Liquid-liquid phase separation in nucleation process of biomineralization[J]. Front. Chem., 2022,10834503. doi: 10.3389/fchem.2022.834503

    18. [18]

      Guo J L, Han Y C, Mao Y T, Wickramaratne M N. Influence of alginate fixation on the adsorption capacity of hydroxyapatite nanocrystals to Cu2+ ions[J]. Colloid Surf. A-Physicochem. Eng. Asp., 2017,529:801-807. doi: 10.1016/j.colsurfa.2017.06.075

    19. [19]

      Ding H C, Pan H H, Xu X R, Tang R K. Towards a detailed understanding of magnesium ions on hydroxyapatite crystallization inhibition[J]. Cryst. Growth Des., 2014,14(2):763-769. doi: 10.1021/cg401619s

    20. [20]

      Kirwan L J, Fawell P D, Van B W. In situ FTIR-ATR examination of poly (acrylic acid) adsorbed onto hematite at low pH[J]. Langmuir, 2003,19(14):5802-5807. doi: 10.1021/la027012d

    21. [21]

      De A P N, Santos C, Pazo A. Vibrational properties of calcium phosphate compounds. 1. Raman spectrum of β-tricalcium phosphate[J]. Chem. Mater., 1997,9(4):9-17.

    22. [22]

      Chen J, Liu J W, Deng H S, Yao S, Wang Y F. Regulatory synthesis and characterization of hydroxyapatite nanocrystals by a microwave-assisted hydrothermal method[J]. Ceram. Int., 2020,46(2):2185-2193. doi: 10.1016/j.ceramint.2019.09.203

    23. [23]

      Ding Z Y, Xing Q G, Fan Y R, Song Q F, Song C H, Han Y C. Polyacrylic acid complexes to mineralize ultrasmall europium-doped calcium phosphate nanodots for fluorescent bioimaging[J]. Mater. Des., 2022,221111008. doi: 10.1016/j.matdes.2022.111008

    24. [24]

      Sun Z H, Chen J, Ding Z Y, Fan Y R, Han Y C. Spindle‑like‑ aggregating behavior of hydroxyapatite nanorods in polyacrylic acid aqueous system[J]. Colloids Surf. A: Phys. Eng. Asp, 2022,634127933. doi: 10.1016/j.colsurfa.2021.127933

    25. [25]

      Wang L C, Zhao W D, Che Y, Gou R K, Liu H B, Zhu C G, Wang L B, Guan Z. Effect of degree of deprotonation of maleic anhydride-allyl polyethoxy carboxylic acid copolymer on calcium scale[J]. J. Appl. Polym. Sci., 2020,137(46)49511. doi: 10.1002/app.49511

    26. [26]

      Gupta N, Kushwaha A K, Chattopadhyaya M C. Adsorptive removal of Pb2+, Co2+ and Ni2+ by hydroxyapatite/chitosan composite from aqueous solution[J]. J. Taiwan Inst. Chem. Eng., 2012,43(1):125-131.

    27. [27]

      Zhu R H, Yu R B, Yao J X, Mao D, Xing C J, Wang D. Removal of Cd2+ from aqueous solutions by hydroxyapatite[J]. Catal. Today, 2008,139(1):94-99.

    28. [28]

      Balasooriya I L, Chen J, Gedara S M K, Han Y C, Wickramaratne M N. Applications of nano hydroxyapatite as adsorbents: A review[J]. Nanomaterials, 2022,12(14)2324. doi: 10.3390/nano12142324

    29. [29]

      Huang Y, Chen L, Wang H. Removal of Co(Ⅱ) from aqueous solution by using hydroxyapatite[J]. J. Radioanal. Nucl. Chem., 2012,291(3):777-785. doi: 10.1007/s10967-011-1351-0

    30. [30]

      Smiciklas I, Dimović S, Mitrić M. Removal of Co2+ from aqueous solutions by hydroxyapatite[J]. Water Res., 2006,40(12):2267-2274. doi: 10.1016/j.watres.2006.04.031

    31. [31]

      Foroutan R, Oujifard A, Papari F, Esmaeili H. Calcined umbonium vestiarium snail shell as an efficient adsorbent for treatment of wastewater containing Co(Ⅱ). 3[J]. Biotech, 2019,9(3)78.

  • 加载中
    1. [1]

      Zijian Zhao Yanxin Shi Shicheng Li Wenhong Ruan Fang Zhu Jijun Jiang . A New Exploration of the Preparation of Polyacrylic Acid by Free Radical Polymerization Based on the Concept of Green Chemistry. University Chemistry, 2024, 39(5): 315-324. doi: 10.3866/PKU.DXHX202311094

    2. [2]

      Peng XUShasha WANGNannan CHENAo WANGDongmei YU . Preparation of three-layer magnetic composite Fe3O4@polyacrylic acid@ZiF-8 for efficient removal of malachite green in water. Chinese Journal of Inorganic Chemistry, 2024, 40(3): 544-554. doi: 10.11862/CJIC.20230239

    3. [3]

      Guang Huang Lei Li Dingyi Zhang Xingze Wang Yugai Huang Wenhui Liang Zhifen Guo Wenmei Jiao . Cobalt’s Valor, Nickel’s Foe: A Comprehensive Chemical Experiment Utilizing a Cobalt-based Imidazolate Framework for Nickel Ion Removal. University Chemistry, 2024, 39(8): 174-183. doi: 10.3866/PKU.DXHX202311051

    4. [4]

      Ting YANGJia ANJinyu ZHANGRuonan FANRong YANXiaoxia JINGPanpan CHANGWei YAN . Synergistic enhancement of ion migration and sulfur conversion kinetics in lithium-sulfur batteries by CeO2/g-C3N4. Chinese Journal of Inorganic Chemistry, 2026, 42(3): 519-530. doi: 10.11862/CJIC.20250274

    5. [5]

      Qin′ai FENGJianjun LILili ZHANGLinxin WUHuiling WANGWenjing HOULei WANGMingjie REN . Amphiphilic surface modification of magnetic adsorbents and its adsorption properties of two microplastics. Chinese Journal of Inorganic Chemistry, 2026, 42(4): 789-807. doi: 10.11862/CJIC.20250208

    6. [6]

      Hui WangAbdelkader LabidiMenghan RenFeroz ShaikChuanyi Wang . Recent Progress of Microstructure-Regulated g-C3N4 in Photocatalytic NO Conversion: The Pivotal Roles of Adsorption/Activation Sites. Acta Physico-Chimica Sinica, 2025, 41(5): 100039-0. doi: 10.1016/j.actphy.2024.100039

    7. [7]

      Zeyu XUAnlei DANGBihua DENGXiaoxin ZUOYu LUPing YANGWenzhu YIN . Evaluation of the efficacy of graphene oxide quantum dots as an ovalbumin delivery platform and adjuvant for immune enhancement. Chinese Journal of Inorganic Chemistry, 2024, 40(6): 1065-1078. doi: 10.11862/CJIC.20240099

    8. [8]

      Jing Wang Pingping Li Yuehui Wang Yifan Xiu Bingqian Zhang Shuwen Wang Hongtao Gao . Treatment and Discharge Evaluation of Phosphorus-Containing Wastewater. University Chemistry, 2024, 39(5): 52-62. doi: 10.3866/PKU.DXHX202309097

    9. [9]

      Fugui XIDu LIZhourui YANHui WANGJunyu XIANGZhiyun DONG . Functionalized zirconium metal-organic frameworks for the removal of tetracycline from water. Chinese Journal of Inorganic Chemistry, 2025, 41(4): 683-694. doi: 10.11862/CJIC.20240291

    10. [10]

      Wei Li Jinfan Xu Yongjun Zhang Ying Guan . 共价有机框架整体材料的制备及食品安全非靶向筛查应用——推荐一个仪器分析综合化学实验. University Chemistry, 2025, 40(6): 276-285. doi: 10.12461/PKU.DXHX202406013

    11. [11]

      Junjian WangQingquan YuShunyao LiuYuke ChenXiaoyu LiuGuodong LiXiaoyan LiuHong LiuWeijia Zhou . Laser-Induced Carbonization of Hydroxyapatite Sandwich Paper for Inkless Printing. Acta Physico-Chimica Sinica, 2024, 40(4): 2304024-0. doi: 10.3866/PKU.WHXB202304024

    12. [12]

      Shuanglin TIANTinghong GAOYutao LIUQian CHENQuan XIEQingquan XIAOYongchao LIANG . First-principles study of adsorption of Cl2 and CO gas molecules by transition metal-doped g-GaN. Chinese Journal of Inorganic Chemistry, 2024, 40(6): 1189-1200. doi: 10.11862/CJIC.20230482

    13. [13]

      Chuansong LINChuqing ZHANGShixiong LI . A Ni(Ⅱ) metal-organic framework based on the 4, 4′-biphenyldicarboxylic acid ligand and its adsorption performance for tetracycline. Chinese Journal of Inorganic Chemistry, 2026, 42(3): 593-605. doi: 10.11862/CJIC.20250278

    14. [14]

      Yang WANGLulu ZHANGHanjiang HEXia ZHANGXiaohong SUNFan WANGShuli WANGIn situ construction of ammonium phosphomolybdate@ZIF-8 composite for Rb+ and Cs+ adsorption performance. Chinese Journal of Inorganic Chemistry, 2026, 42(4): 826-842. doi: 10.11862/CJIC.20250332

    15. [15]

      Junke LIUKungui ZHENGWenjing SUNGaoyang BAIGuodong BAIZuwei YINYao ZHOUJuntao LI . Preparation of modified high-nickel layered cathode with LiAlO2/cyclopolyacrylonitrile dual-functional coating. Chinese Journal of Inorganic Chemistry, 2024, 40(8): 1461-1473. doi: 10.11862/CJIC.20240189

    16. [16]

      Hailian TangSiyuan ChenQiaoyun LiuGuoyi BaiBotao QiaoLiu Fei . Stabilized Rh/hydroxyapatite Catalyst for Furfuryl Alcohol Hydrogenation: Application of Oxidative Strong Metal-Support Interactions in Reducing Conditions. Acta Physico-Chimica Sinica, 2025, 41(4): 100036-0. doi: 10.3866/PKU.WHXB202408004

    17. [17]

      Shuhong XiangLv YangYingsheng XuGuoxin CaoHongjian Zhou . Selective electrosorption of Cs(Ⅰ) from high-salinity radioactive wastewater using CNT-interspersed potassium zinc ferrocyanide electrodes. Acta Physico-Chimica Sinica, 2025, 41(9): 100097-0. doi: 10.1016/j.actphy.2025.100097

    18. [18]

      Jiahe LIUGan TANGKai CHENMingda ZHANG . Effect of low-temperature electrolyte additives on low-temperature performance of lithium cobaltate batteries. Chinese Journal of Inorganic Chemistry, 2025, 41(4): 719-728. doi: 10.11862/CJIC.20250023

    19. [19]

      Ningyuan Chen Qingyi Zeng Zhiqiang Kuang Peicong Tian Dazhi Yan Weiliang Jin Deming Kong . Digital-Assisted Experimental Study on Dye Adsorption by Porous Materials. University Chemistry, 2026, 41(1): 321-331. doi: 10.12461/PKU.DXHX202504072

    20. [20]

      Hong CAIJiewen WUJingyun LILixian CHENSiqi XIAODan LI . Synthesis of a zinc-cobalt bimetallic adenine metal-organic framework for the recognition of sulfur-containing amino acids. Chinese Journal of Inorganic Chemistry, 2025, 41(1): 114-122. doi: 10.11862/CJIC.20240382

Metrics
  • PDF Downloads(10)
  • Abstract views(2525)
  • HTML views(421)

通讯作者: 陈斌, bchen63@163.com
  • 1. 

    沈阳化工大学材料科学与工程学院 沈阳 110142

  1. 本站搜索
  2. 百度学术搜索
  3. 万方数据库搜索
  4. CNKI搜索
Address:Zhongguancun North First Street 2,100190 Beijing, PR China Tel: +86-010-82449177-888
Powered By info@rhhz.net

/

DownLoad:  Full-Size Img  PowerPoint
Return